Методика поверки «ГСИ.Система измерений количества газа морской ледостойкой стационарной платформы имени Ю. Корчагина ООО «ЛУКОЙЛ-Нижневолжскнефть»» (МП МЦКЛ.0198)
ЗАКРЫТОЕ АКЦИОНЕРНОЕ ОЫЦЕСГВО КОНСАЛТИНГО-ИНЖИНИРИНГОВОЕ ПРЕДПРИЯТИЕ «МЕТРОЛОГИЧЕСКИЙ ЦЕНТР ЭНЕРГОРЕСУРСОВ» (ЗАО КИН «МЦЭ»)
УТВЕРЖДАЮ

*■ i V <
директор «МЦЭ»
;'-|*eipo»or»«cw»
_ А.В. Федоров
2016 г.
ИНСТРУКЦИЯ
ГОСУДАРСТВЕННАЯ СИСТЕМА ОБЕСПЕЧЕНИЯ ЕДИНСТВА ИЗМЕРЕНИЙ
Система измерений количества газа морской ледостойкой стационарной платформы имени Ю. Корчагина ООО «ЛУКОЙЛ-Нижневолжскнефть»
МЕТОДИКА ПОВЕРКИ
МЦКЛ.0198.МП
Москва 2016 г.
СОДЕРЖАНИЕ-
6 Проведение поверки и обработка результатов
-
6.5 Определение метрологических характеристик
-
6.5.5 Определение MX контроллера измерительного FloBoss S600 при
измерении времени и вычислении расхода и объема газа
-
6.5.6 Определение относительной погрешности определения плотности газа
-
6.5.7 Определение относительной погрешности системы при определении
объема газа, приведенного к стандартным условиям
ПРИЛОЖЕНИЕ А - Форма протокола поверки системы
ПРИЛОЖЕНИЕ Б - Форма протокола определения MX ИК объемного расхода газа
ПРИЛОЖЕНИЕ В - Форма протокола комплектной поверки ИК плотности газа
ПРИЛОЖЕНИЕ Г - Форма протокола покомпонентной поверки ИК плотности газа
ПРИЛОЖЕНИЕ Д - Форма протокола определения MX ИК избыточного давления газа
ПРИЛОЖЕНИЕ Е - Форма протокола определения MX ИК температуры газа
ПРИЛОЖЕНИЕ Ж - Технологическая схема для поверки ИК плотности газа
Настоящая методика поверки (далее - инструкция) распространяется на систему измерений количества газа морской ледостойкой стационарной платформы имени Ю. Корчагина ООО «ЛУКОИЛ-Нижневолжскнефть», заводской № 07720-01 (далее - система) и устанавливает объем, порядок и методику первичной (при вводе в эксплуатацию и/или после ремонта) и периодической поверки.
Для системы установлен покомпонентно-поканальный метод поверки.
Интервал между поверками системы - два года. Свидетельство о поверке системы оформляют на основании результатов проверки (определения) метрологических характеристик (далее -MX) ИК системы.
Интервал между поверками ИК плотности газа в составе системы - один год. Свидетельство о поверке ИК плотности газа оформляют на основании определения MX ИК в соответствии с настоящей методикой и ежегодно прикладывают к протоколу и свидетельству о поверке системы, в соответствии с порядком оформления результатов поверки, изложенном в разделе 7.
Допускается проведение поверки системы не в полном объеме (отдельных ИК в составе системы) в соответствии с заявлением владельца, с обязательным указанием в свидетельстве о поверке и протоколе поверки системы информации об объеме проведенной поверки.
1 Операции поверки-
1.1 При проведении поверки должны быть выполнены операции, указанные в таблице 1.
Таблица 1 - Операции поверки
Наименование операции |
Номер пункта методики |
Проведение операции при | |||
первичной поверке |
периоди-ческой поверке | ||||
перед вводом в эксплуатацию |
после ремонта (замены) СИ, в составе ИК |
после ремонта (замены) связующих компонентов | |||
1 |
2 |
3 |
4 |
5 |
6 |
Внешний осмотр |
6.1 |
Да |
Нет |
Нет |
Да |
Проверка соответствия программного обеспечения |
6.2 |
Да |
Да |
Нет |
Да |
Проверка защиты от несанкционированного доступа |
6.3 |
Да |
Да |
Да |
Да |
Опробование |
6.4 |
Да |
Да* |
Да* |
Да |
Определение MX ИК, входящих в состав системы |
6.5 |
Да |
Да* |
Да* |
Да |
Оформление результатов поверки |
7 |
Да |
Да |
Да |
Да |
* операция проводится только применительно к тому ИК, компоненты которого заменены (от-ремонтированы) или ПО
Определение MX системы производят путем последовательной и/или параллельной проверки MX ИК и/или измерительных компонентов системы.
При наличии специализированных переносных я атомных средств измерений и доступности входов системы комплектная проверка MX ИК системы на месте эксплуатации является предпочтительной.
В случае отсутствия переносных »галопных средств измерений и/или недоступности входов ИК системы, соогвететвующие ИК системы подвергают покомпонентной (поэлементной) проверке MX: демон пфованные первичные измери тельные преобразователи - в лабораторных условиях и in на месте эксплуатации; вторичную часть - комплексный компонент, включая линии связи и промежуточные измерительные преобразователи, на месте эксплуатации при одновременном контроле всех влияющих факторов, действующих на отдельные измерительные компоненты. MX таких ИК определяют расчетным путем по нормированным MX измерительных компонентов для условий, сложившихся на момент проверки и отличающихся от нормальных условий.
-
2 Средства поверки
-
2.1 Перечень средств измерений (эталонов) и вспомогательного оборудования, применяемых при проведении поверки:
-
баромс гр-анероид метеорологический БАММ-1 по ГУ25-11-1513, Россия, per. № в ФИФ ОЕИ РФ 5738. диапазон измерений от 80 до 106 кПа, цена деления шкалы 0,1 кПа, пределы допускаемой основной погрешности после введения поправок из паспорта +- 0.2 кПа. пределы допускаемой дополнительной погрешности после введения поправок из паспорта * 0,5 кПа;
-
- гигрометр психрометрический ВИТ-1 по ТУ25-11.1645 или ТУ 3 Украины 14307481.001-92. per. № в ФИФ ОЕИ РФ 9364, диапазон измерений относительной влажности от 20 до 90%. температурный диапазон измерений влажности от 5 до 25°С, диапазон измерений температуры от 0 до 25'3С, пена деления термометров 0,2°С либо ВИТ-2 по ТУ25-11.1645 или ТУ 3 Украины 14307481.001-92, диапазон измерений относительной влажности от 54 до 90%, от 40 до 90 %, от 20 до 90%, температурный диапазон измерений влажности ог 20 до 23°С. от 23 до 26°С, о г 26 до 404?. диапазон измерений температуры от 15 до 40°С, цена деления термометров 0,2°С, абсолютная погрешность 'гермометров с учетом введения поправок не более ±0,2°С. предел абсолютной погрешности гигрометра ±7 % при температуре «сухого» термометра от 5 до 10°С. ±6 % при температуре «сухого» термометра от 10 до 30°С, ±5 % при температуре «сухого» термометра от 30 до 40%?;
-калибратор многофункциональный MC5-R, per. № в ФИФ ОЕИ РФ 18624, диапазон воспрои «ведения силы постоянного тока от 0 до 25 мА, пределы допускаемой основной погрешности воспроизведения ±(0,02 % показания + 1 мкА); диапазон воспроизведения последовательности импульсов 0...9999999 ими. (амплитуда сигнала от 0 до 10 В); диапазон воспроизведения частотных сигналив прямоугольной формы от 0,0028 Гц до 50 кГц. пределы допускаемой основной относительной ишрешности воспроизведения +0,01 %;
-
- персональный компьютер с установленным программным обеспечением Config 600 (далее - ПК).
-
2.2 При проведении поверки системы также используют средства измерений (эталоны) и вспомогательное оборудование, указанные в соответствующих пунктах данной инструкции и методиках поверки измерительных компонентов, входящих в состав системы. Методики поверки измерительных компонентов, входящих в состав системы приведены в разделе 6 по тексту инструкции.
-
2.3 Допускается применение аналогичных средств поверки, обеспечивающих определение метрологических характеристик системы и/или СИ входящих в ее состав с требуемой точностью.
-
2.4 Все средства измерений, применяемые при поверке, должны быть исправны, пове-
4 рены и иметь действующие свидетельства о поверке или знаки поверки, а эталоны - действующие свидетельства об аттестации.
3 Требования безопасности-
3.1 При проведении поверки соблюдают требования безопасности, определяемые:
-
- правилами безопасности труда, действующими на месте проведения поверки системы - на МЛСП имени Ю. Корчагина;
-
- правилами безопасности, изложенными в эксплуатационной документации на систему, эксплуатационной документации компонентов системы, а также в эксплуатационной документации средств поверки системы;
-
- правилами безопасности, изложенными в документах на методики поверки измерительных компонентов системы и настоящей инструкции;
-
- Федеральными нормами и правилами в области промышленной безопасности «Правила безопасности в нефтяной и газовой промышленности»;
-
- Правилами технической эксплуатации электроустановок потребителей;
-
- Правилами техники безопасности при эксплуатации электроустановок потребителей;
-
- другими нормативными документами, действующими в сфере безопасности и охраны труда.
-
3.2 При необходимости, для безопасного доступа к оборудованию системы должны быть предусмотрены соответствующие лестницы, переходы и площадки обслуживания.
-
3.3 К выполнению работ при проведении поверки системы допускают лиц, имеющих квалификационную группу по технике безопасности не ниже II в соответствии с «Правилами техники безопасности при эксплуатации электроустановок потребителей», изучивших эксплуатационную документацию системы, эксплуатационную документацию компонентов системы, средств поверки и настоящую инструкцию.
-
3.4 Площадка системы должна содержаться в чистоте и быть оборудована первичными средствами пожаротушения.
-
3.5 При появлении утечек газа, загазованности и других ситуаций, нарушающих нормальный ход работ, поверку прекращают.
-
4.1 Комплектность и условия эксплуатации системы и ее измерительных компонентов, должны соответствовать требованиям ее технической и эксплуатационной документации. Все измерительные компоненты и ПК в составе системы, необходимые для измерений объема газа при стандартных условиях должны быть исправны. При проверке MX ИК и/или измерительных компонентов системы должны соблюдаться условия поверки, изложенные в настоящей инструкции и документах на методики поверки измерительных компонентов.
-
4.2 Напряжение питающей электросети [380 ; 220 ] В, 50 Гц.
По возможности должны выполняться следующие условия
-
- температура окружающего воздуха, °C...............................................от 15 до 25;
-
- относительная влажность воздуха, %.....................................................................от 30 до 90;
-
- атмосферное давление, кПа............................................................от 84 до 106,7;
- отсутствие вибрации, ударов и магнитного поля, кроме земного.
При невозможности обеспечения нормальных условий допускается проводить определение MX и поверку в фактических (рабочих) условиях. Стабильность окружающих условий на период проведения экспериментальных работ должна контролироваться путем измерения температуры, атмосферного давления и влажности в местах установки измерительных компонентов системы.
5 Подготовка к поверкеПеред проведением поверки должны быть проведены следующие подготовительные работы:
-
5.1 Проверяют наличие и изучают техническую и эксплуатационную документацию системы.
-
5.2 Изучают настоящую инструкцию, методики поверки измерительных компонентов, входящих в состав системы.
-
5.3 Проводят поверку измерительных компонентов, входящих в состав ИК системы, метрологические характеристики которых проверяют в лабораторных условиях вне МЛСП (на берегу).
-
5.4 Подготавливают средства поверки, при необходимости изучают их руководства по эксплуатации.
-
5.5 Оценивают фактические условия поверки в соответствии с разделом 4 настоящей инструкции с целью проверки их соответствия допускаемым рабочим условиям.
-
5.6 Проверяют параметры конфигурации системы и значения, введенных в память контроллеров измерительных FloBoss S600 констант, коэффициентов, пределов измерений и уставок на соответствие эксплуатационным документам (при необходимости производят корректировку конфигурации системы).
-
5.7 Следует обратить внимание на значение плотности газа при стандартных условиях, внесенное в память контроллеров измерительных FloBoss S600. Указанное значение плотности газа при стандартных условиях должно удовлетворять требованиям методики измерений системы, а именно отличаться от действительного значения плотности газа при стандартных условиях не более чем ±1,1 %. Действительное значение плотности газа при стандартных условиях определяют по отобранной пробе газа.
-
5.8 Выполняют иные необходимые подготовительные и организационные работы.
-
6.1 Внешний осмотр
-
6.1.1 При внешнем осмотре устанавливают:
-
-
- соответствие комплектности, маркировки, монтажа и пломбировки составных частей системы требованиям эксплуатационной документации;
-
- отсутствие повреждений и дефектов, препятствующих проведению поверки.
-
6.1.2 Результаты внешнего осмотра считают положительными, если установлено полное соответствие комплектности, маркировки, монтажа и пломбировки составных частей системы требованиям эксплуатационной документации, а также отсутствие повреждений и дефектов, препятствующих проведению поверки.
-
6.1.3 При выявлении несоответствий, такие несоответствия устраняют.
-
6.1.4 Результаты внешнего осмотра регистрируют в протоколе поверки, рекомендуемая форма которого приведена в приложение А.
6.2 Проверка соответствия программного обеспечения системы
-
6.2.1 Программное обеспечение (ПО) системы реализовано на базе встроенного программного обеспечения контроллеров измерительных FloBoss S600. Идентификационные данные ПО приведены в таблице 2.
Таблица 2 - Идентификационные данные ПО
Идентификационные данные (признаки) |
Значение | |
FloBoss S600 001А |
FloBoss S600 001В | |
Наименование программного обеспечения (ПО) |
операционная система | |
Идентификационное наименование ПО |
VxWorks | |
Номер версии (идентификационный номер) ПО |
5.44 |
5.52 |
Цифровой идентификатор ПО |
7ef8 |
clc7 |
Алгоритм вычисления цифрового идентификатора ПО |
CRC16 |
-
6.2.2 Для отображения контрольных сумм необходимо из MAIN MENU нажатием клавиши "5" выбрать пункт меню 5.SYSTEM SETTINGS. Затем нажатием клавиши "7" выбрать пункт меню 7.SOFTWARE VERSION. Далее, нажатием клавиши "Стрелка вправо" получить идентификационные данные с экранов: VERSION CONTROL FILE CSUM - контрольная сумма операционной системы VxWorks контроллера.
-
6.2.3 Результаты проверки ПО системы считаются положительными, если установлено полное соответствие идентификационных данных ПО.
-
6.2.4 Результаты проверки соответствия ПО регистрируют в протоколе поверки, рекомендуемая форма которого приведена в приложение А.
-
6.3 Проверка защиты от несанкционированного доступа
-
6.3.1 Проводят проверку реализованного в системе ограничения доступа в ШОИ.
-
6.3.2 Результаты проверки защиты считаются положительными, если доступ к ШОИ ограничен механическим замком.
-
6.4 Опробование
-
6.4.1 Опробование проводят путем проверки функционирования системы в соответствии с порядком, изложенным в руководстве по эксплуатации на систему.
-
6.4.2 Результаты опробования считают положительными, если работа системы и ее составных частей при измерении объема газа происходит в соответствии с эксплуатационной документацией и система не выдает никаких сообщений об ошибке.
-
6.5 Определение метрологических характеристик
Определение MX системы производят путем последовательного и/или параллельного определения MX ИК и последующего определения погрешности системы. Информация об ИК системы представлен в таблице 3.
Определение MX измерительных компонентов ИК, подвергаемых покомпонентной проверке выполняют на месте эксплуатации или на соответствующих поверочных установках по методикам поверки, приведенным в таблице 4.
Таблица 3 - ИК системы.
Наименование ИК, пределы допускаемой погрешности, диапазон измерений |
Количе ство |
Состав ИК |
Интервал между определени ем MX, месяцы | |
Измерительный компонент |
Измерительновычислительный компонент | |||
ИК объемного расхода газа ±0,4 % измеряемой величины от 200 до 1900 м3/ч |
2 |
Преобразователь расхода газа ультразвуковой SeniorSonic с электронным модулем Mark III (№ в Госреестре 28193-04) |
Контроллер измерительный FloBoss S600, вход частотный (№ Госреестре 38623-08) (основной и резервный) |
24 |
ИК плотности газа ±0,9 % измеряемой величины от 80 до 200 кг/м3 |
1 |
Преобразователь плотности газа измерительный модели 7812 (№ в Госреестре 15781-06) |
12 | |
ИК избыточного давления газа ±0,25 % диапазона измерений от 0 до 18 МПа |
2 |
Преобразователь давления измерительный 3051S (№ в Госреестре 24116-08) |
Контроллер измерительный FloBoss S600, вход токовый 4-20 мА (№ в Госреестре 38623-08) (основной и резервный) |
24 |
ИК температуры газа ±0,25 °C от 0 до 80 °C |
2 |
Датчик температуры 3144Р (№ в Госреестре 39539-08) |
24 |
Таблица 4 - Документы на методики поверки для компонентов ИК системы
Измерительный компонент ИК системы |
Документ на методику поверки |
1 Преобразователь расхода газа ультразвуковой SeniorSonic с электронным модулем Mark III |
Инструкция. ГСИ. Преобразователи расхода газа моделей SeniorSonic и JuniorSonic. Методика поверки имитационным методом, утвержденным ГНМЦ ВНИИР, либо Инструкция. ГСИ. Преобразователи расхода газа моделей SeniorSonic и JuniorSonic. Методика поверки с помощью поверочной установки, утвержденным ГНМЦ ВНИИР. |
2 Преобразователь давления измерительный 3051S |
Преобразователи давления измерительные 3051S. Методика поверки, утверждена ГЦИ СИ ФГУП «ВНИИМС» 17.12.2002 г. |
3 Датчик температуры 3144Р |
Инструкция. Датчики температуры 644, 3144Р. Методика поверки, утверждена ГЦИ СИ ФГУП «ВНИИМС» в августе 2008 г. |
4 Преобразователь плотности газа измерительный модели 7812 |
Рекомендация. ГСИ. Преобразователи плотности газа моделей 3098 и 7812 фирмы «МоЬгеу Measurement», Великобритания. Методика поверки, утверждена ГЦИ СИ ФГУП ВНИИМС 13.10.2006г. |
5 Контроллер измерительный FloBoss S600 |
Инструкция. ГСИ. Контроллеры измерительные FloBoss S600. Методика поверки, утверждена ГЦИ СИ ФГУП ВНИИР 2008 г. |
Процедура определения MX ИК объемного расхода газа изложена в пункте 6.5.1 настоящей
инструкции.
Процедура определения MX ИК плотности газа изложена в пункте 6.5.2 настоящей инструкции.
Процедура определения MX ИК избыточного давления газа изложена в пункте 6.5.3 настоящей инструкции.
Процедура определения MX ИК температуры газа изложена в пункте 6.5.4 настоящей инструкции.
-
6.5.1 Определение MX ИК объемного расхода газа
Определение MX ИК объемного расхода газа выполняют покомпонентно:
-
- преобразователь расхода газа ультразвуковой SeniorSonic с электронным модулем Mark III проверяют на месте эксплуатации в соответствии с документом, утвержденным ГНМЦ ВНИИР «Инструкция. ГСИ. Преобразователи расхода газа моделей SeniorSonic и JuniorSon-ic. Методика поверки имитационным методом»,
либо на поверочной установке в соответствии с документом, утвержденным ГНМЦ ВНИИР «Инструкция. ГСИ. Преобразователи расхода газа моделей SeniorSonic и JuniorSonic. Методика поверки с помощью поверочной установки»;
-
- вторичную часть ИК (далее - ВИК) - контроллеры измерительные FloBoss S600 (рабочий и резервный), включая линии связи - на месте эксплуатации в соответствии с данной инструкцией;
-
- погрешность ИК определяют расчетом.
-
6.5.1.1 При определении MX ИК выполняют следующие операции:
-
- внешний осмотр ИК;
-
- определение погрешности ИК.
-
6.5.1.2 Средства поверки, используемые при определении MX ИК
Определение MX преобразователя расхода газа ультразвуковой SeniorSonic с электронным модулем Mark III (далее - преобразователь расхода) выполняют с использованием средств поверки, указанных в соответствующем документе на методику поверки преобразователя расхода.
Определение MX ВИК выполняют, используя следующие средства поверки:
-
- калибратор многофункциональный MC5-R;
-
- барометр-анероид метеорологический БАММ-1;
-
- гигрометр психрометрический ВИТ-1 либо ВИТ-2.
MX указанных средств поверки приведены в разделе 2 настоящей методики.
-
6.5.1.3 При определении MX соблюдают требования безопасности, установленные в разделе 3 данной инструкции. Условия определения MX - в соответствии с разделом 4, подготовка к определению MX ИК - в соответствии с разделом 5 настоящей инструкции.
-
6.5.1.4 Выполняют внешний осмотр ИК. Во время осмотра устанавливают отсутствие: механических повреждений, коррозии; нарушений покрытий, изоляции, заземления, надписей и других дефектов, которые могут повлиять на работу ИК и качество определения его MX.
-
6.5.1.5 Отключают ВИК от преобразователя расхода, при необходимости проверяют целостность цепей сигнализации исправности линии связи ИК, и выполняют операции определения погрешности ИК.
Определение погрешности преобразователя расхода выполняют отдельно по одной из методик указанных выше. Протокол определения погрешности преобразователя расхода прикладывают к протоколу определения MX ИК объемного расхода газа.
Погрешность ВИК определяют на месте эксплуатации ВИК на трех значениях измеряемой величины (объемного расхода газа) в диапазоне измерений ИК, соответствующих 25%, 50%, 100% ВПИ ИК (475, 950,1900 м3/ч).
Подключают калибратор многофункциональный MC5-R к ВИК вместо преобразователя расхода. Устанавливают калибратор в режим воспроизведения частотных сигналов. Подают частотный сигнал, соответствующий первой контрольной точке диапазона объемного расхода газа.
Значение частоты подаваемого от калибратора сигнала, Гц, соответствующее задаваемому значению объемного расхода газа qt определяют по формуле где ft -задаваемое значение частоты сигнала калибратора, Гц;

?тах fmin)
max

Qj - задаваемое значение объемного расхода газа, м3/ч;
qmin - минимальное значение объемного расхода газа в диапазоне измерений ИК, м3/ч (принимается равным 0);
Ятах ~ максимальное значение объемного расхода газа в диапазоне измерений ИК, м3/ч (принимается равным 1900);
fmin ~ минимальное значение частоты выходного сигнала, Гц (принимается равным 0) fmax - максимальное значение частоты выходного сигнала, Гц (принимается равным 1000 или 5000 в зависимости от конфигурации ИК).
После установления выходного значения объемного расхода газа на измерительных контроллерах FloBoss S600 (рабочем и резервном) фиксируют значение выходного сигнала в единицах измеряемого параметра.
Повторяют операции для остальных контрольных точек.
Результаты определения погрешности ВИК заносят в протокол (Приложение Б).
По завершению определения погрешности ВИК восстанавливают рабочее состояние ИК, подключая преобразователь расхода к ВИК и, при наличии потока, проверяют, что ИК объемного расхода газа выполняет измерения.
-
6.5.1.6 Для каждого значения измеряемой величины рассчитывают значение погрешности ВИК, приведенной к измеряемой величине (относительная погрешность)
= Чт'“-- 41 ■ 100% ,
4i
где qBKKi -значение объемного расхода по показаниям ВИК (считывают на дисплеях обоих контроллеров FloBoss S600 - рабочем и резервном), м3/ч;
qt - действительное значение объемного расхода (значение объемного расхода, заданное с помощью калибратора), м3/ч.
Примечание - При расчете относительной погрешности ВИК в z-ой контрольной точке следует использовать максимальное значение погрешности ВИК в единицах измеряемого параметра Двик/= Явит ~ Яь полученное по показаниям рабочего и резервного контроллеров FloBoss S600.
Результаты заносят в протокол (Приложение Б).
-
6.5.1.7 По результатам определения погрешности преобразователя расхода и ВИК рассчитывают (с доверительной вероятностью 0,95) относительную погрешность ИК объемного расхода газа, %, по формуле
*УЗПР + ^вик ’
где 5узпр - предел допускаемой относительной погрешности измерений объемного расхода и объема газа преобразователем расхода ИК объемного расхода газа по результатам определения его MX (при положительном результате в соответствии с описанием типа к сертификату US.C.29.006.A №19335 об утверждении типа преобразователей расхода газа ультразвуковых SeniorSonic с электронными модулями Mark III или Mark IIDFI принимают равным 0,35), %;
5ВИК _ максимальное (по абсолютной величине) значение относительной погрешности ВИК, полученное при определении погрешности ВИК для рабочего и резервного контроллера FloBoss S600, %.
Результаты заносят в протокол (Приложение Б).
ИК считается годным, если выполняется условие |5ИК| < |<5ИКдоп|, где ^икДОп = 0,4% предел допускаемой относительной погрешности ИК объемного расхода газа, установленный в описании типа системы.
-
6.5.1.8 Протокол определения MX ИК объемного расхода газа оформляют для каждого ИК. Максимальное значение |5ИК| для каждого ИК также заносят в протокол поверки системы (рекомендуемая форма в Приложении А).
-
6.5.2 Определение MX ИК плотности газа
Определение MX ИК плотности газа выполняют комплектно на месте эксплуатации. При отсутствии такой возможности допускается определение MX ИК выполнять покомпонентно.
-
6.5.2.1 Порядок определения MX ИК плотности газа комплектно.
-
6.5.2.1.1 При определении MX ИК плотности газа выполняют следующие операции:
-
- внешний осмотр ИК;
-
- опробование ИК;
-
- определение погрешности ИК.
-
6.5.2.1.2 Средства поверки, используемые при определении MX ИК
Определение MX ИК выполняют, используя следующие средства поверки:
-
- азот газообразный высокой чистоты (ТУ 301-07-25-89) в баллоне с регулятором давления и соединительными шлангами (давление азота в баллоне должно быть не менее 18МПа);
-
- калибратор давления портативный Метран-517 (далее - калибратор Метран-517), модуль давления эталонный Метран-518, код модуля 25М, per. № в ФИФ ОЕИ РФ 39151, диапазон измерений избыточного давления от 0 до 25 МПа, класс точности 0,02 (по необходимости);
-
- ИК температуры газа находящейся в работе измерительной линии, пределы допускаемой абсолютной погрешности ±0,25°С;
-
- СИ избыточного давления или ИК избыточного давления газа, пределы допускаемой приведенной погрешности ±0,25%;
-
- вспомогательное оборудование;
-
- барометр-анероид метеорологический БАММ-1;
-
- гигрометр психрометрический ВИТ-1 либо ВИТ-2.
MX отдельных средств поверки приведены в разделе 2 настоящей методики.
Допускается применять иные средства поверки, обеспечивающие проверку MX ИК с требуемой или лучшей точностью.
-
6.5.2.1.3 При определении MX соблюдают требования безопасности, установленные в разделе 3 данной инструкции. Условия определения MX - в соответствии с разделом 4, подготовка к определению MX ИК - в соответствии с разделом 5 настоящей инструкции.
-
6.5.2.1.4 Выполняют внешний осмотр ИК. Во время осмотра устанавливают отсутствие: механических повреждений, коррозии; нарушений покрытий, изоляции, заземления, надписей и других дефектов, которые могут повлиять на работу ИК и качество определения его MX.
-
6.5.2.1.5 При помощи соответствующих вентилей технологической обвязки отключают преобразователь плотности газа измерительный модели 7812 (далее - преобразователь) от технологического процесса (основного трубопровода), сбрасывают избыточное давление и освобождают преобразователь от остатков газа.
-
6.5.2.1.6 Предварительно отключив электропитание, демонтируют преобразователь и осматривают чувствительный элемент. Чувствительный элемент преобразователя должен быть чист. Если на чувствительном элементе обнаружены отложения, чувствительный элемент должен быть отчищен в соответствии с его техническим описанием. Отчистить от отложений также рекомендуется и имеющиеся в технологической обвязке преобразователя фильтры.
-
6.5.2.1.7 Перед монтажом преобразователя на рабочее место или уже смонтировав его проверяют соответствие показаний ИК при незаполненном газом преобразователе плотности атмосферного воздуха. Плотность воздуха рассчитывают по результатам измерений атмосферного давления, температуры и влажности воздуха по формуле
0,34848 ■ Р - 0,009024 • (hr) ■ e00612t
Ра “ 273.15 + t ’
где Р - атмосферное давление, мбар или гПа;
hr - относительная влажность, %.
t - температура окружающего воздуха, °C
Показания ИК плотности газа не должны отличаться от расчетного значения плотности воздуха более, чем на 0,2 кг/м3.
-
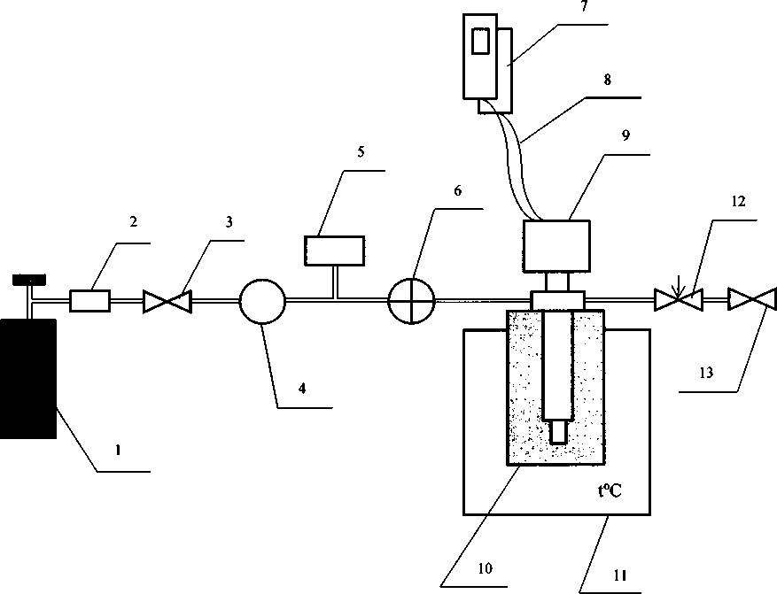
6.5.2.1.8 Собирают технологическую схему определения MX ИК (Приложение Ж), подключая к технологической обвязке преобразователя баллон с азотом высокой чистоты, средства поверки и вспомогательное оборудование. Медленно открывают впускной клапан, доводят давление до 16 МПа и проверяют герметичность соединений. Давление не должно изменяться более, чем на 0,2 МПа за 1 час. Затем перекрывают впускной клапан и с помощью выпускного клапана стравливают давление газа в преобразователе до атмосферного.
-
6.5.2.1.9 Определение MX ИК плотности газа производят в статическом режиме (скорость потока газа равна нулю) путем сравнения показаний ИК с преобразователем заполненном азотом при известных (заданных) температуре и давлении с расчетным значением плотности азота при тех же условиях, взятым из таблиц Международного союза прикладной и теоретической химии (IUPAC). Допускается использовать ГСССД 4-78 Азот жидкий и газообразный. Плотность, энтальпия, энтропия и изобарная теплоемкость при температурах 70-1500 К и давлениях 0,1-100 МПа, а также программный комплекс «Расходомер-ИСО». ИК следует проверять в трех точках, делящих диапазон измерений ИК (от 80 до 200 кг/м3) на, примерно, равные части, включая его нижний и верхний пределы.
Давление азота в преобразователе следует измерять калибратором давления Метран-517 с эталонным модулем 25М и/или подготовленным СИ (ИК) избыточного давления газа. Температуру азота принимают равной температуре измеряемого системой газа, термостатирующего преобразователь и измеряют ИК температуры газа, находящейся в работе измерительной линии.
-
6.5.2.1.10 Открывают впускной клапан и заполняя преобразователь азотом высокой чистоты. С помощью впускного и выпускного клапанов устанавливают задаваемое значение плотности (190±10 кг/м3) по показаниям ИК плотности газа, контролируя давление и температуру.
-
6.5.2.1.11 При стабилизации показаний фиксируют значения плотности, абсолютного давления и температуры либо, если показания оцениваются как недостаточно стабильные, выполняют 10 измерений плотности, абсолютного давления и температуры с дискретностью 1 мин. Полученные значения плотности, давления и температуры заносят в протокол (Приложение В).
Абсолютное давление газа, в зависимости от используемых средств поверки, либо измеряют непосредственно, либо вычисляют на основании измерений избыточного давления и давления атмосферного.
-
6.5.2.1.12 С помощью впускного и выпускного клапанов устанавливают следующее задаваемое значение плотности (140±10 кг/м3) по показаниям ИК плотности газа, контролируя давление и температуру, и также при стабилизации показаний фиксируют значения плотности, абсолютного давления и температуры либо, если показания оцениваются как недостаточно стабильные, выполняют 10 измерений плотности, абсолютного давления и температуры с дискретностью 1 мин. Полученные значения плотности, давления и температуры заносят в протокол (Приложение В).
-
6.5.2.1.13 Переходят к следующей точке. Устанавливают и производят аналогичные п. 6.5.2.1.12 операции при значении плотности (90±10 кг/м3). Полученные значения параметров также заносят в протокол (Приложение В).
-
6.5.2.1.14 Рассчитывают значение относительной погрешности ИК плотности газа, %, по формуле
р _ Ризм ij ~ Ррасч ij л ппп/
^ИК(О) - ~ 100/о ,
Ррасч ij
где ризм ц - значение плотности азота, измеренное ИК плотности газа по показаниям ВИК в /-ой точке диапазона измерений ИК приу-ом измерении, кг/м3;
Ррасч ij ~ расчетное значение плотности азота при условиях (абсолютном давлении и температуре) измерений ИК плотности газа в z-ой точке диапазона измерений ИК при у-ом измерении, кг/м3.
Примечание 1- При расчете относительной погрешности ИК в z-ой кон точке диапазона измерений ИК при у-ом измерении следует использовать максимальное значение погрешности ИК в единицах измеряемого параметра ДВИК1у = Ризм//— Ррасч/;» полученное по показаниям обоих контроллеров FloBoss S600 - рабочего и резервного.
Примечание 2- При стабильности показаний значения плотности, абсолютного давления и температуры фиксируют один раз, поэтому количество измерений у будет равно 1.
Примечание 3- При использовании ГСССД 4-78 для получения расчетных значений плотности азота, отсутствующих в документе, необходимо пользоваться методом линейной интерполяции.
Результаты заносят в протокол (Приложение В).
ИК считается годным, если в каждой z-ой точке диапазона измерений ИК при каждом у-ом измерении выполняется условие |5ИК(-^| < |/>икдоп|, где ^икдоп = 0,9% предел допускаемой относительной погрешности ИК плотности газа, установленный в описании типа системы.
-
6.5.2.1.15 Максимальное значение |<5hk(iJ) | ИК плотности газа также заносят в протокол поверки системы (рекомендуемая форма в Приложении А).
6.5.2.2. Порядок определения MX ИК плотности газа покомпонентно.
При покомпонентном определении MX ИК плотности газа:
-
- демонтированный преобразователь плотности газа измерительный модели 7812 проверяют в соответствии с документом, утвержденным ГЦИ СИ ФГУП «ВНИИМС» 13.10.2006 г. «Рекомендация. ГСИ. Преобразователи плотности газа моделей 3098 и 7812 фирмы «Mobrey Measurement», Великобритания. Методика поверки»;
-
- вторичную часть ИК (далее - ВИК) - контроллеры измерительные FloBoss S600 (рабочий и резервный), включая линии связи - на месте эксплуатации в соответствии с данной инструкцией;
-
- погрешность ИК определяют расчетом.
-
6.5.2.2.1 При определении MX ИК выполняют следующие операции:
-
- внешний осмотр ИК;
-
- определение погрешности ИК.
-
6.5.2.2.2 Средства поверки, используемые при определении MX ИК
Определение MX преобразователя плотности газа измерительного модели 7812 (далее -преобразователь) выполняют с использованием средств поверки, указанных в документе на методику поверки преобразователя.
Определение MX ВИК выполняют, используя следующие средства поверки:
-
- калибратор многофункциональный MC5-R;
-
- барометр-анероид метеорологический БАММ-1;
-
- гигрометр психрометрический ВИТ-1 либо ВИТ-2.
MX указанных средств поверки приведены в разделе 2 настоящей методики.
-
6.5.2.2.3 При определении MX соблюдают требования безопасности, установленные в разделе 3 данной инструкции. Условия определения MX - в соответствии с разделом 4, подготовка к определению MX ИК - в соответствии с разделом 5 настоящей инструкции.
-
6.5.2.2.4 Выполняют внешний осмотр ИК. Во время осмотра устанавливают отсутствие: механических повреждений, коррозии; нарушений покрытий, изоляции, заземления, надписей и других дефектов, которые могут повлиять на работу ИК и качество определения его MX.
-
6.5.2.2.5 Отключают ВИК от преобразователя, при необходимости проверяют целостность цепей сигнализации исправности линии связи ИК, и выполняют операции определения погрешности ИК.
Определение погрешности преобразователя выполняют на месте эксплуатации отдельно по методике указанной выше. Протокол определения погрешности преобразователя прикладывают к протоколу определения MX ИК плотности газа.
Погрешность ВИК определяют на месте эксплуатации ВИК на трех значениях измеряемой величины (плотности) в диапазоне измерений ИК, равных 80, 155, 200 кг/м3.
Подключают калибратор многофункциональный MC5-R к ВИК вместо преобразователя. Устанавливают калибратор в режим воспроизведения частотных сигналов. Подают частотный сигнал, соответствующий первой контрольной точке 80 кг/м3.
Значение частоты подаваемого от калибратора сигнала, Гц, соответствующее задаваемому значению плотности газа р, определяют по формуле
___________2 • К2 ■ 106___________
-Jfl + - 4 ■ К2 ■ (КО - рД
где К0,К1,К2 - калибровочные коэффициенты плотномера из сертификата калибровки (свиде
тельства о поверке);
Pj - задаваемое значение плотности газа, кг/м3.
После установления выходного значения плотности на измерительных контроллерах Flo-Boss S600 (рабочем и резервном) фиксируют значение выходного сигнала в единицах измеряемого параметра.
Повторяют операции для остальных контрольных точек.
Результаты определения погрешности ВИК заносят в протокол (Приложение Г).
По завершению определения погрешности ВИК восстанавливают рабочее состояние ИК, монтируя и подключая преобразователь к ВИК и проверяют, что ИК плотности газа выполняет измерения.
-
6.5.2.2.6 Для каждого значения измеряемой величины рассчитывают значение погрешности ВИК, приведенной к измеряемой величине (относительная погрешность)
Pt
где pBaKi - значение плотности по показаниям ВИК (считывают на дисплеях обоих контроллеров FloBoss S600 - рабочем и резервном), кг/м3;
Pi - действительное значение плотности (значение плотности, заданное с помощью калибратора), кг/м3.
Примечание - При расчете относительной погрешности ВИК в /-ой контрольной точке следует использовать максимальное значение погрешности ВИК в единицах измеряемого параметра PSHki ~ Р» полученное по показаниям
обоих контроллеров FloBoss S600 - рабочего и резервного.
Результаты заносят в протокол (Приложение Г).
-
6.5.2.2.7 По результатам определения погрешности преобразователя и ВИК рассчитывают (с доверительной вероятностью 0,95) относительную погрешность ИК плотности газа, %, по формуле
где &7812 - предел допускаемой относительной погрешности преобразователя плотности газа
измерительного модели 7812, % (принимают равным 0,225 %);
<5ВИК “ максимальное (по абсолютной величине) значение относительной погрешности ВИК, полученное при определении погрешности ВИК для рабочего и резервного контроллера FloBoss S600, %.
Примечание - Предел допускаемого значения относительной погрешности преобразователя плотности газа измерительного модели 7812, %, вычисляют в соответствии с описанием типа для преобразователя (приложение к сертификату GB.C.31.004.А №26330 об утверждении типа преобразователей плотности газа измерительных (модели 7812, 3098)).
Результаты заносят в протокол (Приложение Г).
ИК считается годным, если выполняется условие |5ИК| < |бИКдоп|, где бикдоп = 0,9% предел допускаемой относительной погрешности ИК плотности газа, установленный в описании типа системы.
-
6.5.2.2.8 Максимальное значение |#ик(ц) I ИК плотности газа также заносят в протокол поверки системы (рекомендуемая форма в Приложении А).
-
6.5.3 Определение MX ИК избыточного давления газа
Определение MX ИК избыточного давления газа выполняют покомпонентно:
-
- демонтированный преобразователь давления 3051S проверяют на месте эксплуатации в соответствии с документом, утвержденным ГЦИ СИ ФГУП «ВНИИМС» 17.12.2002 г. «Преобразователи давления измерительные 3051S. Методика поверки»;
-
- вторичную часть ИК (далее - ВИК) - контроллеры измерительные FloBoss S600 (рабочий и резервный), включая линии связи - на месте эксплуатации в соответствии с данной инструкцией;
-
- погрешность ИК определяют расчетом.
-
6.5.3.1 При определении MX ИК выполняют следующие операции:
-
- внешний осмотр ИК;
-
- определение погрешности ИК.
-
6.5.3.2 Средства поверки, используемые при определении MX ИК
Определение MX преобразователя давления 3051S (далее - преобразователь) выполняют с использованием средств поверки, указанных в документе на методику поверки преобразователя.
Определение MX ВИК выполняют, используя следующие средства поверки:
-
- калибратор многофункциональный MC5-R;
-
- барометр-анероид метеорологический БАММ-1;
-
- гигрометр психрометрический ВИТ-1 либо ВИТ-2.
MX указанных средств поверки приведены в разделе 2 настоящей методики.
-
6.5.3.3 При определении MX соблюдают требования безопасности, установленные в разделе 3 данной инструкции. Условия определения MX - в соответствии с разделом 4, подготовка к определению MX ИК - в соответствии с разделом 5 настоящей инструкции.
-
6.5.3.4 Выполняют внешний осмотр ИК. Во время осмотра устанавливают отсутствие: механических повреждений, коррозии; нарушений покрытий, изоляции, заземления, надписей и других дефектов, которые могут повлиять на работу ИК и качество определения его MX.
-
6.5.3.5 Отключают ВИК от преобразователя, при необходимости проверяют целостность цепей сигнализации исправности линии связи ИК, и выполняют операции определения погрешности ИК.
Определение погрешности преобразователя выполняют на месте эксплуатации отдельно по методике указанной выше. Протокол определения погрешности преобразователя прикладывают к протоколу определения MX ИК избыточного давления газа.
Погрешность ВИК определяют на месте эксплуатации ВИК на пяти значениях измеряемой величины (избыточного давления) в диапазоне измерений ИК, соответствующих 0%, 25%, 50%, 75%, 100% ВПИ ИК.
Подключают калибратор многофункциональный MC5-R к ВИК вместо преобразователя. Устанавливают калибратор в режим воспроизведения силы постоянного тока. Подают сигнал постоянного тока, соответствующий первой контрольной точке диапазона избыточного давления газа.
Значение подаваемого от калибратора входного сигнала постоянного тока, мА, соответствующее задаваемому значению избыточного давления определяют по формуле
№ - Р„ш) • 16
1 (Ртах ~ Ртт)
где Ц - значение силы постоянного тока сигнала калибратора, мА;
Pt - задаваемое значение избыточного давления, МПа;
Pmin ~ минимальное значение избыточного давления диапазона измерений ИК, МПа (принимается равным 0);
Ртах - максимальное значение избыточного давления диапазона измерений ИК, МПа (принимается равным 18).
После установления выходного значения избыточного давления на измерительных контроллерах FloBoss S600 (рабочем и резервном) фиксируют значение выходного сигнала в единицах измеряемого параметра.
Повторяют операции для остальных контрольных точек.
Результаты определения погрешности ВИК заносят в протокол (Приложение Д).
По завершению определения погрешности ВИК восстанавливают рабочее состояние ИК, монтируя и подключая преобразователь к ВИК и проверяют, что ИК избыточного давления газа выполняет измерения.
-
6.5.3.6 Для каждого значения измеряемой величины рассчитывают значение погрешности ВИК, приведенной к диапазону измерений ИК (приведенная погрешность) по формуле
Р ■ - Р-
УвИК£
ГВИК1 Г1
• 100% ,
р — р гтах гтт
где PBliKi - значение избыточного давления по показаниям ВИК (считывают на дисплеях обоих контроллеров FloBoss S600 - рабочем и резервном), МПа;
Pt - действительное значение избыточного давления (значение избыточного давления, заданное с помощью калибратора), МПа.
Примечание - При расчете приведенной погрешности ВИК в z-ой контрольной точке следует использовать максимальное значение погрешности ВИК в единицах измеряемого параметра ДВИк1= — полученное по показаниям обоих контроллеров FloBoss S600 - рабочего и резервного.
Результаты заносят в протокол (Приложение Д).
-
6.5.3.7 По результатам определения погрешности преобразователя и ВИК рассчитывают (с доверительной вероятностью 0,95) приведенную погрешность ИК избыточного давления газа, %, по формуле
Уик
где Узо51 _ предел допускаемого значения приведенной погрешности преобразователя давления 3051S, % (принимают равным 0,033 %);
Увик ~ максимальное (по абсолютной величине) значение приведенной погрешности ВИК, полученное при определении погрешности ВИК для рабочего и резервного контроллера FloBoss S600, %.
Примечание - Предел допускаемого значения приведенной погрешности преобразователя давления 3051S, %, вычисляют в соответствии с описанием типа для преобразователя (приложение к сертификату об утверждении типа СИ).
Результаты заносят в протокол (Приложение Д).
ИК считается годным, если выполняется условие |уИкI |Уикдоп|, гДе Уикдоп = 0,25% предел допускаемой относительной погрешности ИК избыточного давления газа, установленный в описании типа системы.
-
6.5.3.8 Протокол определения MX ИК избыточного давления газа оформляют для каждого ИК. Максимальное значение |уик1 Для каждого ИК также заносят в протокол поверки системы (рекомендуемая форма в Приложении А).
6.5.4 Определение MX ИК температуры газа
Определение MX ИК температуры газа выполняют покомпонентно:
-
- демонтированный датчик температуры 3144Р проверяют на месте эксплуатации в соответствии с документом, утвержденным ГЦИ СИ ФГУП «ВНИИМС» в августе 2008 г. «Инструкция. Датчики температуры 644, 3144Р. Методика поверки»;
-
- вторичную часть ИК (далее - ВИК) - контроллеры измерительные FloBoss S600 (рабочий и резервный), включая линии связи - на месте эксплуатации в соответствии с данной инструкцией;
-
- погрешность ИК определяют расчетом.
-
6.5.4.1 При определении MX ИК выполняют следующие операции:
-
- внешний осмотр ИК;
-
- определение погрешности ИК.
-
6.5.4.2 Средства поверки, используемые при определении MX ИК
Определение MX датчика температуры 3144Р (далее - датчик) выполняют с использованием средств поверки, указанных в документе на методику поверки датчика.
Для поверки датчика может быть использован цифровой калибратор температуры ATC-R фирмы Ametek Denmark А/S, Дания, модель АТС-156В, per. № в ФИФ ОЕИ РФ 20262, диапазон задания температуры от минус 27 до плюс 150°С, погрешность от ±0,04 до ±0,1 °C, стабильность поддержания температуры 0,01 °C.
Определение MX ВИК выполняют, используя следующие средства поверки:
-
- калибратор многофункциональный MC5-R;
-
- барометр-анероид метеорологический БАММ-1;
-
- гигрометр психрометрический ВИТ-1 либо ВИТ-2.
MX указанных средств поверки приведены в разделе 2 настоящей методики.
-
6.5.4.3 При определении MX соблюдают требования безопасности, установленные в разделе 3 данной инструкции. Условия определения MX - в соответствии с разделом 4, подготовка к определению MX ИК - в соответствии с разделом 5 настоящей инструкции.
-
6.5.4.4 Выполняют внешний осмотр ИК. Во время осмотра устанавливают отсутствие: механических повреждений, коррозии; нарушений покрытий, изоляции, заземления, надписей и других дефектов, которые могут повлиять на работу ИК и качество определения его MX.
-
6.5.4.5 Отключают ВИК от датчика, при необходимости проверяют целостность цепей сигнализации исправности линии связи ИК, и выполняют операции определения погрешности ИК.
Определение погрешности датчика выполняют на месте эксплуатации отдельно по методике указанной выше. Протокол определения погрешности датчика прикладывают к протоколу определения MX ИК температуры газа.
Погрешность ВИК определяют на месте эксплуатации ВИК на пяти значениях измеряемой величины (температуры) в диапазоне измерений ИК, соответствующих 0%, 25%, 50%, 75%, 100% ВПИ ИК.
Подключают калибратор многофункциональный MC5-R к ВИК вместо датчика. Устанавливают калибратор в режим воспроизведения силы постоянного тока. Подают сигнал постоянного тока, соответствующий первой контрольной точке диапазона температуры газа.
Значение подаваемого от калибратора входного сигнала постоянного тока, мА, соответствующее задаваемому значению температуры Г, определяют по формуле


где Ц - значение силы постоянного тока сигнала калибратора, мА;
7\ - задаваемое значение температуры, °C;
Tmin - минимальное значение температуры диапазона измерений ИК, °C (принимается равным 0);
Ттах ~ максимальное значение температуры диапазона измерений ИК, °C (принимается равным 80).
После установления выходного значения температуры на измерительных контроллерах FloBoss S600 (рабочем и резервном) фиксируют значение выходного сигнала в единицах измеряемого параметра.
Повторяют операции для остальных контрольных точек.
Результаты определения погрешности ВИК заносят в протокол (Приложение Е).
По завершению определения погрешности ВИК восстанавливают рабочее состояние ИК, монтируя и подключая датчик к ВИК и проверяют, что ИК температуры газа выполняет измерения.
-
6.5.4.6 Погрешность ВИК в единицах измеряемого параметра вычисляют по формуле где Тник; - значение температуры по показаниям ВИК (считывают на дисплеях обоих контроллеров FloBoss S600 - рабочем и резервном), °C;
1\ - действительное значение температуры (значение температуры, заданное с помо
щью калибратора), °C;
Примечание - При расчете погрешности ВИК в z-ой контрольной точке следует использовать максимальное значение ABHKi, полученное по показаниям обоих контроллеров FloBoss S600 - рабочего и резервного.
Результаты заносят в протокол (Приложение Е).
-
6.5.4.7 По результатам определения погрешности датчика и ВИК рассчитывают (с доверительной вероятностью 0,95) абсолютную погрешность ИК температуры газа, °C, по формуле
где Д3144 - предел допускаемого значения абсолютной погрешности датчика температуры
3144Р, °C (принимают равным 0,202 °C);
Двик - максимальное (по абсолютной величине) значение абсолютной погрешности ВИК, полученное при определении погрешности ВИК для рабочего и резервного контроллера FloBoss S600, %.
Примечание - Предел допускаемого значения абсолютной погрешности датчика температуры 3144Р, °C, вычисляют в соответствии с описанием типа для датчика (приложение с сертификату об утверждении типа СИ).
Результаты заносят в протокол (Приложение Е).
ИК считается годным, если выполняется условие |ДИК| < |Дикдоп|, где Дикдоп= 0,25°С предел допускаемой относительной погрешности ИК температуры газа, установленный в описании типа системы.
-
6.5.4.8 Протокол определения MX ИК температуры газа оформляют для каждого ИК. Максимальное значение | Дик | для каждого ИК также заносят в протокол поверки системы (рекомендуемая форма в Приложении А).
6.5.5 Определение MX контроллера измерительного FloBoss S600 при измерении времени и вычислении расхода и объема газа
Определение MX контроллеров измерительных FloBoss S600 при измерении времени и вычислении расхода и объема газа последовательно (сначала для резервного, затем для рабочего) выполняют на месте эксплуатации в соответствии с документом, утвержденным ГЦИ СИ ФГУП ВНИИР 17.06.2008 г. «Инструкция. ГСИ. Контроллеры измерительные FloBoss S600. Методика поверки» (далее - документ МП FloBoss S600).
-
6.5.5.1 Определение относительной погрешности контроллера FloBoss S600 при измерении времени выполняют в соответствии с п. 6.3.8 документа ПМ FloBoss S600.
Контроллер считается годным, если относительная погрешность при измерении времени <5тне превышает 0,01%.
-
6.5.5.2 Определение относительной погрешности контроллера FloBoss S600 при вычислении расхода и объема газа выполняют в соответствии с п. 6.3.10 документа МП FloBoss S600.
Контроллер считается годным, если относительная погрешность при вычислении расхода и объема газа 8В не превышает 0,01%.
-
6.5.5.3 Результаты определения MX контроллеров измерительных FloBoss S600 при измерении времени и вычислении расхода и объема газа 8Т и 8В заносят в протокол поверки системы (рекомендуемая форма приведена в приложение А) для каждого контроллера измерительного Flo-Boss S600 (001Аи001В).
-
6.5.6 Определение относительной погрешности определения плотности газа при стандартных условиях
Определение относительной погрешности определения плотности газа при стандартных условиях, %, рассчитывают по формуле
100
V6 \Pc,+pJгде рс - значение плотности газа при стандартных условиях, внесенное в память контроллеров измерительных FloBoss S600, кг/м3;
рСп - значение плотности газа при стандартных условиях, полученное во время поверки СИКГ по результатам лабораторного определения расчетом по ГОСТ 31369 на основании компонентного состава пробы газа измеренного по ГОСТ 31371.7 с помощью лабораторного хроматографа, кг/м3.
Пробу газа для определения плотности газа при стандартных условиях отбирает и передает в лабораторию для анализа во время поверки СИКГ эксплуатирующий СИКГ персонал. Результаты определения плотности газа при стандартных условиях оформляют паспортом качества газа. Копию полученного паспорта качества газа со значением рСп вместе с копией паспорта качества газа со значением рСд прикладывают к протоколу поверки СИКГ.
Рассчитанное значение относительной погрешности определения плотности газа при стандартных условиях не должно превышать ± 1,1 %.
Если вычисленное значение бРс меньше, чем значение предела относительной погрешности определения плотности газа при стандартных условиях по ГОСТ 31369 5jc0CT, %, то значение ^Рс принимают равным значению 8^ст, %, рассчитанному в соответствии с ГОСТ 31369 и/или п. А.З Приложения А документа МЦКЛ.0331.М-2016 «ГСП. Методика (метод) измерений. Объем свободного нефтяного газа. Методика измерений системой измерений количества газа морской ледостойкой стационарной платформы имени Ю. Корчагина ООО «ЛУКОЙЛ-Нижневолжскнефть».
Результат определения относительной погрешности определения плотности газа при стандартных условиях 6Рс заносят в протокол поверки системы (рекомендуемая форма приведена в приложение А).
-
6.5.7 Определение относительной погрешности системы при определении объема газа, приведенного к стандартным условиям
При успешном завершении и положительных результатов определения MX ИК и компонент системы согласно п. 6.5.1 - 6.5.6, относительная погрешность системы при определении объема газа, приведенного к стандартным условиям, не превышает ±1,5 % и система признается годной для применения.
Результат определения относительной погрешности системы при определении объема газа, приведенного к стандартным условиям заносят в протокол поверки системы (рекомендуемая форма приведена в приложение А).
Оформление результатов поверки
-
7.1 Система признается прошедшей поверку с положительным результатом, если погрешности системы, определенные в соответствии с п. 6.5.1 - 6.5.7 находятся в пределах допускаемых значений.
-
7.2 При положительных результатах поверки системы оформляют свидетельство о поверке системы, с нанесением знака поверки на бланк свидетельства. К свидетельств) прилагают протокол поверки системы по форме, приведенной в приложении (Приложение А), заверенный подписью и штампом поверителя. В протоколе поверки системы указывают ИК, подвергшиеся проверке и результаты определения MX которых положительны. К протокол) поверки системы прикладывают протоколы поверки ИК в составе системы заверенные подписью и штампом поверителя, паспорта качества газа, свидетельство и протокол поверки ИК плотности газа н другие необходимые документы.
-
7.3 Интервал между определением MX ИК плотности газа составляет 12 месяцев (1 год), для системы 24 месяца (2 года) поэтому определение MX ИК плотности газа выполняют ежегодно и оформляют отдельным свидетельством о поверке, знак поверки наносится на бланк свидетельства. На другие ИК оформляют только протоколы поверки (свидетельства не оформляют).
-
7.4 При отрицательных результатах определения MX какого-либо ИК системы в процессе поверки системы, этот ИК подвергают ремонту с последующим повторным определением его MX.
-
7.5 После ремонта ИК системы в интервале между поверками, в том числе с заменой компонентов ИК на однотипные, результаты положительного определения MX в отношении отремонтированных ИК оформляют внесением изменений в протокол поверки системы (новое свидетельство о поверке системы не оформляют).
-
7.6 При отрицательных результатах поверки, препятствующих ее применению, система к применению не допускается и в соответствии с установленным порядком выписывается извещение о непригодности к применению, с указанием причин непригодности.
А.Ю. Поддубный
Начальник отдела информационного и программного обеспечения ЗАО КИП «МЦЭ»
ПРИЛОЖЕНИЕ А(Рекомендуемое) Форма протокола поверки системы
ПРОТОКОЛ ПОВЕРКИ
Наименование: Система измерений количества газа морской ледостойкой стационарной платформы имени Ю. Корчагина ООО «ЛУКОИЛ-Нижневолжскнефть»
Заводской номер: 07720-01
Организация владелец: ООО «ЛУКОЙЛ-Нижневолжскнефть». ИНН 3444070534
Организация поверитель: (наименование аккредитованного в установленном порядке юридического лица или индивидуального предпринимателя, с указанием аттестата аккредитации и индивидуального номера налогоплательщика)
Условия проверки:Температура____________°C; Влажность_____________%; Атм. давление_____________
Результаты поверки
Пункт документа МЦКЛ.0198.МП |
Результаты |
Подпись лица, выполнявшего поверку | |
1 |
2 |
3 | |
6.1 Внешний осмотр | |||
6.2 Проверка соответствия программного обеспечения | |||
6.3 Проверка защиты от несанкционированного доступа | |||
6.4 Опробование | |||
6.5.1 Определение MX ПК объемного расхода газа |
ИК 1 | ||
ИК2 | |||
6.5.2 Определение MX ПК плотности газа |
1 |
2 |
3 | |
6.5.3 Определение MX ИК избыточного давления газа |
ИК 1 | ||
ИК2 | |||
6.5.4 Определение MX ИК температуры газа |
ИК1 | ||
ИК2 | |||
6.5.5 Определение MX контроллеров измерительных FloBoss S600 при измерении времени и вычислении расхода и объема газа |
VI00 | ||
001В | |||
6.5.6 Определение относительной погрешности определения плотности газа при стандартных условиях |
001А | ||
001В | |||
6.5.7 Определение относительной погрешности системы при определении объема газа, приведенного к стандартным условиям |
Приложения
-
1 Протоколы проверки ИК объемного расхода газа;
-
2 Протоколы проверки ИК избыточного давления газа;
-
3 Протоколы проверки ИК температуры;
-
4 Свидетельство о поверке и протокол поверки ИК плотности газа;
-
5 Свидетельства о поверке и протоколы поверки на СИ входящие в состав ИК системы;
-
6 Паспорты качества газа.
Заключение:_____________________________________________________
ПРОТОКОЛ №_____
проверки ИК объемного расхода газа
Место поверки: МЛСП им. Ю. Корчагина
Организация владелец СИКГ: ООО «ЛУКОЙЛ-Нижневолжскнефтъ», ИНН 3444070534
Характеристики ИК
№ п/п |
Состав ИК (тип, пределы допускаемой основной погрешности, компонентов) |
Заводской № компонентов ИК |
Обозначение компонентов ИК |
Диапазон измерений ИК, м3/ч |
Пределы допускаемой относительной погрешности ИК в рабочих условиях, % |
1 |
Преобразователь расхода газа ультразвуковой SeniorSonic с электронным модулем Mark III, пределы допускаемой относительной погрешности ±0,35 % |
200 до 1900 |
±0,4 | ||
2 |
Контроллер измерительный FloBoss S600, вход токовый 4-20 мА, пределы допускаемой основной приведенной погрешности при измерении силы тока ± 0,04% |
рабочий | |||
резервный | |||||
Эталонное СИ:_______________, зав. №______________, погрешность (разряд):_______________
Условия проверки:
Температура:____________Влажность_____________%; Атм. давление_____________
Результаты определения MX вторичной части ИК:
Задаваемое значение (/), Гц i |
q,, м3/ч |
Явик{!) ’ М /ч по показаниям FloBoss S600 |
А % иВИК(Г) /0 | ||
рабочий |
резервный |
рабочий |
резервный | ||
$ИК +<^вж(тах) ----------
Приложение: Протокол определения погрешности преобразователя расхода
Заключение:_____________________________________________________
ПРОТОКОЛ №_____
поверки ИК плотности газа
Место поверки: МЛСП им. Ю. Корчагина
Организация владелец СИКГ: ООО «ЛУКОЙЛ-Нижневолжскнефтъ», ИНН 3444070534
Эталонное СИ:_______________, зав. №______________, погрешность (разряд):_______________
Условия проверки:
Температура:____________°C', Влажность_____________%; Атм. давление_____________
Результаты определения MX ИК плотности:
i |
j |
t °C |
Р^О.МПа |
Ризм(Ц) > КГ/м3 |
Ррасч(у) ’ КГ/М’ |
^ИК(у) , % |
0 допуск) °/о | ||
раб.’ |
рез.’ |
раб. |
рез. | ||||||
90±10 кг/м3 |
1 |
±0,9 | |||||||
2 | |||||||||
3 | |||||||||
4 | |||||||||
5 | |||||||||
6 | |||||||||
6 | |||||||||
7 | |||||||||
8 | |||||||||
9 | |||||||||
10 | |||||||||
140±10 кг/м3 |
1 |
±0,9 | |||||||
2 | |||||||||
3 | |||||||||
4 | |||||||||
5 | |||||||||
6 | |||||||||
6 | |||||||||
7 | |||||||||
8 | |||||||||
9 | |||||||||
10 | |||||||||
190±10 кг/м3 L------ |
1 |
±0,9 | |||||||
2 | |||||||||
3 | |||||||||
4 | |||||||||
5 | |||||||||
6 | |||||||||
6 | |||||||||
7 | |||||||||
8 | |||||||||
9 | |||||||||
10 |
- считывают по показаниям рабочего и резервного контроллеров FloBoss S600.
Заключение:____________________________________________________
Должность лица, проводившего проверку ИК_________________/_____________I
подпись ФИО
Дата «_____»______________20___г.
ПРОТОКОЛ №_____
поверки ИК плотности газа
Место поверки: МЛСП им. Ю. Корчагина
Организация владелец СИКГ: ООО «ЛУКОЙЛ-Нижневолжскнефтъ», ИНН 3444070534
Характеристики ИК
№ п/п |
Состав ИК (тип, пределы допускаемой основной погрешности, компонентов) |
Заводской № компонентов ИК |
Обозначение компонентов ИК |
Диапазон измерений ИК, кг/м3 |
Пределы допускаемой относительной погрешности ИК в рабочих условиях, % |
1 |
Преобразователь плотности газа измерительный модели 7812, пределы допускаемой относительной погрешности ±0,225 % |
80 до 200 |
±0,9 | ||
2 |
Контроллер измерительный FloBoss S600, вход токовый 4-20 мА, пределы допускаемой основной приведенной погрешности при измерении силы тока ± 0,04% |
рабочий | |||
резервный | |||||
Эталонное СИ:_______________, зав. №______________, погрешность (разряд):_______________
Условия проверки:
Температура:____________°C', Влажность_____________%; Атм. давление_____________
Результаты определения MX вторичной части ИК:
Задаваемое значение (/), Гц |
pt, кг/м |
Аж(/)’кг/м3 по показаниям FloBoss S600 |
BHK(l) ■> 0//° | ||
рабочий |
резервный |
рабочий |
резервный | ||
$ик ~ 1Л ’ у 225 + £ВЖ(тах) —---------
Приложение: Протокол определения погрешности преобразователя плотности
Заключение: _____________________________________________________
ПРОТОКОЛ №_____
проверки ИК избыточного давления газа
Место поверки: МЛСП им. Ю. Корчагина
Организация владелец СИКГ: ООО «ЛУКОЙЛ-Нижневолжскнефть», ИНН 3444070534
Характеристики ИК
№ п/п |
Состав ИК (тип, пределы допускаемой основной погрешности, компонентов) |
Заводской № компонентов ИК |
Обозначение компонентов ИК |
Диапазон измерений ИК, МПа |
Пределы допускаемой приведенной погрешности ИК в рабочих условиях, % |
1 |
Преобразователь давления измерительный 3051S, пределы допускаемой приведенной погрешности ±0,033 % | ||||
2 |
Контроллер измерительный FloBoss S600, вход токовый 4 - 20 мА, пределы допускаемой основной приведенной погрешности при измерении силы тока ± 0,04% |
0 до 18 |
±0,25 |
Эталонное СИ:_______________, зав. №______________, погрешность (разряд):_______________
Условия проверки:
Температура:____________°C; Влажность_____________%; Атм. давление_____________
Результаты определения MX вторичной части ИК:
Задаваемое значение (I), мА |
У’, МПа |
■^вик(1) ’ МПа по показаниям FloBoss S600 |
УВИКЦ)’ 0//° | ||
рабочий |
резервный |
рабочий |
резервный | ||
Тик 1Л * 033 + /вик(гаж)
Приложение: Протокол определения погрешности преобразователя давления
Заключение:_____________________________________________________
ПРОТОКОЛ №_____
проверки ИК температуры газа
Место поверки: МЛСП им. Ю. Корчагина
Организация владелец СИКГ: ООО «ЛУКОЙЛ-Нижневолжскнефтъ», ИНН 3444070534
Характеристики ИК
№ п/п |
Состав ИК (тип, пределы допускаемой основной погрешности, компонентов) |
Заводской № компонентов ИК |
Обозначение компонентов ИК |
Диапазон измерений ИК,°С |
Пределы допускаемой абсолютной погрешности ИК в рабочих условиях, °C |
1 |
Датчик температуры 3144Р, пределы допускаемой основной приведенной погрешности ±0,202 °C | ||||
2 |
Контроллер измерительный FloBoss S600, вход токовый 4-20 мА, пределы допускаемой основной приведенной погрешности при измерении силы тока ± 0,04% |
0 до 80 |
±0,25 |
Эталонное СИ:_______________, зав. №______________, погрешность (разряд):______________
Условия проверки:
Температура:____________°C; Влажность_____________%; Атм. давление_____________
Результаты определения MX вторичной части ИК:
Задаваемое значение (I), мА / |
Т,,°с |
т °C по показаниям FloBoss S600 |
А °C | ||
рабочий |
резервный |
рабочий |
резервный | ||
&ик 1,1'^0,202 +АВЖ(тах) ---------
Приложение: Протокол определения погрешности датчика температуры
Заключение:_____________________________________________________
Должность лица, проводившего проверку ИК_________________/____________/
подпись ФИО
ПРИЛОЖЕНИЕ Ж (Рекомендуемое) Технологическая схема для поверки ИК плотности газа

-
1 - баллон с эталонным газом
-
2 - редуктор
-
3 - впускной клапан
-
4 - СИ (ИК) давления
-
5 - калибратор давления (используется по необходимости)
-
6 - ротаметр (используется по необходимости)
-
7 - контроллер измерительный FloBoss S600 (рабочий и резервный)
-
8 - линия связи
-
9 - преобразователь плотности
-
10 - термокарман преобразователя плотности
-
11 - трубопровод
-
12 - игольчатый (регулирующий) клапан (используется по необходимости)
-
13 - выпускной клапан
30