Методика поверки «Система автоматизированная информационно-измерительная коммерческого учета электрической энергии (мощности) комплектной мобильной ГТЭС №5 на полуострове Крым, Площадка №3 Западно-Крымская» (МП ГТЭС0016.142-АУЭ)
УТВЕРЖДАЮ
Генеральный директор ООО « ИЦРМ »

подписи)
2016 г.
А.В. Щетинин
Система автоматизированная информационно-измерительная коммерческого учета электрической энергии (мощности) комплектной мобильной ГТЭС №5 на полуострове Крым, Площадка №3 Западно-Крымская
МЕТОДИКА ПОВЕРКИ
ГТЭС0016.142-АУЭ.МП
Московская область, г. Видное
2016 г.
Настоящая методика устанавливает порядок проведения первичной и периодической поверки системы автоматизированной информационно-измерительной коммерческого учета электрической энергии (мощности) комплектной мобильной ГТЭС №5 на полуострове Крым, Площадка №3 Западно-Крымская (далее -АНИС КУЭ). Поверке подлежат измерительные каналы (далее - ПК) системы автоматизированной информационно-измерительной коммерческого учета электрической энергии (мощности) комплектной мобильной ГТЭС №5 на полуострове Крым, Площадка №3 Западно-Крымская, предназначенной для измерений активной и реактивной энергии, коммерческого и технического учета электрической энергии и мощности, а также автоматизированного сбора, накопления, обработки, хранения и отображения информации об энергоснабжении. В частности, АПИС КУЭ мобильной ГТЭС №5 - Западно-Крымская предназначена для использования в составе многоуровневых автоматизированных информационно-измерительных систем коммерческого учета электроэнергии и мощности (АЛИС КУЭ) на оптовом рынке электрической энергии (мощности)
Первичную поверку ПК проводят после установки и монтажа АЛИС КУЭ на объекте автоматизации и проведения опытной эксплуатации. Первичную поверку выполняют после проведения испытаний с целью утверждения типа.
Периодическую поверку выполняют в процессе эксплуатации АЛИС КУЭ.
Внеочередную поверку АЛИС КУЭ проводят после ремонта системы, замены её измерительных компонентов, аварий в энергосистеме, если эти события могли повлиять на метрологические характеристики ЛК. Допускается подвергать поверке только те ПК, которые подверглись указанным выше воздействиям, при условии, что собственник АЛИС КУЭ подтвердит официальным заключением, что остальные ЛК этим воздействиям не подвергались. В этом случае может быть оформлено дополнение к основному свидетельству о поверке системы с соответствующей отметкой в основном свидетельстве.
Интервал между поверками - 4 года.
1 .ОБЩИЕ ТРЕБОВАНИЯ К ИЗМЕРИТЕЛЬНЫМ КАНАЛАМ
ЕЕ Погрешность измерений электрической энергии и мощности в основном определяется погрешностями измерительных трансформаторов напряжения (TH), трансформаторов тока (ТТ) и электросчетчиков Эсч.
Структура ЛК приведена на рис. 1.

Эсч N
Рис.1
где ЛПД - линии передачи данных;
УСПД - устройство сбора и передачи данных;
ЭВМ - электронно-вычислительная машина.
Вся информация об энергопотреблении в цифровом виде с координатами времени и без искажений может быть передана на УСПД по его запросу или в автоматическом режиме.
УСПД в своем составе имеет цифровые входы, встроенные часы, электронную память и интерфейсы связи. Каналы связи и преобразователи интерфейсов не вносят дополнительных погрешностей в измерения электрической энергии и мощности ПК, потому что передаче подлежит только цифровая информация, и протоколы обмена данными имеют защиту от искажения помехами. В случае сбоя при передаче данных запрос повторяется, что делает процесс измерений устойчивым к сбоям. При повреждении каналов связи роль ЭВМ может выполнять переносной компьютер.
Точность измерений электрической энергии по одному каналу и по группе каналов характеризуется пределом допускаемой относительной погрешности при доверительной вероятности 0,95 и пороговой мощностью, ниже которой идет учет электроэнергии без нормирования точности. При измерении количества электрической энергии, оплачиваемой по тарифу, зависящему от времени суток, точность канала дополнительно характеризуется абсолютной погрешностью измерений системного времени.
Точность измерений электрической мощности по одному каналу и по группе каналов характеризуется:
-
- пределом относительной погрешности электрической мощности при доверительной вероятности 0,95;
-
- диапазоном мощности, измеряемой с нормированной точностью.
Поскольку все компоненты системы, участвующие в измерении и вносящие погрешность, должны быть метрологически годны согласно действующим свидетельствам о поверке, погрешность ПК оценивается расчетным методом. Исключение составляют погрешность и рассогласование по времени, так как они зависят от состояния каналов связи.
Общая погрешность измерительного канала состоит из инструментальных и методических составляющих погрешностей. Инструментальные составляющие погрешности определяют по документации на конкретные типы средств измерений. Методические составляющие погрешности определяются расчетным путем с учетом метрологических характеристик средств измерений.
-
2. ОПЕРАЦИИ И СРЕДСТВА ПОВЕРКИ
При проведении поверки должны быть выполнены следующие операции, указанные в таблице 2.1, и должны использоваться средства поверки, указанные в таблице 2.2. Допускается применение других средств измерений и контроля с аналогичными или улучшенными метрологическими характеристиками. Все средства измерений должны быть поверены и иметь действующие свидетельства о поверке и/или оттиски поверительных клейм.
Таблица 2.1 - Операции поверки
№ |
Операции поверки |
Номер пункта методики поверки |
1 |
Подготовка к поверке |
6 |
2 |
Подтверждение соответствия ПО СИ |
7.1 |
3 |
Внешний осмотр |
7.2 |
4 |
Поверка измерительных компонентов АИИС КУЭ мобильной ГТЭС №5 - Западно-Крымская |
7.3 |
5 |
Проверка счетчиков электрической энергии |
7.4 |
6 |
Проверка функционирования УСПД и АРМ |
7.5 |
7 |
Проверка функционирования вспомогательных устройств |
7.6 |
8 |
Проверка нагрузки вторичных цепей измерительных трансформаторов напряжения |
7.7 |
9 |
Проверка нагрузки вторичных цепей измерительных трансформаторов тока |
7.8 |
10 |
Проверка падения напряжения в линии связи между вторичной обмоткой TH и счетчиком |
7.9 |
11 |
Проверка абсолютной погрешности часов |
7.10 |
12 |
Проверка отсутствия ошибок информационного обмена |
7.11 |
13 |
Проверка метрологических характеристик измерительных каналов |
7.12 |
При проведении поверки применяют средства измерений и вспомогательные устройства, в соответствии с методиками поверки, указанными в описаниях типа на измерительные компоненты АИИС КУЭ, а также приведенные в таблице 2.2.
Таблица 2.2 - Средства измерений и вспомогательные устройства
№ п/п |
Наименование |
1 |
Средства поверки трансформаторов тока в соответствии с ГОСТ 8.217-2003 «Трансформаторы тока. Методика поверки» |
2 |
Средства поверки трансформаторов напряжения в соответствии с ГОСТ 8.216-2011 «Трансформаторы напряжения. Методика поверки» |
3 |
Средства измерений в соответствии с документом МИ 3195-2009 «Государственная система обеспечения единства измерений. Мощность нагрузки трансформаторов напряжения без отключения цепей. Методика выполнения измерений» |
Окончание таблицы 2.2
№ п/п |
Наименование |
4 |
Средства измерений в соответствии с документом МИ 3196-2009 «Государственная система обеспечения единства измерений. Вторичная нагрузка трансформаторов тока без отключения цепей. Методика выполнения измерений» |
5 |
Средства измерений падения напряжения в линии соединении счетчика с TH в соответствии с утвержденным документом «Методика выполнения измерений падения напряжения в линии соединения счетчика с трансформатором напряжения в условиях эксплуатации» |
6 |
Средства поверки счетчиков электрической энергии трехфазных многофункциональных Альфа А1800 в соответствии с документами «Счетчики электрической энергии трехфазные многофункциональные Альфа А1800. Методика поверки. ДЯИМ.411152.018 МП», утвержденным ГЦИ СИ ФГУП «ВНИИМС» в 2011 г. и «Счетчики электрической энергии трехфазные многофункциональные Альфа А1800. Дополнение к методике поверки ДЯИМ.411152.018 МП», утвержденным в 2012 г. |
7 |
Средства поверки счетчиков электрической энергии многофункциональных СЭТ-4ТМ.03 в соответствии с документов «Счётчик электрической энергии многофункциональный СЭТ-4ТМ.03. Руководство по эксплуатации. Приложение Г. Методика поверки ИЛГШ.411152.124 РЭ1», утвержденным ГЦИ СИ ФГУ «Нижегородский ЦСМ» в 2004 г. |
8 |
Средства поверки устройств сбора и передачи данных RTU-327 в соответствии с документом «Устройства сбора и передачи данных серии RTU-327. Методика поверки. ДЯИМ.466215.007 МП», утвержденным ГЦИ СИ ФГУП «ВНИИМС» в 2009 г. |
9 |
Термогигрометр CENTER (мод.314): диапазон измерений температуры от минус 20 до плюс 60 °C, дискретность 0,1 °C; диапазон измерений относительной влажности от 10 до 100 %, дискретность 0,1 % |
10 |
Приемник сигналов точного времени (например, радиочасы МИР РЧ-01, принимающие сигналы спутниковой навигационной системы Global Positioning System (GPS) |
11 |
Переносной компьютер с ПО и оптический преобразователь для работы со счетчиками системы, ПО для работы с радиочасами МИР РЧ-01 |
Примечание - Допускается применение других основных и вспомогательных средств поверки с метрологическими характеристиками, обеспечивающими требуемые точности измерений.
Все СИ, применяемые при поверке, должны быть утвержденного типа и поверены.
-
3. УСЛОВИЯ ПОВЕРКИ И ПОДГОТОВКИ К НЕИ
При проведении поверки должны быть соблюдены следующие условия:
-
1) температура окружающего воздуха (20 ± 5) °C
-
2) относительная влажность (30-80) %;
-
3) напряжение питающей сети 220 В ± 10 %,
-
4) частота (50±1) Гц;
-
5) атмосферное давление от 86 до 106,7 кПа.
Допускается проводить поверку в рабочих условиях эксплуатации ИК, если при этом соблюдаются условия эксплуатации рабочих эталонов поверки.
-
4. ТРЕБОВАНИЯ БЕЗОПАСНОСТИ
При проведении поверки должны быть соблюдены требования безопасности, установленные, действующими «Правилами технической эксплуатации электроустановок потребителей» и «Правилами по охране труда при эксплуатации электроустановок (ПОТЭУ)».
-
5. ТРЕБОВАНИЯ К КВАЛИФИКАЦИИ ПОВЕРИТЕЛЕЙ
-
5.1 К проведению поверки, допускают поверителей из числа сотрудников организаций, аккредитованных на право проведения поверки в соответствии с действующим законодательством РФ, изучивших настоящую методику поверки и инструкцию по эксплуатации комплекса технических средств ГТЭС0016.142-АУЭ.ИЭ на АИИС КУЭ мобильной ГТЭС №5 - Западно-Крымская, имеющих стаж работы по данному виду измерений не менее 1 года.
-
5.2 Измерение вторичной нагрузки измерительных трансформаторов тока, входящих в состав АИИС КУЭ, осуществляется персоналом, имеющим стаж работы по данному виду измерений не менее 1 года, изучившим документ «Методика выполнения измерений мощности нагрузки трансформаторов тока в условиях эксплуатации» и прошедшим обучение по проведению измерений в соответствии с указанным документом. Измерения проводят не менее двух специалистов, один из которых должен иметь удостоверение, подтверждающее право работы на установках свыше 1000 В с группой по электробезопасности не ниже IV.
-
5.3 Измерение вторичной нагрузки измерительных трансформаторов напряжения, входящих в состав АИИС КУЭ, осуществляется персоналом, имеющим стаж работы по данному виду измерений не менее 1 года, изучившим документ «Методика выполнения измерений мощности нагрузки трансформаторов напряжения в условиях эксплуатации» и прошедшим обучение по проведению измерений в соответствии с указанным документом. Измерение проводят не менее двух специалистов, один из которых должен иметь удостоверение, подтверждающее право работы на установках свыше 1000 В с группой по электробезопасности не ниже IV.
-
5.4 Измерение потерь напряжения в линии соединения счетчика с измерительным трансформатором напряжения, входящими в состав АИИС КУЭ, осуществляется персоналом, имеющим стаж работы по данному виду измерений не менее 1 года, изучившим документ «Методика выполнения измерений потерь напряжения в линиях соединения счетчика с трансформатором напряжения в условиях эксплуатации» и прошедшим обучение по проведению измерений в соответствии с указанным документом. Измерение проводят не менее двух специалистов, один из которых должен иметь удостоверение, подтверждающее право работы на установках свыше 1000 В с группой по электробезопасности не ниже IV.
-
-
6. ПОДГОТОВКА К ПОВЕРКЕ
Перед проведением поверки решается комплекс организационных вопросов, связанных с процессом поверки, в соответствии с порядком, принятым на предприятии. Проводятся инструктажи персоналу (вводный, первичный и целевой), участвующему в поверке.
Средства поверки и вспомогательные технические средства следует применять в соответствии с требованиями эксплуатационной документации на них.
Проводится ознакомление со структурой и работой ИК по эксплуатационной документации.
-
7. ПРОВЕДЕНИЕ ПОВЕРКИ
-
7.1 Подтверждение соответствия ПО СИ
-
7.1.1 Проверка Цифрового идентификатора программного обеспечения происходит с помощью компьютера (АРМ или ноутбук), подключенного к серверу с ПО «АльфаЦЕНТР». Необходимо с АРМ или ноутбука удаленно подключиться к ПО «АльфаЦЕНТР» и скопировать следующий файл: ac_metrology.dll. Далее необходимо запустить программу md5.exe. В программе появится диалоговое окно, после чего необходимо перенести скопированный с ПО «АльфаЦЕНТР» файл в рабочее поле программы.
-
-
Далее в закладке диалогового окна выбрать команду - Произвести контрольную сумму. После этого произойдет создание файла, содержащего код MD5, в текстовом формате. При этом наименование файла MD5 строго соответствует наименованию файла, для которого проводилось хэширование.
-
7.1.2 Проверка считается положительной, если данные, полученные в п.7.1.1 соответствуют данным, указанным в Описании типа.
-
7.2 Внешний осмотр
-
7.2.1 Проверяют целостность корпусов и отсутствие видимых повреждений измерительных компонентов, наличие поверительных пломб и клейм.
-
7.2.2 Проверяют размещение измерительных компонентов, правильность схем подключения трансформаторов тока и напряжения к счетчикам электрической энергии; правильность прокладки проводных линий по проектной документации на АНИС КУЭ мобильной ГТЭС №5 -Западно-Крымская.
-
7.2.3 Проверяют соответствие типов и заводских номеров фактически использованных измерительных компонентов типам и заводским номерам, указанным в формуляре АИИС КУЭ мобильной ГТЭС №5 -Западно-Крымская.
-
7.2.4 Проверяют отсутствие следов коррозии и нагрева в местах подключения проводных линий.
-
-
7.3 Поверка измерительных компонентов АЛИС КУЭ мобильной ГТЭС №5 -Западно-Крымская.
Проверяют наличие свидетельств о поверке и срок их действия для всех измерительных компонентов: измерительных трансформаторов тока и напряжения, счетчиков электрической энергии, УСПД. При обнаружении просроченных свидетельств о поверке измерительных компонентов или свидетельств, срок действия которых близок к окончанию, дальнейшие операции по поверке ПК, в который они входят, выполняют после поверки этих измерительных компонентов.
-
7.4 Проверка счетчиков электрической энергии
-
7.4.1 Проверяют наличие и сохранность пломб поверительных организаций на счетчике и испытательной коробке. Проверяют наличие документов энергосбытовых организаций, подтверждающих правильность подключения счетчика к цепям тока и напряжения, в частности, правильность чередования фаз. При отсутствии таких документов или нарушении (отсутствии) пломб проверяют правильность подключения счетчиков к цепям тока и напряжения (соответствие схем подключения - схемам, приведенным в паспорте на счетчик). Проверяют последовательность чередования фаз с помощью вольтамперфазометра. При проверке последовательности чередования фаз действуют в соответствии с указаниями, изложенными в руководстве по его эксплуатации.
-
7.4.2 Проверяют работу всех сегментов индикаторов, отсутствие кодов ошибок или предупреждений, прокрутку параметров в заданной последовательности.
-
7.4.3 Проверяют работоспособность оптического порта счетчика с помощью переносного компьютера. Преобразователь подключают к любому последовательному порту переносного компьютера. Опрашивают счетчик по установленному соединению. Опрос счетчика считается успешным, если получен отчет, содержащий данные, зарегистрированные счетчиком.
-
7.4.4 Проверяют соответствие индикации даты в счетчике календарной дате (число, месяц, год). Проверку осуществляют визуально или с помощью переносного компьютера через оптопорт.
-
-
7.5 Проверка функционирования УСПД и АРМ
-
7.5.1 Проверяют наличие и сохранность пломб поверительных организаций на УСПД. При отсутствии или нарушении пломб проверяют правильность подсоединения УСПД. Проводят опрос текущих показаний всех счетчиков электроэнергии. Проверяют глубину хранения измерительной информации в УСПД.
-
7.5.2 Проверяют правильность функционирования УСПД в соответствии с его эксплуатационной документацией с помощью тестового программного обеспечения. Проверка считается успешной, если все подсоединенные к УСПД счетчики опрошены и нет сообщений об ошибках.
-
7.5.3 Проверяют программную защиту УСПД от несанкционированного доступа.
-
7.5.4 Проверяют правильность значений коэффициентов трансформации измерительных трансформаторов, хранящихся в памяти процессора УСПД.
-
7.5.5 Проверяют защиту программного обеспечения на АРМ от несанкционированного доступа. Для этого запускают на выполнение ПО «АльфаЦЕНТР» и в поле «пароль» вводят неправильный код. Проверку считают успешной, если при вводе неправильного пароля программа не разрешает продолжать работу.
-
-
7.6 Проверка функционирования вспомогательных устройств
-
7.6.1 Проверка функционирования модемов. Проверяют функционирование модемов, используя коммуникационные возможности специальных программ. Модемы считаются исправными в составе комплекса, если с ними были установлены тестовые коммутируемые соединения. Допускается автономная проверка модемов с использованием тестового программного обеспечения.
-
-
7.7 Проверка нагрузки вторичных цепей измерительных трансформаторов напряжения
-
7.7.1 Проверяют наличие и сохранность пломб энергоснабжающих организаций на клеммных соединениях, имеющихся на линии связи TH со счетчиком. Проверяют наличие документов энергосбытовых организаций, подтверждающих правильность подключения первичных и вторичных обмоток TH. При отсутствии таких документов или нарушении (отсутствии) пломб проверяют правильность подключения первичных и вторичных обмоток TH. При проверке мощности нагрузки вторичных цепей TH необходимо убедиться, что отклонение вторичного напряжения при нагруженной вторичной обмотке составляет не более ±10 % от Ином.
-
Измеряют мощность нагрузки TH, которая должна находиться в диапазоне (0,25-1,0) Shom.
Примечания:
-
1 Для трансформаторов с малыми номинальными вторичными нагрузками (до 10 В А) нижний предел вторичных нагрузок должен соответствовать значениям, указанным в ГОСТ 1983-2001
-
2 Допускается измерения мощности нагрузки вторичных цепей TH не проводить, если такие измерения проводились при составлении паспортов-протоколов на данный измерительный канал в течение истекающего межповерочного интервала системы. Результаты проверки считают положительными, если паспорт-протокол подтверждает выполнение указанного выше условия для TH.
-
3 Допускается мощность нагрузки определять расчетным путем, если известны входные (проходные) импедансы всех устройств, подключенных ко вторичным обмоткам измерительных трансформаторов.
-
7.8 Проверка нагрузки вторичных цепей измерительных трансформаторов тока
-
7.8.1 Проверяют наличие документов энергосбытовых организаций, подтверждающих правильность подключения вторичных обмоток ТТ. При отсутствии таких документов проверяют правильность подключения вторичных обмоток ТТ.
-
7.8.2 Измеряют мощность нагрузки вторичных цепей ТТ, которая должна находиться в диапазоне (0,25-1,0) Shom.
-
Примечания:
-
1 Для трансформаторов с малыми номинальными вторичными нагрузками (до 10 В-А) нижний предел вторичных нагрузок должен соответствовать значениям, указанным в ГОСТ 7746-2001
-
2 Допускается измерения мощности нагрузки вторичных цепей ТТ не проводить, если такие измерения проводились при составлении паспортов-протоколов на данный измерительный канал в течение истекающего межповерочного интервала системы. Результаты проверки считают положительными, если паспорт-протокол подтверждает выполнение указанного выше условия для ТТ.
-
3 Допускается мощность нагрузки определять расчетным путем, если известны входные (проходные) импедансы всех устройств, подключенных ко вторичным обмоткам ТТ.
-
7.9 Проверка падения напряжения в линии связи между вторичной обмоткой TH и счетчиком
Измеряют падение напряжения Ил в проводной линии связи для каждой фазы по утвержденному документу «Методика выполнения измерений падения напряжения в линии соединения счетчика с трансформатором напряжения в условиях эксплуатации». Падение напряжения не должно превышать 0,25 % от номинального значения на вторичной обмотке TH с классом точности не хуже 0,5.
Примечания:
-
1 Допускается измерение падения напряжения в линии соединения счетчика с TH не проводить, если такие измерения проводились при составлении паспортов - протоколов на данный измерительный канал в течение истекающего интервала между поверками системы. Результаты проверки считают положительными, если паспорт-протокол подтверждает выполнение указанного выше требования.
-
2 Допускается падение напряжения в линии соединения счетчика с TH определять расчетным путем, если известны параметры проводной линии связи и сила электрического тока, протекающего через линию связи.
-
7.10 Проверка абсолютной погрешности часов
-
7.10.1 Производится подключение радиочасов МИР РЧ-01 к АРМ АПИС КУЭ. Подключение радиочасов производится по СОМ порту (при отсутствии СОМ порта на АРМ необходимо подключить радиочасы через переходник USB-СОМ). На АРМ устанавливается и запускается программа TEST_MOD.EXE, идущая в комплекте с радиочасами.
-
Производится подключение с АРМ АПИС КУЭ к рабочему столу Windows на сервере с ПО «АльфаЦЕНТР» с помощью программы удаленного управления (например программа tight VNC Viewer).
Производится сравнение времени на сервере с ПО «АльфаЦЕНТР» и времени, полученного от радиочасов. Время от радиочасов отображается программой TEST_MOD.EXE. Расхождение времени на сервере с ПО «АльфаЦЕНТР» и времени, полученного от радиочасов, не должно превышать ±5 с.
Производиться сравнение времени, считанного с УСПД, сервера с ПО «АльфаЦЕНТР» и времени, полученного от радиочасов. Считывание времени с УСПД производиться с помощью ПО конфигурирования УСДП, установленного на сервере с ПО «АльфаЦЕНТР». Расхождение времени УСПД и времени, полученного от радиочасов, не должно превышать ±5 с. Расхождение времени УСПД и времени на сервере с ПО «АльфаЦЕНТР» не должно превышать ±5 с.
Производиться сравнение времени, считанного со всех счетчиков, времени на сервере с ПО «АльфаЦЕНТР» и времени полученного от радиочасов. Считывание времени со счетчиков производиться с помощью ПО конфигурирования счетчиков, установленного на сервере с ПО «АльфаЦЕНТР», с использованием режима «сквозного канала» к счетчику через УСПД. Расхождение времени каждого счетчика и времени, полученного от радиочасов, не должно превышать ±5 с. Расхождение времени каждого счетчика и времени на сервере с ПО «АльфаЦЕНТР» не должно превышать ±5 с.
Через сутки производится повторное сравнение времени радиочасов, сервера с ПО «АльфаЦЕНТР», УСПД и счетчиков.
Система считается выдержавшей проверку, если:
расхождение времени сервера с ПО «АльфаЦЕНТР», УСПД и всех счетчиков с временем, полученным от радиочасов, не превышает ±5 с. расхождение времени УСПД и всех счетчиков со временем сервера с ПО «АльфаЦЕНТР» не превышает ±5 с
-
7.11 Проверка отсутствия ошибок информационного обмена
Операция проверки отсутствия ошибок информационного обмена предусматривает экспериментальное подтверждение идентичности числовой измерительной информации в счетчиках электрической энергии (исходная информация), и памяти центрального сервера. В момент проверки все технические средства, входящие в проверяемый ИК, должны быть включены.
-
7.11.1 На АРМ системы распечатывают значения активной и реактивной электрической энергии, зарегистрированные с 30-ти минутным интервалом за полные предшествующие дню проверки сутки по всем ИК. Проверяют наличие данных, соответствующих каждому 30-ти минутному интервалу времени. Пропуск данных не допускается за исключением случаев, когда этот пропуск был обусловлен отключением ИК или устраненным отказом какого-либо компонента системы.
-
7.11.2 Распечатывают журнал событий счетчика и отмечают моменты нарушения связи между измерительными компонентами системы. Проверяют сохранность измерительной информации в памяти УСПД и АРМ системы на тех интервалах времени, в течение которых была нарушена связь.
-
7.11.3 Распечатывают на АРМ профиль нагрузки за полные сутки, предшествующие дню поверки. Подключаются к счетчику, используя переносной компьютер и оптопорт, или устанавливают подключение к счетчику с АРМ АИИС КУЭ, используя возможность прямого доступа к счетчику через УСПД и ИВК. Далее считывают профиль нагрузки, хранящийся в памяти счетчика, за те же сутки, которые были распечатаны на АРМ, профиль нагрузки необходимо считывать в импульсах и производить пересчет с учетом постоянной счетчика. Различие значений активной (реактивной) мощности, хранящейся в памяти счетчика (с учетом коэффициентов трансформации измерительных трансформаторов и постоянной счетчика) и базе данных центрального сервера не должно превышать единицу младшего разряда учтенного значения.
-
7.11.4 Рекомендуется вместе с проверкой по п. 7.11.3 сличать показания счетчика по активной и реактивной электрической энергии строго в конце суток и сравнивать с данными, зарегистрированными на сервере системы для того же момента времени. Для этого визуально или с помощью переносного компьютера через оптопорт считывают показания счетчика по активной и реактивной электрической энергии и сравнивают эти данные, с показаниями, зарегистрированными в АРМ системы. Расхождение не должно превышать единицу младшего разряда.
-
7.12 Проверка метрологических характеристик измерительных каналов.
-
7.12.1 Общие положения.
-
7.12.1.1 Для определения метрологических характеристик (далее - MX) ИК системы всем расчетам, предусмотренным методикой поверки, предшествует установление исходных данных для определения погрешностей ИК.
-
7.12.1.2 Исходные данные для вычисления погрешностей.
-
-
Погрешности измерительных трансформаторов и электросчетчика относятся к инструментальным погрешностям.
Линии передачи данных от УСПД, АРМ до оборудования связи не влияют на погрешность измерений в силу цифрового характера передачи данных.
Погрешность измерений времени определяется погрешностью таймера счетчика, УСПД и сервера.
Принимаемый закон распределения погрешностей - нормальный.
Факторы, определяющие погрешность - независимыми.
Доверительная вероятность определения погрешности - 0,95.
Погрешности измерительных трансформаторов - не коррелированны между собой.
Колебания напряжения в сети составляют ±10 % от номинального значения, колебания частоты ±2 % от номинального, изменения фазы тока относительно напряжения происходят от ^тах до <Pmin.
Закон распределения влияющих факторов предполагается нормальным, за исключением амплитуды 3-й гармоники, амплитуды вибрации и напряженности переменного магнитного поля, законы распределения которых предполагаются экспоненциальными.
-
7.12.2 Порядок расчета MX для ИК электрической энергии и мощности.
Операции данного пункта поверки проводятся для каждого канала в отдельности.
-
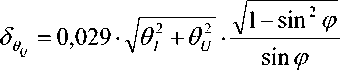
7.12.2.1 Определение погрешности измерения электрической энергии, обусловленной угловыми погрешностями TH и ТТ.
Погрешность измерений активной электроэнергии, обусловленную трансформаторной схемой подключения счетчика в каждой точке диапазона, вычисляют по формуле:


cos<p
(1)
Погрешность измерений реактивной электроэнергии, обусловленную трансформаторной схемой подключения счетчика в каждой точке диапазона, вы-
числяют по формуле:

(2)
В формулах приведены следующие обозначения:
О,
Ои
-
- угловая погрешность ТТ, мин;
-
- угловая погрешность TH, мин;
cos (р - коэффициент мощности для активной электроэнергии; sin (р - коэффициент мощности для реактивной электроэнергии.
7.12.2.3 Пределы допускаемых относительных погрешностей измерения активной и реактивной электрической энергии и мощности, определяются композицией пределов допускаемых значений погрешностей трансформаторов напряжения, тока и счетчиков электроэнергии в реальных условиях эксплуатации и практически не зависят от способов передачи измерительной информации и способов организации информационных каналов. (Предел допускаемой дополнительной абсолютной погрешности измерения электроэнергии в АЛИС КУЭ мобильной ГТЭС №5 - Западно-Крымская, получаемой за счет математической обработки измерительной информации, поступающей от счетчиков, составляет единицу младшего разряда измеренного (учтенного) значения).
Расчет доверительных границ относительной погрешности результата измерений активной и реактивной электрической энергии, при доверительной вероятности, равной 0,95 производится по формуле:


(3)
В формуле приведены следующие обозначения:
- пределы относительной погрешности измерения тока ТТ, %;
8ц - пределы относительной погрешности измерения напряжения TH,
%;
8еР(О) - пределы относительной погрешности схемы подключения счетчика, вызванной угловыми погрешностями ТТ и TH, %;
8Л - относительная погрешность из-за потерь напряжения в линии со
единения счетчика с TH, %;
8У_с. - основная относительная погрешность измерения времени, %;
'У. С.
8c.owP(Q) ■ пределы основной относительной погрешности счетчика при изме
рении активной и реактивной электроэнергии, %;
/

- суммарная дополнительная относительная погрешность счетчика от j-й влияющей величины при измерении активной и реактивной электроэнергии, %.
В случае получения отрицательного результата (несоответствие приписанной погрешности ИК) процедура поверки прекращается до определения и устранения причин несоответствия.
Пределы допускаемых значений относительной погрешности измерения активной и реактивной электрической энергии, рассчитанные для рабочих условий эксплуатации АИИС КУЭ мобильной ГТЭС №5 - Западно-Крымская, приведены в Описании типа.
-
8 ОФОРМЛЕНИЕ РЕЗУЛЬТАТОВ ПОВЕРКИ
-
8.1 Результаты поверки оформляются записью в протоколе поверки произвольной формы.
-
8.2 При положительных результатах поверки выдается «Свидетельство о поверке» в соответствии с Порядком проведения поверки средств измерений, требований к знаку поверки и содержанию свидетельства о поверке, утвержденным Приказом Минпромторга Российской Федерации №1815 от 02.07.2015.
-
8.3 При отрицательных результатах поверки система к эксплуатации не допускается и выписывается «Извещение о непригодности» в соответствии с Порядком проведения поверки средств измерений, требований к знаку поверки и содержанию свидетельства о поверке, утвержденным Приказом Минпромторга Российской Федерации №1815 от 02.07.2015, с указанием причин непригодности.
-
-
9 НОРМАТИВНЫЕ ССЫЛКИ
В настоящей методике использовались ссылки на следующие нормативные документы:
РМГ 51-2002 «ГСИ. Документы на методики поверки средств измерений. Основные положения»;
ПР 50.2.012-94 «ГСИ. Порядок аттестации поверителей средств измерений»;
ГОСТ Р 8.596-2002 «ГСИ. Метрологическое обеспечение измерительных систем. Основные положения»;
ГОСТ Р 4.199-85 «СПКП. Системы информационные электроизмерительные. Комплексы измерительно-вычислительные. Номенклатура показателей»;
ГОСТ 8.216-2011 «ГСИ. Трансформаторы напряжения. Методика поверки»;
ГОСТ 8.217-2003 «ГСИ. Трансформаторы тока. Методика поверки»;
ГОСТ 7746-2001 «Трансформаторы тока. Общие технические условия»;
ГОСТ 1983-2001 «Трансформаторы напряжения. Общие технические условия»;
ГОСТ 32144-2013 «Электрическая энергия. Совместимость технических средств электромагнитная. Нормы качества электрической энергии в системах электроснабжения общего назначения»;
ГОСТ 12.2.003-91 «Система стандартов безопасности труда. Оборудование производственное. Общие требования безопасности»;
ГОСТ 12.2.007.0-75 «Система стандартов безопасности труда. Изделия электротехнические. Общие требования безопасности»;
ГОСТ 12.2.007.3-75 «Система стандартов безопасности труда. Электротехнические устройства на напряжение свыше 1000 В. Требования безопасности»;
ГОСТ Р 51321.1-2007 «Устройства комплектные низковольтные распределения и управления. Часть 1. Устройства, испытанные полностью или частично. Общие технические требования и методы испытаний»;
МИ 3195-2009 «ГСИ. Мощность нагрузки трансформаторов напряжения, методика выполнения измерений без отключения цепей. Рекомендация»;
МИ 3196-2009 «ГСИ. Вторичная нагрузка трансформаторов тока. Методика выполнения измерений без отключения цепей. Рекомендация»;
Правила по охране труда при эксплуатации электроустановок (ПОТЭУ), утвержденные Приказом Министерства труда и социальной защиты Российской Федерации от 24.07.2013 №328н;
Правила технической эксплуатации электроустановок потребителей.

Устинова
Разработал: Ведущий инженер ООО «ИЦРМ»
Приложение А
(обязательное)
Таблица А1 - Лист регистрации изменений ИК системы
Наименование объекта |
Заменяемый компонент |
Заменяющий компонент | ||
Тип |
Зав. номер |
Метрологические характеристики | ||
стр. 16 из 16