Методика поверки «ТЕРМОМЕТРЫ СОПРОТИВЛЕНИЯ ПЛАТИНОВЫЕ ВИБРОПРОЧНЫЕ ЭТАЛОННЫЕ ПТСВ -9-2, ПТСВ-10-2, ПТСВ-11-2, ПТСВ-12-3» (МП НКГЖ.408717.340)
УТВЕРЖДАЮ
2016 г.
сюр
О ^«ЭЛ^МЕР»
УТВЕРЖДАЮ
Директор
ФГУП «ВНИИМ им.Д.И. Менделеева»
С.ИЙС»
О -*
|
ЛЕ1 |
О Я, ® -* 1 к са,° | ||||
|
о г с7/ |
/? | ||||
kJB.M. Окладников

ТЕРМОМЕТРЫ СОПРОТИВЛЕНИЯ ПЛАТИНОВЫЕ ВИБРОПРОЧНЫЕ ЭТАЛОННЫЕ ПТСВ -9-2, ПТСВ-10-2, ПТСВ-11-2, ПТСВ-12-3
Методика поверки
НКГЖ.408717.340МП г. Москва, г. Зеленоград 2016 1.
СОДЕРЖАНИЕ-
1.1 Термометры сопротивления платиновые вибропрочные эталонные ПТСВ-9-2, ПТСВ-10-2, ПТСВ-11-2, ПТСВ-12-3 (далее - термометры) предназначены для измерений температуры жидких и газообразных сред в диапазоне от минус 200 до плюс 450 °C, а также как рабочие эталоны единицы температуры 2-го и 3-го разрядов при поверке рабочих средств измерений температуры.
-
1.2 Настоящая методика поверки может быть применена при аттестации и калибровке термометров.
-
1.3 Интервал между поверками 1 год.
-
1.4 Основные метрологические характеристики
-
1.4.1 Модификации термометра, разряд (класс), диапазоны измерений температуры и значения относительного сопротивления при температурах плавления галлия (Wca), тройной точки ртути (Wng), при температуре 100 °C (Wioo) приведены в таблице 1.1.
Таблица 1.1- Диапазоны измерений и значения относительных сопротивлений термометров
WTnGa WTT| lg, W1OO
|
Модификация термометра |
WmCia не менее |
WiiHg, не менее |
W 100, не менее* |
|
ПТСВ-9-2 |
1,11795 |
0,844235 |
1,3924 |
|
ПТСВ-10-2 |
1,11795 |
0,844235 |
1,3924 |
|
ПТСВ-11-2 |
1,11795 |
0,844235 |
1,3924 |
|
ПТСВ-12-3 |
1,11795 |
0,844235 |
1,3924 |
|
Примечания:
| |||
1.4.2 Допускаемая доверительная абсолютная погрешность термометров при доверительной вероятности 0,95 (доверительная погрешность) приведена в таблице 1.2.
Таблица 1.2- Значения доверительной погрешности
|
Модификация термометра |
Разряд |
Пределы допускаемой доверительной абсолютной погрешности, °C | |||||||
|
Диапазон измерений |
°C | ||||||||
|
от минус 200 до минус 50 |
выше минус 50 до 0 |
0 |
выше 0 до плюс 50 |
выше плюс 50 до плюс 160 |
выше плюс 160 до плюс 230 |
выше плюс 230 до плюс 420 |
выше плюс 420 до плюс 450 | ||
|
ПТСВ-9-2 |
2 |
±0,02 |
±0,02 |
±0,01 |
±0,01 |
±0,02 |
±0,02 |
±0,02 |
±0,02 |
|
ПТСВ-10-2 |
2 |
- |
±0,02 |
±0,01 |
±0,01 |
±0,02 |
±0,02 |
±0,02 |
±0,02 |
|
ПТСВ-11-2 |
2 |
- |
±0,02 |
±0,01 |
±0,01 |
±0,02 |
±0,02 |
- |
- |
|
ПТСВ-12-3 |
3 |
- |
±0,03 |
±0,02 |
±0,02 |
±0,03 |
±0,03 |
- |
±0,04 |
-
1.5 Поверка термометров проводится согласно ГОСТ Р 8.571-98, а также по методике, изложенной в разделах 2-8 настоящего документа.
Определение градуировочной характеристики термометров проводится методом сличения показаний поверяемого термометра с эталонным термометром 1-го разряда в устройствах, реализующих «опорные» температуры рабочего диапазона поверяемого термометра или реперных точках.
2 ОПЕРАЦИИ ПОВЕРКИ2.1 При проведении поверки выполняют операции, указанные в таблице 2.1.
Таблица 2.1 - Операции поверки
|
Наименование операции |
Номер пункта методики поверки |
Проведение операции при | |
|
первичной поверке |
периодической поверке | ||
|
1 Внешний осмотр и опробование |
8.1 |
Да |
Да |
|
2 Проверка электрического сопротивления изоляции |
8.2 |
Да |
Да |
|
3 Определение метрологических характеристик термометров |
8.3 |
Да |
Да |
|
3.1 Определение нестабильности |
8.3.1 |
Да |
Да |
|
3.2 Определение относительного сопротивления |
8.3.2 |
Да |
Да |
|
3.3 Определение градуировочной характеристики |
8.3.3 |
Да |
Да |
|
3.4 Оценка неопределенности результатов поверки |
8.3.4 |
Да |
Да |
3 СРЕДСТВА ПОВЕРКИ
3.1 При проведении поверки применяют основные и вспомогательные средства поверки, указанные в таблице 3.1.
Таблица 3.1- Средства поверки
|
Наименование и тип |
Обозначение документа |
Предел измерений |
Погрешность |
|
1 Эталонный термометр сопротивления ЭТС-25 |
ВЭТ 34-30-10 |
Реперная точка гтв(0,01°С) Ga (29,7646 °C) In (156,5985 °C) |
±0,2 мК ±0,2 мК ±0,5 мК |
|
2 Термометр цифровой эталонный ТЦЭ-005/М2 |
ТУ 4381-075- 13282997-09 |
от 0 до 375 Ом |
±0,0003 -R/25 (этал. резист. 25 Ом) ±0,001 -R/100 (этал. резист. 100 Ом) |
|
3 Ампула тройной точки воды |
ВЭТ 34-30-10 |
0,01 °C |
0,2 мК |
|
4 Устройство реализации тройной точки ртути |
-// - |
минус 38,8344 °C |
0,2 мК |
|
5 Термостат азотный ТА-200 |
НКГЖ.065154.004 |
от минус 196,1 до минус 195,5 |
±0,01 °C |
|
6 Термостат переливной прецизионный ТПП-1.2 |
ЕМТК 151.0000.00 |
от минус 60 до100 °C |
нестабильность ±(0,0025+0,00005-t)°C |
|
7 Устройство реализации точки плавления галлия |
ВЭТ 34-30-10 |
29,7646 °C |
±0,2мК |
|
8 Устройство реализации точки затвердевания индия |
ВЭТ 34-30-10 |
156,5985 °C |
±0,5 мК |
|
9 Вольтметр универсальный цифровой |
В7-22А Хв2.710.014 ТУ |
±0,1% | |
|
10 Печь для реализации реперных точек |
ТУ 4381-109- 13282997-2012 |
от 50 до 660 °C |
Нестабильность температуры не более 0,002 К/мин; градиент 0,01 К/см |
|
11 Прецизионный термометрический мост F700B |
ВЭТ 34-30-10 |
100 Ом, 75 Ом, 50 Ом |
0,000001 0,0000005 |
|
12 Прибор комбинированный Ц4312 |
ТУ 25-04-3300-77 |
0...500 Ом |
10% |
|
13 Набор однозначных мер электрического сопротивления термостатированный типа МС3050Т |
ГОСТ 23737-79 |
10 Ом, 25, 100, 150 Ом |
±0,0001 % ±0,0002 % |
|
14 Калибратор температуры «ЭЛЕМЕР-КТ-650Н» |
ТУ 4381-109- 13282997-2012 |
от 50 до 680 °C |
нестабильность поддержания температуры за 30 мин (в режиме термостата) не более: ±(0,005+0,003 • t/100); за 3 мин ±(0,0005+0,0003 • t/100) |
|
Примечание - Допускается применение других средств измерений и испытательного оборудования, обеспечивающих необходимые основные параметры и характеристики. | |||
-
4.1 К проведению поверки допускаются лица, имеющие квалификацию инженера, ознакомленные с эксплуатационными документами на ПТСВ.
-
5.1 К работе с термометром допускаются лица, имеющие необходимую квалификацию, обученные правилам техники безопасности при работе с термометром, изучившие ЭД на термометр.
-
5.2 При подготовке и проведении поверки необходимо соблюдать требования ГОСТ 12.2.091-2012.
Требования безопасности при проверке сопротивления изоляции - в соответствии с ГОСТ Р 52931-2008 и ГОСТ Р 12.2.091-2012.
-
5.3 При проведении поверки необходимо также соблюдать меры безопасности, изложенные в НТД на поверяемый прибор и средства поверки.
-
5.4 При работе с термометром, с использованием ожиженных газов, необходимо пользоваться средствами индивидуальной защиты (очки и перчатки) и соблюдать осторожность, так как попадание жидких газов на незащищенные участки кожного покрова и слизистые оболочки приводит к тяжелым обморожениям.
-
5.5 При работе с термометром запрещается прикасаться к нагретым и охлажденным его частям, имеющим температуру выше 50 °C и ниже минус 30 °C во избежание получения ожогов и обморожений, а также запрещается помещать нагретые термометры на легковоспламеняющуюся поверхность во избежание возгораний.
-
5.6 При проведении поверки средства поверки должны быть надежно заземлены. Сопротивление заземления не должно превышать 0,1 Ом.
-
5.7 Все работы по обслуживанию и ремонту термометра проводить только при достижении всеми его частями температуры (25 ±15) °C.
-
6.1 При проведении поверки должны быть соблюдены (если не оговаривается отдель
но) следующие условия:
температура окружающего воздуха, °C
20 ±2,5
80
(101,3 ±10)
230 ±23
относительная влажность окружающего воздуха, %, не более атмосферное давление, кПа;
номинальное напряжение питания, В отсутствие внешних электрических и магнитных полей; отсутствие вибрации.
-
6.2 Операции, производимые со средствами поверки и с поверяемыми термометрами должны соответствовать указаниям, приведенным в эксплуатационной документации.
-
7.1 Средства поверки и вспомогательное оборудование, применяемые при поверке, должны быть подготовлены к работе в соответствии с эксплуатационной документацией.
-
7.2 Проверить соответствие условий поверки требованиям раздела 6.
-
7.3 Протереть погружаемые части термометра ректифицированным техническим спиртом (ГОСТ Р 55878-2013).
-
8.1 Внешний осмотр и опробование
Комплектность, упаковка, маркировка и габаритные размеры термометра должны соответствовать требованиям нормативной документации на термометры.
Корпус термометра не должен иметь механических повреждений и дефектов.
-
8.1.2 В комплект эксплуатационной документации должны входить паспорт термометра ПТСВ с отметкой ОТК и свидетельство о предыдущей поверке (при периодической поверке).
-
8.1.3 Опробование заключается в проверке целостности электрических цепей термометра. Опробование электрической схемы проводят с помощью прибора комбинированного Ц4312.
Нарушения электрической цепи термометра не допускаются.
-
8.1.4 Термометры, не удовлетворяющие требованиям, изложенным выше, дальнейшим операциям поверки не подвергают.
-
8.2 Проверка электрического сопротивления изоляции термометра
Проверку проводят при температуре (20±5) °C и относительной влажности воздуха (60± 15)% с помощью мегомметра с напряжением от 10 до 100 В.
Электрическое сопротивление изоляции между выводами и корпусом термометра должно быть не менее 100 МОм. В противном случае термометр бракуется.
-
8.3 Определение метрологических характеристик термометров
-
8.3.1 Определение нестабильности термометров
Нестабильность термометров определяют по изменениям их сопротивлений в тройной точке воды после нагрева и охлаждения до температур границ рабочего диапазона. Методика определения нестабильности аналогична приведенной в ГОСТ Р 8.571-98.
Нестабильность термометров определяют в следующем порядке.
-
8.3.1.1 Проводят измерение сопротивления термометра в тройной точке воды (Rttb). Методика измерения следующая.
Ампула тройной точки воды должна быть предварительно подготовлена к работе согласно технической документации на данный прибор.
Термометр предварительно погружают в сосуд Дьюара с водо-ледяной смесью при температуре 0 °C и выдерживают там не менее 15 мин. Затем термометр извлекают и погружают в канал ампулы тройной точки воды и через 15 мин начинают измерения.
За результат измерения сопротивления термометра (RttbI) принимают среднее арифметическое из результатов пяти отсчетов.
Полученное значение сопротивления термометра RttbI не должно отличаться от номинального более чем на 0,2%.
-
8.3.1.2 После проверки RttbI термометры помещают в печь или калибратор температуры при температуре верхнего предела рабочего диапазона измерения согласно таблице 1.1. Допускаемое отклонение температуры печи от верхнего предела рабочего диапазона термометра ±5 °C. После выдержки при этой температуре в течение 5 ч, термометры помещают на 0,5 ч в среду с нормальной температурой (см. п. 5.1) и затем повторно измеряют сопротивление в тройной точке воды (Rttb2).
-
8.3.1.3 Значения модуля разности сопротивлений термометра |AR ттв|= |Rttb1 - Rttb2| не должны быть более 0,004 °C и 0,007 °C, в температурном эквиваленте, для термометров 2-го и 3-го разрядов соответственно.
Примечание - Значения ARttb в температурном эквиваленте определяются по выражению ARTTB/(dR/dT)TTB, где (dR/dT)TTB при температуре тройной точки воды составляет 0,4 Ом/°С для Ro— 100 Ом
-
8.3.1.4 Термометры, не удовлетворяющие требованиям стабильности, бракуют или их разряд переводят в более низкий.
-
8.3.2 Определение относительного сопротивления в точках контроля чистоты платины
-
8.3.2.1 Относительное сопротивление термометра в точке плавления галлия Wca определяют при первичной поверке перед градуировкой термометра.
Методика измерения сопротивления термометров в указанных реперных точках должна соответствовать приведенной в ГОСТ Р 8.571-98, п.п. 9.7.2.. .9.7.5.
-
8.3.2.2 После определения значения сопротивления термометра в реперной точке галлия RGa, определяют значение сопротивления термометра в тройной точке воды по методике, изложенной в п. 8.3.1.1.
Рассчитывают относительное сопротивление термометра в точке плавления галлия WGa по формуле
WGa=RGa/ RTTB, (8.1)
Значение относительного сопротивления термометра '\¥садолжно быть не менее значений, приведенных в таблице 1.1.
-
8.3.2.3 Допускается заменить определение относительного сопротивления термометра в точке плавления галлия на определение относительного сопротивления W ioo=Rio<)/Roтермометра при температуре 100 °C.
Определение сопротивления термометра Rioo проводят, измеряя сопротивление термометра Кизм(1термост) в калибраторе температуры «ЭЛЕМЕР-КТ-650Н» в режиме блока сравнения и вводя поправку на отличие действительного значения температуры от 100 °C:
R100 RmM^me/zwocm) + ^тер.мост ), (8.2)
Принимают f—| = Ro-0.00357.
/ юс
Значение tmePMocm температуры в калибраторе определяют по показанию ТЦЭ-005/М2 или по термометрическому мосту F700B с эталонным термометром ЭТС-25.
Сопротивление Ro определяют по п. 8.3.1.1.
Полученное значение относительного сопротивления WIOo должно быть не менее значений, указанных в таблице 1.1.
Значение Roзaнocят в протокол поверки и при оформлении результатов в свидетельство о поверке.
-
8.3.3 Определение градуировочной характеристики
-
8.3.3.1 Градуировочная характеристика термометров ПТСВ представляет собой полином 2-й степени AW = f(W-l) отклонения относительного сопротивления термометра Wot стандартной функции МТШ-90 Wr(T), так что необходимое для расчета температуры стандартное значение относительного сопротивления рассчитывают по формуле Wr(t) = W -AW(W - 1).
Для термометров градуировка проводится при температурах выше О °C. Для термометров функция отклонения AW(W) экстраполируется в область температур от О °C до минус 50 °C из области W>1.
Для термометров ПТСВ-9-2, градуировка также проводится при температуре минус 196 °C.
Градуировку термометров проводят методом сличения градуируемого термометра с эталонным термометром в устройствах, реализующих «опорные» температуры рабочего диапазона градуируемого термометра, и градуировкой в тройной точке воды.
Примечание - Допускается проводить градуировку термометров согласно ГОСТ Р 8.571-98.
За результаты измерений при градуировке принимают средние значения величин, полученные не менее чем по пяти отсчетам.
-
8.3.3.2 Градуировка термометров
Градуировку термометров проводят методом сличения градуируемого термометра с термометром 1-го разряда в устройствах, реализующих «опорные» температуры рабочего диапазона градуируемого термометра, и калибровки непосредственно в тройной точке воды (ттв).
В зависимости от рабочего диапазона термометра предусмотрены температуры и последовательность градуировки, указанные в таблице 8.1.
Таблица 8.1 - Температуры поверки
|
Диапазон измерений температуры |
Градуировочные точки, °C |
|
от минус 50 до плюс 150 °C |
ттв, 156, ттв |
|
от минус 50 до плюс 230 °C |
ттв, 232, ттв |
|
от минус 200 до плюс 450 °C |
минус 196, ттв, 419, ттв |
Сопротивление градуируемого термометра в ттв измеряют так же, как при определении стабильности.
Температуры градуировки не должны отличаться от указанных в таблице 8.1 более чем на ±2 °C.
Для градуировки термометров ПТСВ их вместе с эталонным термометром помещают в блок сравнения жидкостного термостата или печи (калибратора в режиме блока сравнения) и при температурах, соответствующих приведенным в таблице 8.1, проводят измерения сопротивлений эталонного и поверяемого термометров. Измерение сопротивления эталонного и поверяемого термометров проводят при установлении допускаемого температурного режима, когда изменение температуры по показаниям эталонного термометра за 5 мин не превышают 0,01 °C. Проводят не менее чем по 5 отсчетов для эталонного и поверяемого термометров.
За результат измерения сопротивлений принимают среднее арифметическое из пяти отсчетов. По результатам измерений рассчитывают значение относительного сопротивления градуируемого термометра W при данной температуре.
По показанию эталонного термометра рассчитывают температуру Т и определяют Wr(T), и рассчитывают AW = W - Wr.
8.3.3.3Проводят измерения и расчеты по 8.3.3.2 во второй градуировочной точке.
При градуировке в двух точках находят коэффициенты а и b функции отклонения как решение системы двух линейных уравнений:
AW, = a- (W,-l) + Z>- (Wi-1)2,
(8.3)
AW2 = o- (W2-l) + Z>- (W2-l)2. Подстрочные индексы 1 и 2 относятся к первой и второй градуировочным точкам.
я = ^_ Ь=~, (8Л>
D D
где D, Da, Db - определитель и соответствующие алгебраические дополнения системы (8.3).
Допускается градуировку термометров проводить в устройствах для реализации реперных точек, соответствующих температурам, указанным в таблице 8.1.
-
8.3.4 Оценка неопределенности результатов поверки
-
8.3.4.1 Неопределенность результатов поверки оценивают в точках градуировки и выражают в единицах сопротивления для Rttb и единицах температуры в точках градуировки.
-
8.3.4.2 Стандартную неопределенность результата измерений сопротивления термометра RttbB тройной точке воды по типу А (выборочное стандартное отклонение среднего значения) рассчитывают по формуле
UstA = 4’ (8'5)
уП
где S- СКО ряда измерений сопротивления, n-число отсчетов при измерении.
-
8.3.4.3 Стандартную неопределенность результата измерений сопротивления Rttb термометра по типу В в тройной точке воды рассчитывают по формуле
l4tE =JnR2+^ • «0.011, (8.6)
\ ПОВ '
^R100 л rt “ -r
где«я =—— ‘,ЛКюо - предел допускаемой погрешности измерителя сопротивлении -У 3
ТЦЭ-005/М2, при использовании эталонного резистора 100 Ом.
Если в качестве измерителя сопротивлений применяют мост отношения сопротивлений с внешней мерой сопротивления номиналом /?меры, то uR рассчитывают по формуле ur=^(n-u(6r
меры)) “Ь (^меры ' )2, (8-7)
Я
где N — ---показание моста отношения сопротивлений; и(5д>1еры) - стандарт-
°меры ’ "
ная неопределенность градуировки внешней меры сопротивления, Ом. В качестве оценки стандартной неопределенности градуировки меры сопротивления может быть принято: и(^ямеры) = , где «меры - нестабильность меры сопротивления между поверками
у 3
согласно ее разряду по поверочной схеме.
uN = -¥ - оценка стандартной неопределенности показания моста отношения сопро-у 3
тивлений; aN - удвоенная цена младшего разряда моста отношения сопротивлений.
“о.01 - стандартная неопределенность для ампулы тройной точки воды, °C.
-
8.3.4.4 Суммарную стандартную неопределенность измерений /^/^рассчитывают по формуле
llstx ~ yjllstA“ 3” !Cts2 (8-8)
Расширенную неопределенность рассчитывают по формуле U=k-nsfj , где к=2.
-
8.3.4.5 Стандартную неопределенность результата измерений сопротивления термометра по типу А в точке поверки (выборочное стандартное отклонение среднего значения) рассчитывают по формуле
“stA = 4 ’ (8-9)
У л
где S- СКО ряда измерений, n-число отсчетов при измерении.
-
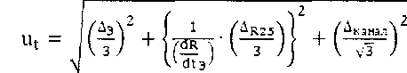
8.3.4.6 Стандартную неопределенность результата измерений сопротивления термометра по типу В в точке поверки при поверке в блоке сравнения калибратора методом сличения с эталонным термометром рассчитывают по формуле

(8.10)
где

(8.И)
Индексы 100 и 25 при означают пределы погрешностей (доверительные границы погрешностей) измерителя сопротивлений - ТЦЭ-005/М2, при использовании эталонных резисторов 100 Ом и 25 Ом. Производные —для поверяемого и эталонного термометров при температуре градуировки отмечены индексами «пов» и «Э».Д^- доверительная погрешность эталонного термометра.
Если в качестве измерителя сопротивлений применяют мост отношения сопротивлений с внешней мерой сопротивления номиналом Ямеры, то '-(я рассчитывают по формуле (8.7), и
формулу (8.11) записывают в виде:




(8.12)
где Акана.1 - предельная неоднородность температуры в каналах одинакового диаметра блока сравнения.
Если характеристики однородности поля температур в блоке сравнения выражены предельными неравномерностями температуры по горизонтали#/?/ и по вертикали#/.;, то:

(8.13)
-
8.3.4.7 Производные —в формулах (8.6), (8.9), (8.10) рассчитывают по уравнению:
— = /?ттв ' (А + 2 • В • г),
где А=0,003969 СС-1, В=-5,841-10- 'ТГ2, t-температура, °C.
-
8.3.4.8 Суммарную стандартную неопределенность измерений /^рассчитывают по формуле (8.8).
Расширенную неопределенность рассчитывают по формуле Ur=1c usts , где k=2.
-
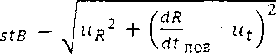
8.3.4.9 Расширенную неопределенность в единицах температуры (в градусах Цельсия) рассчитывают по формуле
Ut=7^~- (8-14)
dt■ НОЕ
9 ОФОРМЛЕНИЕ РЕЗУЛЬТАТОВ ПОВЕРКИ-
9.1 Положительные результаты поверки оформляются выдачей свидетельства о поверке установленной формы приказом Минпромторга России «Об утверждении Порядка проведения поверки средств измерений, требования к знаку поверки и содержанию свидетельства о поверке» №1815.
На обратной стороне свидетельства указывают:
-
- значение сопротивления Rttb, Ом, и его расширенную неопределенность, Ом;
значение измерительного тока, при котором определяли градуировочные характеристики;
значения температуры градуировки, °C, и соответствующие им значения относительного сопротивления; расширенные неопределенности в точках градуировки, °C.
-
- порядок расчета температуры по измеренному сопротивлению термометра.
-
9.1.1 Знак поверки наносится на свидетельство о поверке и (или) в руководство по экс-плутации.
-
9.2 При отрицательных результатов поверки оформляют извещение о непригодности и термометр не допускают к применению.
Разработчик настоящей методики:

С.П. Полунин
А.И. Походун
Начальник ОПТ
ООО НПП «ЭЛЕМЕР»
Согласовано:
Руководитель НПО 241
ФГУП «ВНИИМ им. Д.И. Менделеева»
15
