Методика поверки «ГСИ. Резервуар железобетонный прямоугольный ЖБР-2000» (МП 0444-7-2016)
ФЕДЕРАЛЬНОЕ АГЕНТСТВО ПО ТЕХНИЧЕСКОМУ РЕГУЛИРОВАНИЮ И МЕТРОЛОГИИ
Федеральное государственное унитарное предприятие «Всероссийский научно-исследовательский институт расходометрии» (ФГУП «ВНИИР»)

по развитию
С. Тайбинский
апреля 2016 г.
ИНСТРУКЦИЯГОСУДАРСТВЕННАЯ СИСТЕМА ОБЕСПЕЧЕНИЯ ЕДИНСТВА ИЗМЕРЕНИЯ
Резервуар железобетонный прямоугольный ЖБР-2000 МЕТОДИКА ПОВЕРКИМП 0444-7-2016
Начальни

ИО-7
К Кондаков А.В.
2-62-75; 272-54-55
Казань
2016 г.
Предисловие
1 РАЗРАБОТАНА |
Федеральным государственным унитарным предприятием Всероссийским научно-исследовательским институтом расходометрии (ФГУП «ВНИИР») |
ИСПОЛНИТЕЛИ: |
А.В Кондаков, В. М. Мигранов |
2 УТВЕРЖДЕНА |
ФГУП «ВНИИР» 22.04.2016 г. |
-
3 ВВЕДЕНА ВПЕРВЫЕ
ЛИСТОВ: 35
Настоящий нормативный документ не может быть полностью или частично воспроизведен, тиражирован и (или) распространен без разрешения ФГУП «ВНИИР»
Адрес: 420088, г. Казань, ул. 2-я Азинская, 7а
Тел/факс +7(843)272-61-26; +7(843)272-62-75
E-mail: nio@vniir.org
СодержаниеСтр.
-
6 Требования к квалификации поверителей и требования безопасности
-
10 Проведение поверки резервуара
-
10.7 Измерения объема внутренних деталей
-
10.7.2 Измерение параметров вертикальных внутренних деталей
-
11 Обработка результатов измерений и составление градуировочной таблицы
-
11.2 Составление градуировочной таблицы резервуара
-
11.2.1 Составление градуировочной таблицы первого пояса нижней части резервуара ..13
-
11.2.2 Составление градуировочной таблицы второго пояса нижней части резервуара .. 14
-
11.2.3 Составление градуировочной таблицы верхней части резервуара
-
Государственная система обеспечения единства измерений
Резервуар железобетонный прямоугольный ЖБР- 2000 м1 2 3.
Методика поверки. МП 0444-7-2016
-
3 ТЕРМИНЫ И ОПРЕДЕЛЕНИЯ
В настоящей рекомендации применяют следующие термины с соответствующими определениями:
-
3.1 резервуар железобетонный прямоугольный: Сосуд железобетонный (см. рисунок 1), состоящий из верхней части в виде прямоугольного параллелепипеда, состоящего из прямоугольных вертикальных и поперечных стенок и нижней части в виде корытообразной формы, образованной из двух параллельных горизонтальных верхнего и нижнего прямоугольников (при этом нижний прямоугольник является днищем резервуара) и двух поперечных наклонных трапеций, применяемый для хранения и измерения объема и массы мазута.
-
3.2 градуировочная таблица : Зависимость вместимости от уровня наполнения резервуара при нормированном значении температуры, равной 20 С°.
Таблицу прилагают к свидетельству о поверке резервуара и применяют для определения объема мазута в нем.
-
3.3 градуировка: Операция поверки по установлению зависимости вместимости резервуара от уровня его наполнения, с целью составления градуировочной таблицы.
-
3.4 вместительность резервуара: Внутренний объем резервуара с учетом объема внутренних деталей, который может быть наполнен мазутом до определенного уровня.
-
3.5 номинальная вместимость резервуара: Вместимость резервуара, соответствующая предельному уровню наполнения его, установленная нормативным документом для конкретного типа железобетонного прямоугольного резервуара.
-
3.6 действительная (фактическая) полная вместимость резервуара: Вместимость резервуара, соответствующая предельному уровню его наполнения, установленная при его поверке.
-
3.7 посантиметровая вместимость резервуара: Вместимость резервуара, соответствующая уровню налитых в него доз жидкости, приходящихся на 1 см высоты наполнения.
-
3.8 коэффициент вместимости: Вместимость, приходящаяся на 1 мм высоты наполнения.
-
3.9 точка касания днища грузом рулетки: Точка на днище резервуара, которой касается груз измерительной рулетки при измерении базовой высоты резервуара и уровня мазута в резервуаре.
-
3.10 базовая высота резервуара: Расстояние по вертикале от точки касания днища грузом рулетки до верхнего края измерительного люка или до риски направляющей планки измерительного люка (при наличии)
-
3.11 предельный уровень: Предельный уровень определения посантиметровой вместимости резервуара при его поверке, соответствующий суммарной высоте нижней части резервуара и стенки резервуара
-
3.12 геометрический метод поверки: Метод поверки, заключающийся в определении вместимости резервуара по результатам измерений его геометрических параметров.
-
4 ТЕХНИЧЕСКИЕ ТРЕБОВАНИЯ
4.1 Требования к погрешности измерений параметров резервуара
-
4.1.1 Пределы допускаемой погрешности измерений параметров резервуара приведены в таблице 1.
Таблица 1
Наименование измеряемого параметра |
Пределы допустимой погрешности измерений параметров резервуаров ЖБР-1000 |
Длина, мм |
±6,0 |
Ширина, мм |
±6,0 |
Высота, мм |
±6,0 |
Объем внутренних деталей, м3 |
± 0,050 |
Нижняя часть, м3 |
±0,100 |
-
4.1.2 При соблюдении указанных в таблице 1 пределов допускаемой погрешности измерений относительная погрешность определения вместимости (градуировочной таблицы) резервуаров ЖБР-2000 должна находиться в пределах: ± 0,20 %.
4.2 Требования к средствам поверки
-
4.2.1 При поверке резервуара применяют следующие основные и вспомогательные средства поверки:
-
4.2.1.1 Рулетку измерительную 2-го класса точности с диапазоном измерений от 0 до 20 м по ГОСТ 7502.
-
4.2.1.2 Рулетку измерительную 3-го класса точности с грузом диапазоном измерений от 0 до 30 м по ГОСТ 7502.
-
4.2.1.3 Штангенциркуль с диапазоном измерений от 0 до 150 мм, от 0 до 250 мм по ГОСТ 166.
-
4.2.1.4 Линейку измерительную металлическую с диапазоном от 0 до 500 мм, от 0 до 1000 мм по ГОСТ 427.
-
4.2.1.5 Нивелир с нивелирной рейкой по ГОСТ 10528.
-
Примечание - Цена деления нивелирной рейки должна быть 1 мм.
-
4.2.1.6 Термометр с ценой деления 1 °C и диапазоном измерений от 0 до плюс 50 °C по ГОСТ 28498.
-
4.2.1.7 Газоанализатор типа АНТ-3 по [2].
-
4.2.1.8 Динамометр с диапазоном измерений 0-100 Н по ГОСТ 13837.
-
4.2.2 Вспомогательные средства поверки: мел, шпатель, щетки (металлические), микрокалькулятор.
-
4.2.3 Основные средства поверки резервуаров должны быть поверены в установленном порядке.
-
4.2.4 Лестница длиной 4 м в количестве 2 шт.
-
4.2.5 Допускается применение других, вновь разработанных или находящихся в эксплуатации средств измерений, удовлетворяющих по точности и пределам измерений требованиям настоящей рекомендации.
-
5 ТРЕБОВАНИЯ К ОРГАНИЗАЦИИ ПРОВЕДЕНИЯ ПОВЕРКИ
-
5.1 Резервуары подлежат поверке органами государственной метрологической службы, аккредитованными на право поверки, или аккредитованными на право поверки метрологическими службами юридических лиц.
-
5.2 Устанавливают следующие виды поверок резервуара:
-
-
- первичную, которую проводят после строительства резервуара перед его вводом в эксплуатацию и капитального ремонта;
-
- периодическую, которую проводят по истечению срока действия градуировочной таблицы и при внесении в резервуар конструктивных изменений, влияющих на его вместимость;
-
- внеочередную поверку - проводят при изменении значений базовой высоты резервуара более чем на 0,1 % по результатам ежегодных её измерений.
Первичную поверку резервуаров проводят после их гидравлических испытаний.
-
6 ТРЕБОВАНИЯ К КВАЛИФИКАЦИИ ПОВЕРИТЕЛЕЙ И ТРЕБОВАНИЯ БЕЗОПАСНОСТИ
-
6.1 Поверку резервуара проводит физическое лицо, аттестованное в качестве поверителя и в области промышленной безопасности в соответствии с РД-03-20 [3], утвержденным приказом Ростехнадзора от 29.01.2007 № 37.
-
6.2 Измерения параметров при поверке резервуара проводит группа лиц, включая поверителя организации, указанной в 6.1, и не менее двух специалистов, прошедших курсы повышения квалификации и других лиц (при необходимости), аттестованных в области промышленной безопасности в соответствии с РД-03-20.
-
6.3 К поверке резервуара допускают лиц, изучивших настоящую рекомендацию, техническую документацию на резервуар и его конструкцию, средства поверки и прошедших инструктаж по безопасности труда в соответствии с ГОСТ 12.0.004, по промышленной безопасности в соответствии с РД-03-20.
-
6.4 Лица, проводящие поверку резервуара, надевают спецодежду костюмы по ГОСТ 12.4.280, спецобувь по ГОСТ 12.4.137, строительную каску по ГОСТ 12.4.087, рукавицы по ГОСТ 12.4.010.
-
6.5 Содержание вредных паров и газов в воздухе вблизи и внутри резервуара на высоте до 2000 мм не должно превышать санитарных норм, установленных ГОСТ 12.1.005.
-
6.6 Измерения параметров резервуара во время грозы категорически запрещены.
-
6.7 Для освещения при проведении измерений параметров резервуара применяют светильники во взрывозащитном исполнении.
-
6.8 Перед началом поверки резервуара проверяют исправность:
-
-
- лестниц с поручнями и подножками;
-
- помостов с ограждениями.
-
6.9 В процессе измерений параметров резервуара обеспечивают двух или трехкратный обмен воздуха внутри резервуара. При этом анализ воздуха на содержание вредных паров и газов проводят через каждый час.
-
6.10 Продолжительность работы внутри резервуара не более 4-х часов, после каждой четырехчасовой работы - перерыв на один час.
-
7 УСЛОВИЯ ПОВЕРКИ
-
7.1 При поверке соблюдают следующие условия:
-
7.1.1 Измерения параметров резервуара проводят изнутри его.
-
7.1.2 Для проведения измерений параметров резервуара его освобождают от остатков мазута, зачищают, пропаривают (при необходимости), промывают и вентилируют.
-
7.1.3 Температура окружающего воздуха и воздуха внутри резервуара (20 ± 15)°С.
-
7.1.4 Состояние погоды - без осадков
-
-
-
8 ПОДГОТОВКА К ПОВЕРКЕ
-
8.1 При подготовке к поверке проводят следующие работы:
-
8.1.1 Изучают техническую документацию на резервуар и средства поверки.
-
8.1.2 Подготавливают средства поверки согласно технической документации на них, утвержденной в установленном порядке.
-
-
8.2 Подготавливают резервуар к проведению необходимых измерений.
-
8.2.1 Подготавливают продольные стенки резервуара к проведению измерений в следующей последовательности (рисунок А.2):
-
-
а) на продольных стенках (левой и правой) резервуара мелом отмечают точки А'о, B'Q с координатами, отсчитываемыми от передней поперечной стенки (Jq j , ^/q j и от места стыка стенок с крышей резервуара hQ, равным 500 мм;
б) через точки А'о и В'() мелом наносят горизонтальные отметки 4 и 16 длинной 50 мм;
в) к горизонтальным отметкам 4 и 16 прикладывают измерительную рулетку с грузом 5 и проводят мелом, указанным в перечислении б) вертикальные линии 3 и 19;
г) по вертикальным линиям 3 и 19, начиная с точки касания верхних краев второго пояса нижней части резервуара рулетки с грузом через каждые 1500 мм отмечают точки А}, А3 на правой стенке резервуара и В}, В3 на левой стенке резервуара;
д) через точки At, А3 и В}, В3 мелом толщиной не более 3 мм наносят горизонтальные отметки 6 и 17 (через точки А} и В{). Отметки, нанесенные через точки А3 и В3 на рисунке А.2 не обозначены.
Выполняя аналогичные операции, приведенные в перечислениях а) + д), отмечают точки Aq , B'q с координатами, отсчитываемыми от задней поперечной стенки резервуара (/J ) ’ (^0 ) и проводят вертикальные линии 9, 18 и через точки А2, А^ и В2, В4 наносят горизонтальные отметки.
Обозначения «п» и «л» соответствуют терминам «правая», «левая».
-
8.2.2 Подготавливают поперечные стенки резервуара к проведению измерений в следующей последовательности (рисунок А.З):
а) на поперечных стенках (передней и задней) резервуара мелом отмечают точки А'о,
Cq с координатами, отсчитываемыми от продольных стенок (правой и левой) резервуара (Ьц j и от места стыка стенок резервуара с крышей резервуара hQ, равным 500 мм;
б) через точки А'о и С'о мелом толщиной не более 3 мм, наносят горизонтальные отметки 3 и 14 длиной 50 мм;
в) к горизонтальным отметкам 3 и 14 прикладывают измерительную рулетку с грузом и проводят мелом толщиной, указанной в перечислении б), вертикальные линии 2 и 17;
г) по вертикальным линиям 2 и 17, начиная с точки касания верхних краев верхнего пояса нижней части резервуара рулетки с грузом, через каждые 1500 мм отмечают точки , А3 на передней поперечной стенке резервуара и Ct, С3 на задней поперечной стенке резервуара;
д) через точки Ах, Л3 и , С3 мелом толщиной не более 3 мм наносят горизонтальные отметки 10 и 15 (через точки А} и С}). Отметки нанесенные через точки И3 и С3 на рисунке А.З не обозначены.
Выполняя аналогичные операции, перечисленные в перечислениях а) + д), отмечают точки A” , Cq с координатами, отсчитываемыми от продольных стенок (правой и левой) резервуара (&оп) , (&o) и ПРОВ°ДЯТ вертикальные линии 5,16 и через точки А2, И4 и С2, С4 наносят горизонтальные отметки.
Обозначения «п» и «з» соответствуют терминам: «переднее», «заднее».
-
9 ОПЕРАЦИИ ПОВЕРКИ
9.1 При проведении поверки резервуара должны быть выполнены операции, указан
ные в таблице 2
Таблица 2
Наименование операции |
Номер пункта рекомендации |
Внешний осмотр |
10.1 |
Измерение длины резервуара |
10.2 |
Измерение высоты верхней части резервуара |
10.3 |
Измерение ширины резервуара |
10.4 |
Измерение площади поперечного сечения днища резервуара |
10.5 |
Измерение параметров нижней части резервуара |
10.6 |
Измерение параметров первого пояса нижней части резервуара |
10.6.1 |
Измерение параметров второго пояса нижней части резервуара |
10.6.2 |
Измерение высоты поясов |
10.6.3 |
Измерение объема подогревательной системы резервуара и системы пожаротушения |
10.7 |
Измерение объема участков прямолинейных труб |
10.7.1 |
Измерение объема внутренних деталей |
10.8 |
Измерение объема приямка |
10.8.1 |
Измерение параметров вертикальных внутренних деталей цилиндрической формы |
10.8.2 |
Измерение параметров вертикальных внутренних деталей прямоугольной формы |
10.8.3 |
Измерение параметров фундамента колонны |
10.8.4 |
Измерения параметров колонны |
10.8.5 |
Измерение базовой высоты резервуара |
10.9 |
-
10 ПРОВЕДЕНИЕ ПОВЕРКИ РЕЗЕРВУАРА
10.1 Внешний осмотр
-
10.1.1 При внешнем осмотре резервуара проверяют:
-
- состояние конструкции и внутренних деталей резервуара технической документации на него (паспорту, технологической карте на резервуар);
-
- наличие необходимой арматуры и оборудования;
-
- исправность лестниц и перил;
-
- состояние днища резервуара (отсутствие бугров, ям);
-
- чистоту внутренней поверхности резервуара;
-
- отсутствие деформации стенок резервуара, препятствующих проведению измерений параметров резервуара.
-
10.1.2 По результатам внешнего осмотра устанавливают возможность применения геометрического метода поверки резервуара.
10.2 Измерение длины резервуара
-
10.2.1 Длину резервуара на высоте, равной 3000 мм, L}, мм, (рисунок А.2) определяют по результатам измерений расстояний: (отсчитываемое от точки И3 до точки И4), /|Л (отсчитываемое от точки В3 до точки В4), (/q ) | ’ (А? ) } > (^0 ) } '■> (^0 ) } ■
-
10.2.1.1 Расстояния /" и /(л измеряют измерительной рулеткой в следующей последовательности:
-
а) по нанесенным (по 8.2.1) через точки ф и Л4 (53 и б4) горизонтальным отметкам прикладывают рулетку. При этом рулетку укладывают нижней кромкой по горизонтальным отметкам и лента её должна быть натянута;
б) начальную отметку шкал рулетки совмещают с вертикальной линией 3 (19) и после создания усилия натяжения ленты рулетки динамометром (100 ± 10) Н отсчитывают показания шкалы рулетки по вертикальной ленте 9 (18) с точностью до 1 мм;
в) измерения величин /4 , проводят не менее двух раз. Расхождение между результатами двух измерений не должно превышать: ± 3 мм.
-
10.2.1.2 Расстояния j (по правой стенке резервуара) и ](п0
левой стенке резервуара) измеряют линейкой измерительной металлической по 4.2.1.4. Отсчитывают показания линейки с точностью до 1 мм.
-
10.2.2 Длину резервуара на высоте, равной 1500 мм, L2, мм, (рисунок А.2) определя
ют по результатам измерений расстояний: .. (отсчитываемое от точки до точки А2), 1% (отсчитываемое от точки В, до точки В2), (/оп ) 2 ; ) 2 (^0 ) ; (^о ) 2 '
-
10.2.2.1 Расстояния /2 и /2 измеряют по методике, изложенной в 10.2.1.1, мм.
-
10.2.2.2 Расстояния ) 2 > -’(^0 ) 2 ’(^0 ) 2
измеряют по методике изложенной в
-
-
10.2.1.2, мм.
-
10.2.3 Результата измерений величин , /]Л,
ложении Б (таблица Б.З).
вносят в протокол поверки форма которого приведена в при
10.3 Измерение высоты верхней части резервуара
-
10.3.1 Высоту верхней части резервуара по 3.1 (далее - резервуар) hp, мм, измеряют по правой продольной стенке резервуара при помощи рулетки с грузом.
-
10.3.2 Измерения высоты резервуара (рисунок А.2) проводят, опуская рулетку с грузом от отметки 4 до точки касания верхнего края второго пояса нижней части резервуара грузом рулетки (7-,).
-
10.3.3 Показания шкалы рулетки отсчитывают с точностью до 1 мм. Измерения проводят не менее двух раз. Расхождение между результатами двух измерений должно быть не более 3 мм.
-
10.3.4 Результат измерений hp вносят в протокол поверки, форма которого приведена в приложении Б (таблица Б.4).
10.4 Измерение ширины резервуара
-
10.4.1 Ширину резервуара на высоте, равной 1500 мм, , мм, (рисунок А.З) определяют по результатам измерений расстояний: 6|П (отсчитываемое от точки И3 до точки П4).
, (отсчитываемое от точки С3 до точки С4), , ^оп j .
-
10.4.1.1 Расстояния 6|П, .., измеряют измерительной рулеткой в следующей последовательности:
а) по намеченным (по 8.2.2) через точки А3 и /14 (N3 и Mt ) к горизонтальным отметкам прикладывают рулетку. При этом рулетку укладывают нижней кромкой по горизонтальным отметкам и лента её должна быть натянута;
б) начальную отметку шкалы рулетки совмещают с вертикальной линией 2 (17) и после создания усилия натяжения ленты рулетки динамометром (100 ± 10) Н отсчитывают с точностью до 1 мм;
в) измерения величин Ь" , проводят не менее двух раз.
Расхождения между результатами двух измерений не должно превышать 3 мм.
-
10.4.1.2 Расстояния ](п0 пРав°й поперечной стенке), ,^о) ( п0
задней поперечной стенке) измеряют линейкой измерительной металлической по 4.2.1.4. Показания шкалы линейки отсчитывают с точностью 1,0 мм.
-
10.4.2 Ширину резервуара на высоте 1500 мм В2, мм, (рисунок А.З) определяют по
считываемое от точки
результатам измерений расстояний: Ь2 (отсчитываемое от точки А3 до точки Л4), (отсчитываемое от точки С] до точки ..), j
-
10.4.2.1 Расстояния Ь2 , , измеряют по методике изложенной в 10.4.1.1, мм.
10.4.2.2Расстояния 2’ \ ® 7 2 ’ 2 измеРяют п0 мет°Дике изложенной
в 10.4.1.2, мм.

вносят в протокол поверки, форма которого приведена в приложении Б (таблица Б.5).
10.5 Измерение площади поперечного сечения днища резервуара
-
10.5.1 Площадь поперечного сечения днища резервуара определяют по результатам измерений длины и ширины днища (рисунок А.4)
-
10.5.2 Длину днища (расстояние между точками и J2, отмеченными на рисунке А.4) Дд, мм, измеряют измерительной рулеткой. Отсчитывают показания шкалы рулетки с точностью до 1 мм. Измерения проводят не менее двух раз. Расхождение между результатами двух измерений не должно превышать: ± 5 мм
-
10.5.3 Ширину днища (расстояние между точками J2 и J4. отмеченными на рисунке А.4) ВД , мм, измеряют измерительной рулеткой. Отсчитывают показания шкалы рулетки с точностью до 1 мм.
Измерения проводят не менее двух раз. Расхождение между результатами двух измерений не должно превышать: ± 5 мм.
-
10.5.4 Результаты измерений La и ВД вносят в протокол поверки, форма которого приведена в приложении Б (таблица Б.6).
10.6 Измерения параметров нижней части резервуара
-
10.6.1 Измерения параметров первого пояса нижней части резервуара
-
10.6.1.1 Первый пояс нижней части (рисунки А.2 и А.З) имеет корытообразную форму, образован:
-
а) наклонными линиями: ал, а2, а2, о4;
б) шириной днища резервуара Ва ;
в) длиной днища резервуара ЬД ;
г) отрезками А2 (/, j,, Л3А4 (/2 ),,Т?2/?3 (/3, А4А, (/4
-
10.6.1.2 Величины, указанные в перечислениях а) + г), образуют поперечные и продольные стенки пояса, имеющей форму перевернутой равнобочной трапеции, высотами которых являются:
-
- f\, f” (поперечных стенок - трапеций);
-/], I” (продольных стенок - трапеций),
-
10.6.1.3 Высоты стенок f\ , f", l{, 1[ измеряют измерительной линейкой или измерительной рулеткой.
Показания линейки или рулетки отсчитывают с точностью до ± 1 мм.
Измерения проводят не менее двух раз. Расхождения между результатами двух измерений не должно превышать: ± 5 мм.
-
10.6.1.4 Длину отрезков (рисунок А.4) RxR2^l^, 7?37?4 ^Z2 Т?2Т?3 ^/3 ^-Я]^)113"
меряют измерительной рулеткой. Показание рулетки отсчитывают с точностью до ± 1 мм. Измерения проводят не менее двух раз. Расхождение между результатами двух измерений не должно превышать: ± 5 мм.
-
10.6.1.5 При применении измерительной рулетки отсчитывают её показания после создания натяжения ленты динамометром (100 ± 10) Н.
-
10.6.1.6 Длину днища £а и его ширину А& резервуара измеряют по 10.5.2 и 10.5.3
-
10.6.1.7 Результаты вычислений средних арифметических значений параметров, округленные до целого миллиметра, , f", l\, I" (по 10.6.1.3), , l2, l3, /4 (по 10.6.1.4)
вносят в протокол, форма которого приведена в приложении Б (таблица 7).
10.6.2 Измерения параметров второго пояса нижней части резервуара
-
10.6.2.1 Второй пояс нижней части резервуара (рисунок А.4) имеет также корытообразную форму, образован:
а) наклонными линиями: С| ,с2 , с3 ,с4 ;
б) шириной резервуара В2;
в) длиной резервуара ;
г) отрезками ^яД/Q, R3R4 (/2 R2R3 (/3*R4R}^14^.
-
10.6.2.2 Величины, указанные в перечислениях а) + г), образуют поперечные и продольные стенки пояса, имеющей форму перевернутой равнобочной трапеции, высотами которых являются:
' /2 ’ fl (поперечных стенок - трапеций);
-
- 12, 12 (продольных стенок - трапеций).
-
10.6.2.3 Высоты стенок f2, f2 , 1'2, 12 измеряют измерительной линейкой или измерительной рулеткой по методике изложенной в 10.6.1.3, мм.
-
10.6.2.4 Длину отрезков (рисунок А.4) R}R2[l*^, R3R4^l2^, R2R3^l3^, R4R}(l4^ измеряют измерительной рулеткой по методике изложено в 10.6.1.4 и 10.6.1.5, мм.
-
10.6.2.5 Ширину резервуара А2 и длину резервуара L2 измеряют по 10.4.2 и 10.2.2, мм, соответственно.
-
10.6.2.6 Результаты измерений fy, fz , I'z, /2 (п0 10.6.2.3) и l\, Iz, I3, /4 (по
10.6.2.4) вносят в протокол поверки, форма которого приведена в приложении Б (таблица Б.8).
10.6.3 Измерение высоты поясов
-
10.6.3.1 Для определения высоты первого и второго поясов проводят следующие операции (рисунок А.4):
а) отмечают измерительные точки:
-
1) на днище резервуара: J], J3, J2 , J4 ;
-
2) на отрезках Т?]Т?2, ^2^3 > ^3^4 > ^4^1: Л ’ *^6 ’ А »;
-
3) на стыках поперечных и продольных стенок резервуара с верхними краями второго пояса ,с7]|,c7|q,с/]2;
б) опускают измерительную рулетку с грузом через измерительный люк резервуара до точки касания днища грузом рулетки и отмечают на днище резервуара точку Е.
в) устанавливают нивелир 10 в точке «0» и горизонтируют;
г) снимают отметки по рейке, устанавливаемые последовательно в измерительных
точках, указанных в перечислении а), •
Индекс j соответствует номеру точки отсчета по рейке, установленной в /-ой горизонтальной плоскости, значения которого выбирают из ряда 1,2,3,4. Индекс i соответствует номеру горизонтальной плоскости, значения которого выбирают из ряда 1,2,3.
При этом:
-
- первая горизонтальная плоскость (i=l) соответствует плоскости днища резервуара;
-
- вторая горизонтальная плоскость (i=2) соответствует плоскости, образованный отрезками (А]7?2,7?27?3, 7?37?4,7?47?]), являющейся верхним краем первого пояса нижней части резервуара;
-
- третья горизонтальная плоскость (i=3) соответствует верхнему краю второго пояса нижней части резервуара.
-
10.6.3.2 Результаты измерений величины bjj вносят в протокол поверки, форма которого приведена в приложении Б (таблица Б.9).
10.7 Измерения объема внутренних деталей
-
10.7.1 Измерение параметров приямка
-
10.7.1.1 Приямок (рисунок А.5) имеет поперечное сечение цилиндрической формы диаметром <7пр и высотой (глубиной) Лпр.
-
10.7.1.2 Диаметр <7пр приямка измеряют измерительной рулеткой в диаметрально перпендикулярных направлениях не менее двух раз.
-
Результаты измерений б/пр отсчитывают по шкале рулетки с точностью ± 1 мм. Расхождения между результатами двух измерений не должны превышать ± 5 мм.
-
10.7.1.3 Глубину (высоту) приямка определяют по результатам нивелирования глубины (высоты) приямка в следующей последовательности (рисунок А.4)
а) устанавливают нивелир 10 в точке «0» и горизонтируют;
б) устанавливают рейку в точке «л» на днище резервуара и снимают показания шкалы рейки ЬА . Показание шкалы рейки отсчитывают с точностью ± 1 мм. Измерение проводят не менее двух раз. Расхождение между результатами двух измерений не должно превышать ± 3 мм;
в) устанавливают рейку на дне приямка и снимают показания шкалы рейки Ьг. Показание рейки отсчитывают с точностью ± 1 мм. Измерение проводят не менее двух раз. Расхождение между результатами двух измерений не должно превышать ± 3 мм.
-
10.7.1.4 Среднее арифметическое значение результатов измерений величин Дпр, Лпр вносят в протокол поверки, форма которого приведена в приложении Б (таблица Б. 12).
10.7.2 Измерение параметров вертикальных внутренних деталей прямоугольной формы
-
10.7.2.1 Для определения параметров внутренних деталей прямоугольной формы измеряют ширину первой грани Ьи, ширину второй грани b2i, высоту нижней границы детали Лн высоту верхней границы детали hB относительно днища резервуара.
-
10.7.2.2 Ширину первой b}j, второй грани b2j измеряют измерительной рулеткой с точностью до 1 мм. Измерения проводят не менее двух раз. Расхождение между результатами измерений должно составлять не менее 1 мм.
-
10.7.2.3 Высоту верхней/нижней границы детали определяют нивелированием по
-
10.7.2.3.
-
10.7.2.4 Среднее арифметическое значение результатов измерений величин by, b2j,.., Лв вносят в протокол поверки, форма которого приведена в приложении Б (таблица Б. 14).
-
10.7.3 Измерение параметров фундамента колонны
-
10.7.3.1 Для определения параметров фундамента колонны измеряют ширину нижних граней Ьп н, Ь3 н, ширину верхних граней bn в, b.i B, высоту нижней границы детали Лн высоту верхней границы детали Лв относительно днища резервуара (рисунок А.7).
-
10.7.3.2 Ширину нижних граней Ьп н, Ь3 н, ширину верхних граней Ьп в, Ь.зв измеряют измерительной рулеткой с точностью до 1 мм. Измерения проводят не менее двух раз. Расхождение между результатами измерений должно составлять не менее 1 мм.
-
10.7.3.3 Высоту верхней/нижней границы детали определяют нивелированием по
-
10.7.2.3.
-
10.7.3.4 Среднее арифметическое значение результатов измерений величин 6ПН, 6ЗН, ^п.в ’ \в ’ Ь» > вносят в протокол поверки, форма которого приведена в приложении Б (таблица Б. 15).
-
10.7.4 Измерения параметров колонны
Параметры колонны определяют как внутреннюю деталь прямоугольной формы по
-
10.7.3. Результаты измерений вносят в протокол, форма которого приведена в приложении Б (таблица Б. 14).
10.8 Измерение базовой высоты резервуара
-
10.8.1 Базовую высоту резервуара Нб измеряют измерительной рулеткой с грузом. Результат измерений отсчитывают по шкале рулетки с точностью ±1 мм. Измерения проводят не менее двух раз. Расхождение между результатами двух измерений не должно превышать ± 2мм.
-
10.8.2 Результаты измерений базовой высоты вносят в протокол поверки, форма которого приведена в приложении Б. (таблица Б. 16)
-
10.8.3 Базовую высоту измеряют ежегодно. Ежегодные измерения базовой высоты резервуара проводит комиссия, назначенная приказом руководителя предприятия - владельца резервуара, в состав которой должен быть включен специалист, прошедший курсы повышения квалификации по поверке и калибровке резервуаров.
Результат измерений базовой высоты резервуара не должен отличаться от её значения, указанного в протоколе поверки резервуара, более чем на 0,1%.
Результаты измерений базовой высоты оформляют актом, форма которого приведена в приложении Г.
При измерении базовой высоты по сравнению с её значением, установленным при поверке резервуара, более чем на 0,1% устанавливают причину и устраняют её. При отсутствии возможности устранения причины проводят внеочередную поверку резервуара.
-
11 ОБРАБОТКА РЕЗУЛЬТАТОВ ИЗМЕРЕНИЙ И СОСТАВЛЕНИЕ ГРАДУИРОВОЧНОЙ ТАБЛИЦЫ
11.1 Обработка результатов измерений
-
11.1.1 Обработку результатов измерений при поверке проводят в соответствии с приложением В.
11.2 Составление градуировочной таблицы резервуара
-
11.2.1 Составление градуировочной таблицы первого пояса нижней части резервуара
-
11.2.1.1 Градуировочную таблицу первого пояса составляют, используя посантимет-ровую вместимость V (//)|, м3/см, с шагом АГ/ - 1 см, при изменении уровня от 0 до уровня Н}.
-
11.2.1.2 Величину V (//) , полученную в результате интегрирования площади поперечного сечения пояса S(7/по (В. 18) по уровню Н , вычисляют по формуле
-
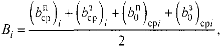
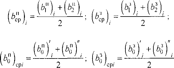
где Ко - вместимость приямка, вычисляемая по формуле (В.55), м3;
Sa - площадь поперечного сечения днища резервуара, вычисляемая по формуле (В.7), м2;-
Н - уровень жидкости, отсчитываемый от точки касания днища резервуара грузом рулетки, мм;
Н\ - уровень жидкости, соответствующий высоте первого пояса Л,, вычисляемый по формуле (В. 16);
а0, bQ - величины, вычисляемые по формулам: (В. 19), (В.20), мм;
Ва, - ширина и длина днища резервуара, вычисляемые по формулам (В.9), (В.8), мм;
Кдет - объем внутренних деталей, м3.
-
11.2.2 Составление градуировочной таблицы второго пояса нижней
части резервуара
-
11.2.2.1 Градуировочную таблицу второго пояса составляют используя посантиметро-вую вместимость V (//2 ), м3/см, с шагом А// = 1 см, при изменении уровня от Н,. до Н2 ■
Величину И(/72), м3/см, полученную в результате интегрирования площади попе
речного сечения пояса по (В.21) по уровню Н , вычисляют по формуле
\ - участка от до +
Р’ши-Яцил)
(2)
^прям-Ю прям
+ / _,Н \ _ УЧаСТКа 0Т ^прям ДО ^прям •
^прям ^прям)
где НД) - вместимость первого пояса, вычисляемая по формуле (1) при уровне I j , соответствующем высоте первого пояса, м3;
! П
, L\ - длины нижних оснований клиньев второго пояса, вычисляемые по формулам (В.12), (В.13), мм;
Cq, dQ - величины, вычисляемые по формулам (В.22), (В.23), мм;
Н - уровень жидкости, отсчитываемый от точки касания днища грузом рулетки, мм;
Нх - уровень жидкости, соответствующий высоте первого пояса h\, вычисляемый по формуле (В. 16), мм;
Кдет - объем внутренних деталей, м3.
-
11.2.3 Посантиметровую вместимость нижней части резервуара по 11.2.1, 11.2.2 определяют суммированием вместимости, приходящейся на 1 мм уровня наполнения, так как изменение площади поперечного сечения нижней части резервуара носит нелинейный характер.
-
11.2.3 Составление градуировочной таблицы верхней части резервуара
-
11.2.3.1 Градуировочную таблицу верхней части резервуара составляют с шагом АН = 1 см, начиная с уровня Н2 до предельного уровня 7/пр, вычисляемого по формуле
(3)
где h}, h2 - высоты первого и второго поясов нижней части резервуара, вычисляемые по формулам (В. 16), (В. 17), мм;
hp - высота верхней части резервуара, вычисляемая по формуле (В.6), мм.
-
11.2.3.2 Посантиметровую вместимость резервуара К(Н3), м3/см, вычисляют по формуле
- участка от Лпнрям
ДО ^прям •
(4)
где V (Н2 ) - вместимость нижней части резервуара, вычисляемая по формуле (2) при уровне Н2, м3;
5* - площадь поперечного сечения резервуара, вычисляемая по формуле (В.1), м2;
Н - уровень жидкости, отсчитываемый от точки касания днища резервуар грузом рулетки, мм;
Н2 - уровень жидкости, соответствующий суммарной высоте первого и второго поясов (/?1 + А2), мм;
Кпрям - объем деталей прямоугольной формы, м3;
^прям - верхняя граница деталей прямоугольной формы, мм;
^прям _ нижняя граница деталей прямоугольной формы, мм;
Кпс - объем фундамента колонны, вычисляемый по формуле (В.55), м3;
Аф к - верхняя граница фундамента колонны, мм.
-
11.3 В пределах предельного уровня //пр вычисляют коэффициент вместимости, равный вместимости, приходящейся на 1 мм высоты наполнения.
-
11.4 При составлении градуировочной таблицы значения вместимости округляют до 1 дм3.
-
11.5 Значения посантиметровой вместимости резервуара, указанные в градуировочной таблице, соответствуют стандартной температуре 20 °C.
-
12 ОФОРМЛЕНИЕ РЕЗУЛЬТАТОВ ПОВЕРКИ
-
12.1 Результаты поверки резервуара оформляют свидетельством о поверке в соответствии с [4].
-
12.2 К свидетельству о поверке прикладывают:
-
а) градуировочную таблицу;
б) протокол поверки (оригинал прикладывают к первому экземпляру градуировочной таблицы);
в) эскиз резервуара.
-
12.3 Форма титульного листа градуировочной таблицы и форма градуировочной таблицы приведены в приложении Г. Форма акта ежегодных измерений базовой высоты резервуара приведена в приложении Д.
Протокол поверки подписывает поверитель и лица, участвующие при проведении поверки резервуара. Подпись поверителя заверяют оттиском поверительного клейма.
Титульный лист и последнюю страницу градуировочной таблицы подписывает поверитель, подпись поверителя заверяют оттиском поверительного клейма.
-
12.4 Градуировочную таблицу утверждает руководитель органа Государственной метрологической службы, аккредитованной на право поверки, или руководитель аккредитованной на право поверки метрологической службы юридического лица.
ПРИЛОЖЕНИЕ А
Схема резервуара и оборудования резервуара при поверке




1 - передний край поперечной стенки резервуара; 2 - правый край продольной стенки резервуара; 3 - световой люк; 4 - измерительный люк; 5 - погружной насос; 6 - крыша резервуара; 7 - задний край поперечной стенки резервуара; 8 - люк-лаз; 9, 10 - люки для установки приборов автоматики; 11 - левый край продольной стенки резервуара.
Рисунок А. 1 - Схема резервуара и внутренних деталей резервуара

б)

а) продольная (правая) стенка резервуара; б) продольная (левая) стенка резервуара; 1, 10, 11, 15 - набетонки; 2 - поперечная (передняя) стенка резервуара; 3, 9, 18, 19 - вертикальные линии; 4, 6, 16, 17 - горизонтальные отметки; 5 - измерительная рулетка с грузом; 7- крыша резервуара; 8 - поперечная (задняя) стенка резервуара; 12 - второй пояс нижней части резервуара; 13 - первый пояс нижней части резервуара; 14 - днище резервуара; Tt, 73, 7), Т4- точки касания верхнего края второго пояса грузом рулетки.
Рисунок А.2 - Схема измерений параметров продольных стенок резервуара

б)

а) поперечная (передняя) стенка резервуара; б) поперечная (задняя) стенка резервуара; 1 - продольная (левая) стенка резервуара; 1, 6, 16, 17 - вертикальные линии; 3, 4. 14, 15 - горизонтальные отметки; 4- продольная (правая) стенка резервуара; 7, 8, 12, 13 - набетонки; 9 - второй пояс; 10 - первый пояс; 11 - днище резервуара.
Рисунок А.З - Схема измерений параметров поперечных стенок резервуара

6 7 8 9 10 11 5

1 - днище резервуара; 2 - первый пояс; 3 - второй пояс; 4 - продольная стенка резервуара; 5 - поперечная стенка резервуара; J/. J2 J3 Л Л. Л. Л. Л. Л. Jio. Л/. J12 - точки для последовательной установки в них рейки; 6,7,8,9- положения рейки, установленной в точках Л. Л. -Л и Л; 10 - нивелир; 11 - горизонт нивелира; г//, а2. си, а2 - линии, образованные в местах стыка поперечных и продольных стенок первого пояса; с/, с3 с2 - линии, образованные в местах стыка поперечных и продольных стенок второго пояса; У, J3 - точки на днище резервуара, используемые одновременно для измерения длины днища (LJ резервуара; Л, Л - точки на днище резервуара, используемые одновременно для измерения ширины днища (Ва) резервуара; f\ - высоты поперечной стенки первого пояса; fa , fa - высоты поперечной стенки второго пояса; Л/ - высота первого пояса; h2 - высота второго пояса; О -точка пересечения диагоналей днища резервуара.
Рисунок А.4 - Схема измерений параметров нижней части резервуара


з.н |
1 | |
- |
—1— □ | |
^з.Ь |
1 |
Рисунок А. 6 - Схема измерений параметров фундамента колонны
ПРИЛОЖЕНИЕ Б
Форма протокола поверки резервуара
ПРОТОКОЛ
В 5
Номер измерения |
Высота резервуара hp |
1-ое измерение | |
2-ое измерение |
поверки резервуара геометрическим методом Таблица Б.1- Общие данные
Код документа |
Регистрационный номер |
Дата |
Основание для проведе-ния поверки | ||
число |
месяц |
год | |||
Продолжение таблицы Б. 1
Место проведения поверки |
Средства измерения |
1 |
2 |
Окончание таблицы Б. 1
Резервуар | |||
Номер |
Тип |
Назначение |
Погрешность определения вместимости, % |
Таблица Б.2-Условия
Температура, °C |
Загазованность, мг/м3 | |
Окружающего воздуха |
Воздуха внутри резервуара | |
Таблица Б.З- Длина резервуара |
В миллиметрах | ||||||
Высота измерения |
Номер измерения |
Расстояние между точками измерений |
Расстояние между поперечной стенкой и вертикальной линией | ||||
/п |
/л |
(Л" |
(Л' |
(Л' | |||
3000 |
1 | ||||||
2 | |||||||
1000 |
1 | ||||||
2 |
Таблица Б.4-Высота
Таблица Б.5 - Ширина резервуара В миллиметрах
Высота измерения, мм |
Номер измерения |
Расстояние между точками измерений |
Расстояние между продольной стенкой и вертикальной линией | ||||
с» |
И |
(4 |
№ | ||||
3000 |
1 | ||||||
2 | |||||||
1500 |
1 | ||||||
2 |
Таблица Б.6- Площадь поперечного сечения днища________________В миллиметрах
Номер измерения |
Длина днища L& |
Ширина днища |
1 | ||
2 |
Таблица Б.7- Параметры первого пояса В миллиметрах
Высота стенки пояса |
Длина отрезка | ||||||
/1' |
f" |
1'1 |
Ч |
Дед) |
Дад) | ||
1 |
2 |
3 |
4 |
5 |
6 |
7 |
8 |
Таблица Б.8 - Параметры второго пояса В миллиметрах
Высота стенки пояса |
Длина отрезка | ||||||
Л' |
Л" |
1" '2 |
/2 (а3л4) |
Дл2л4) |
/4 (RqR]) | ||
1 |
2 |
п Э |
4 |
5 |
6 |
7 |
8 |
Таблица Б.9 - Высота поясов нижней части резервуара В миллиметрах
Номер горизон- |
Отсчет по рейке при установлении её в точках горизонтально плоскости | |||
тальной плоско сти |
А |
ьз |
А | |
1 |
(М |
(Аг) |
(^13 ) |
(М |
2 |
(Al ) |
(Аг) |
(Аз) |
А24) |
3 |
(М |
(Аг) |
(Аз) |
(^34) |
Таблица Б. И - Параметры приямка В миллиметрах
Номер измерения |
Приямок | |
диаметр с/ |
глубина /?пр | |
1 |
1530 |
1050 |
2 |
1530 |
1050 |
Таблица Б. 12 - Объемы вертикальных внутренних
деталей прямоугольной фо |
ЭМЫ |
В миллиметрах | |||
№ п/п |
Ши] |
рина |
Высота от днища резервуара | ||
1 грань Ьп |
2 грань Ьз |
нижняя граница hH |
верхняя граница hB |
Кол-во | |
1 |
2 |
3 |
4 |
5 |
6 |
1 | |||||
2 | |||||
3 |
Таблица Б. 13 —
В
колонны
Номер колонны |
Ширина опоры |
Высота опоры | ||||
нижняя граница |
верхняя граница | |||||
6п.н |
6П.В |
\в |
hp Г1з | |||
1 |
2 |
3 |
4 |
5 |
6 |
7 |
1 | ||||||
2 | ||||||
3 | ||||||
4 |
Таблица Б. 14 - Базовая высота
В
1-е измерение |
2-е измерение |
Обработка результатов измерений
В.1 Вычисление площади поперечного сечения резервуара
В. 1.1 Площадь поперечного сечения резервуара S, м2, вычисляют по формуле
(В.1)
где L - длина резервуара, мм;
В - ширина резервуара, мм.
Величины L и В вычисляют по формулам:
(В.2)
(В.З)
где Zq, В\ - длина и высота резервуара, измеренные на высоте 3000 мм;
Lq, В} - длина и высота резервуара, измеренные на высоте 1500 мм.
3.1.1.1 Длину в i-ой высоте резервуара Lt, мм, вычисляют по формуле
(В.4)
Величины (/с"р) , (Ср).’ (?) (/q ) вычисляют по формулам:
где /-номер высоты измерения, значение которого выбирают из рядо:1,2.

принимают по таблице Б.З приложения Б.
Значения величин

В. 1.1.2 Ширину резервуара в Бой высоте Bj, мм, вычисляют по формуле


Величины

вычисляют по формулам:

Значения величин

прини
мают по таблице Б.5 приложения Б.
В.2 Вычисление высоты верхней части резервуара
В.2.1 Высоту верхней части резервуара (рисунок А.2), как расстояние по вертикали от верхнего края второго пояса нижней части резервуара, hp, мм, вычисляют по формуле

(В.6)
где Ло - высота отметки (рисунок А.2), значение которой равно 500мм;
h'p, h”p - результаты измерений высоты, мм. Значения h'p, h"p принимают по таблице Б.4 приложения Б.
В.З Вычисление площади поперечного сечения днища резервуара
Площадь поперечного сечения днища резервуара 5Д, м2, вычисляют по формуле

(В.7) где Лд - длина днища, мм;
Ва - ширина днища, мм.
В.3.1.1 Величины L , Ва вычисляют по формулам:


(В.8)
(В.9)
где L'a, L'^, В'а, В^ - результаты измерений длины и ширины, значения которых приведены в таблице Б.6 приложения Б.
В.4 Вычисление параметров нижней части резервуара
В.4.1 Вычисление параметров первого пояса нижней части резервуара
В.4.1.1 Высоту поперечных стенок пояса (трапеции) , мм вычисляют по формуле

(В.10)
где f, f" - значения высот стенок пояса, приведенные в таблице Б.7, приложения Б.
В.4.1.2 Высоту продольных стенок пояса (трапеций) /|, мм, вычисляют по формуле

1 2
где I', I" - значения высот стенок пояса, приведенные в таблице Б.7, приложения Б.
В.4.1.3 За значения нижнего основания:
а) поперечных трапеций Ь'п принято значение ширины днища резервуара Вд, мм;
б) продольных трапеций Ь' принято значение длины днища резервуара Ld, мм.
В.4.1.4 Длину верхнего основания:
а) поперечных трапеций L\, мм, вычисляют по формуле

(В.12)
б) продольных трапеций L", мм, вычисляют по формуле где /| , /2, /3 ’^4 ~ длины отрезков, значения которых приведены в таблице Б.8 приложения Б.


(В.13)
В.4.2 Значение параметров второго пояса нижней части резервуара
В.4.2.1 Высоту поперечных стенок пояса (трапеции) f2 , мм вычисляют по формуле

(В. 14)
В.4.2.2 Высоту продольных стенок пояса (трапеций) /2, мм, вычисляют по формуле

(В.15)
В.4.2.3 За значения нижнего основания:
а) поперечных трапеций L2 > мм, принимают значение верхнего основания поперечных трапеций первого пояса , определяемого по формуле (В. 12);
б) продольных трапеций £2 , мм, принимают значение верхнего основания поперечных трапеций первого пояса L" , определяемого по формуле (В. 13).
В.4.2.4 За длину верхнего основания:
а) поперечных трапеций Ь-( принимают значение ширины резервуара В, вычисляемой по формуле (В.З), мм;
б) за значение поперечных трапеций Ь() принимают значение длины резервуара L, вычисляемой по формуле (В.2), мм.
В.4.3 Вычисление высоты поясов нижней части резервуара
В.4.3.1 Высоту первого пояса , мм вычисляют по формуле
h 1=-^---------, (В. 16)
4
где 62/ - показание рейки, установленной в Бой точке второй горизонтальной плоскости, мм;
by - показание рейки, установленной в Бой точке первой горизонтальной плоскости, мм.
В.4.3.2 Высоту второго пояса > мм вычисляют по формуле
Uh -b2i)
h2=—---------, (В.17) где b2j - показание рейки, установленной в i-ой точке третьей горизонтальной плоскости, мм;
b2j - показание рейки, установленной в i-ой точке второй горизонтальной плоскости, мм.
В.4.3.3 Значения величин bu, b2i, b2i приведены в таблице Б.9 приложения Б.
В.4.4 Вычисление площади поперечного сечения нижней части резервуара
В.4.4.1 Если совместить поперечные стенки или продольные стенки, то образуются два клина разных размеров, основания которых имеют форму прямоугольника, боковые грани - равнобедренные прямоугольники и равнобочные трапеции.
В.4.4.2 Площадь поперечного сечения первого пояса нижней части резервуара при уровне Н, отсчитываемого от 0 до уровня Ну, соответствующего высоте первого пояса hy, S(Я) , м2, вычисляют по формуле
S(H}k -^+b° И2 ! ао,Вд + У£д Н 1 А2 10б hy 10
(В. 18)
где hy - высота первого пояса, вычисляемая по формуле (В. 16), мм.
Величины 6Zq, Z)q вычисляют по формулам:
(В. 19)
(В.20)
где L'y, Ly - величины, вычисляемые по формулам (В. 12), (В. 13) соответственно, мм; Z, , Вд - длина и ширина днища резервуара, вычисляемые по формулам: (В.8), (В.9), мм.
В.4.4.3 Площадь поперечного сечения второго пояса нижней части резервуара при изменении уровня Н от уровня Ну до уровня (Я, + /?2), S(H - НуУ2, м2, вычисляют по формуле где /?2 - ~ высота второго пояса, вычисляемая по формуле (В. 17), мм.

(В.21)
Величины с0, б/0 вычисляют по формулам:
с0=(£-4'); (В.22)

(В.23)
•^2 ’ ^2 _ Длины нижнего основания трапеции, равные длинам верхнего основания трапеции первого пояса L[, L", вычисляемые по формулам (В. 12), (В. 13) мм;
L,В - длина и ширина резервуара, вычисляемая по формулам (В.2), (В.З) соответственно, мм.
В.4.4.4 При невозможности проведения нивелирования высоты поясов нижней части резервуара по 10.6.3:
. *
- высоту первого пояса П\ , мм, вычисляют по формуле
Ai’ = ^4-//-a02 + -^■Д-Ъ2^,
где f\ - высота поперечных трапеций, вычисляемая по формуле (В. 10), мм;
Z] - высота продольных трапеций, вычисляемая по формуле (B.l 1), мм; о0, Ь() - величины, вычисляемые по формулам (В. 13), (В.20) соответственно, мм;
, *
- высоту второго пояса ’ мм’ вычисляют по формуле
где /2 ’ ^2 _ параметры, вычисляемые по формулам (В. 14), (В. 15), мм;
с0, d0 - параметры, вычисляемые формулам (В.22), (В.23), мм.
В.5 ВЫЧИСЛЕНИЕ ОБЪЕМА ВНУТРЕННИХ ДЕТАЛЕЙ
К числу внутренних деталей относят: приямок.
В.5.1 Измерение объема приямка
В.5.1.1 Диаметр did приямка вычисляют по формулам

(В.52)
где d'np, d'^p - величины, измеренные по 10.7.4.2, мм.
В.5.1.2 Глубину приямка h , мм, вычисляют по формуле где Ь'г, Ь", Ь'л, Ь'л - величины, измеренные по 10.7.4.3, мм.

(В.53)
В.5.1.3 Объем приямка Кпр, м3, вычисляемой по формуле
^(^пр) ' ^пр
(В.54)
4-Ю9
где dnp, bnp, hnp - величины, вычисляемые по формулам: (В.52), (В.53), мм.
В.5.2 Вычисление объема фундамента колонны
5.2.1 Объем фундамента колонны от нижней границы фундамента до верхней границы вычисляют по формуле

где Ьн - ширина основания опоры на нижней границе фундамента колонны, мм; Ьв - ширина основания опоры на верхней границе фундамента колонны, мм; Л3 - высота фундамента колонны, мм;
Н - текущая высота, мм;
ПРИЛОЖЕНИЕ Г
Форма титульного листа градуировочной таблицы и форма градуировочной таблицы
Д.1 Форма титульного листа градуировочной таблицы4
УТВЕРЖДАЮ
______________20__ г.
ГРАДУИРОВОЧНАЯ ТАБЛИЦА
на железобетонный подземный прямоугольный резервуар
тип___________ №_____________________________
Организация________________________________________________
Погрешность определения вместимости:
Срок очередной поверки_________________________
Поверитель
ПОДПИСЬ
должность, инициалы, фамилия
БИБЛИОГРАФИЯ
-
[1] Типовой проект №7-08-315, разработан институтом Союзводоканалпроект, г. Москва, Г-48, утвержден Госстроем СССР 16.06.1964 г.
-
[2] ТУ ДКТЦ 41344.1.1.102 Анализатор-течеискатель АНТ-3. Технические условия
-
[3] РД-03-20-2007 Положение об организации обучения и проверки знаний рабочих организаций, поднадзорных федеральной службе по экологическому, технологическому и атомному надзору.
-
[4] ПР 50.2.006-94 ГСП. Порядок проведения поверки средств измерений
Д.2 Форма градуировочной таблицы резервуара
Организация______________________
Резервуар №______________________
Д.2.1 Форма градуировочной таблицы нижней части резервуара
Таблица Д.2 - Посантиметровая вместимость нижней части резервуара
Уровень наполнения, см |
Вместимость, м3 |
Коэффициент вместимости, м3/мм |
0 | ||
1 | ||
2 | ||
Hi | ||
771+1 | ||
Н,+2 | ||
н2 |
Д.2.2 Форма градуировочной таблицы верхней части резервуара
Таблица Д.З - Посантиметровая вместимость верхней части резервуара
Уровень наполнения, см |
Вместимость, м3 |
Уровень наполнения, см |
Вместимость, м3 |
Н2+\ | |||
Н2+2 | |||
нкр |
Таблица Д.4 - Средняя вместимость верхней части резервуара в пределах вместимости приходящейся на 1 см высоты наполнения
Уровень наполнения, мм |
Вместимость, м3 |
Уровень наполнения, мм |
Вместимость, 3 м |
Уровень наполнения, мм |
Вместимость, 3 м |
1 |
4 |
7 | |||
2 |
5 |
8 | |||
э |
6 |
9 |
ПРИЛОЖЕНИЕ Д
Форма акта ежегодных измерений базовой высоты резервуара
УТВЕРЖДАЮ
Руководитель предприятия владельца резервуара (директор, гл. инженер)
АКТ
измерений базовой высоты резервуара
от «___»_______________________20__г.
Составлен в том, что комиссия, назначенная приказом по_____________________________
наименование предлриятия-
______________________________________________, и членов:_____________________________________ владельца резервуара инициалы, фамилии
провела по__________контрольные измерения базовой высоты резервуара типа_______
*
•100, где значения величин
(-^б)п пРивеДены в Ей, 2-й гра
номинальной вместимостью________м3 при температуре окружающего воздуха °C____.
Результаты измерения представлены в таблице 1.
Таблица Е.1 В миллиметрах
Базовая высота резервуара | |
Среднее арифметическое значение результатов двух измерений (Нб ) |
Значение базовой высоты, установленное при поверке резервуара (#б) |
1 |
2 |
Относительное изменение базовой высоты резервуара 8б ,%, вычисляют по формуле
фах.
Вывод: требуется (не требуется) внеочередная поверка резервуара
Председатель комиссии
ПОДПИСЬ
Члены:
инициалы, фамилия
подпись
инициалы, фамилия
ПОДПИСЬ |
инициалы, фамилия |
* Указывают при заполнении
ФГУП «ВНИИР»
Страница 34 из 35
ОБЛАСТЬ ПРИМЕНЕНИЯ
Настоящая инструкция распространяется на резервуары железобетонные прямоугольные (далее - резервуары) номинальной вместимостью 2000 м3 (ЖБР-2000), изготовленные по [1] и предназначенные для хранения мазута и определения его количества при проведении оперативного контроля на ПАО «Мурманская ТЭЦ», и устанавливает методику их первичной, периодической и внеочередной поверок.
Межповерочный интервал составляет не более 5 лет.
НОРМАТИВНЫЕ ССЫЛКИ
В настоящей рекомендации использованы ссылки на следующие стандарты:
ГОСТ 12.0.004-90 Система стандартов безопасности труда. Организация безопасности труда. Общие положения;
ГОСТ 12.1.005-88 Система стандартов безопасности труда. Общие санитарно-гигиенические требования к воздуху рабочей зоны;
ГОСТ 12.4.010-75 Система стандартов безопасности труда. Средства индивидуальной защиты. Рукавицы специальные. Технические условия;
ГОСТ 12.4.087-84 Система стандартов безопасности труда. Строительство. Каски строительные. Технические условия;
ГОСТ 12.4.137-84 Обувь специальная кожаная для защиты от нефти, нефтепродуктов, кислот, щелочей, нетоксичной и взрывоопасной пыли. Технические условия;
ГОСТ 12.4.280-2014Система стандартов безопасности труда. Одежда специальная для защиты от общих производственных загрязнений и механических воздействий. Общие технические требования;
ГОСТ166-89 Штангенциркули. Технические условия;
ГОСТ 400-80 Термометры стеклянные для испытаний нефтепродуктов. Технические условия;
ГОСТ 427-75Линейки измерительные металлические. Технические условия;
ГОСТ 10585-99 Мазут. Технические условия;
ГОСТ 28498-90 Термометры жидкостные стеклянные. Общие технические требования. Методы испытаний;
ГОСТ 30852.12-2002 Электрооборудование взрывозащищенное. Часть 12. Классификация смесей газов и паров с воздухом по безопасным экспериментальным максимальным зазорам и минимальным воспламеняющим токам;
ОСТ 39-107-80 Система стандартов безопасности труда нефтяной промышленности.
Форма градуировочной таблицы не подлежит изменению