Методика поверки «ГСИ. Преобразователи расхода турбинные НОРД, МИГ-М» (МП 0447-1-2016)
ФЕДЕРАЛЬНОЕ АГЕНТСТВО ПО ТЕХНИЧЕСКОМУ РЕГУЛИРОВАНИЮ И МЕТРОЛОГИИ
Федеральное государственное унитарное предприятие «Всероссийский научно-исследовательский институт расходометрии»
Государственный научный метрологический центр
ФГУП «ВНИИР»
УТВЕРЖДАЮ
Заместитель директора по развитию
ИНСТРУКЦИЯ
Государственная система обеспечения единства измерений
Преобразователи расхода турбинные НОРД, миг-мМетодика поверки
МП 0447-1-2016
л.ь<Ъ5193-1£>г. Казань
2016
Настоящая инструкция распространяется на преобразователи расхода турбинные НОРД, МИГ-М (далее - ТПР), предназначенные для преобразования измеряемого объема, прошедшей через него нефти, нефтепродуктов и других нейтральных к сталям 20X13 и 12Х18Н10Т жидкостей в частотный (импульсный) выходной сигнал и устанавливает методику и последовательность их первичных и периодических поверок.
Интервал между поверками - 1 год.
1 ОПЕРАЦИИ ПОВЕРКИ
-
1.1 При проведении поверки выполняют следующие операции:
-
- внешний осмотр (п. 6.1);
-
- опробование (п. 6.2);
-
- определение метрологических характеристик (п. 6.3).
2 СРЕДСТВА ПОВЕРКИ
-
2.1 При проведении поверки применяются следующие средства поверки:
-
- рабочий эталон единицы объемного расхода и объема жидкости 1 разряда с пределами допускаемой относительной погрешности ± 0,07 % в диапазоне расходов, соответствующем диапазону расхода поверяемого ТПР.
-
2.2 Допускается применение других средств поверки, обеспечивающих определение метрологических характеристик поверяемых СИ с требуемой точностью.
-
2.3 Все эталоны, используемые в качестве средств поверки, должны быть аттестованы в установленном порядке.
3 ТРЕБОВАНИЯ ТЕХНИКИ БЕЗОПАСНОСТИ И ТРЕБОВАНИЯ К КВАЛИЦИКАЦИИ ПОВЕРИТЕЛЕЙ
-
3.1 При проведении поверки должны соблюдаться требования:
-
- правил технической эксплуатации электроустановок потребителей;
-
- правил техники безопасности при эксплуатации электроустановок потребителей;
-
- правил безопасности при эксплуатации средств поверки, приведенных в их эксплуатационной документации;
-
- инструкций по охране труда, действующих на объекте.
-
3.2 К проведению поверки допускаются лица, изучившие настоящую инструкцию, эксплуатационные документы на ТПР и средства поверки и прошедшие инструктаж по технике безопасности.
-
3.3 К средствам поверки и используемому при поверке оборудованию обеспечивают свободный доступ. При необходимости предусматривают лестницы и площадки, соответствующие требованиям безопасности.
-
3.4 Освещенность должна обеспечивать отчетливую видимость применяемых средств поверки, снятие показаний с приборов.
-
3.5 При появлении течи измеряемой среды и других ситуаций, нарушающих процесс поверки, поверка должна быть прекращена.
4 УСЛОВИЯ ПОВЕРКИ
При проведении поверки применяются следующие условия:
-
4.1 Окружающая среда с параметрами:
(20 ± 5)
от 30 до 95
от 86 до 107
-
- температура окружающей среды, °C
-
- относительная влажность окружающей среды, %
-
- атмосферное давление, кПа
-
4.2 Измеряемая среда - вода по СанПиН 2.1.4.1074-2001 или вода техническая с
параметрами:
-
- температура, °C (20±5)
-
- изменение температуры измеряемой среды
-
-
4.3 Измерительная линия, на которой смонтирован поверяемый ТПР, имеет прямые участки соответствующего диаметра для поверяемого ТПР и длиной не менее 10 номинальных диаметров прохода до ТПР и не менее 5 номинальных диаметров после ТПР.
-
4.4 Поверку ТПР, применяемых для измерений в меньших диапазонах, допускается на основании решения главного метролога и письменного заявления владельца ТПР, оформленного в произвольной форме производить только по тем требованиям методики поверки и в тех диапазонах измерений, которые определяют пригодность ТПР для применяемых диапазонов измерений. Соответствующая запись должна быть сделана в свидетельстве о поверке ТПР и паспорте.
5 ПОДГОТОВКА К ПОВЕРКЕ
-
5.1 При подготовке к поверке должны быть выполнены следующие работы:
-
- проверка выполнения условий п.2 + п.4 настоящей инструкции;
-
- подготовка к работе: проверка правильности монтажа ТПР и средств поверки, их электрических цепей и заземления;
-
- проверка герметичности фланцевых соединений и узлов гидравлической системы рабочим давлением (систему считают герметичной, если при рабочем давлении в течение 5 минут не наблюдается течи и капель поверочной жидкости, а также отсутствует падение давления по контрольному манометру).
6 ПРОВЕДЕНИЕ ПОВЕРКИ
-
6.1 Внешний осмотр
При внешнем осмотре визуально определяют: комплектность, состав и маркировку ТПР, внешние неисправности в электрических соединениях ТПР, внешних механических повреждений, влияющих на работоспособность ТПР.
Результаты проверки внешнего осмотра считаются положительными, если комплектность, состав и маркировка соответствует эксплуатационным документам, отсутствуют внешние неисправности в электрических соединениях ТПР, отсутствуют внешних механических повреждений, влияющих на ее работоспособность.
-
6.2 Опробование
ТПР подключают к эталону согласно эксплуатационным документам на ТПР и эталон. Опробование ТПР проводят путем увеличения или уменьшения расхода измеряемой среды в пределах диапазона измерений.
Результат опробования ТПР считают положительным, если при увеличении или уменьшении расхода показания ТПР изменяются соответствующим образом (увеличиваются или уменьшаются).
-
6.3 Определение метрологических характеристик
-
6.3.1 Определение относительной погрешности ТПР при измерении объема Определение относительной погрешности ТПР при измерении объема жидкости проводят путем сравнения показаний ТПР и рабочего эталона единицы объемного расхода жидкости 1 разряда с пределами допускаемой относительной погрешности ± 0,07 %.
-
(далее - эталон). Относительную погрешность ТПР определяют при следующих значениях расхода измеряемой среды: наибольшем расходе (далее - С^наиб); 0,75-()наиб; 0,5 QHaH6; 0,25и наименьшем расходе (далее - Онаим). Количество измерений на каждом расходе должно быть не менее одиннадцати. Количество накопленных импульсов от поверяемого ТПР при каждом измерении должно быть не менее 10000, а время измерения должно быть не менее 30 с. При необходимости количество значений поверочных расходов может быть увеличено.
В начале и при окончании поверки регистрируют температуру, относительную влажность и атмосферное давление окружающего воздуха;
При каждом измерении регистрируют:
-
- температуру и давление измеряемой среды;
-
- объем измеряемой среды по показаниям эталона;
-
- время измерений;
-
- количество импульсов, полученных от поверяемого ТПР.
Для каждого измерения вычисляют коэффициент преобразования измерений объема при i измерении в j точке расхода по формуле:
N
1 ’ ТПР ij
(1)
где NTnp -количество импульсов, полученных от ТПР, имп;
V3 -объем измеряемой среды по показаниям эталона, м3.
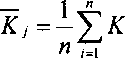
Для каждой точки расхода вычисляют среднее арифметическое значение коэффициента преобразования по формуле:

(2)
где п - количество измерений в точке расхода.
Среднее квадратическое отклонение результатов определений средних
арифметических значений коэффициентов преобразования, % определяется по формуле:
(3)
Проверяют выполнение условий для каждой точки расхода:
(4)
Градуировочную характеристику (далее - ГХ) реализуют в виде кусочнолинейной аппроксимации.
Неисключенную систематическую составляющую погрешности ТПР, %, вычисляют по формуле:

1 Kj-Kj+i
2 Kj + Kj+x
(5)
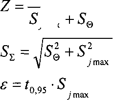
Вычисляют относительную погрешность ТПР, %, по формулам:
/max
^ТПР ~



где 0э - неисключенная систематическая погрешность эталона при измерении объема, %;
£ - случайная составляющая погрешности ТПР, %;
to,95 ~ коэффициент Стьюдента при доверительной вероятности Р = 0,95
(согласно ГОСТ Р 8.736-2011).
ТПР считают прошедшим поверку, если значение относительной погрешности ТПР при измерении объема протекающей жидкости не превышает ±0,14 %.
7 ОФОРМЛЕНИЕ РЕЗУЛЬТАТОВ ПОВЕРКИ
-
7.1 Результаты поверки, измерений и вычислений вносят в протокол поверки ТПР произвольной формы.
-
7.2 При положительных результатах поверки оформляют свидетельство о поверке ТПР и (или) производится запись в паспорте, заверяемая подписью поверителя и знаком поверки в соответствии с приказом Минпромторга России №1815 от 2 июля 2015 г. «Об утверждении Порядка проведения поверки средств измерений, требования к знаку поверки и содержанию свидетельства о поверке»
-
7.2.1 На лицевой стороне свидетельства о поверке или в паспорт ТПР записывают, что преобразователь расхода поверен на воде и на основании результатов поверки признан годным и допущен к применению с пределами относительной погрешности, указанными в его эксплуатационных документах.
-
7.2.2 На оборотной стороне свидетельства о поверке или в паспорте ТПР указывают рабочий диапазон расходов, в котором поверен ТПР и средние арифметические значения коэффициентов преобразований в каждой точке расхода.
-
7.2.3 Знак поверки наносится на свидетельство о поверке или паспорт ТПР, а также на специальные мастики, установленные в соответствии с рисунком, указанным в описании типа на ТПР.
-
-
7.3 При отрицательных результатах поверки ТПР к эксплуатации не допускают, свидетельство о поверке аннулируют и выдают «Извещение непригодности к применению» с указанием причин в соответствии с приказом Минпромторга России №1815 от 2 июля 2015 г. «Об утверждении Порядка проведения поверки средств измерений, требования к знаку поверки и содержанию свидетельства о поверке».
5
