Методика поверки «Контроллеры программируемые DirectLOGIC, CLICK, Productivity 2000, Productivity 3000, Protos X, Terminator.» (МП 201-001-2016)
Федеральное государственное унитарное предприятие «Всероссийский научно-исследовательский институт метрологической службы» (ФГУП «ВНИИМС»)
УТВЕРЖДАЮ
Заместитель директора по производственной метрологии ФГУП «ВНИИМС»
. Иванникова
августа 2016 г.
Контроллеры программируемые DirectLOGIC, CLICK, Productivity 2000, Productivity 3000, Protos X, Terminator.
Методика поверки.
МП 201-001-2016
Москва, 2016
СОДЕРЖАНИЕ
-
8 ОФОРМЛЕНИЕ РЕЗУЛЬТАТОВ ПОВЕРКИ
11
-
1 ОБЩИЕ ПОЛОЖЕНИЯ И ОБЛАСТЬ РАСПРОСТРАНЕНИЯ
Настоящая методика поверки распространяется на контроллеры программируемые DirectLOGIC, CLICK, Productivity 2000, Productivity 3000, Protos X, Terminator (далее -контроллеры), изготавливаемые «AUTOMATIONDIRECT.COM INC.», CHIA, «Коуо Electronics Industries CO., LTD.», Япония, и устанавливает методику их первичной и периодических поверок (в случаях использования их в сферах, подлежащих государственному метрологическому контролю и надзору).
Интервал между поверками - 3 года.
2 ОПЕРАЦИИ ПОВЕРКИПеречень операций, которые должны проводиться при поверке контроллеров с указанием разделов настоящей методики поверки, приведен в таблице 1.
Таблица 1
|
Наименование операции |
Обязательность проведения при поверке |
Раздел методики | |
|
первичной |
периодической | ||
|
1 Внешний осмотр |
Да |
Да |
7.1 |
|
2 Опробование |
Да |
Да |
7.2 |
|
3 Проверка основной погрешности |
Да |
Да |
7.3 |
|
4 Проверка идентификационных данных программного обеспечения |
Да |
Да |
7.4 |
|
5 Оформление результатов поверки |
Да |
Да |
8 |
-
3.1 При поверке контроллеров рекомендуется использовать эталонные и вспомогательные средства измерений, имеющие действующие свидетельства о поверке и удовлетворяющие указанным ниже требованиям.
-
3.2 Допускаемая погрешность эталонов, используемых для воспроизведений (измерений) сигналов, подаваемых (измеряемых) на входы (на выходах) проверяемых контроллеров, для каждой проверяемой точки не должна превышать 1/5 предела допускаемой погрешности, нормируемой в технической документации на контроллер.
Примечание - При невозможности выполнения соотношения «1/5» допускается использовать эталоны с упомянутым соотношением до «1/3» и вводить контрольный допуск на погрешность проверяемого контроллера, равный 0,8 от допускаемых значений границ его погрешности.
-
3.3 Перечень основных средств поверки (эталонов) приведен в таблице 2.
Таблица 2
|
Средство поверки, регистрационный номер |
Основные характеристики |
|
Калибратор универсальный Н4-7, рег.№ 22125-01 |
Пределы допускаемой основной погрешности воспроизведений: напряжения постоянного тока U для пределов Un:
|
|
Мультиметр цифровой прецизионный Fluke 8508А, рег.№ 25984-14 |
Пределы допускаемой основной погрешности измерений: силы постоянного тока I в диапазоне от 0 до 20 мА: ± (0,0014% I +0,0002% In), напряжения постоянного тока U в диапазоне от 0 до 20В: ± (0,00035%U + 0,00002% Un); где In, Un - верхние значения диапазонов измерений |
|
Магазин сопротивления измерительный МСР-60М, рег.№ 2751-71 |
Диапазон воспроизведений сопротивления от 0 до 10 кОм, класс точности 0,02 |
|
Генератор сигналов произвольной формы 33250А, рег.№ 52150-12 |
Диапазон воспроизводимых частот от 1 мкГц до 80 МГц, пределы допускаемой основной относительной погрешности частоты выходного сигнала 2-10'4 % |
Примечание - допускается использование других эталонные средства измерений с характеристиками, удовлетворяющими требованиям п.3.2, а также требованиям Приказа Минпромторга России от 02.07.2015 г. № 1815.
-
4 ТРЕБОВАНИЯ К КВАЛИФИКАЦИИ ПОВЕРИТЕЛЕЙ
-
4.1 Поверку контроллеров должен выполнять поверитель, прошедший инструктаж по технике безопасности, освоивший работу с контроллером и используемыми эталонами. Поверитель должен быть аттестован в соответствии с действующими нормативными документами.
-
-
5.1 При проведении поверки необходимо соблюдать требования безопасности, предусмотренные «Правилами по охране труда при эксплуатации электроустановок», ГОСТ 12.2.007.0-75, ГОСТ 12.1.019-80, ГОСТ 22261-94, указаниями по безопасности, изложенными в технической документации на контроллеры, применяемые эталоны и вспомогательное оборудование.
-
6 УСЛОВИЯ ПОВЕРКИ И ПОДГОТОВКА К НЕЙ
-
6.1 Перед началом поверки поверитель должен изучить эксплуатационную документацию на поверяемое средство измерений, эталоны и другие технические средства, используемые при поверке, настоящую методику поверки, правила техники безопасности и строго их соблюдать.
-
6.2 До начала поверки поверяемый контроллер и эталоны должны быть в работе в течение времени самопрогрева, указанного в их руководствах по эксплуатации или паспортах.
-
6.3 Поверка должна проводиться в нормальных условиях:
-
-
• температура окружающего воздуха (25 ± 5) °C;
-
• относительная влажность (30.. .80) % без конденсации влаги;
-
• атмосферное давление (84... 106) кПа;
-
• напряжение питания - номинальное ± 2%.
-
7.1 Внешний осмотр
При внешнем осмотре контроллера следует убедиться в его механической исправности, целостности соединительных проводов, соответствии маркировки контроллера и модулей, входящих в его состав, технической документации, наличии свидетельства о предыдущей поверке (при периодической поверке). Не допускают к дальнейшей проверке контроллеры, у которых обнаружено неудовлетворительное крепление разъемов, грубые механические повреждения наружных частей, органов регулирования и управления и прочие повреждения.
-
7.2 Опробование
Опробование проводится в соответствии с технической документацией на контроллер. Допускается совмещать опробование с процедурой проверки основной погрешности.
-
7.3 Проверка основной погрешности измерительных каналов (ПК) контроллеров
Проверка основной погрешности выполняется с использованием схем и рекомендаций, приведенных в эксплуатационной документации на контроллер и на модули, входящие в его состав.
Проверка основной погрешности проводится для всех типов входных/выходных сигналов (при их наличии в составе контроллера) в 5 точках, i = 1, 2, 3, 4, 5, равномерно распределенных в пределах диапазона преобразований входного/выходного сигнала.
7.3.1 Проверка основной погрешности ПК аналого-цифрового преобразования сигналов силы и напряжения постоянного тока.
Проверка погрешности по данному пункту проводится по следующей методике:
Для каждой проверяемой точки i выполняют следующие операции:
-
- подают на вход поверяемого ПК значение входного сигнала X; силы или напряжения постоянного тока от эталонного калибратора и делают не менее 4-х отсчётов Yj;
-
- за оценку абсолютной погрешности Aj поверяемого ПК в i-й проверяемой точке принимают значение, вычисляемое по формуле:
Ai = max { | Yj-Xj | }, (1)
здесь Yj выражено в единицах подаваемого входного сигнала.
Результаты проверки основной погрешности по данному пункту оформляют в виде таблиц, составленных по форме таблицы 3.
Таблица 3
|
Диапазон преобразований входного сигнала, мА/мВ (В): IH / UH - , IR / UR = ; Пределы допускаемой основной приведённой погрешности, %: у = ; Пределы допускаемой основной абсолютной погрешности, мА / мВ (В): Аа = | |||||
|
П |
роверяемая точка |
X, мА/мВ (В) |
Yi; мА/мВ (В) |
Ai, мА/мВ (В) |
Заключение |
|
i |
% от диапазона входного сигнала | ||||
|
1 |
0,1 | ||||
|
2 |
25 | ||||
|
3 |
50 | ||||
|
4 |
75 | ||||
|
5 |
99,9 | ||||
Примечание - IH (UH), IB (UB) - соответственно нижняя и верхняя границы диапазона преобразований входного сигнала силы постоянного тока (напряжения постоянного тока).
Если хотя бы в одной из проверяемых точек выполняется неравенство | А; | > |Аа| поверяемый контроллер (или модуль контроллера) бракуют, в противном случае признают годным.
-
7.3.2 Проверка основной погрешности ПК преобразования сигналов от термопар (ТП) С помощью меню контроллера (или модуля контроллера) выбирают режим преобразований сигналов от ТП с компенсацией температуры холодного спая.
Результаты проверки основной погрешности по данному пункту оформляют в виде таблиц, составленных по форме таблицы 4.
Таблица 4
|
Тип термопары Диапазон преобразований сигнала ТП, °C: Тн= ,ТВ= Температура холодного спая, °C: Тхс= , Utx c = мВ Пределы допускаемой основной абсолютной погрешности, °C: Аа = | ||||||
|
Проверяемая точка |
Ti,°C |
Uxj, мВ |
Yj, °C |
А„°С |
Заключение | |
|
i |
% от диапазона входного сигнала | |||||
|
1 |
0,1 | |||||
|
2 |
25 | |||||
|
3 |
50 | |||||
|
4 |
75 | |||||
|
5 |
99,9 | |||||
Примечания
Тн и Тв - соответственно нижняя и верхняя границы диапазона преобразований сигнала ТП;
Tj - значение температуры и, соответствующее ей (по таблицам ГОСТ Р 8.585-2001 для данного типа ТП с учетом температуры холодного спая) значение в «мВ» подаваемого входного сигнала UXi;
Yj - измеренное значение сигнала в «°C»;
Проверку погрешности по данному пункту проводят в следующей последовательности:
-
- записывают для каждой проверяемой точки в столбец «Tj» значение температуры в «°C» (для данного типа термопары);
-
- по таблицам ГОСТ Р 8.585 находят напряжение Uxi', соответствующее значению температуры в i-ой проверяемой точке;
-
- термометром с погрешностью не более 0,1 °C измеряют температуру Тхс вблизи места подключения холодного спая термопары;
-
- рассчитывают входной сигнал Uxi в «мВ» для каждой проверяемой точки по формуле:
uxi = Uxi'- Utx.c, (2)
где Utx c. - напряжение, соответствующее температуре холодного спая (по таблицам ГОСТ Р 8.585);
-
- устанавливают на входе поверяемого канала значение Uxj напряжения постоянного тока от эталонного калибратора и делают не менее 4-х отсчётов Yj;
-
- за оценку абсолютной погрешности Д; поверяемого ИК в i-й проверяемой точке принимают значение, вычисляемое по формуле:
Д; = max { | Yj - Tj | }, (3)
здесь Yj выражено в «°C».
Если хотя бы в одной из проверяемых точек выполняется неравенство | Д; | > [Да| поверяемый контроллер (или модуль контроллера) бракуют, в противном случае признают годным.
-
7.3.3 Проверка основной погрешности ИК преобразования сигналов от термопреобразователей сопротивления (ТС).
С помощью меню контроллера (или модуля контроллера) выбирают режим преобразований сигналов от ТС.
Результаты проверки основной погрешности по данному пункту оформляют в виде таблиц, составленных по форме таблицы 5.
Таблица 5
|
Диапазон преобразований сигнала ТС, °C: Т„ = , TR = Пределы допускаемой основной абсолютной погрешности, °C: Да = | ||||||
|
Проверяемая точка |
Ti, °C |
Xi, Ом |
Yi, °C |
Д.,°с |
Заключение | |
|
i |
% от диапазона входного сигнала | |||||
|
1 |
0,1 | |||||
|
2 |
25 | |||||
|
3 |
50 | |||||
|
4 |
75 | |||||
|
5 |
99,9 | |||||
Примечания
Ти, Тв - соответственно нижняя и верхняя границы диапазона преобразований сигнала ТС;
Т( - значение температуры и, соответствующее ей (по таблицам ГОСТ 6651-2009 для данного типа ТС), значение в «Ом» подаваемого входного сигнала X;;
Yi - измеренное значение выходного сигнала в «°C».
Проверку погрешности по данному пункту проводят в следующей последовательности:
-
- записывают для каждой проверяемой точки в столбец «Тр> значение температуры в «°C» (для данного типа ТС);
-
- по таблицам ГОСТ 6651 находят значение сопротивления Xj, соответствующее значению температуры в i-ой проверяемой точке;
-
- записывают в таблицу 5 входной сигнал X; в «Ом» для каждой проверяемой точки;
-
- устанавливают на входе поверяемого ПК значение Xi сопротивления от эталонного магазина сопротивлений и делают не менее 4-х отсчётов Y
-
- за оценку абсолютной погрешности Aj поверяемого ПК в i-й проверяемой точке принимают значение, вычисляемое по формуле:
Ai = max { | Yi - Т| | }, (4)
здесь Yj выражено в "°C".
Если хотя бы в одной из проверяемых точек выполняется неравенство | Aj | > |Аа| поверяемый контроллер (или модуль контроллера) бракуют, в противном случае признают годным.
-
7.3.4 Проверка основной погрешности ИК цифро-аналогового преобразования кода в сигналы силы и напряжения постоянного тока.
С помощью меню контроллера (или модуля контроллера) выбирают соответствующий режим. Для каждой проверяемой точки i выполняют следующие операции:
-
- устанавливают в контроллере (или модуле контроллера) значение кода Nj„ соответствующее значению выходного сигнала силы или напряжения постоянного тока Xj и делают не менее 4-х отсчётов Yj по показаниям эталонного прибора, измеряющего выходной сигнал контроллера;
-
- за оценку абсолютной погрешности Aj поверяемого канала в i-й проверяемой точке принимают значение, вычисляемое по формуле:
А; = шах { | Yj-Xj | }, (5)
здесь Yj выражено в единицах выходного сигнала контроллера.
Результаты проверки основной погрешности по данному пункту оформляют в виде таблиц, составленных по форме таблицы 6.
Таблица 6
|
Диапазон преобразований выходного сигнала, мА/B: 1н/ UH = , IB / UR = ; Пределы допускаемой основной приведённой погрешности, %: у = ; Пределы допускаемой основной абсолютной погрешности, мА/B: Да = | ||||||
|
Г |
роверяемая точка |
N. |
Xi, мА/B |
Yi, мА/B |
Дь мА/В |
Заключение |
|
i |
% от диапазона выходного сигнала | |||||
|
1 |
0,1 | |||||
|
2 |
25 | |||||
|
3 |
50 | |||||
|
4 |
75 | |||||
|
5 |
99,9 | |||||
Примечания
IH (UH), Ib (Ub) - соответственно нижняя и верхняя границы диапазона преобразований выходных сигналов силы постоянного тока (напряжения постоянного тока);
Nj - значение кода, установленное в контроллере (модуле контроллера), соответствующее значению выходного сигнала;
X; - номинальное значение выходного сигнала;
Yj - значение, измеренное эталонным прибором, в единицах выходного сигнала контроллера.
Если хотя бы в одной из проверяемых точек выполняется неравенство | Д,-1 > |Да| поверяемый контроллер (или модуль контроллера) бракуют, в противном случае признают годным.
-
7.3.5 Проверка основной погрешности ПК модулей, осуществляющих линейное аналого-цифровое и цифро-аналоговое преобразование (преобразователей аналоговых сигналов - модулей серии DL105)
Проверку основной погрешности модулей - преобразователей аналоговых входных сигналов силы и напряжения постоянного тока, сопротивления, сигналов от ТП и ТС в аналоговые выходные сигналы силы и напряжения постоянного тока выполняют в следующей последовательности:
-
- для каждой проверяемой точки i подают на вход поверяемого ПК от эталонного прибора (калибратора или магазина сопротивлений) значение входного сигнала Авх i;
-
- считывают значение выходного сигнала ABblxj по эталонному мультиметру;
-
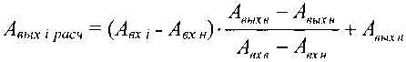
- рассчитывают значение выходного сигнала Авых i расч, соответствующее значению подаваемого входного сигнала по формуле:

(6)
- рассчитывают для каждой проверяемой точки i значение Двых., по формуле:
Двых i

ВЫХ 1
-А
вых i расч
(7)
Результаты проверки основной погрешности по данному пункту оформляют в виде таблиц, составленных по форме таблицы 7.
Таблица 7
|
Диапазон входного сигнала, мА/В/мВ/Ом/°С, Авх н = , Авх в= ; Диапазон выходного сигнала, мА/B, Авых н, АВЬ1Х в; Пределы допускаемой основной абсолютной погрешности преобразователя, приведенной К ВЫХОДУ, МА/В, Лвых.доп | |||||
|
Проверяемая точка |
Авых i расч, мА/В |
Авых i, мА/В |
Лвых i, мА/В |
Заклю чение | |
|
% от диап. вход.сигнала |
Авх i, мА/В/мВ/Ом/°С | ||||
|
от 0 до 5 | |||||
|
25 | |||||
|
50 | |||||
|
75 | |||||
|
от 95 до 100 | |||||
Примечания
АВх н, Авх в - соответственно нижняя и верхняя границы диапазона входного сигнала;
Авыхн, АВыхв - соответственно нижняя и верхняя границы диапазона выходного сигнала;
Авх i - значение подаваемого входного сигнала;
АВых i - значение выходного сигнала в проверяемой точке, измеренное эталонным мультиметром.
Если входные сигналы ИК модуля - сигналы от ТП с компенсацией температуры холодного спая, то значения подаваемого входного сигнала рассчитывают по формуле (2), т.е. в таблице 7 Авх j = Uxi (в «мВ»).
Если входные сигналы ИК модуля - сигналы от ТС, то значения подаваемого входного сигнала ABXj (в «Ом»), соответствующие значениям сигнала в «°C», находят по ГОСТ 6651.
В случае нормирования пределов допускаемой основной погрешности ИК модуля
ДвЛ доп в единицах входного сигнала (например, в «°C» для сигналов от ТП или ТС), пределы допускаемой основной погрешности ИК модуля, приведенной к выходу, рассчитывают по формуле:
А - А
^выхв ^выхн
(8)
^вых доп ~~ ^вх доп j j
^вх в вх н
Если хотя бы в одной из проверяемых точек выполняется неравенство |ЛВЬ1Х i|
I Лвых доп I, поверяемый модуль контроллера бракуют, в противном случае признают годным.
-
7.3.6 Проверка абсолютной погрешности счета импульсов
Проверку абсолютной погрешности счета импульсов проводят в следующей последовательности:
- устанавливают на эталонном генераторе частоты амплитуду импульсов, соответствующую приведенной в эксплуатационной документации на модуль;
-
- задают генерируемое количество импульсов на минимальной частоте следования импульсов, указанной в эксплуатационной документации, и запускают процесс генерирования;
-
- считывают на персональном компьютере количество посчитанных контроллером импульсов;
-
- повторяют описанную выше процедуру для других частот следования импульсов и другого количества импульсов.
Результаты проверки по данному пункту считают положительными, если абсолютная погрешность счета импульсов во всех проверяемых точках не превышает значения ±1 импульс.
7.4 Проверка идентификационных данных программного обеспечения
Для проверки идентификационных данных ПО запускают соответствующую программу, во вкладках «О программе» или «Свойства» содержится информация о наименовании ПО и номере его версии.
Для определения контрольной суммы используется программа HashTab по алгоритму MD5. Открыв «Свойства файла», перейти на дополнительную вкладку с требуемой информацией.
Результаты проверки идентификационных данных программного обеспечения считаются положительными, если идентификационные данные (признаки) ПО соответствуют заявленным в эксплуатационной документации и описании типа
8 ОФОРМЛЕНИЕ РЕЗУЛЬТАТОВ ПОВЕРКИ
-
8.1. При положительных результатах поверки оформляют свидетельство о поверке по форме Приложения 1 к «Порядку проведения поверки средств измерений, требованиям к знаку поверки и содержанию свидетельства о поверки», утвержденному Приказом Минпромторга России от 02.07.2015 г. № 1815 (далее — Порядок).
-
8.2. При отрицательных результатах поверки оформляют извещение о непригодности по форме Приложения 2 к Порядку. Контроллер (или модуль контроллера, не прошедший поверку) к эксплуатации не допускается.
Разработал:
И. Спесивцева
Вед. инженер отдела 201 ФГУП «ВНИИМС»
Зам. начальника отдела 201 ФГУП «ВНИИМС»
И.Г. Средина
