Методика поверки «ГСИ. Система измерений количества и показателей качества нефти №251 АО «РИТЭК»» (МП НА.ГНМЦ.0116-16 )
УТВЕРЖДАЮ
Директор ОП ГНМЦ АО «Нефтеавтоматика»
,М.С. Немиров
09 2016 г.
ИНСТРУКЦИЯ
Государственная система обеспечения единства измерений
Система измерений количества и показателей качества нефти №251 АО «РИТЭК»
Методика поверки
НА.ГНМЦ.0116-16 МП
Казань
2016
РАЗРАБОТАНА
ИСПОЛНИТЕЛИ:
Обособленным подразделением Головной научный метрологический центр АО «Нефтеавтоматика» в г.Казань
(ОП ГНМЦ АО «Нефтеавтоматика»)
Березовский Е.В. к.т.н
Настоящая инструкция распространяется на систему измерений количества и показателей качества нефти №251 АО «РИТЭК» (далее - СИКН) и устанавливает методику ее первичной и периодической поверки.
Интервал между поверками СИКН: один год.
1 Операции поверкиПри проведении поверки выполняют следующие операции:
-
1.1 Внешний осмотр (п.п. 6.1);
-
1.2 Подтверждение соответствия программного обеспечения (далее - ПО) СИКН (п.п. 6.2);
-
1.3 Опробование (п.п. 6.3);
-
1.4 Определение метрологических характеристик (далее - MX):
-
1.4.1 Определение MX средств измерений (далее - СИ), входящих в состав СИКН (п.п. 6.4.1);
-
1.4.2 Определение относительной погрешности измерений массы брутто нефти (п.п. 6.4.2);
-
1.4.3 Определение относительной погрешности измерений массы нетто нефти (п.п. 6.4.3).
2 Средства поверки-
2.1 Установка трубопоршневая поверочная двунаправленная (рабочий эталон 2 разряда по ГОСТ 8.510-2002) (Госреестр № 20054-06).
-
2.2 Рабочий эталон плотности 1 разряда по ГОСТ 8.024-2002 с пределами допускаемой абсолютной погрешности измерений не более ± 0,1 кг/м1.
-
2.3 Рабочий эталон объемного влагосодержания нефти и нефтепродуктов 2 разряда по ГОСТ 8.614-2013.
-
2.4 Магазин электрического сопротивления Р4834 (Госреестр № 11326-90).
-
2.5 Калибратор
№ 22307-04).
-
2.6 Манометры
№ 16026-97).
-
2.7 Термометры
давления портативный Метран 501-ПКД-Р
избыточного давления грузопоршневые
сопротивления платиновые вибропрочные
(Госреестр
(Г осреестр
эталонные
-
(Госреестр № 327772-06).
-
2.9 Другие эталонные и вспомогательные СИ - в соответствии с нормативными документами (НД) на поверку СИ, входящих в состав СИКН.
-
2.10 Допускается применение аналогичных средств поверки, обеспечивающих определение метрологических характеристик поверяемых СИ с требуемой точностью.
-
- СП 5.13130.2009 «Системы противопожарной защиты. Установки пожарной сигнализации и пожаротушения автоматические. Нормы и правила проектирования»;
в области соблюдения правильной и безопасной эксплуатации электроустановок:
-
- ПУЭ «Правила устройства электроустановок»;
в области охраны окружающей среды:
-Федерального закона от 10.01.2002 г. № 7-ФЗ «Об охране окружающей среды» и других законодательных актов по охране окружающей среды, действующих на территории РФ.
4 Условия поверкиПри проведении поверки соблюдают условия в соответствии с требованиями НД на поверку СИ, входящих в состав СИКН.
5 Подготовка к поверкеПодготовку к поверке проводят в соответствии с инструкцией по эксплуатации СИКН и НД на поверку СИ, входящих в состав СИКН.
При подготовке к поверке проверяют наличие действующих свидетельств о поверке и (или) клейм на СИ, входящие в состав СИКН.
6 Проведение поверки6.1. Внешний осмотр
При внешнем осмотре должно быть установлено соответствие СИКН следующим требованиям:
-
- комплектность СИКН должна соответствовать технической документации;
-
- на компонентах СИКН не должно быть механических повреждений и дефектов покрытия, ухудшающих внешний вид и препятствующих применению;
-
- надписи и обозначения на компонентах СИКН должны быть четкими и соответствующими технической документации.
-
6.2 Подтверждение соответствия ПО.
-
6.2.1 Проверка идентификационных данных конфигурационного файла комплекса измерительно-вычислительного «ПРАЙМ ИСКРА» (далее - ИВК).
Чтобы определить идентификационные данные необходимо выполнить нижеперечисленные процедуры.
Для просмотра контрольной суммы необходимо на АРМ оператора перейти на экран «Диагностика». Затем нажать кнопку «Посмотреть CRC». После нажатия кнопки появится окно с цифровым идентификатором (контрольная сумма исполняемого кода) ПО ИВК.
Занести информацию в соответствующие разделы протокола.
-
6.2.2 Если идентификационные данные, указанные в описании типа СИКН и полученные в ходе выполнения п.6.2.1, идентичны, то делают вывод о подтверждении соответствия ПО СИКН программному обеспечению, зафиксированному во время проведения испытаний в целях утверждения типа, в противном случае результаты поверки признают отрицательными.
-
6.3 Опробование
Опробование проводят в соответствии с НД на поверку СИ, входящих в состав СИКН
-
6.4 Определение MX
-
6.4.1 Определение MX СИ, входящих в состав СИКН, проводят в соответствии с НД, приведенными в таблице 1.
Таблица! - Перечень НД на поверку СИ
|
Наименование СИ |
нд |
|
Счётчик-расходомер массовый кориолисовый ROTAMASS модели RCCS39/IR |
«Рекомендация. ГСИ. Счётчики-расходомеры массовые ROTAMASS. Методика поверки комплектом трубопоршневой поверочной установки и поточного преобразователя плотности», утверждённая ГНМЦ ВНИИР 2006г. |
|
Преобразователь плотности жидкости измерительный модели 7835 |
МИ 2591-2000 «ГСИ. Преобразователи плотности поточные фирмы «The Solartron Electronic Group LTD» (Великобритания). Методика поверки» МИ 2816-2003 «ГСИ. Преобразователи плотности поточные. Методика поверки на месте эксплуатации» МИ 2403-97 «ГСИ. Преобразователи плотности поточные, вибрационные Солартрон типов 7830, 7835, 7840. Методика поверки на месте эксплуатации» |
|
Влагомер нефти поточный модели L |
«Рекомендация. ГСИ. Влагомеры поточные моделей L, М, F фирмы «Phase Dynamics, Inc.» (США). Методика поверки», утвержденная 23.05.2003г. ГЦИ СИ «ВНИИМ им. Д.И. Менделеева» |
|
Преобразователь давления измерительный EJA530 Преобразователь давления измерительный EJA110 |
МИ 1997-89 «ГСИ. Преобразователи давления измерительные. Методика поверки.» МИ 2596-2000 «ГСИ. Рекомендация. Преобразователи давления измерительные EJA производства фирмы «Yokogawa Electric Corporation, Япония. Методика поверки» |
|
Преобразователь измерительный 644 |
«Преобразователи измерительные 248, 644, 3144Р, 3244MV. Методика поверки», разработана и утверждена ВНИИМС, октябрь 2004г. |
|
Преобразователь вторичный Т модификации Т24 |
«Преобразователи вторичные Т, модификации: Т12, Т19, Т20, Т24, Т31, Т32, Т42, выпускаемых фирмой «WIKA Alexander Wiegand GmbH&Co.KG», Германия. Методика поверки», утв. ГЦИ СИ «ВНИИМ им. Д.И.Менделеева» в мае 2003г. МП-2412-0017-2007 Преобразователи вторичные Т, модификации: Т12, Т19, Т20, Т24, Т31, Т32, Т42, Т53, Т91. Методика поверки, утв. ГЦИ СИ ВНИИМ им.Д.И.Менделеева, декабрь 2007г. МП-2411-0096-2013 Преобразователи вторичные серии Т, модификации: Т12, Т19, Т24, Т53, Т91. Методика поверки, утв. ГЦИ СИ ВНИИМ им.Д.И.Менделеева, май 2013г. |
|
Наименование СИ |
нд |
|
Термопреобразователь сопротивления платиновый серии 65 Термопреобразователь сопротивления серии TR |
ГОСТ Р 8.461-2009 «ГСИ. Термопреобразователи сопротивления. Методы и средства поверки» ГОСТ Р 8.624-2006 «ГСИ. Термометры сопротивления из платины, меди и никеля. Методика поверки» |
|
Комплекс измерительновычислительный «ПРАЙМ ИСКРА» |
«Комплексы измерительно-вычислительные «ПРАЙМ-ИСКРА». Методика поверки», утверждённая ГЦИ СИ «Тест ПЭ» в марте 2004 г. |
|
Манометр технический избыточного давления показывающий МТИ Манометр для измерения избыточного давления модификации 312.20, |
МИ 2124-90 «ГСИ. Манометры, вакуумметры, мановакуумметры, напоромеры, тягомеры и тягонапоромеры показывающие и самопишущие. Методика поверки» |
|
Термометры ртутные стеклянные лабораторные ТЛ-4 №2 |
ГОСТ 8.279-78 «ГСИ. Термометры стеклянные жидкостные рабочие. Методика поверки» |
Допускается применение других методик поверки на СИ, утвержденных в
установленном порядке.
-
6.4.2 Определение относительной погрешности измерений массы брутто нефти.
При прямом методе динамических измерений за погрешность измерений массы брутто нефти принимают относительную погрешность измерений счётчика-
расходомеар массового кориолисового.
Значения относительной погрешности измерений массы брутто нефти не должны превышать ±0,25%.
-
6.4.3 Определение относительной погрешности измерений массы нетто нефти.
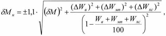
Относительную погрешность измерений массы нетто нефти вычисляют по формуле

(1)
где дМн - относительная погрешности измерений массы нетто нефти, %;
SM - относительной погрешности измерений массы брутто нефти, %;
AJVe - абсолютная погрешность измерений массовой доли воды, %; д^ЛШ - абсолютная погрешность измерений массовой доли механических примесей в нефти, %;
AIVXC - абсолютная погрешность измерений массовой доли хлористых солей, %; We - массовая доля воды в нефти, %;
WMn - массовая доля механических примесей в нефти, %;
Wxc - массовая доля хлористых солей в нефти, %, вычисляемая по формуле р плотность нефти, измеренная в аккредитованной испытательной лаборатории и приведенная к температуре нефти в условиях измерений массовой концентрации хлористых солей по Р 50.2.076-2010, кг/м3.
(2)
Абсолютные погрешности измерений в аккредитованной испытательной лаборатории массовой доли воды, механических примесей и содержания хлористых солей определяют в соответствии с ГОСТ Р 8.580-2001.
Для доверительной вероятности Р = 0,95 и двух измерениях соответствующего показателя качества нефти абсолютную погрешность измерений (А, % массы) вычисляют по формуле

(3)
где Лиг - воспроизводимость и сходимость (повторяемость) метода определения соответствующего показателя качества нефти, значения которых приведены в ГОСТ 2477-65, ГОСТ 6370-83, ГОСТ 21534-76.
Воспроизводимость метода определения концентрации хлористых солей по ГОСТ 21534-76 принимают равной удвоенному значению сходимости (повторяемости) г, % массы. Значение сходимости (повторяемости) гхс, выраженное по ГОСТ 21534-76 в мг/дм3, переводят в % массы по формуле где гхс - сходимость (повторяемость) метода по ГОСТ 21534-76, мг/дм3. Значения относительной погрешности измерений массы нетто нефти не должны превышать ±0,35%.
7 Оформление результатов поверки-
7.1 Результаты идентификации программного обеспечения оформляют протоколом по форме, приведенной в приложении А.
-
7.2 При положительных результатах поверки оформляют свидетельство о поверке СИКН в соответствии с требованиями документа «Порядок проведения поверки средств измерений, требования к знаку поверки и содержанию свидетельства о поверке», утвержденного приказом Минпромторга России № 1815 от 02.07.2015 г. На оборотной стороне свидетельства о поверке системы указывают:
-
- наименование измеряемой среды;
-
- значения относительной погрешности измерений массы брутто нефти и массы нетто нефти, и соответствующий им диапазон расходов (по свидетельствам о поверке на счётчики-расходомеари массовоые кориолисовые);
-
- идентификационные признаки программного обеспечения СИКН.
Знак поверки наносится на свидетельство о поверке СИКН.
-
7.3 При отрицательных результатах поверки СИКН к эксплуатации не допускают, свидетельство о поверке аннулируют и выдают извещение о непригодности к применению в соответствии с документом «Порядок проведения поверки средств измерений, требования к знаку поверки и содержанию свидетельства о поверке», утвержденным приказом Минпромторга России № 1815 от 2.07.2015 г.
Приложение А
(рекомендуемое)
Форма протокола подтверждения соответствия программного обеспечения СИКН
Протокол №
подтверждения соответствия программного обеспечения СИКН
Место проведения поверки:______________________________________________________________________________________
НаименованиеСИ:____________________________________________________________________________________
Заводской номер СИ: №___________________________________________________________________________________
|
Идентификационные данные (признаки) |
Значение,указанное в описании типа СИКН |
Значение, полученное во время проведения поверки СИКН |
|
Идентификационное наименование ПО | ||
|
Номер версии (идентификационный номер) ПО | ||
|
Цифровой идентификатор ПО | ||
|
Другие идентификационные данные (если имеются) |
Заключение: ПО СИКН соответствует/не соответствует ПО, зафиксированному во время испытаний в целях утверждения типа СИКН.
Должность лица проводившего поверку:
(подпись) (инициалы, фамилия)
Дата поверки: «_____» _____________ 20___г.
8
Требования безопасности
При проведении поверки соблюдают требования, определяемые: в области охраны труда и промышленной безопасности:
-
- «Правила безопасности в нефтяной и газовой промышленности», утверждены приказом Ростехнадзора от 12.03.2013 № 101;
-
- Трудовой кодекс Российской Федерации;
в области пожарной безопасности:
-
- СНиП 21-01-97 «Пожарная безопасность зданий и сооружений»;
-
- «Правила противопожарного режима в Российской Федерации», утверждены постановлением Правительства РФ №390 от 25.04.2012;
-
- СП 12.13130.2009 «Определение категорий помещений, зданий и наружных установок по взрывопожарной и пожарной опасности»;
