Методика поверки «ГСИ. Резервуар железобетонный вертикальный цилиндрический ЖБР-11500» (МП 466-7-2016)
ФЕДЕРАЛЬНОЕ АГЕНТСТВО ПО ТЕХНИЧЕСКОМУ РЕГУЛИРОВАНИЮ И МЕТРОЛОГИИ
Федеральное государственное унитарное предприятие «Всероссийский научно-исследовательский институт расходометрии» Государственный научный метрологический центр ФГУП «ВНИИР»
ИНСТРУКЦИЯ
ГОСУДАРСТВЕННАЯ СИСТЕМА ОБЕСПЕЧЕНИЯ ЕДИНСТВА ИЗМЕРЕНИЙ
Резервуар железобетонный вертикальный цилиндрический ЖБР-11500МЕТОДИКА ПОВЕРКИ
МП 466-7-2016НачальникИИО-7
______Кондаков А. В.
Тел. (Й1Й72-62-75; 272-54-55
Казань 2016 г.Предисловие
|
1 РАЗРАБОТАНА |
Федеральным государственным унитарным предприятием Всероссийским научно-исследовательским институтом расходометрии Государственным научным метрологическим центром (ФГУП «ВНИИР») |
|
ИСПОЛНИТЕЛИ: |
А.В Кондаков, В. М. Мигранов |
|
2 УТВЕРЖДЕНА |
ФГУП «ВНИИР» 29 июля 2016 г. |
-
3 ВВЕДЕНА ВПЕРВЫЕ
ЛИСТОВ: 26
Настоящий нормативный документ не может быть полностью или частично воспроизведен, тиражирован и (или) распространен без разрешения ФГУП «ВНИИР»
Адрес: 420088, г. Казань, ул. 2-я Азинская, 7а
Тел/факс +7(843)272-61-26; +7(843)272-62-75
E-mail: vmir.mo-7@yandex.ru
Содержание
Стр.
-
1 Область применения..............................................................................
-
2 Нормативные ссылки...........................................................................................______.................... 1
-
3 Термины и определения................................................................................................................. 2
-
4 Технические требования................................................................................................................3
-
5 Требования к организации проведения поверки.........................................--------.....................4
-
6 Требования к квалификации поверителей и требования безопасности ..............................4
-
10 Проведение поверки резервуара......................................................................—.....................6
-
11 Обработка результатов измерений и составление градуировочной таблицы
-
12 Оформление результатов поверки.................................................................-------................... 12
Приложение В........................______..._________.........................................................................—...........20
Приложение Г......________.........._________...................................................................................................23
Приложение Д.--------------------------------------...---------................................................................................25
Государственная система обеспечения единства измерений
Резервуар железобетонный вертикальный цилиндрический ЖБР-11500 Методика поверки. МП 466-7-2016
ГОСТ Р 51330.9-99 Электрооборудование взрывозащищенное. Часть 10. Классификация взрывоопасных зон;
ГОСТ Р 51330.11-99 Электрооборудование взрывозащищенное. Часть 12. Классификация смесей газов и паров с воздухом по безопасным экспериментальным зазорам и минимальным воспламеняющим токам;
ОСТ 39-107-80 Система стандартов безопасности труда нефтяной промышленности.
ЗТЕРУ
ih;i
Я И ОПРЕДЕЛЕН ИЯ
В настоящей рекомендации применяют следующие термины с соответствующими определениями:
-
3.1 резервуар железобетонный вертикальный цилиндрический подземный: Сосуд железобетонный (рис. I1), состоящий из кровли опирающуюся на опорные колонны, цилиндрической части выполненной из сборных железобетонных плит и монолитного днища, в виде усеченного конуса, применяемый для хранения и измерения объема и массы мазута.
-
3.2 градуировочная таблица: Зависимость вместимости от уровня наполнения резервуара при нормированном значении температуры, равной 20 С°.
Таблицу прилагают к свидетельству о поверке резервуара и применяют для определения объема мазута в нем.
-
3.3 градуировка: Операция поверки по установлению зависимости вместимости резервуара от уровня его наполнения, с целью составления градуировочной таблицы.
-
3.4 вместительность резервуара: Внутренний объем резервуара с учетом объема внутренних деталей, который может быть наполнен мазутом до определенного уровня.
-
3.5 номинальная вместимость резервуара: Вместимость резервуара, соответствующая предельному уровню наполнения его, установленная нормативным документом для конкретного типа железобетонного прямоугольного резервуара.
-
3.6 действительная (фактическая) полная вместимость резервуара: Вместимость резервуара, соответствующая предельному уровню его наполнения, установленная при его поверке.
-
3.7 посантиметровая вместимость резервуара: Вместимость резервуара, соответствующая уровню налитых в него доз жидкости, приходящихся на 1 см высоты наполнения.
-
3.8 коэффициент вместимости: Вместимость, приходящаяся на 1 мм высоты наполнения.
-
3.9 точка касания днища грузом рулетки: Точка на днище резервуара, которой касается груз измерительной рулетки при измерении базовой высоты резервуара и уровня мазута в резервуаре.
-
3.10 базовая высота резервуара: Расстояние по вертикале от точки касания днища грузом рулетки до верхнего края измерительного люка или до риски направляющей планки измерительного люка (при наличии)
-
3.11 предельный уровень: Предельный уровень определения посантиметровой вместимости резервуара при его поверке, соответствующий суммарной высоте нижней части резервуара и стенки резервуара
3.12 геометрический метод поверки: Метод поверки, заключающийся в определении вместимости резервуара по результатам измерений его геометрических параметров.
-
4 ТЕХНИЧЕСКИЕ ТРЕБОВАНИЯ
4.1 Требования к погрешности измерений параметров резервуара
-
4.1.1 Пределы допускаемой погрешности измерений параметров резервуара приведены в таблице 1.
Таблица 1
|
Наименование измеряемого параметра |
Пределы допустимой погрешности измерений параметров резервуара ЖБР-11500 |
|
Диаметр резервуара, мм |
±6,0 |
|
Объем внутренних деталей, м3 |
± 0,050 |
|
Нижняя часть резервуара, м3 |
± 0,100 |
-
4.1.2 При соблюдении указанных в таблице 1 пределов допускаемой погрешности измерений относительная погрешность определения вместимости (градуировочной таблицы) резервуаров ЖБР-11500 должна находиться в пределах: ± 0,20%.
4.2 Требования к средствам поверки
-
4.2.1 При поверке резервуара применяют следующие основные и вспомогательные средства поверки:
-
4.2.1.1 Рулетку измерительную 2-го класса точности с диапазоном измерений от 0 до 20 м по ГОСТ 7502.
-
4.2.1.2 Рулетку измерительную 3-го класса точности с грузом диапазоном измерений от 0 до 30 м по ГОСТ 7502.
-
4.2.1.3 Линейку измерительную металлическую с диапазоном от 0 до 500 мм, от 0 до 1000 мм по ГОСТ 427.
-
4.2.1.4 Тахеометр электронный типа Trimble 3605DR, с пределами средней квадратичной погрешности измерений расстояний (СКО) одним приемом: ± (2+2хЮч> Л) мм, диапазоном измерений расстояний в безотражательном режиме от 0 до 80 м, допустимым средним квадратическим отклонением измерений углов: ± 5" по [1], Госреестр № 38253-08.
-
Примечание - Цена деления нивелирной рейки должна быть 1 мм.
-
4.2.1.6 Термометр с ценой деления 0,1 °C и диапазоном измерений от 0 до плюс 50 °C по ГОСТ 28498.
-
4.2.1.7 Анализатор-течеискатель типа АНТ-ЗМ по [2].
-
4.2.2 Вспомогательные средства поверки: мел, шпатель, щетки (металлические), микрокалькулятор.
-
4.2.3 Основные средства поверки резервуаров должны быть поверены в установленном порядке.
-
4.2.4 Допускается применение других, вновь разработанных или находящихся в эксплуатации средств измерений, удовлетворяющих по точности и пределам измерений требованиям настоящей рекомендации.
-
5 ТРЕБОВАНИЯ К ОРГАНИЗАЦИИ ПРОВЕДЕНИЯ ПОВЕРКИ
-
5.1 Поверку резервуаров осуществляют аккредитованные в установленном порядке в области обеспечения единства измерений юридические лица.
-
5.2 Устанавливают следующие виды поверок резервуара:
-
-
- первичную, которую проводят после строительства резервуара перед его вводом в эксплуатацию и капитального ремонта;
-
- периодическую, которую проводят по истечению срока действия градуировочной таблицы и при внесении в резервуар конструктивных изменений, влияющих на его вместимость;
-
- внеочередную поверку - проводят при изменении значений базовой высоты резервуара более чем на 0,1 % по результатам ежегодных её измерений.
Первичную поверку резервуаров проводят после их гидравлических испытаний.
6 ТРЕБОВАНИЯ К КВАЛИФИКА
ПШ
ПОВЕРИТЕЛЕЙ И ТРЕБОВАНИЯ
БЕЗОПАСНОСТИ
-
6.1 Поверку резервуара проводит физическое лицо, аттестованное в качестве поверителя и в области промышленной безопасности в соответствии с РД-03-20 [3], утвержденным приказом Ростехнадзора от 29.01.2007 № 37.
-
6.2 Измерения параметров при поверке резервуара проводит группа лиц, включая поверителя организации, указанной в 6.1, и не менее двух специалистов, прошедших курсы повышения квалификации и других лиц (при необходимости), аттестованных в области промышленной безопасности в соответствии с РД-03-20.
-
6.3 К поверке резервуара допускают лиц, изучивших настоящую рекомендацию, техническую документацию на резервуар и его конструкцию, средства поверки и прошедших инструктаж по безопасности труда в соответствии с ГОСТ 12.0.004, по промышленной безопасности в соответствии с РД-03-20.
-
6.4 Лица, проводящие поверку резервуара, надевают спецодежду: - костюмы по ГОСТ 12.4.280, спецобувь по ГОСТ 12.4.137, строительную каску поГОСТ 12.4.087, рукавицы по ГОСТ 12.4.010.
-
6.5 Предельно допустимая концентрация (ПДК) вредных паров и газов в воздухе, измеренная газоанализатором вблизи и внутри резервуара на высоте 2000 мм, не должна превышать 300 мг/м3 - по ГОСТ 12.1.005-88.
-
6.6 Измерения параметров резервуара во время грозы категорически запрещены.
-
6.7 Для освещения при проведении измерений параметров резервуара применяют светильники во взрывозащитном исполнении.
-
6.8 Перед началом поверки резервуара проверяют исправность:
-
- лестниц с поручнями и подножками;
-
- помостов с ограждениями.
-
6.9 В процессе измерений параметров резервуара обеспечивают двух или трехкратный обмен воздуха внутри резервуара. При этом анализ воздуха на содержание вредных паров и газов проводят через каждый час.
-
6.10 Продолжительность работы внутри резервуара не более 4-х часов, после каждой четырехчасовой работы - перерыв на один час.
-
7 УСЛОВИЯ ПОВЕРКИ
-
7.1 При поверке соблюдают следующие условия:
-
7.1.1 Измерения параметров резервуара проводят изнутри его.
-
7.1.2 Для проведения измерений параметров резервуара его освобождают от остатков мазута, зачищают, пропаривают (при необходимости), промывают и вентилируют.
-
7.1.3 Температура окружающего воздуха и воздуха внутри резервуара (20 ± 15)°С.
-
-
-
8 ПОДГОТОВКА К ПОВЕРКЕ
-
8.1 При подготовке к поверке проводят следующие работы:
-
8.1.1 Изучают техническую документацию на резервуар и средства поверки.
-
8.1.2 Подготавливают средства поверки согласно технической документации на них, утвержденной в установленном порядке.
-
8.1.3 Штатив тахеометра приводят в рабочее положение, устанавливают на него тахеометр, проводят необходимые операции к подготовки к работе, в соответствии с руководством по эксплуатации.
-
8.1.4 Определяют центр днища резервуара в следующей последовательности.
-
-
-
1) наносят вертикальную отметку 1 мелом на пересечении днища и цилиндрической части стенки (рис. 2);
-
2) начало рулетки (левый конец) совмещают с вертикальной отметкой 1;
-
3) укладывают рулетку на днище резервуара до противоположной стороны резервуара;
-
4) конец рулетки (правый конец) совмещают до пересечения днища и цилиндрической части стенки;
-
5) при неподвижном положении начала рулетки (отметка 1) правый конец перемещают вокруг отметки 1, добиваясь максимального значения показания на правом конце и фиксируют отметку 5 на противоположной стороне;
-
6) размечают мелом отметку 00 на середине уложенной ленты.
-
7) устанавливают тахеометр на отметке 001 и направляют лазерный указатель на отметку 1;
-
8) поворачивают зрительную трубу на 45° по часовой стрелке от отметки 1 и фиксируют отметку 2 на стенке ;
-
9) проведя аналогичные операции по перечислению 2)-5) размечают мелом отметку 002;
-
10) поворачивают зрительную трубу на 45° по часовой стрелке относительной отметки 2 и фиксируют отметку 3 на стенке;
-
11) проведя аналогичные операции по перечислению 2)-5) размечают мелом отметки OOL.OO5;
-
12) соединяют отметки между собой и размечают середину днища (отметка 00), как середину многоугольника.
-
9 ОПЕРАЦИИ ПОВЕРКИ
9.1 При проведении поверки резервуара должны быть выполнены операции, ука
занные в таблице 2
Таблица 2
|
Наименование операции |
Номер пункта Инструкции |
|
Внешний осмотр |
10.1 |
|
Измерение внутреннего диаметра резервуара |
10.2 |
|
Измерение параметров нижней части резервуара |
10.3 |
|
Измерение высоты резервуара |
10.4 |
|
Определение объемов внутренних деталей |
10.5 |
|
Измерение базовой высоты |
10.6 |
|
Измерение параметров приямка |
10.7 |
|
Измерение параметров вертикальных внутренних деталей прямоугольной формы |
10.8 |
|
Измерение параметров фундамента колонны |
10.9 |
|
Измерения параметров колонны |
10.10 |
-
10 ПРОВЕДЕНИЕ ПОВЕРКИ РЕЗЕРВУАРА
10.1 Внешний осмотр
-
10.1.1 При внешнем осмотре резервуара проверяют:
-
- состояние конструкции и внутренних деталей резервуара технической документации на него (паспорту, технологической карте на резервуар);
-
- наличие необходимой арматуры и оборудования;
-
- исправность лестниц и перил;
-
- состояние днища резервуара (отсутствие бугров, ям);
-
- чистоту внутренней поверхности резервуара;
-
- отсутствие деформации стенок резервуара, препятствующих проведению измерений параметров резервуара.
-
10.1.2 По результатам внешнего осмотра устанавливают возможность применения геометрического метода поверки резервуара.
10.2 Измерение внутреннего диаметра цилиндрической части резервуара
Измерение внутреннего диаметра цилиндрической части резервуара Dlliw проводят в следующей последовательности (рисунок А.2).
а) устанавливают тахеометр над центром днища 00, контроль положения осуществляют с применением оптического центрира.
Тахеометр горизонтируют, с помощью триггеров в соответствии с его технической документацией.
L ИНСТРУКЦИЯ. ГСП. РЕЗЕРВУАР ЖЕЛЕЗОБЕТОННЫЙ ВЕРТИКАЛЬНЫЙ ЦИЛИНДРИЧЕСКИ ЖБР-11500.

МЕТОДИКА ПОВЕРКИ. МП 466-7-2016
Измеряют высоту установки инструмента йустан , мм, (рисунокА.4) и привязывают его по высоте с координатам обратной засечкой th = 0.
Вертикальный угол визира устанавливают в значение 90°.
б) выбирают режим тахеометра HD-h-HZ и устанавливают значения:
- «0» - горизонтального угла Hz;
- 90° - вертикального угла Vz.
в) измеряют расстояние ^цил 1 — 1, как горизонтальное проложение (параметр HD);
г) поворачивают алидаду тахеометра на 45° по часовой стрелке (HZ = 45°) и измеряют расстояние /?цнл 1 — 2 на второй образующей;
д) повторяя процедуры по перечислению б)-г) измеряют расстояния ЯцшЛ-з.АиД-а
е) направляют сетку визирной трубы на стенку резервуара на высоте Н2 — 2 (5500 - 6000 мм);
ж) аналогично выполняя действия по перечислению б) -д) измеряют расстояния /^2-1.../^2-8.
и) внутренние диаметры , мм, вычисляют как сумму измеренных радиусов на противоположных образующих (рисунок А.З).
Примечание - первый символ в обозначении радиуса Rllwl относится к высоте измерения (Н1 или Н2), второй указывает номер образующей, на которой проводится измерение (1... 8).
Результаты измерений вносят в протокол поверки форма которого приведена в приложении Б (таблица Б.З).
10.3 Измерения параметров нижней части резервуара
Измерения параметров нижней части резервуара (рисунок А.1) проводят в следующей последовательности.
-
10.3.1 Устанавливают веху с призменным отражателем в точку 00-1 по первой образующей на концентрической окружности днища резервуара в месте начала уклона днища (рисунок А.4), после чего:
а) проводят измерения радиуса Ядн 0 — 1, как горизонтальное проложение (HD) и высоты превышения /гдн 0 — 1 (h).
б) устанавливают веху в точку 01 -1 и проводят измерения радиуса 7?дн 1 -1, как горизонтальное проложение (HD) и высоты превышения /гщ 1 — 1 (h).
в) устанавливают веху в точку 02-1 и проводят измерения радиуса 7?дн2 — 1, как горизонтальное проложение (HD) и высоты превышения h'Vi 2 — 1 (h).
-
10.3.2 Поворачивают алидаду тахеометра в горизонтальной плоскости на угол 45° по часовой стрелке, что соответствует переходу на 2-ю образующую и устанавливают веху с призменным отражателем в точку 00-2 (рисунок.Е.4).
Проводя аналогичные измерения по перечислению а)-в) п.4.3.2.1 измеряют расстояния Ядн0-2, Лдн0-2....Ядн2-2, Лда2-2.
-
10.3.3 Аналогичным образом устанавливают веху с призменным отражателем на 3-ю ...8-ю образующие и проводят аналогичные измерения по перечислению а)-в) п. 4.3.2.1 на каждой образующей.
Результаты вычисление вносят в протокол поверки форма которого приведена в приложении Б (таблица Б.4).
Примечание - В случае, если при переходе на новую образующую визирная ось тахеометра попадает на колонну, то алидаду поворачивают на дополнительный угол, обеспечивающий визирование на опорные точки.
10.4 Измерения высоты резервуара
Измерения высоты резервуара в следующей последовательности.
-
4.3.3.1 Высоту резервуара измеряют на 1-ой образующей резервуара (рисунок Е.5), при помощи тахеометра.
Установленный по 4.3.1.2 в центре резервуара на 1-ой образующей приводят в рабочее положение.
Направляют сетку нитей на поверхность сопряжения цилиндрической части и кровли резервуара.
Измеряют расстояние Нрез, мм, как высоту превышения h.
Результаты измерений вносят в протокол поверки форма которого приведена в приложении Б.
10.5 Определение объемов внутренних деталей
Объемы внутренних деталей, находящихся в резервуаре определяют по данным проекта № 704-1-77 (1971 г.), разработанного ГПИ «Теплоэлектропроект» (1971 г.) и предоставленной ТЭЦ-8 ПАО «Мосэнерго».
Результаты измерений вносят в протокол поверки форма которого приведена в приложении Б (таблица Б. 9).
10.6Измерения базовой высоты
-
10.6.1 Измерения базовой высоты проводят по 9.1.10 ГОСТ 8.570-2000 (с Изменением №1,2) в следующей последовательности.
-
10.6.2 Базовую высоту резервуара ТУб измеряют рулеткой с грузом не менее двух раз. Расхождение между результатами двух измерений не должно превышать 2 мм.
Результаты измерений вносят в протокол поверки форма которого приведена в приложении Б (таблица Б.З).
10.7 Измерение параметров приямка
-
10.7.1 Приямок (рисунок Е.6) имеет поперечное сечение цилиндрической формы диаметром б/пр и высотой (глубиной) .
-
10.7.2 Диаметр приямка измеряют измерительной рулеткой в диаметрально перпендикулярных направлениях не менее двух раз.
Результаты измерений отсчитывают по шкале рулетки с точностью ± 1 мм. Расхождения между результатами двух измерений не должны превышать ± 5 мм.
-
10.7.3 Глубину (высоту) приямка измеряют измерительной рулеткой в диаметрально перпендикулярных направлениях не менее двух раз.
-
10.7.4 Среднее арифметическое значение результатов измерений величин б/пр, hnp вносят в протокол поверки форма которого приведена в приложении Б (таблица Б. 7).
10.8 Измерение параметров вертикальных внутренних деталей прямоугольной формы
-
10.8.1 Для определения параметров внутренних деталей прямоугольной формы измеряют ширину первой грани by, ширину второй грани b2i, высоту нижней границы детали Лн высоту верхней границы детали относительно днища резервуара.
-
10.8.2 Ширину первой by, второй грани b2l измеряют измерительной рулеткой с точностью до 1 мм. Измерения проводят не менее двух раз. Расхождение между результатами измерений должно составлять не менее 1 мм.
-
10.8.3 Высоту верхней/нижней границы детали определяют нивелированием по 10.7.2.3.
-
10.8.4 Среднее арифметическое значение результатов измерений величин byb2i, Ан, /?в вносят в протокол поверки форма которого приведена в приложении Б (таблица Б. 9).
10.9 Измерение параметров фундамента колонны
-
10.9.1 Для определения параметров фундамента колонны измеряют ширину нижних граней 6ПН, Ьзп, ширину верхних граней 6ПВ, Ьзв, высоту нижней границы детали Лн высоту верхней границы детали hB относительно днища резервуара (рисунок Е.7).
-
10.9.2 Ширину нижних граней ЬПн, Ьзн, ширину верхних граней Ьпв,.. измеряют измерительной рулеткой с точностью до 1 мм. Измерения проводят не менее двух раз. Расхождение между результатами измерений должно составлять не менее 1 мм.
-
10.9.3 Высоту верхней/нижней границы детали определяют нивелированием.
-
10.9.4 Среднее арифметическое значение результатов измерений величин Ьпн, Ьзн, Ьпв, b3B, hn, вносят в протокол поверки форма которого приведена в приложении Б (таблица Б. 8).
10.10 Измерения параметров колонны
Параметры колонны определяют как внутреннюю деталь прямоугольной формы по 10.9.
Результаты измерений вносят в протокол поверки форма которого приведена в приложении Б (таблица Б.9).
-
11 ОБРАБОТКА РЕЗУЛЬТАТОВ ИЗМЕРЕНИЙ И СОСТАВЛЕНИЕ ГРАДУИРОВОЧНОЙ ТАБЛИЦЫ
11.1 Обработка результатов измерений
-
11.1.1 Обработку результатов измерений при поверке проводят в соответствии с приложением В.
11.2 Составление градуировочной таблицы резервуара
-
11.2.1 Составление градуировочной таблицы нижней части резервуара
-
11.2.1.1 Градуировочную таблицу нижней части резервуара (рисунок А.1) составляют, используя посантиметровую вместимость м3/см, с шагом А/Т = 1 см, при
-
изменении уровня от 0 до уровня Лдн1.
-
11.2.1.2 Величину V (//)дн1»полученную в результате интегрирования площади поперечного сечения нижней части резервуара 5'(/Т)да по уровню Н, вычисляют по формуле
+ (М2до2
)
-109< 3


=Г(я)да,

(.2)
-
11.2.2 Составление градуировочной таблицы верхней части резервуара
-
11.2.2.1 Градуировочную таблицу верхней части резервуара составляют с шагом ЛЯ1 см, начиная с уровня Алн2 до уровня 77рез, измеренного по 4.3.3.
-
11.2.2.2 Посантиметровую вместимость резервуара Г(//), м3/см, вычисляют по формуле
-
Гфк-24
+—,---г- - участка от Н2 до Лфк +
(Афк)
Г,
V -24 прям 7 н 7 В
~ ~.....< - участка от /^рям до Лпрям.
(-3)
где Г(Ндн) - вместимость нижней части резервуара, вычисляемая по формуле (.1) при уровне Лдн2, м3;
S - площадь поперечного сечения резервуара, вычисляемая по формуле (.2), м2;
Н - уровень жидкости, отсчитываемый от точки касания днища резервуар грузом рулетки, мм;
77j - уровень жидкости, соответствующий высоте нижней части резервуара, мм;
Гпрям ~ объем колонн, м3;
Л^рям ~ верхняя граница колонн, мм;
7£рям - нижняя граница колонн, мм;
Гф к - объем фундамента колонны, вычисляемый по формуле (В. 8), м3;
Лф к - верхняя граница фундамента колонны, мм.
-
11.3 В пределах предельного уровня 77пр вычисляют коэффициент вместимости, равный вместимости, приходящейся на 1 мм высоты наполнения.
-
11.4 При составлении градуировочной таблицы значения вместимости округляют до 1 ДМ3-
-
11.5 Значения посантиметровой вместимости резервуара, указанные в градуировочной таблице, соответствуют стандартной температуре 20°С.
-
12 ОФОРМЛЕНИЕ РЕЗУЛЬТАТОВ ПОВЕРКИ
-
12.1 Результаты поверки резервуара оформляют свидетельством о поверке в соответствии с [3].
-
12.2 К свидетельству о поверке прикладывают:
-
а) градуировочную таблицу;
б) протокол поверки (оригинал прикладывают к первому экземпляру градуировочной таблицы);
в) эскиз резервуара.
-
12.3 Форма титульного листа градуировочной таблицы и форма градуировочной таблицы приведены в приложении Г. Форма акта ежегодных измерений базовой высоты резервуара приведена в приложении Д.
Протокол поверки подписывает поверитель и лица, участвующие при проведении поверки резервуара. Подпись поверителя заверяют оттиском поверительного клейма.
Титульный лист и последнюю страницу градуировочной таблицы подписывает поверитель, подпись поверителя заверяют оттиском поверительного клейма.
-
12.4 Градуировочную таблицу утверждает руководитель органа аккредитованного на право проведения поверки.

ПРИЛОЖЕНИЕ А
Схема резервуара и оборудования резервуара при поверке

Ьерхняя часть резербора нижняя часть резербуара
Рисунок А. 1 - Схема резервуара и внутренних деталей резервуара


Рисунок А. 3 - Схема измерений диаметра резервуара





Рисунок А. б - Схема измерений параметров фундамента колонны
ПРИЛОЖЕНИЕ Б
(обязательное)
Форма протокола поверки резервуара
ПРОТОКОЛ
поверки резервуара геометрическим методом
Таблица Б.1- Общие данные
|
Код документа |
Регистрационный номер |
Дата |
Основание для проведения поверки | ||
|
число |
месяц |
год | |||
|
1 |
2 |
3 |
4 |
5 |
6 |
Продолжение таблицы Б. 1
|
Место проведения поверки |
Рабочие эталоны и вспомогательные средства |
|
7 |
8 |
Окончание таблицы Б. 1
|
Резервуар | ||
|
Тип |
Номер |
Погрешность определения вместимости резервуара, % |
|
9 |
10 |
И |
Таблица Б.2- Условия проведения измерений
|
Температура воздуха, °C |
Скорость ветра, м/с |
Загазованность, мг/м3 |
Таблица Б.З - Высота установки инструмента В миллиметрах
|
Номер измерения |
^инстр |
|
1 | |
|
2 |
Таблица Б.4 - Измерение внутреннего диаметра резервуара В миллиметрах
|
Высота |
Номер образующей к |
Rm(l-k,2-k) |
Номер образующей к |
^(l-i.2-4) |
(^цилХ: ); |
|
1 |
1 |
2 |
3 |
4 |
5 |
|
1700 |
1 |
5 | |||
|
2 |
6 | ||||
|
3 |
7 | ||||
|
4 |
8 | ||||
|
6000 |
1 |
1 | |||
|
2 |
2 | ||||
|
3 |
3 | ||||
|
4 |
4 |
Таблица Б. 5 - Измерения параметров нижней части резервуара В миллиметрах
|
Параметр |
Номер образующей к |
Параметр |
Номер образующей к | ||||||
|
1 |
2 |
3 |
4 |
5 |
6 |
7 |
8 | ||
|
Ядн0-Л |
ЯДНО-А; | ||||||||
|
ЛдаО-Л | |||||||||
|
Ядн1-£ |
Ядн1-£ | ||||||||
|
Кя2-к | |||||||||
В миллиметрах
Таблица Б.6 - Базовая высота резервуара
|
Точка измерения базовой высоты Но |
Номер измерения | |
|
1 |
2 | |
|
Риска измерительного люка | ||
|
Верхний срез измерительного люка | ||
В миллиметрах
Таблица Б.7 - Параметры приямка
|
Номер измерения |
Приямок | |
|
диаметр б/пр |
глубина hn? | |
|
1 | ||
|
2 | ||
Таблица Б. 8 - Параметры опор фундамента колонны
В миллиметрах
|
Номер колонны |
Ширина опоры |
Высота опоры | ||||
|
нижняя граница |
верхняя граница | |||||
|
^п.н |
Ьп.В |
К |
h! | |||
|
1 |
2 |
3 |
4 |
5 |
6 |
7 |
|
1 | ||||||
|
2 | ||||||
|
п | ||||||
Т аблица Б.9 - Объемы вертикальных внутренних деталей прямоугольной формы В миллиметрах
|
№ п/п |
Ширина |
Высота от днища резервуара |
Кол-во | ||
|
1 грань |
2 грань |
нижняя граница |
верхняя граница | ||
|
1 |
2 |
3 |
4 |
5 |
6 |
|
1 | |||||
|
2 | |||||
|
3 | |||||
Подписи и оттиски поверительного клейма, печатей (штампов)
Высота резервуара:
стан.
мм.
Инициалы, фамилии
Должности
ПРИЛОЖЕНИЕ В
Обработка результатов измерений
В.1 Вычисление площади поперечного сечения резервуара
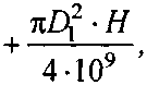
В. 1.1 Площадь поперечного сечения резервуара S, м2, вычисляют по формуле
^ЦИЛ
(В.1)
4106
где Оцил - внутренний диаметр цилиндрической части резервуара, мм; Величину Оцил, мм, вычисляют по формуле

(В.2)
где (Рцил*) - диаметры на образующих, определенные по перечислению и) п.10.2, его значение принимают из графы 5 таблицы Б.4, мм.
В.2 Вычисление высоты верхней части резервуара
В.2.1 Высоту верхней части резервуара (рисунок А.2), как расстояние по вертикали от верхнего края первого пояса нижней части резервуара, hp, мм, вычисляют по формуле h'+h”
(в.б)
где Ло - высота отметки (рисунок А.2), значение которой равно 500мм;
h'p, h”p- результаты измерений высоты, мм. Значения h'p, hp принимают по таблице Б.4 приложения Б.
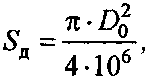
В.З Вычисление площади поперечного сечения днища резервуара
Площадь поперечного сечения днища резервуара , м2, вычисляют по формуле

(В.З)
где Do - диаметр днища резервуара, мм, вычисляемый по формуле
(В.4)
В.5 ВЫЧИСЛЕНИЕ ОБЪЕМА ВНУТРЕННИХ ДЕТАЛЕЙ
В.5.1 К числу внутренних деталей относят:
В.5.1.1 Приямок.
В.5.1.2 Фундамент колонны.
В. 5.1.3 Колонну.
В. 5.1 Измерение объема приямка
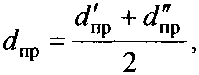
В.5.1.1 Диаметр </пр приямка вычисляют по формулам

(В.5)
где - величины, измеренные по 4.3.6.2, мм.
В.5.1.2 Глубину приямка hnp, мм, вычисляют по формуле

(В.6)
где ’ ^пр ~ величины, измеренные по 4.3.6.3, мм.
В.5.1.3 Объем приямка Ипр, м3, вычисляемой по формуле
(В.7)
где </пр, Т^р - величины, вычисляемые по формулам: (В.5), (В.6), мм.
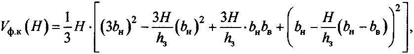
В.5.2 Вычисление объема фундамента колонны
-
5.2.1 Объем фундамента колонны от нижней границы фундамента до верхней границы вычисляют по формуле


где Ьн - ширина основания опоры на нижней границе фундамента колонны, мм; Ьв - ширина основания опоры на верхней границе фундамента колонны, мм;
-
- высота фундамента колонны, мм;
-
- текущая высота, мм;
ПРИЛОЖЕНИЕ Г
Форма титульного листа градуировочной таблицы и форма градуировочной таблицы
Г. 1 Форма титульного листа градуировочной таблицы4
УТВЕРЖДАЮ
«___»_______________201_ г.
ГРАДУИРОВОЧНАЯ ТАБЛИЦА
на железобетонный вертикальный цилиндрический резервуар ЖБР-11500
тип___________ №____________________________
Организация___________________________________________
Погрешность определения вместимости:
Срок очередной поверки_________________________
Поверитель
ПОДПИСЬ
должность, инициалы, фамилия
Г. 2 Форма градуировочной таблицы резервуара
Организация______________________
Резервуар №______________________
Г.2.1 Форма градуировочной таблицы нижней части резервуара
Таблица Г.2 - Посантиметровая вместимость нижней части резервуара
|
Уровень наполнения, см |
Вместимость, м3 |
Коэффициент вместимости, м3/мм |
|
0 | ||
|
1 | ||
|
2 | ||
|
Я1 | ||
|
Я1+1 | ||
|
Я1+2 | ||
|
н2 |
Г.2.2 Форма градуировочной таблицы верхней части резервуара
Таблица Г.З - Посантиметровая вместимость верхней части резервуара
|
Уровень наполнения, см |
Вместимость, м3 |
Уровень наполнения, см |
Вместимость, м3 |
|
Н2+1 | |||
|
Н2+2 | |||
|
Якр |
Таблица Г.4 - Средняя вместимость верхней части резервуара в пределах вместимости, приходящейся на 1 см высоты наполнения
|
Уровень наполнения, мм |
Вместимость, м3 |
Уровень наполнения, мм |
Вместимость, м3 |
Уровень наполнения, мм |
Вместимость, м3 |
|
1 |
4 |
7 | |||
|
2 |
5 |
8 | |||
|
3 |
6 |
9 |
ПРИЛОЖЕНИЕ Д
Форма акта ежегодных измерений базовой высоты резервуара
УТВЕРЖДАЮ
Руководитель предприятия владельца резервуара (директор, гл. инженер)
АКТ
измерений базовой высоты резервуара
от «___»_____________________201_г.
Составлен в том, что комиссия, назначенная приказом по____________________________
наименование предприятия -
___________________________________________, и членов:_____________________________________ владельца резервуара инициалы, фамилии
провела по__________контрольные измерения базовой высоты резервуара типа_______
*

■100, где значения величин
(/7^)к, (#б)п приведены в 1-й, 2-й
номинальной вместимостью________м3 при температуре окружающего воздуха °C____
Результаты измерения представлены в таблице Д. 1.
Таблица Д.1 В миллиметрах
|
Базовая высота резервуара | |
|
Среднее арифметическое значение результатов двух измерений |
Значение базовой высоты, установленное при поверке резервуара (Нб ) |
|
1 |
2 |
Относительное изменение базовой высоты резервуара 8Й,%, вычисляют по формуле
графах.
Вывод: требуется (не требуется) внеочередная поверка резервуара
Председатель комиссии
подпись инициалы, фамилия
Члены:
подпись инициалы, фамилия
* Указывают при заполнении
БИБЛИОГРАФИЯ
-
[1] Тахеометры электронные серии 3600 (Trimble 3601R, 3602DR, 3603DR,/3603DR, Arctic,, 3605DR,/3605DR Arctic), Госреестр № 38253-08
-
[2] ТУ ДКТЦ 41344.1.1.102 Анализатор-течеискатель АНТ-3. Технические условия
-
[3] РД-03-20-2007 Положение об организации обучения и проверки знаний рабочих организаций, поднадзорных федеральной службе по экологическому, технологическому и атомному надзору.
ФГУП «ВНИИР»
Страница 26 из 26
Здесь и далее по тексту приведены ссылки на рисунки Приложения А
-
11.2.1.3 Величину Vполученную в результате интегрирования площади поперечного сечения нижней части резервуара S' (/Г) по уровню Н, при изменении уровня от йдн1 до /гда2 вычисляют по формуле
где Ио - вместимость приямка, вычисляемая по формуле (В.7), м3;
7/ - уровень жидкости, отсчитываемый от точки касания днища резервуара грузом рулетки, мм;
йдн1 - уровень жидкости, соответствующий высоте нижней части днища резервуара, по таблице Б. 5 (рисунок А.1);
Рф к - объем фундамента колонны, вычисляемый по формуле (В.8), м3;
йф к - верхняя граница фундамента колонны, мм.
Форма градуировочной таблицы не подлежит изменению
