Методика поверки «ГСИ. Резервуар стальной вертикальный с железобетонной крышей РВСжк-10000» (МП 0435-7-2016)
ФЕДЕРАЛЬНОЕ АГЕНТСТВО ПО ТЕХНИЧЕСКОМУ РЕГУЛИРОВАНИЮ И МЕТРОЛОГИИ
Федеральное государственное унитарное предприятие «Всероссийский научно-исследовательский институт расходометрии» (ФГУП «ВНИИР»)
ГОСУДАРСТВЕННАЯ СИСТЕМА ОБЕСПЕЧЕНИЯ ЕДИНСТВА ИЗМЕРЕНИЯ
МЕТОДИКА ПОВЕРКИ
МП 0435-7-2016
2. р 6>.S 5 У ?Началь

Кондаков А.В.
43) 272-62-75; 272-54-55
Казань
2016 г.
Предисловие
|
1 РАЗРАБОТАНА |
Федеральным государственным унитарным предприятием Всероссийским научно-исследовательским институтом расходометрии Государственным научным метрологическим центром (ФГУП «ВНИИР») |
|
ИСПОЛНИТЕЛИ: |
А.В Кондаков, В. М. Мигранов |
|
2 УТВЕРЖДЕНА |
ФГУП «ВНИИР» 20 мая 2016 г. |
3 ВВЕДЕНА ВПЕРВЫЕ
ЛИСТОВ: 22
Настоящий нормативный документ не может быть полностью или частично воспроизведен, тиражирован и (или) распространен без разрешения ФГУП «ВНИИР»
Адрес: 420088, г. Казань, ул. 2-я Азинская, 7а
Тел/факс +7(843)272-61-26; +7(843)272-62-75
E-mail: vniir.nio-7@yandex.ru
Содержание
Стр.
'___ 10.2 Измерение внутреннего диаметра цилиндрической части резервуара
-
10.7 Измерение параметров вертикальных внутренних деталей прямоугольной формы ....8
Государственная система обеспечения единства измерений
Резервуар стальной вертикальный с железобетонной крышей РВСжк-10000. Методика поверки. МП 0435-7-2016
ГОСТ 30852.12-2002 Электрооборудование взрывозащищенное. Часть 12. Классификация смесей газов и паров с воздухом по безопасным экспериментальным зазорам и минимальным воспламеняющим токам;
ОСТ 39-107-80 Система стандартов безопасности труда нефтяной промышленно
сти.
3 ТЕРМИНЫ И ОПРЕДЕЛЕНИЯ
В настоящей инструкции применяют следующие термины с соответствующими определениями:
-
3.1 резервуар стальной вертикальный с железобетонной крышей: Сосуд в виде стального цилиндра подземного расположения, обложенный снаружи железобетонными плитами (рис. I1), состоящий из железобетонной кровли опирающуюся на опорные колонны, цилиндрической части выполненной из сборных железобетонных панелей и монолитного днища, применяемый для хранения и измерения объема и массы мазута.
-
3.2 градуировочная таблица: Зависимость вместимости от уровня наполнения резервуара при нормированном значении температуры, равной 20 С°.
Таблицу прилагают к свидетельству о поверке резервуара и применяют для определения объема мазута в нем.
-
3.3 градуировка: Операция поверки по установлению зависимости вместимости резервуара от уровня его наполнения, с целью составления градуировочной таблицы.
-
3.4 вместительность резервуара: Внутренний объем резервуара с учетом объема внутренних деталей, который может быть наполнен мазутом до определенного уровня.
-
3.5 номинальная вместимость резервуара: Вместимость резервуара, соответствующая предельному уровню наполнения его, установленная нормативным документом для конкретного типа резервуара.
-
3.6 действительная (фактическая) полная вместимость резервуара: Вместимость резервуара, соответствующая предельному уровню его наполнения, установленная при его поверке.
-
3.7 посантиметровая вместимость резервуара: Вместимость резервуара, соответствующая уровню налитых в него доз жидкости, приходящихся на 1 см высоты наполнения.
-
3.8 коэффициент вместимости: Вместимость, приходящаяся на 1 мм высоты наполнения.
-
3.9 точка касания днища грузом рулетки: Точка на днище резервуара, которой касается груз измерительной рулетки при измерении базовой высоты резервуара и уровня мазута в резервуаре.
-
3.10 базовая высота резервуара: Расстояние по вертикале от точки касания днища грузом рулетки до верхнего края измерительного люка или до риски направляющей планки измерительного люка (при наличии)
-
3.11 предельный уровень: Предельный уровень определения посантиметровой вместимости резервуара при его поверке.
-
3.12 геометрический метод поверки: Метод поверки, заключающийся в определении вместимости резервуара по результатам измерений его геометрических параметров.
4 ТЕХНИЧЕСКИЕ ТРЕБОВАНИЯ
-
4.1 Требования к погрешности измерений параметров резервуара
4.1.1 Пределы допускаемой погрешности измерений параметров резервуара приведены в таблице 1.
Таблица 1
|
Наименование измеряемого параметра |
Пределы допустимой погрешности измерений параметров резервуара РВСжк-10000 |
|
Диаметр резервуара, мм |
±6,0 |
|
Объем внутренних деталей, м3 |
± 0,050 |
|
Нижняя часть резервуара, м3 |
±0,100 |
-
4.1.2 При соблюдении указанных в таблице 1 пределов допускаемой погрешности измерений относительная погрешность определения вместимости (градуировочной таблицы) резервуаров РВСжк-10000 должна находиться в пределах: ± 0,20%.
-
4.2 Требования к средствам поверки
-
4.2.1 При поверке резервуара применяют следующие основные и вспомогательные средства поверки:
-
4.2.1.1 Рулетку измерительную 2-го класса точности с диапазоном измерений от О до 20 м по ГОСТ 7502.
-
4.2.1.2 Рулетку измерительную 3-го класса точности с грузом диапазоном измерений от 0 до 30 м по ГОСТ 7502.
-
4.2.1.3 Линейку измерительную металлическую с диапазоном от 0 до 500 мм, от 0 до 1000 мм по ГОСТ 427.
-
4.2.1.4 Тахеометр электронный типа Trimble 3605DR, с пределами средней квадратичной погрешности измерений расстояний (СКО) одним приемом: ± (2+2x10'6 L) мм, диапазоном измерений расстояний в безотражательном режиме от 0 до 80 м, допустимым средним квадратическим отклонением измерений углов: ± 5" по [1], Госреестр № 38253-08.
Примечание - Цена деления нивелирной рейки должна быть 1 мм.
-
4.2.1.5 Термометр с ценой деления 0,1°С и диапазоном измерений от 0 до плюс 50 °C по ГОСТ 28498.
-
4.2.1.6 Анализатор-течеискатель типа АНТ-ЗМ по [2].
-
4.2.2 Вспомогательные средства поверки: мел, шпатель, щетки (металлические), микрокалькулятор.
-
4.2.3 Основные средства поверки резервуаров должны быть поверены в установленном порядке.
-
4.2.4 Допускается применение других, вновь разработанных или находящихся в эксплуатации средств измерений, удовлетворяющих по точности и пределам измерений требованиям настоящей рекомендации.
5 ТРЕБОВАНИЯ К ОРГАНИЗАЦИИ ПРОВЕДЕНИЯ ПОВЕРКИ
-
5.1 Поверку резервуаров осуществляют аккредитованные в установленном порядке в области обеспечения единства измерений юридические лица.
-
5.2 Устанавливают следующие виды поверок резервуара:
-
- первичную, которую проводят после строительства резервуара перед его вводом в эксплуатацию и капитального ремонта;
-
- периодическую, которую проводят по истечению срока действия градуировочной таблицы и при внесении в резервуар конструктивных изменений, влияющих на его вместимость;
-
- внеочередную поверку - проводят при изменении значений базовой высоты резервуара более чем на 0,1 % по результатам ежегодных её измерений.
Первичную поверку резервуара проводят после гидравлического испытания.
6 ТРЕБОВАНИЯ К КВАЛИФИКАЦИИ ПОВЕРИТЕЛЕЙ И ТРЕБОВАНИЯ БЕЗОПАСНОСТИ
-
6.1 Поверку резервуара проводит физическое лицо, аттестованное в качестве поверителя и в области промышленной безопасности в соответствии с РД-03-20 [3], утвержденным приказом Ростехнадзора от 29.01.2007 № 37.
-
6.2 Измерения параметров при поверке резервуара проводит группа лиц, включая поверителя организации, указанной в 6.1, и не менее двух специалистов, прошедших курсы повышения квалификации и других лиц (при необходимости), аттестованных в области промышленной безопасности в соответствии с РД-03-20.
-
6.3 К поверке резервуара допускают лиц, изучивших настоящую инструкцию, техническую документацию на резервуар и его конструкцию, средства поверки и прошедших инструктаж по безопасности труда в соответствии с ГОСТ 12.0.004, по промышленной безопасности в соответствии с РД-03-20.
-
6.4 Лица, проводящие поверку резервуара, надевают спецодежду: - костюмы по ГОСТ 12.4.280, спецобувь по ГОСТ 12.4.137, строительную каску по ГОСТ 12.4.087, рукавицы по ГОСТ 12.4.010.
-
6.5 Предельно допустимая концентрация (ПДК) вредных паров и газов в воздухе, измеренная газоанализатором вблизи и внутри резервуара на высоте 2000 мм, не должна превышать 300 мг/м3 - по ГОСТ 12.1.005-88.
-
6.6 Измерения параметров резервуара во время грозы категорически запрещены.
-
6.7 Для освещения при проведении измерений параметров резервуара применяют светильники во взрывозащитном исполнении.
-
6.8 Перед началом поверки резервуара проверяют исправность:
-
- лестниц с поручнями и подножками;
-
- помостов с ограждениями.
-
6.9 В процессе измерений параметров резервуара обеспечивают двух или трехкратный обмен воздуха внутри резервуара. При этом анализ воздуха на содержание вредных паров и газов проводят через каждый час.
-
6.10 Продолжительность работы внутри резервуара не более 4-х часов, после каждой четырехчасовой работы - перерыв на один час.
7 УСЛОВИЯ ПОВЕРКИ
-
7.1 При поверке соблюдают следующие условия:
-
7.1.1 Измерения параметров резервуара проводят изнутри его.
-
7.1.2 Для проведения измерений параметров резервуара его освобождают от остатков мазута, зачищают, пропаривают (при необходимости), промывают и вентилируют.
-
7.1.3 Температура воздуха внутри резервуара (20 ± 15)°С.
8 ПОДГОТОВКА К ПОВЕРКЕ
-
8.1 При подготовке к поверке проводят следующие работы:
-
8.1.1 Изучают техническую документацию на резервуар и средства поверки.
-
8.1.2 Подготавливают средства поверки согласно технической документации на них, утвержденной в установленном порядке.
-
8.1.3 Штатив тахеометра приводят в рабочее положение, устанавливают на него тахеометр, проводят необходимые операции к подготовки к работе, в соответствии с руководством по эксплуатации.
-
8.1.4 Определяют центр днища резервуара в следующей последовательности.
-
1) наносят вертикальную отметку 1 мелом на пересечении днища и цилиндрической части стенки (рисунок 2);
-
2) начало рулетки (левый конец) совмещают с вертикальной отметкой 1;
-
3) укладывают рулетку на днище резервуара до противоположной стороны резервуара;
-
4) конец рулетки (правый конец) совмещают до пересечения днища и цилиндрической части стенки;
-
5) при неподвижном положении начала рулетки (отметка 1) правый конец перемещают вокруг отметки 1, добиваясь максимального значения показания на правом конце и фиксируют отметку 5 на противоположной стороне;
-
6) размечают мелом отметку 00 на середине уложенной ленты.

-
7) устанавливают тахеометр на отметке 001 и направляют лазерный указатель на отметку 1;
-
8) поворачивают зрительную трубу на 45° по часовой стрелке от отметки 1 и фиксируют отметку 2 на стенке;
-
9) проведя аналогичные операции по перечислению 2)-5) размечают мелом отметку 002;
-
10) поворачивают зрительную трубу на 45° по часовой стрелке относительной отметки 2 и фиксируют отметку 3 на стенке;
-
11) проведя аналогичные операции по перечислению 2)-5) размечают мелом отметки ОО'.-.ОО5;
-
12) соединяют отметки между собой и размечают середину днища (отметка 00), как середину многоугольника.
9 ОПЕРАЦИИ ПОВЕРКИ
-
9.1 При проведении поверки резервуара должны быть выполнены операции, указанные в таблице 2
Таблица 2
|
Наименование операции |
Номер пункта Инструкции |
|
Внешний осмотр |
10.1 |
|
Измерение внутреннего диаметра резервуара |
10.2 |
|
Измерение высоты резервуара |
10.3 |
|
Определение объемов внутренних деталей |
10.4 |
|
Измерение базовой высоты |
10.5 |
|
Измерение параметров приямка |
10.6 |
|
Измерение параметров вертикальных внутренних деталей прямоугольной формы |
10.7 |
|
Измерение параметров фундамента колонны |
10.8 |
|
Измерения параметров колонны |
10.9 |
10 ПРОВЕДЕНИЕ ПОВЕРКИ РЕЗЕРВУАРА
-
10.1 Внешний осмотр
-
10.1.1 При внешнем осмотре резервуара проверяют:
-
- состояние конструкции и внутренних деталей резервуара технической документации на него (паспорту, технологической карте на резервуар);
-
- наличие необходимой арматуры и оборудования;
-
- исправность лестниц и перил;
-
- состояние днища резервуара (отсутствие бугров, ям);
-
- чистоту внутренней поверхности резервуара;
-
- отсутствие деформации стенок резервуара, препятствующих проведению измерений параметров резервуара.
-
10.1.2 По результатам внешнего осмотра устанавливают возможность применения геометрического метода поверки резервуара.
-
10.2 Измерение внутреннего диаметра цилиндрической части резервуара
Измерение внутреннего диаметра цилиндрической части резервуара £)цил проводят в следующей последовательности (рисунок А.2).
а) устанавливают тахеометр над центром днища 00, контроль положения осуществляют с применением оптического центрира.
Тахеометр горизонтируют, с помощью триггеров в соответствии с его технической документацией.
Измеряют высоту установки инструмента /?yCTaH , мм, (рисунок А.4) и привязывают его по высоте с координатам обратной засечкой th = Q.
Вертикальный угол визира устанавливают в значение 90°.
б) выбирают режим тахеометра HD-h-HZ и устанавливают значения:
-
- «0» - горизонтального угла Hz;
-
- 90° - вертикального угла Vz.
в) измеряют расстояние /? 1 - 1, как горизонтальное проложение (параметр HD);
г) поворачивают алидаду тахеометра на 45° по часовой стрелке (HZ - 45°) и измеряют расстояние 7?цил 1 - 2 на второй образующей;
д) повторяя процедуры по перечислению б)-г) измеряют расстояния
е) направляют сетку визирной трубы на стенку резервуара на высоте Н2 — 2 (5500 - 6000 мм);
ж) аналогично выполняя действия по перечислению б) -д) измеряют расстояния Яцил2-1...Лцил2-8.
и) внутренние диаметры £)цил, мм, вычисляют как сумму измеренных радиусов на противоположных образующих (рисунок А.З).
Примечание - первый символ в обозначении радиуса 7?цил относится к высоте измерения (Н1 или Н2), второй указывает номер образующей, на которой проводится измерение (1 ...8).
Результаты измерений вносят в протокол поверки форма которого приведена в приложении Б (таблица Б.4).
-
10.3 Измерения высоты резервуара
Измерения высоты резервуара в следующей последовательности.
Высоту резервуара Н измеряют на Пой образующей резервуара (рисунок А.З), при помощи тахеометра.
Установленный по 8.1.4 в центре резервуара на l-oft образующей приводят в рабочее положение.
Направляют сетку нитей на поверхность сопряжения цилиндрической части и кровли резервуара.
Измеряют расстояние Нрез, мм, как высоту превышения h.
Результаты измерений вносят в протокол поверки форма которого приведена в приложении Б.
-
10.4 Определение объемов внутренних деталей
Объемы внутренних деталей, находящихся в резервуаре определяют по данным проекта С-21-09/556, разработанной ПИ «Мосэнергопроект» (1970 г.) и предоставленной ТЭЦ-21 ПАО «Мосэнерго».
Результаты измерений вносят в протокол поверки форма которого приведена в приложении Б (таблица Б.9).
-
10.5 Измерения базовой высоты
-
10.5.1 Измерения базовой высоты проводят по 9.1.10 ГОСТ 8.570-2000 (с Изменением №1,2) в следующей последовательности.
-
10.5.2 Базовую высоту резервуара Hq измеряют рулеткой с грузом не менее двух раз. Расхождение между результатами двух измерений не должно превышать 2 мм.
Результаты измерений вносят в протокол поверки форма которого приведена в приложении Б (таблица Б.6).
-
10.6 Измерение параметров приямка
-
10.6.1 Приямок (рисунок А.4) имеет поперечное сечение цилиндрической формы диаметром dnp и высотой (глубиной) /?пр.
-
10.6.2 Диаметр приямка измеряют измерительной рулеткой в диаметрально перпендикулярных направлениях не менее двух раз.
Результаты измерений отсчитывают по шкале рулетки с точностью ± 1 мм. Расхождения между результатами двух измерений не должны превышать ± 5 мм.
-
10.6.3 Глубину (высоту) приямка .. приямка измеряют измерительной рулеткой в диаметрально перпендикулярных направлениях не менее двух раз.
-
10.6.4 Среднее арифметическое значение результатов измерений величин с/пр, Лпр вносят в протокол поверки форма которого приведена в приложении Б (таблица Б.7).
-
10.7 Измерение параметров вертикальных внутренних деталей прямоугольной
формы .
-
10.7.1 Для определения параметров внутренних деталей прямоугольной формы измеряют ширину первой грани bVt, ширину второй грани &2/-, высоту нижней границы детали Ан высоту верхней границы детали относительно днища резервуара.
-
10.7.2 Ширину первой bVt, второй грани Ь^ измеряют измерительной рулеткой с точностью до 1 мм. Измерения проводят не менее двух раз. Расхождение между результатами измерений должно составлять не менее 1 мм.
-
10.7.3 Высоту верхней/нижней границы детали определяют нивелированием.
-
10.7.4 Среднее арифметическое значение результатов измерений величин Ь\ I’ b2i’ hH, ha вносят в протокол поверки форма которого приведена в приложении Б (таблица Б.9).
-
10.8 Измерение параметров фундамента колонны
-
10.8.1 Для определения параметров фундамента колонны измеряют ширину нижних граней Ьп н, Ьзн, ширину верхних граней Ьпа, Ьзв, высоту нижней границы детали /?н высоту верхней границы детали Нй относительно днища резервуара (рисунок А.5).
-
10.8.2 Ширину нижних граней Ьп н, Ь3 н, ширину верхних граней Ьп в, .. измеряют измерительной рулеткой с точностью до 1 мм. Измерения проводят не менее двух раз. Расхождение между результатами измерений должно составлять не менее 1 мм.
-
10.8.3 Высоту верхней/нижней границы детали определяют нивелированием.
-
10.8.4 Среднее арифметическое значение результатов измерений величин Ьп н, Ь3 н , Ьпъ, b3&, hH, Иъ вносят в протокол поверки форма которого приведена в приложении Б (таблица Б.8).
-
10.9 Измерения параметров колонны
Параметры колонны определяют как внутреннюю деталь прямоугольной формы по 10.7.
Результаты измерений вносят в протокол поверки форма которого приведена в приложении Б (таблица Б.9).
11 ОБРАБОТКА РЕЗУЛЬТАТОВ ИЗМЕРЕНИЙ И СОСТАВЛЕНИЕ ГРАДУИРОВОЧНОЙ ТАБЛИЦЫ
-
11.1 Обработка результатов измерений
-
11.1.1 Обработку результатов измерений при поверке проводят в соответствии с приложением В.
-
11.2 Составление градуировочной таблицы резервуара
-
11.2.1 Составление градуировочной таблицы
-
11.2.1.1 Градуировочную таблицу верхней части резервуара составляют с шагом АН = 1 см, начиная с нулевого до уровня Нрез, измеренного по 10.3.
-
11.2.1.2 Посантиметровую вместимость резервуара Г(Н), м3/см, вычисляют по формуле
, *Ф-к
/ -у - участка от Н2 до Лф к + ГФ.К J
?в ,н \ ■ участка от Апрям до Лпрям.где S - площадь поперечного сечения резервуара, вычисляемая по формуле (В.1), м2;
Н - уровень жидкости, отсчитываемый от точки касания днища резервуар грузом рулетки, мм;
Н} - уровень жидкости, соответствующий высоте нижней части резервуара, мм;
Ипрям “ объем колонн, м3;
^прям ~ веРхняя граница колонн, мм;
^прям _ нижняя граница колонн, мм;
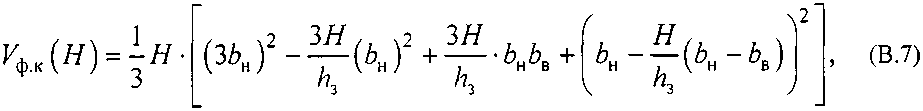
Уф к - объем фундамента колонны, вычисляемый по формуле (В.7), м3;
Аф к - верхняя граница фундамента колонны, мм;
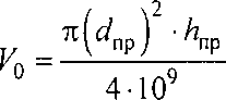
Vq - объем приямка, вычисляемый по формуле (В.6), м3.
-
11.2.1.3 В пределах предельного уровня Н вычисляют коэффициент вместимости, равный вместимости, приходящейся на 1 мм высоты наполнения.
-
11.2.1.4 При составлении градуировочной таблицы значения вместимости округляют до 1 дм3.
-
11.2.1.5 Значения посантиметровой вместимости резервуара, указанные в градуировочной таблице, соответствуют стандартной температуре 20 °C.
12 ОФОРМЛЕНИЕ РЕЗУЛЬТАТОВ ПОВЕРКИ
-
12.1 Результаты поверки резервуара оформляют свидетельством о поверке в соответствии с [4].
-
12.2 К свидетельству о поверке прикладывают:
а) градуировочную таблицу;
б) протокол поверки (оригинал прикладывают к первому экземпляру градуировочной таблицы);
в) эскиз резервуара.
-
12.3 Форма титульного листа градуировочной таблицы и форма градуировочной таблицы приведены в приложении Г. Форма акта ежегодных измерений базовой высоты резервуара приведена в приложении Д.
Протокол поверки подписывает поверитель и лица, участвующие при проведении поверки резервуара. Подпись поверителя заверяют оттиском поверительного клейма.
Титульный лист и последнюю страницу градуировочной таблицы подписывает поверитель, подпись поверителя заверяют оттиском поверительного клейма.
-
12.4 Градуировочную таблицу утверждает руководитель органа аккредитованного на право проведения поверки.

Схема резервуара и оборудования резервуара при поверке

JA

Рисунок А. 1 - Схема резервуара и внутренних деталей резервуара

ИНСТРУКЦИЯ. ГСИ. РЕЗЕРВУАР СТАЛЬНОЙ ВЕРТИКАЛЬНЫЙ С ЖЕЛЕЗОБЕТОННОЙ КРЫШЕЙ РВСЖК-10000.
МЕТОДИКА ПОВЕРКИ. МП 0435-7-2016


Рисунок А.2 - Схема определения центра днища резервуара

Рисунок А.3 - Схема измерений диаметра резервуара





Рисунок А. 5 - Схема измерений параметров фундамента колонны
ПРИЛОЖЕНИЕБ(обязательное)
Форма протокола поверки резервуара
ПРОТОКОЛ
поверки резервуара геометрическим методом
Таблица Б.2 - Условия проведения измерений
|
Температура воздуха, °C |
Скорость ветра, м/с |
Загазованность, мг/м3 |
Таблица Б.1- Общие данные
|
Код документа |
Регистрационный номер |
Дата |
Основание для проведения поверки | ||
|
число |
месяц |
год | |||
|
1 |
2 |
3 |
4 |
5 |
6 |
Продолжение таблицы Б. 1
|
Место проведения поверки |
Рабочие эталоны и вспомогательные средства |
|
7 |
8 |
Окончание таблицы Б.1
|
Резервуар | ||
|
Тип |
Номер |
Погрешность определения вместимости резервуара, % |
|
9 |
10 |
11 |
Таблица Б.З- Высота установки инструмента
В миллиметрах
|
Номер измерения |
h "инстр |
|
1 | |
|
2 |
Таблица Б.4- Измерение внутреннего диаметра резервуара
В миллиметрах
|
Высота |
Номер образующей к |
Rwn^~k^-k) |
Номер образующей к |
1^(1-к,2-к) |
(Мдил.А )(- |
|
1 |
1 |
2 |
3 |
4 |
5 |
|
1700 |
1 |
5 | |||
|
2 |
6 | ||||
|
3 |
7 | ||||
|
4 |
8 | ||||
|
6000 |
1 |
1 | |||
|
2 |
2 | ||||
|
3 |
3 | ||||
|
4 |
4 |
Таблица Б.5 - Измерение высоты резервуара В миллиметрах
|
Номер измерения |
Значение Нр |
|
1 | |
|
2 |
Таблица Б.6- Базовая высота резервуара В миллиметрах
|
Точка измерения базовой высоты Н5 |
Номер измерения | |
|
1 |
2 | |
|
Риска измерительного люка | ||
|
Верхний срез измерительного люка | ||
Таблица Б.7- Параметры приямка
В миллиметрах
|
Номер измерения |
Приямок | |
|
диаметр с/пр |
глубина /гпр | |
|
1 | ||
|
2 | ||
Таблица Б. 8 - Параметры опор фундамента колонны В миллиметрах
|
Номер колонны |
Ширина опоры |
Высота опоры | ||||
|
нижняя граница |
верхняя граница | |||||
|
^п.н |
^п.в | |||||
|
1 |
2 |
3 |
4 |
5 |
6 |
7 |
|
1 | ||||||
|
2 | ||||||
|
п | ||||||
деталей прямоугольной формы
В миллиметрах
|
№ п/п |
Ширина |
Высота от днища резервуара |
Кол-во | ||
|
1 грань |
2 грань |
нижняя граница |
верхняя граница | ||
|
1 |
2 |
3 |
4 |
5 |
6 |
|
1 | |||||
|
2 | |||||
|
3 | |||||
Подписи и оттиски
поверительного клейма, печатей
(штампов)
□
Таблица Б.9 - Объемы вертикальных внутренних
Должности
Инициалы, фамилии
Обработка результатов измерений
В.1 Вычисление площади поперечного сечения резервуара
В. 1.1 Площадь поперечного сечения резервуара S, м2, вычисляют по формуле
^цил
(В.1)
где £цил - внутренний диаметр цилиндрической части резервуара, мм; Величину /?цил, мм, вычисляют по формуле
цил
8

(В.2)
где (7?ЦИЛ^У - диаметры на образующих, определенные по перечислению и) п.10.2, его значение принимают из графы 5 таблицы Б.4, мм.
В.2 Измерение высоты резервуара
В.2.1 Высоту резервуара (рисунок А.З), как расстояние по вертикали от верхнего края первого пояса нижней части резервуара, Н, мм, вычисляют по формуле

(В.З)
где Лустан - высота установки инструмента (рисунок А.З), значение которой принимают по таблице Б.З;
h'p, h"p - результаты измерений высоты, мм. Значения h'p, h"p принимают по таблице Б.5 приложения Б.
В.З Вычисление объема внутренних деталей
В.3.1 К числу внутренних деталей относят:
В.3.1.1 Приямок.
В.3.1.2 Фундамент колонны.
В. 3.1.3 Колонну.
В.3.1 Измерение объема приямка
В.3.1.1 Диаметр <7пр приямка вычисляют по формулам


d
пр

(В.4)
где d'np, d^ - величины, измеренные по 10.6.2, мм.
В.3.1.2 Глубину приямка hnp, мм, вычисляют по формуле
h
пр

(В.5)
где h'np, Л" - величины, измеренные по 10.6.3, мм.
В.3.1.3 Объем приямка , м3, вычисляемой по формуле

(В.6)
где с/пр, /^р - величины, вычисляемые по формулам: (В.4), (В.5), мм.
В.3.2 Вычисление объема фундамента колонны
Объем фундамента колонны от нижней границы фундамента до верхней границы вычисляют по формуле

где Ьн - ширина основания опоры на нижней границе фундамента колонны, мм; Ьв - ширина основания опоры на верхней границе фундамента колонны, мм; /?3 - высота фундамента колонны, мм;
Н - текущая высота, мм;
ПРИЛОЖЕНИЕ ГФорма титульного листа градуировочной таблицы и форма градуировочной таблицы
Г. 1 Форма титульного листа градуировочной таблицы2
УТВЕРЖДАЮ
«___»______________201_ г.
ГРАДУИРОВОЧНАЯ ТАБЛИЦА
на стальной вертикальный с железобетонной крышей резервуар РВСжк-10000
тип___________ №_____________________________
Организация________________________________________________
Погрешность определения вместимости:
Срок очередной поверки_________________________
Поверитель
ПОДПИСЬ
должность, инициалы, фамилия

Г.2 Форма градуировочной таблицы резервуара
Организация______________________
Резервуар №_______________________
Г.2.1 Форма градуировочной таблицы нижней части резервуара

Таблица Г.2 - Посантиметровая вместимость нижней части резервуара
|
Уровень наполнения, см |
Вместимость, м3 |
Коэффициент вместимости, м3/мм |
|
0 | ||
|
1 | ||
|
2 | ||
|
Hi | ||
|
Я1+1 | ||
|
Н\ +2 | ||
|
я2 |
Г.2.2 Форма градуировочной таблицы верхней части резервуара
|
Таблица Г.З- Посантиметровая вместимость верхней части резе |
эвуара | ||
|
Уровень наполнения, см |
Вместимость, м3 |
Уровень наполнения, см |
Вместимость, м3 |
|
Н2+\ | |||
|
Н1+2 | |||
|
нкр | |||
Таблица Г.4 - Средняя вместимость верхней части резервуара в пределах вместимости, приходящейся на 1 см высоты наполнения
|
Уровень наполнения, мм |
Вместимость, 3 м |
Уровень наполнения, мм |
Вместимость, 3 м |
Уровень наполнения, мм |
Вместимость, 3 м |
|
1 |
4 |
7 | |||
|
2 |
5 |
8 | |||
|
3 |
6 |
9 |
Форма акта ежегодных измерений базовой высоты резервуара
УТВЕРЖДАЮ
Руководитель предприятия владельца резервуара (директор, гл. инженер)
АКТ
измерений базовой высоты резервуара
от «___»_____________________201 _г.
Составлен в том, что комиссия, назначенная приказом по______________________________
наименование предприятия-
______________________________________________, и членов:______________________________________ владельца резервуара инициалы, фамилии
провела по__________контрольные измерения базовой высоты резервуара типа_______
номинальной вместимостью________м3 при температуре окружающего воздуха °C____.
Результаты измерения представлены в таблице Д. 1.
Таблица Д.1 В миллиметрах
|
Базовая высота резервуара | |
|
Среднее арифметическое значение результатов двух измерений (Нб ) |
Значение базовой высоты, установленное при поверке резервуара (Нб ) |
|
1 |
2 |
Относительное изменение базовой высоты резервуара 8с;,%, вычисляют по формуле
8б = б)к -100 , где значения величин (Яб)к> (Яб)п приведены в 1-й, 2-й
(Яб)пграфах.
Вывод: требуется (не требуется) внеочередная поверка резервуара
Председатель комиссии
ПОДПИСЬ
Члены:
инициалы, фамилия
|
ПОДПИСЬ |
инициалы, фамилия |
* Указывают при заполнении
БИБЛИОГРАФИЯ-
[1] Тахеометры электронные серии 3600 (Trimble 3601R, 3602DR, 3603DR,/3603DR, Arctic,, 3605DR,/3605DR Arctic), Госреестр № 38253-08
-
[2] ТУ ДКТЦ41344.1.1.102 Анализатор-течеискатель АНТ-3. Технические условия
-
[3] РД-03-20-2007 Положение об организации обучения и проверки знаний рабочих организаций, поднадзорных федеральной службе по экологическому, технологическому и атомному надзору.
-
[4] Приказ Минпромторга РФ № 1815 от 02 июля 2015 г. «Об утверждении Порядка поверки средств измерений, требования к знаку поверки и содержанию свидетельства о поверке»
ФГУП «ВНИИР»
Страница 22 из 22
Здесь и далее по тексту приведены ссылки на рисунки Приложения А
Форма градуировочной таблицы не подлежит изменению
