Методика поверки «Трубы визирные измерительные Micro Alignment Telescope Taylor Hobson» (МП АПМ 28-16)
УТВЕРЖДАЮ
Генеральны] ООО «Abtoi
•ектор iecc-М»
.С. Никитин
OS 2016 г.
Трубы визирные измерительные Micro Alignment Telescope Taylor HobsonМЕТОДИКА ПОВЕРКИ
МП АПМ 28-16г. Москва
2016 г.
Настоящая методика поверки распространяется на трубы визирные измерительные Micro Alignment Telescope Taylor Hobson, производства «Taylor Hobson Ltd.», Великобритания (далее -трубы визирные) и устанавливает методику их первичной и периодической поверки.
Интервал между периодическими поверками -1 год.
1. Операции поверкиПри проведении поверки должны выполняться операции, указанные в таблице 1. Таблица 1
№ п/п |
Наименование операции |
№ пункта документа по поверке |
Проведение операций при | |
первичной поверке |
периодической поверке | |||
1 |
Внешний осмотр |
7.1 |
Да |
Да |
2 |
Опробование |
7.2 |
Да |
Да |
3 |
Определение метрологических характеристик: |
7.3 |
- |
- |
3.1 |
Определение абсолютной погрешности отсчетного устройства (при доверительной вероятности 0,95) |
7.3.1 |
Да |
Да |
3.2 |
Определение отклонения от соосности геометрической и визирной осей визирной трубы |
7.3.2 |
Да |
Да |
3.3 |
Определение абсолютной погрешности измерений отклонений от прямолинейности и плоскостности (при доверительной вероятности 0,95) |
7.3.3 |
Да |
Да |
2. Средства поверки
При проведении поверки должны применяться эталоны и вспомогательные средства, приведенные в таблице 2.
Таблица 2
№ пункта документа |
Наименование эталонов, вспомогательных средств поверки и их основные метрологические и технические характеристики | |
по |
поверке | |
7.3.1 |
Мера длины штриховая (стеклянная) 2 разряда по ГОСТ Р 8.763-2011 | |
7.3.2 | ||
7.3.3 |
Меры длины концевые 2 разряда по ГОСТ Р 8.763-2011 |
Допускается применять другие средства поверки, обеспечивающие определение метрологических характеристик с точностью, удовлетворяющей требованиям настоящей методике поверки.
3. Требования к квалификации поверителейК проведению поверки допускаются лица, изучившие эксплуатационные документы на трубу визирную, имеющие достаточные знания и опыт работы с нею.
4. Требования безопасностиПри проведении поверки, меры безопасности должны соответствовать требованиям по технике безопасности согласно эксплуатационной документации на трубу визирную и поверочное оборудование и правилам по технике безопасности, действующим на месте проведения поверки.
5. Условия поверкиПри проведении поверки должны соблюдаться следующие нормальные условия измерений:
-
- температура окружающей среды, °C.............................................. 20±5;
-
- относительная влажность воздуха, %............................................ не более 80;
-
- атмосферное давление, кПа (мм рт.ст.)......................................84,0... 106,7 (630..800);
Перед проведением поверки должны быть выполнены следующие подготовительные работы:
-
- проверить наличие действующих свидетельств о поверке на средства поверки;
-
- трубу визирную и средства поверки привести в рабочее состояние в соответствии с их эксплуатационной документацией;
-
- труба визирная и визирные марки должны быть установлены на специальных основаниях (фундаментах) или штативах, не подвергающихся механическим (вибрация, деформация, сдвиги) и температурным воздействиям.
7 Проведение поверки
7.1 Внешний осмотрПри внешнем осмотре должно быть установлено соответствие трубы визирной следующим требованиям:
-
- отсутствие коррозии, механических повреждений и других дефектов, влияющих на эксплуатационные и метрологические характеристики;
-
- оцифровка отсчетной шкалы должна быть метрической с ценой деления 0,02 мм;
-
- наличие маркировки и комплектности согласно требованиям эксплуатационной документации.
При опробовании должно быть установлено соответствие трубы визирной следующим требованиям:
-
- отсутствие качки и смещений неподвижно соединенных деталей и элементов;
-
- правильность взаимодействия с комплектом принадлежностей;
-
- работоспособность всех функциональных режимов;
-
- вращение отсчетных барабанов в диапазоне ±1,2 мм и барабана фокусировки в диапазоне от
0,5 до 30 м должно быть плавными;
-
- поле зрения должно быть чистым и равномерно освещенным.
-
7.3 Определение метрологических характеристик
Абсолютная погрешность отсчетного устройства (при доверительной вероятности 0,95) определяется с помощью штриховой шкалы 2 разряда путем многократных измерений (не менее 10) ее миллиметрового интервала. Следует установить шкалу на расстоянии (100±50) мм от торца визирной трубы и в соответствии с руководством по эксплуатации выполнить измерения.
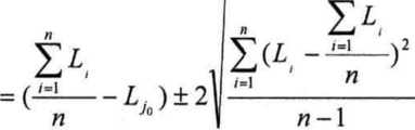
Абсолютная погрешность отсчетного устройства вычисляется как сумма систематической и случайной погрешности по выражению:
п

где AZ, - абсолютная погрешность, мм;
L - эталонное значение интервала, мм;
L - измеренное значение интервала i измерением, мм;
п - число измерений интервала.
Абсолютная погрешность отсчетного устройства (при доверительной вероятности 0,95) не должна превышать ±0,02 мм.
Аналогичное определение абсолютной погрешности выполнить для второго отсчетного устройства после поворота визирной трубы в установочной подставке на угол 90°.
7.3.2 Определение отклонения от соосности геометрической и визирной осей визирной трубыОтклонение от соосности геометрической и визирной осей визирной трубы определяется с помощью штриховой шкалы 2 разряда. Следует установить шкалу на расстоянии (100±50) мм от торца визирной трубы. Выполнить не менее 5 наведений на штрих шкалы и вычислить среднее арифметическое значение полученных отсчетов. Провернуть визирную трубу в установочной подставке на угол 180°. Выполнить не менее 5 наведений на тот же штрих и вычислить среднее арифметическое значение полученных отсчетов. Модуль разности средних арифметических значений будет являться отклонением от соосности геометрической и визирной осей.
Отклонение от соосности геометрической и визирной осей визирной трубы не должно превышать 0,01 мм.
7.3.3 Определение абсолютной погрешности измерений отклонений от прямолинейности и плоскостности (при доверительной вероятности 0,95)Абсолютная погрешность измерений отклонений от прямолинейности и плоскостности (при доверительной вероятности 0,95) определяется с помощью концевых мер длины.
Выполнить серию измерений в следующей последовательности.
Установить визирную марку на расстоянии (3±1) м от торца визирной трубы и в соответствии с руководством по эксплуатации выполнить измерения ее положения не менее тремя наведениями и вычислить среднее арифметическое значение полученных отсчетов. Изменить положение визирной марки по высоте с помощью концевых мер длины на величину в диапазоне от 0,3 до 1,1 мм. Трубой визирной выполнить измерения ее положения не менее тремя приемами и вычислить среднее арифметическое значение полученных отсчетов. Разность средних арифметических значений будет являться отклонением положения визирной марки от прямолинейности.
Выполнить не менее 10 серий измерений.
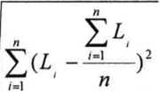
Абсолютная погрешность измерений отклонений от прямолинейности и плоскостности вычисляется как сумма систематической и случайной погрешности по выражению:
п
АА

П


П -1
где Д£
- абсолютная погрешность измерения отклонения, мм;
L - эталонное значение отклонения, мм;
О
L - измеренное значение отклонения i серией измерения, мм;
п - число серий измерений.
Установить визирную марку на расстоянии (29±1) м от торца визирной трубы и выполнить не менее 10 серий измерений отклонений от прямолинейности и плоскостности.
Абсолютная погрешность измерений отклонений от прямолинейности и плоскостности (при доверительной вероятности 0,95) не должна превышать ±(0,02+0,005*L) мм, где L -расстояние от торца визирной трубы, м.
Аналогичное определение абсолютной погрешности выполнить для второго отсчетного устройства после проворачивания визирной трубы в установочной подставке на угол 90°.
8. Оформление результатов поверки-
8.1 Положительные результаты поверки трубы визирной оформляют свидетельством о поверке в соответствии с Приказом Минпромторга №1815 «Об утверждении порядка проведения поверки средств измерений, требования к знаку поверки и содержанию свидетельства о поверке».
-
8.2 При несоответствии результатов поверки требованиям любого из пунктов настоящей методики трубу визирную к дальнейшей эксплуатации не допускают и выдают извещение о непригодности в соответствии с Приказом Минпромторга №1815. В извещении указывают причину непригодности и приводят указание о направлении трубы визирной в ремонт или невозможности ее дальнейшего использования.
М.В. Максимов
Руководитель отдела ООО «Автопрогресс-М»
5