Методика поверки «Система измерительная автоматизированной системы управления технологическим процессом транспортировки и вдувания пылеугольного топлива в доменную печь № 3 доменного цеха АО «ЕВРАЗ ЗСМК»» (МП РИЦ243.06.3-16)
УТВЕРЖДАЮ
Замести гель
. А. Еремин
2016г.
Система измерительная автоматизированной системы управления технологическим процессом транспортировки и вдувания пылеугольного топлива в доменную печь № 3 доменного цеха АО «ЕВРАЗ ЗСМК»
МЕТОДИКА ПОВЕРКИ
МП РИЦ243.06.3-16
2016г.
Содержание
Приложение А_Метрологические характеристики измерительных каналов ИУС
Приложение Б Образец оформления протокола поверки
Приложение В Перечень ссылочных нормативных документов
1 Общие положенияНастоящая методика поверки распространяется на систему измерительную автоматизированной системы управления технологическим процессом транспортировки и вдувания пылеугольного топлива в доменную печь № 3 доменного цеха АО «ЕВРАЗ ЗСМК» (далее - ИУС), заводской № РИЦ243.06.3, изготовленную Компанией PAUL WURTH S.A., Люксембург; Компанией Ingeteam Industry, S.A, Испания и устанавливает методы и средства ее первичной и периодической поверок.
-
1.1 Поверке подлежит ИУС в соответствии с перечнем измерительных каналов (ИК), приведенным в приложении А.
-
1.2 Первичную поверку ИУС выполняют перед вводом в эксплуатацию, а также после ремонта.
-
1.3 Периодическую поверку ИУС выполняют в процессе эксплуатации через установленный интервал между поверками.
-
1.4 Периодичность поверки (интервал между поверками) ИУС - 1 год.
-
1.5 Измерительные компоненты ИУС поверяют с интервалом между поверками, установленным при утверждении их типа. Если очередной срок поверки измерительного компонента наступает до очередного срока поверки ИУС, поверяется только этот компонент и поверка ИУС не проводится.
-
1.6 При замене измерительных компонентов на однотипные или на компоненты с аналогичными техническими и метрологическими характеристиками подвергают поверке только те ИК, в которых проведена замена измерительных компонентов. В этом случае собственником ИУС должен быть оформлен акт об изменениях, внесенных в ИУС, являющийся неотъемлемой частью описания типа ИУС для Госреестра РФ.
-
1.8 Допускается применение измерительных преобразователей аналогичных типов, внесенных в Госреестр РФ с аналогичными техническими и метрологическими характеристиками.
-
1.9 При модернизации ИУС путем введения новых измерительных каналов должны быть проведены их испытания в целях утверждения типа.
-
1.10 В случае обновления программного обеспечения ИУС, расширении/модификации его функций проводится анализ изменений, внесённых в программное обеспечение. Если внесённые изменения могут повлиять на метрологически значимую часть программного обеспечения, то проводят испытания ИУС в целях утверждения типа.
В тексте приняты следующие сокращения:
панель оператора - автоматизированное рабочее место оператора;
МП - методика поверки;
MX - метрологические характеристики;
ПО - программное обеспечение;
СИ - средство измерений;
ФВ - физическая величина.
2 Операции поверки-
2.1 При проведении поверки выполняют операции, приведенные в таблице 1.
Таблица 1 - Операции поверки
|
Наименование операции |
Номер пункта методики поверки |
Проведение операций при поверке | ||||
|
первичной |
периодической | |||||
|
при вводе в эксплуатацию |
при вводе новог оИК |
после ремонт а ПК |
после переустановк и ПО или замены компьютера АРМ оператора | |||
|
1 Рассмотрение документации |
8.1 |
да |
да* |
да* |
да* |
да* |
|
2 Внешний осмотр |
8.2 |
да |
нет |
нет |
да |
да |
|
3 Проверка сопротивления защитного заземления |
8.3 |
да |
да* |
да* |
нет |
да |
|
4 Опробование |
8.4 |
да |
да |
да |
да |
да |
|
5 Проверка идентификационных данных ПО |
8.5 |
да |
да* |
нет |
да |
да |
|
6 Проверка защиты ПО от несанкционированного доступа |
8.6 |
да |
да* |
да* |
да |
да |
|
7 Определение погрешности синхронизации и измерений времени |
8.7 |
да |
нет |
нет |
да* |
да |
|
8 Проверка метрологических характеристик измерительных каналов МУС |
8.8 |
да |
да* |
да* |
да |
да |
|
* В объеме вносимых изменений. | ||||||
-
3.1 При проведении поверки применяют основные и вспомогательные средства поверки:
-
- средства измерений и эталоны в соответствии с документами на методики поверки первичных измерительных преобразователей и ПЛК;
-
- мегаомметр ЭСО2Ю/3-Г (Госреестр № 21320-01);
-
- измеритель параметров заземляющих устройств MRU-200 (Госреестр № 41925-09);
-
- радиочасы МИР РЧ-02 (Госреестр № 46656-11).
-
3.2 При проведении поверки допускается замена указанных средств поверки аналогичными, обеспечивающими определение (контроль) метрологических характеристик ИК ИУС с требуемой точностью измерений.
-
3.3 Средства поверки должны иметь действующие свидетельства о поверке или оттиски поверительных клейм.
-
4.1 Поверка ИУС выполняется специалистами, аттестованными в качестве поверителей средств измерений, ознакомившиеся с технической и эксплуатационной документацией и настоящей методикой поверки, имеющие удостоверение на право работы с напряжением до 1 000 В (квалификационная группа по электробезопасности не ниже третьей).
-
4.2 При проведении поверки соблюдают требования охраны труда предприятия, на котором проводят поверку ИУС. Выполняют требования действующих нормативных актов, инструкций по охране труда и окружающей среды.
-
5.1 При проведении поверки необходимо соблюдать требования безопасности, установленные в следующих документах:
-
- ГОСТ Р МЭК 60950-2002 «Безопасность оборудования информационных технологий»;
-«Правила устройств электроустановок», раздел I, III, IV;
-
- «Правила по охране труда при эксплуатации электроустановок» (утверждены Министерством труда и социальной защиты Российской Федерации от 24 июля 2013 г. № 328н);
-
- СанПиН 2.2.2/2.4.1340-03 «Гигиенические требования к персональным электронно-вычислительным машинам и организации работы»;
-
- СНиП 3.05.07-85 «Системы автоматизации»;
-
- Инструкция по работе с компьютерной техникой (АСНи 01-99);
-
- Правила технической эксплуатации электроустановок потребителей (утверждены Минэнерго России от 13.01.03 №6).
- Нормы освещенности рабочих мест должны быть обеспечены в соответствии со СНиП 23- 05-95 «Естественное и искусственное освещение».
6 Условия поверкиа) Измерительные и связующие компоненты ИУС:
первичных измерительных от плюс 15 до плюс 25 °C;
от 20 до 80 %;
от 84,0 до 106,7 кПа.
от плюс 15 до плюс 25 °C;
от 40 до 80 %;
от 84,0 до 106,7 кПа;
от 198 до 242 В;
от 49,6 до 50,4 Гц.
-
1) температура окружающего воздуха для преобразователей
-
2) относительная влажность окружающего воздуха при плюс 25 °C
-
3) атмосферное давление
б) Комплексные и вычислительные компоненты ИУС:
-
1) температура окружающего воздуха
-
2) относительная влажность окружающего воздуха при плюс 25 °C
-
3) атмосферное давление
-
4) напряжения питания переменного тока
-
5) частота питающей сети
-
7.1 На поверку ИУС предоставляют следующие документы:
-
- система измерительная автоматизированной системы управления технологическим процессом транспортировки и вдувания пылеугольного топлива в доменную печь № 3 доменного цеха АО «ЕВРАЗ ЗСМК» Паспорт;
-
- свидетельства о поверке измерительных и комплексных компонентов, входящих в состав ИК ИУС;
-
- свидетельство о предыдущей поверке ИУС (при выполнении периодической поверки);
-
- эксплуатационную документацию на ИУС и ее компоненты;
-
- эксплуатационную документацию на средства измерений, применяемые при поверке.
-
7.2 Перед выполнением операций поверки необходимо изучить настоящий документ, эксплуатационную документацию на поверяемую ИУС и её компоненты.
-
7.3 Непосредственно перед проведением поверки необходимо подготовить средства поверки к работе в соответствии с их эксплуатационной документацией.
-
8.1 Рассмотрение документации
-
8.1.1 Проверяют наличие следующих документов:
-
-
- система измерительная автоматизированной системы управления технологическим процессом транспортировки и вдувания пылеугольного топлива в доменную печь № 3 доменного цеха АО «ЕВРАЗ ЗСМК» Паспорт;
-
- свидетельство о предыдущей поверке ЙУС (при проведении периодической поверки);
-
- документы, удостоверяющие поверку средств измерений, входящих в состав ИУС;
-
- эксплуатационная документация на ИУС и ее компоненты;
-
- эксплуатационная документация на средства измерений, применяемые при поверке ИУС.
-
8.1.2 Проверяют перечень измерительных каналов, представленных на поверку, в соответствии с перечнем, приведенным в паспорте на ИУС и в приложении А настоящей МП. Эксплуатационная документация на средства измерений, применяемые при поверке ИУС, должна содержать информацию о порядке работы, их технических и метрологических характеристиках.
Результат проверки положительный, если вся вышеперечисленная документация в наличии, перечень измерительных каналов соответствует перечню, приведенному в паспорте на ИУС и в приложении А настоящей МП, все средства поверки имеют документально подтвержденную пригодность для использования в операциях поверки, все компоненты ИУС имеют действующие свидетельства о поверке.
-
8.2 Внешний осмотр
-
8.2.1 При внешнем осмотре проверяют соответствие ИУС нижеследующим требованиям:
-
-
- соответствие комплектности ИУС перечню, приведенному в паспорте и в таблице А. 1 приложения А настоящей МП;
-
- отсутствие механических повреждений и дефектов покрытия, ухудшающих внешний вид и препятствующих применению;
-
- отсутствие обрывов и нарушения изоляции кабелей и жгутов, влияющих на функционирование ИУС;
-
- наличие и прочность крепления разъёмов и органов управления;
-
- отсутствие следов коррозии, отсоединившихся или слабо закрепленных элементов схемы.
-
8.2.2 Внешним осмотром проверяют наличие и месторасположение панелей оператора.
Результат проверки положительный, если выполняются все вышеперечисленные требования. При оперативном устранении недостатков, замеченных при внешнем осмотре, поверка продолжается по следующим операциям.
-
8.3 Проверка сопротивления защитного заземления
-
8.3.1 Проверку сопротивления цепи защитного заземления проводят только у тех компонентов ИУС, которые в соответствии с эксплуатационной документацией, должны быть подключены к защитному заземлению.
-
8.3.2 Значение сопротивления между заземляющим болтом (винтом, шпилькой) и каждой доступной прикосновению металлической нетоковедущей частью компонентов, которая может оказаться под напряжением, не должно превышать 0,1 Ом.
-
8.3.3 Сопротивление цепи защитного заземления определяют измерителем параметров заземляющих устройств или устанавливают по протоколам испытаний компонентов ИУС.
-
Результат проверки положительный, если значение сопротивления защитного заземления, измеренное или зафиксированное в протоколах, не превышает 0,1 Ом.
8.4 Опробование
-
8.4.1 Непосредственно перед выполнением экспериментальных исследований необходимо подготовить ИУС и СИ к работе в соответствии с их эксплуатационной документацией.
-
8.4.1.1 Перед опробованием ИУС в целом необходимо выполнить проверку функционирования её компонентов.
-
8.4.1.2 При проверке функционирования измерительных и комплексных компонентов ИУС проверяют работоспособность индикаторов, отсутствие кодов ошибок или предупреждений об ошибках, авариях.
-
8.4.1.3 При опробовании линий связи проверяют:
-
- наличие сигнализации о включении в сеть технических средств ИУС;
-
- поступление информации по линиям связи;
-
- наличие сигнализации об обрыве линий.
-
8.4.1.4 При опробовании ИУС проводят первичное тестирование ИУС средствами программного обеспечения АРМ оператора (опрос измерительных преобразователей, установление связи с компонентами и оборудованием ИУС и т.д.).
-
8.4.1.5 Мониторы АРМ оператора должны быть включены. Исправность АРМ оператора оценивают, выполнив переключение между экранными формами ИУС. Проверяют отображение на мониторах АРМ оператора экранной формы "Основной экран" и возможность вызова через нее остальных экранов.
-
8.4.1.6 При проверке функционирования ИУС с АРМ оператора проверяют выполнение следующих функций:
-
- отображение текущих значений технологических параметров;
-
- отображение текущих значений даты и времени.
-
8.4.2 Проверка функционирования ИУС.
-
8.4.2.1 На АРМ оператора проверяют наличие экранных форм согласно Руководству пользователя РИЦ243.06-ИЭ ОАО «ЕВРАЗ ЗСМК» доменный цех. Вдувание пылеугольного топлива в доменные печи. Разработка технической документации на системы автоматизации комплекса ПУТ. АСУ "Вдувание". Руководство пользователя.
-
8.4.2.2 На экранных формах проверяют отображение текущих значений технологических параметров и информации о ходе технологического процесса, текущих значений даты и времени. Текущее значение даты и времени в системе устанавливаются с программатора в соответствии со значением времени на программаторе. Программатор раз в месяц синхронизирует свое время со временем в домене ZSMK.RU.
Результат проверки положительный, если по всем ИК (перечень ИК приведен в приложении А) на технологических экранах отображаются текущие значения даты и времени, значения технологических параметров в установленных единицах измерений и результаты измерений находятся в заданных диапазонах.
8.5. Проверка идентификационных данных ПО
-
8.5.1. Проверку идентификационных данных ПО ИУС проводят в процессе штатного функционирования. Прикладное Г1О ИУС включает в свой состав программное обеспечение, функционирующее на панели оператора и в контроллерах.
-
8.5.2. Идентификационные данные метрологически значимой части ПО ИУС -контрольные суммы файлов конфигурации проектов PLC и станций визуализации.
-
8.5.3. Определение значений контрольных сумм для файлов метрологически значимой части ПО проводится с помощью программатора с предустановленной утилитой HashCalc (допускается использование другой сторонней утилиты, реализующей расчет контрольной суммы по алгоритму MD5).
Определение значений контрольных сумм проводится следующим образом:
-
- запустить Hashcalc.exe;
-
- в выпадающем списке «Data Format» необходимо выбрать «File»;
-
- в текстовом поле «Data» указать путь до файла конфигурации проекта PLC;
-
- флажок «MD5» установить в положение включен:
-
- нажать кнопку «Calculate» и сравнить полученные данные с указанными в таблице 2 в соответствии с рисунком 1.

Рисунок 1 - Расчет контрольной суммы MD5 файла конфигурации проекта PLC
Таблица 2 - Идентификационные данные ПО
|
Идентификационные данные (признаки) |
Значение |
|
1 |
2 |
|
Идентификационное наименование ПО |
Проект контроллера PLC и станции визуализации: "AC2824 PCI3" |
|
Номер версии (идентификационный номер ПО) |
- |
|
Цифровой идентификатор ПО |
Для файлов конфигурации проекта «АС2824_РС13»: \AC2824_PCI\ombstx\offline\00000003\BAUSTEIN.DBT 4bl47c3439f08fl2f9342fd2c7af2ad2 \AC2824\AC2824.mcp 32ad3fc55650fa9fl628fl5e991c9bdl |
|
Алгоритм вычисления цифрового идентификатора ПО |
MD5 |
-
- в текстовом поле «Data» указать путь до файла конфигурации проекта WinCC станции визуализации;
-
- нажать кнопку «Calculate» в соответствии с рисунком 2 и сравнить полученные данные с указанными в таблице 2.

Рисунок 2 - расчет контрольной суммы MD5 файла конфигурации станции визуализации
-
8.6.4. Результат проверки положительный, если контрольные суммы файлов конфигурации проектов совпадают с приведенными в описании типа на ИУС.
-
8.6 Проверка защиты ПО от несанкционированного доступа
-
8.8.1 Проверку защиты метрологически значимой части ПО ИУС и данных от несанкционированного доступа проводят на физическом и программном уровнях.
-
8.8.2 На физическом уровне проверяют наличие замков на дверях шкафов и помещений, в которых установлены измерительные преобразователи, а так же срабатывание сигнализации при несанкционированном открывании дверей.
Результат проверки положительный, если на дверях шкафов и помещений, в которых установлены измерительные преобразователи имеются замки и срабатывает сигнализация при несанкционированном открывании дверей.
-
8.8.3 На программном уровне проверку защиты метрологически значимой части ПО и данных от несанкционированного доступа проводят следующим образом:
-
- проверяют наличие средств защиты (обнаружение и фиксацию событий в журнале сообщений);
-
- проверяют корректность реализации управления доступом пользователя к ПО и данным при вводе неправильных идентификационных данных пользователя (при вводе неверного пароля должно появиться окно с сообщением);
-
- проверяют соответствие полномочий пользователей, имеющих различные права доступа;
-
- проверяют возможность получения доступа без авторизации пользователя.
Результат проверки положительный, если осуществляется авторизованный доступ к выполнению функций ПО АРМ оператора.
-
8.7 Определение погрешности измерений и синхронизации времени
Мониторы АРМ оператора переводятся в режим индикации времени. К АРМ оператора подключают радиочасы МИР РЧ-02. В соответствии с руководством пользователя на радиочасы определяют отличие показаний.
ИУС считается прошедшей проверку, если:
-отличие показаний панелей оператора и контроллера от значения астрономического времени не превышает ± 10 с (привязка к Государственной шкале единого времени);
- расхождение текущего времени панелей оператора с показаниями контроллера не превышает ± 5с.
-
8.8 Проверка метрологических характеристик измерительных каналов ИУС
-
8.8.1 Метрологические характеристики (MX) ИК ИУС определяют расчетноэкспериментальным способом (согласно МИ 2439). Определение метрологических характеристик компонентов ИУС (измерительных преобразователей, модулей аналогового ввода контроллера) выполняют в соответствии с утвержденной методикой поверки на каждый тип средства измерения. MX измерительных каналов рассчитывают по MX компонентов ИУС в соответствии с методикой, приведенной в разделе 8.8.4 настоящей МП. Допускается не проводить расчет погрешности ИК ИУС при условии, что подтверждены MX компонентов ИК ИУС. Результаты проверки MX ИК ИУС заносят в таблицу по форме таблицы А.1 приложения А настоящей МП.
-
8.8.2 Проверка метрологических характеристик компонентов ИК ИУС
-
8.8.2.1 Метрологические характеристики измерительных и комплексных компонентов ИУС принимают равными значениям, приведенным в эксплуатационной документации (паспорт, формуляр и др.) СИ при наличии на них действующих свидетельств о поверке.
-
8.8.2.2 Значения основной погрешности компонента ИК ИУС заносят в таблицу по форме таблицы А.1 приложения А настоящей МП.
-
8.8.3 Исходные допущения для определения погрешности измерительных каналов ИУС
-
- погрешности компонентов ИУС относятся к инструментальным погрешностям;
-
- факторы, определяющие погрешность - независимы;
-
- погрешности компонентов ИУС - не коррелированны между собой;
-
- законы распределения погрешностей компонентов ИУС - равномерные.
-
8.8.4 Методика расчета метрологических характеристик ИК ИУС
Для ИК, в которых ИП являются преобразователи давления, измерительные преобразователи, газоанализаторы погрешность нормируют в приведенной форме.
Определение основной погрешности измерительного канала ИУС
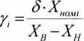
а) Границы основной приведенной погрешности ИК давления уик Осн,°/о, определяют следующим образом:
-
1) границы основной относительной погрешности ИК ж_осн, о/о определяют (в соответствии с РМГ 62), исходя из состава ИК ИУС по формуле (1)
^ик_осн ~ К ’ л/$пип +8ВП +8ПЛК +5ШГ +8ЛС , (1)
где К = 1,2;
8ПИП ~ относительная погрешность первичного преобразователя, %;
8 вп ~ относительная погрешность вторичного преобразователя, % (при наличии);
бплк - относительная погрешность PLC, %;
8алг - относительная погрешность алгоритма, % (при наличии);
8ЛС ~ относительная погрешность линии связи, % (8ЛС = О)-
Примечание - Погрешность 8ле, д определяется потерями в линиях связи. Между измерительными и комплексными компонентами линии связи (ЛС) построены из кабелей контрольных и/или кабелей управления. Параметры линий связи удовлетворяют требованиям ГОСТ 18404.0 и ГОСТ 26411. Длина линий связи небольшая, входное сопротивление контроллера велико, поэтому потери в ЛС пренебрежимо малы. Между комплексными и вычислительными компонентами построен цифровой канал связи. Применены сетевые технологии Ethernet, Profibus DP. Передача данных по каналам связи Ethernet, Profibus DP имеет класс достоверности II и относится к S1 классу организации передачи (в соответствии с ГОСТ Р МЭК 870-5-1). Погрешность линий связи во всех ИК принимаем равной нулю.
Для расчета погрешности ИК по формуле (1) погрешность компонента ИК ИУС переводят в относительную форму 8 , %, для случая ее представления в абсолютной или
приведенной формах по формуле (2)
(2)
у
ном
X X I
ном ном 1 ном
где А — пределы допускаемой абсолютной погрешности компонента ИК ИС;
у - пределы допускаемой приведенной погрешности, нормированной для разности пределов измерений компонента ИК ИУС;
Хв, Хн - верхний и нижний пределы измерений компонента ИК ИУС (в тех же единицах, что и Х„ол();
Примечание - Если приведенная погрешность у нормирована для верхнего предела измерений, то Хн = 0.
АИ0Л( - номинальное значение измеряемого параметра ФВ, для которого рассчитывается погрешность измерений;
1НОМ - номинальное значение тока, мА.
-
2) в соответствии с ГОСТ 8.508 относительную погрешность вычисляют в точках XH0Mj, соответствующих 5, 25, 50, 75 и 95 % от диапазона измерений и выбирают максимальное значение (i=l,..., 5);
-
3) для модулей аналогового ввода PLC, погрешность которых нормирована в приведенной форме, необходимо определить значение тока, соответствующего номинальному значению ХНОМ1. Расчет значения тока IHOMt, мА, соответствующего номинальному значению ХНОМ1 ФВ, проводят по формуле (3)
сигнала ноли

(3)
где DCHrHOa - разница между верхним и нижним пределами диапазона входного сигнала, мА;
АНОЛ„ - номинальное значение ФВ, в единицах измерений ФВ;
Эфд - разница между верхним и нижним пределами диапазона измерений ФВ, в единицах измерений ФВ. Числовые значения ФВ приведены в таблице А.1 приложения А настоящей МП.
Примечание - Если диапазон сигнала равен (4-20) мА, то к вычисленному по формуле (3) значению lH0Mi необходимо прибавить 4 мА.
-
4) переводят значения погрешности ИК, соответствующие пяти точкам диапазона, из относительной формы в приведенную по формуле (4)

(4)
Из пяти полученных выбирают максимальное значение и приписывают погрешности
ИК.
б) Границы основной абсолютной погрешности ИК температуры Аикосн^С, определяют исходя из состава ИК ИУС по формуле (5)
Чжос/г-Дпип+Авп+Ак+Ллс, (5)
где Дпип - абсолютная погрешность первичных измерительных преобразователей, °C; Авп - абсолютная погрешность вторичного преобразователя, °C (при наличии);
Ак - абсолютная погрешность модуля ввода-вывода контроллера, °C;
Алс- абсолютная погрешность линий связи, °C.
Для расчета погрешности ИК по формуле (5) погрешность компонента ИК ИУС переводят в абсолютную форму Д, ед. ФВ, для случая ее представления в приведенной форме по формуле (6)

в__у
100
(6)
г) Для ИК расхода, определяемого по методу переменного перепада давления, границы основной относительной погрешности ИК расхода <^д-осн,%, определяют следующим образом:
1) относительную погрешность ИК вычисляют в пяти точках диапазона измерений
расхода по формуле (7)
(7)
&ИК _ осш ~ ' уд по + дип + 8ПЛК + Злс (7)
где К = 1,2;
8ПО - относительная погрешность вычислений с помощью программного комплекса «Расходомер СТ» согласно Р50.2.002-2000, который рассчитывает предельную относительную погрешность измерений расхода, приведенного к стандартным условиям, с учетом перепада давления, характеристик диафрагмы;
2) переводят значения погрешности ИК. соответствующие пяти точкам диапазона, из относительной формы в приведенную по формуле (4). Из пяти полученных выбирают максимальное значение и приписывают погрешности ИК.
Рассчитанное (фактическое) значение погрешности ИК ИУС заносят в таблицу по форме таблицы А.1 приложения Л настоящей МИ. Значения погрешностей не должны превышать границ допускаемых погрешностей, приведенных в таблице А. I приложения А настоящей МП.
9 Оформление результатов поверки-
9.1. Результаты поверки оформляют протоколом по форме, приведенной в приложении настоящей МП.
-
9.2. При положительных результатах поверки ИУС (первичной и периодической) оформляют свидетельство о поверке по форме приложения 1 приказа Минпромторга России от 02.07.2015 № 1815. Знак поверки наносится на свидетельство о поверке ИУС в виде оттиска поверительного клейма. Состав и метрологические характеристики измерительных каналов ИУС приводят в Приложении к Свидетельству о поверке.
Примечание - Каждая страница Приложения к Свидетельству о поверке должна быть заверена подписью поверителя и оттиском поверительного клейма.
-
9.3 При положительных результатах первичной поверки (после ремонта или замены компонентов ИУС на однотипные поверенные), проведённой в объёме проверки в части вносимых изменений, оформляют новое свидетельство о поверке ИУС и в новом приложении прописывают новый состав и метрологические характеристики измерительных каналов ИУС, без изменения даты очередной поверки. Новое свидетельство о поверке должно содержать ссылку на оригинал, который оно заменяет.
-
9.4 Отрицательные результаты поверки оформляются в соответствии с приложением 2 приказа Минпромторга России от 02.07.2015 № 1815. Измерительные каналы ИУС, прошедшие поверку с отрицательным результатом, не допускаются к использованию.
Начальник отдела электрических радио-технических средств измерений ФБУ «КЦСМ» НФ

Разработали
Инженера по метрологии 1 категории отдела электрических радио-технических средств измерений
ФБУ «КЦСМ» НФ ______ДА
Е. Л. Жукова
Приложение А
(обязательное)
Метрологические характеристики измерительных каналов ИУС
Таблица А.1- Метрологические характеристики измерительных каналов ИУС
|
№ ИК |
Наименование ИК |
Диапазон измерений физической величины, ед. измерений |
Параметры нормального (технологического) режима |
СИ, входящие в состав ИК ИУС |
Основная погрешность ИК | ||||
|
Наименование, тип СИ |
№ в Гос. реестре СИ |
Пределы допускаемой основной погрешности компонента ИК |
Пределы допускаемой дополнительной погрешности компонента ИК |
фактическая |
Пределы допускаемой погрешности | ||||
|
1 |
2 |
3 |
4 |
5 |
6 |
7 |
8 |
9 |
10 |
|
1 |
Давление азота в общей линии. Датчик № 1 |
от 0 до 7 бар |
от 0 до 7 бар |
Преобразователь давления измерительный Sitrans Р DSIII 7MF4033 |
30883-05 |
у=±0,25 % |
у=±0,25 %/10 °C |
у=±0,6 % | |
|
Измерительный модуль 6ES7 331-7KF02-OABO (далее- модуль 6ES7 331-7KF02-OABO) |
15772-11 |
у=+0,5 % |
у=±0,7 % | ||||||
|
2 |
Давление азота в общей линии. Датчик № 2 |
от 0 до 7 бар |
от 0 до 7 бар |
Преобразователь давления измерительный Sitrans Р DSIII 7MF4033 |
30883-05 |
у=±0,25 % |
у=±0,25 %/10 °C |
у=±0,6 % | |
|
Модуль 6ES7 331-7KF02-OABO |
15772-11 |
у=±0,5 % |
у=±0,7 % | ||||||
|
3 |
Давление азота в технологической линии. Датчик № 1 |
от 0 до 20 бар |
от 0 до 20 бар |
Преобразователь давления измерительный Sitrans Р DSIII 7MF4033 |
30883-05 |
у=±0,25 % |
у=±0,25 %/10 °C |
у=±0,6 % | |
|
Модуль 6ES7 331-7KF02-OABO |
15772-11 |
у=±0,5 % |
у=±0,7 % | ||||||
|
1 |
2 |
3 |
4 |
5 |
6 |
7 |
8 |
9 |
10 |
|
4 |
Температура азота в технологической линии. Датчик № 1 |
от минус 20 до плюс 50 °C |
от минус 20 до плюс 50 °C |
Преобразователь измерительный SITRANS Т мод. ТН200 |
45822-10 |
Д=±0,11 °C |
у=±0,1 %/Ю °C |
Д=±0,5 °C | |
|
Модуль 6ES7 331- 7KF02-OABO |
15772-11 |
у=±0,5 % |
у=±0,7 % | ||||||
|
5 |
Давление азота в технологической линии. Датчик № 2 |
от 0 до 20 бар |
от 0 до 20 бар |
Преобразователь давления измерительный Sitrans Р DSIII 7MF4033 |
30883-05 |
у=±0,25 % |
у=±0,25 %/10 °C |
у=±0,6 % | |
|
Модуль 6ES7 331-7KF02-OABO |
15772-11 |
у=±0,5 % |
у=±0,7 % | ||||||
|
6 |
Давление ресивера азота в резервуаре доменной печи №3 |
от 0 до 20 бар |
от 0 до 20 бар |
Преобразователь давления измерительный Sitrans Р DSIII 7MF4033 |
30883-05 |
у=±0,25 % |
у=±0,25 %/10 °C |
у=±0,6 % | |
|
Модуль 6ES7 331- 7KF02-OABO |
15772-11 |
у=±0,5 % |
у=±0,7 % | ||||||
|
7 |
Температура азота в технологической линии. Датчик № 2 |
от минус 20 до плюс 50 °C |
от минус 20 до плюс 50 °C |
Преобразователь измерительный SITRANS Т мод. ТН200 |
45822-10 |
Д=±0,11 °C |
у=±0,1 %/Ю °C |
Д=±0,5 °C | |
|
Модуль 6ES7 331-7KF02-OABO |
15772-11 |
у=±0,5 % |
у=±0,7 % | ||||||
|
8 |
Давление пылеугольного топлива в инжекционном бункере № 1 |
от 0 до 20 бар |
от 0 до 20 бар |
Преобразователь давления измерительный Sitrans Р DSIII 7MF4033 |
30883-05 |
у=±0,25 % |
у=±0,25 %/Ю °C |
у=±0,6 % | |
|
Модуль 6ES7 331-7KF02-OABO |
15772-11 |
у=±0,5 % |
у=±0,7 % |
|
1 |
2 |
3 |
4 |
5 |
6 |
7 |
8 |
9 |
10 |
|
9 |
Перепад давления азота в инжекционном бункере № 1 |
от 0 до 250 мбар |
от 0 до 250 мбар |
Преобразователь давления измерительный Sitrans Р DSIII 7MF4433 |
30883-05 |
у=±0,25 % |
у=±0,25 %/10 °C |
у=±0,6 % | |
|
Модуль 6ES7 331-7KF02-OABO |
15772-11 |
у=+0,5 % |
у=±0,7 % | ||||||
|
10 |
Давление азота аварийной инертизации в бункере хранения пылеугольного топлива |
от 0 до 20 бар |
от 0 до 20 бар |
Преобразователь давления измерительный Sitrans Р DSIII 7MF4033 |
30883-05 |
у=±0,25 % |
у=±0,25 %/10 °C |
у=±0,6 % | |
|
Модуль 6ES7 331-7KF02-OABO |
15772-11 |
у=±0,5 % |
у=±0,7 % | ||||||
|
11 |
Давление пылеугольного топлива в инжекционном бункере № 2 |
от 0 до 20 бар |
от 0 до 20 бар |
Преобразователь давления измерительный Sitrans Р DSIII 7MF4033 |
30883-05 |
у=±0,25 % |
у=±0,25 %/10 °C |
у=±0,6 % | |
|
Модуль 6ES7 331-7KF02-OABO |
15772-11 |
у=±0,5 % |
у=±0,7 % | ||||||
|
12 |
Перепад давления азота в инжекционном бункере № 2 |
от 0 до 250 мбар |
от 0 до 250 мбар |
Преобразователь давления измерительный Sitrans Р DSIII 7MF4433 |
30883-05 |
у=±0,25 % |
у=±0,25 %/10 °C |
у=±0,6 % | |
|
Модуль 6ES7 331-7KF02-OABO |
15772-11 |
у=±0,5 % |
у=±0,7 % | ||||||
|
13 |
Давление пылеугольного топлива в инжекционном бункере № 3 |
от 0 до 20 бар |
от 0 до 20 бар |
Преобразователь давления измерительный Sitrans Р DSIII 7MF4033 |
30883-05 |
у=±0,25 % |
у=±0,25 %/10 °C |
у=±0,6 % | |
|
Модуль 6ES7 331-7KF02-OABO |
15772-11 |
у=±0,5 % |
у=+0,7 % |
|
1 |
2 |
3 |
4 |
5 |
6 |
7 |
8 |
9 |
10 |
|
14 |
Перепад давления азота в инжекционном бункере № 3 |
от 0 до 250 мбар |
от 0 до 250 мбар |
Преобразователь давления измерительный Sitrans Р DSIII 7MF4433 |
30883-05 |
у=±0,25 % |
у=±0,25 %/10 °C |
у=±0,6 % | |
|
Модуль 6ES7 331-7K.F02-OABO |
15772-11 |
у=±0,5 % |
у=±0,7 % | ||||||
|
15 |
Давление азота в первой камере смешения транспортной линии |
от 0 до 25 бар |
от 0 до 25 бар |
Преобразователь давления измерительный Sitrans Р DSIII 7MF4033 |
30883-05 |
у=±0,25 % |
у=±0,25 %/10 °C |
у=±0,6 % | |
|
Модуль 6ES7 331- 7KF02-OABO |
15772-11 |
у=±0,5 % |
у=±0,7 % | ||||||
|
16 |
Температура азота в первой камере смешения транспортной линии |
от минус 20 до плюс 50 °C |
от минус 20 до плюс 50 °C |
Преобразователь измерительный SITRANS Т мод. ТН200 |
45822-10 |
Д=±0,11 °C |
у=±0,1 %/10 °C |
Д=±0,5 °C | |
|
Модуль 6ES7 331-7KF02-OABO |
15772-11 |
у=±0,5 % |
у=±0,7 % | ||||||
|
17 |
Расход азота в первой камере смешения. Датчик № 1 |
от 0 до 3200 м3/ч |
от 0 до 3200 м3/ч |
Преобразователь давления измерительный Sitrans Р DSII1 7MF4433 |
30883-05 |
у=±0,25 % |
у=±0,25 %/10 °C |
у=±5,7 % | |
|
Модуль 6ES7 331- 7KF02-OABO |
15772-11 |
у=±0,5 % |
у=±0,7 % | ||||||
|
18 |
Расход азота в первой камере смешения. Датчик № 2 |
от 0 до 3200 м3/ч |
от 0 до 3200 м3/ч |
Преобразовател ь давления измерительный Sitrans Р DSIII 7MF4433 |
30883-05 |
у=±0,25 % |
у=±0,25 %/10 °C |
у=±5,7 % | |
|
Модуль 6ES7 331-7KF02-OABO |
15772-11 |
у=±0,5 % |
у=±0,7 % |
|
1 |
2 |
3 |
4 |
5 |
6 |
7 |
8 |
9 |
10 |
|
19 |
Давление пылеугольного топлива в транспортной линии. Датчик № 1 |
от 0 до 25 бар |
от 0 до 25 бар |
Преобразователь давления измерительный Sitrans Р DSIII 7MF4033 |
30883-05 |
у=±0,25 % |
у=±0,25 %/10 °C |
у=±0,6 % | |
|
Модуль 6ES7 331-7KF02-OABO |
15772-11 |
у=±0,5 % |
у=±0,7 % | ||||||
|
20 |
Давление пылеугольного топлива в транспортной линии. Датчик № 2 |
от 0 до 25 бар |
от 0 до 25 бар |
Преобразователь давления измерительный Sitrans Р DSIII 7MF4033 |
30883-05 |
у=±0,25 % |
у=±0,25 %/10 °C |
у=±0,6 % | |
|
Модуль 6ES7 331-7K.F02-OABO |
15772-11 |
у=±0,5 % |
у=±0,7 % | ||||||
|
21 |
Давление пылеугольного топлива на входе в транспортную линию |
от 0 до 25 бар |
от 0 до 25 бар |
Преобразователь давления измерительный Sitrans Р DSIII 7MF4033 |
30883-05 |
у=±0,25 % |
у=±0,25 %/10 °C |
у=±0,6 % | |
|
Модуль 6ES7 331-7KF02-OABO |
15772-11 |
у=±0,5 % |
у=±0,7 % | ||||||
|
22 |
Температура пылеугольного топлива в бункере хранения. Датчик № 1 |
от 0 до плюс 150 °C |
от 0 до плюс 150 °C |
Преобразователь измерительный SITRANS Т мод. ТН200 |
45822-10 |
Д=±0,11 °C |
у=±0,1 %/10 °C |
Д=±0,9 °C | |
|
Модуль 6ES7 331-7KF02-OABO |
15772-11 |
у=±0,5 % |
у=±0,7 % | ||||||
|
23 |
Температура пылеугольного топлива в бункере хранения. Датчик № 2 |
от 0 до плюс 150 °C |
от 0 до плюс 150 °C |
Преобразователь измерительный SITRANS Т мод. ТН200 |
45822-10 |
Д=±0,11 °C |
у=±0,1 %/10 °C |
Д=±0,9 °C | |
|
Модуль 6ES7 331-7KF02-OABO |
15772-11 |
у=±0,5 % |
у=±0,7 % |
|
1 |
2 |
3 |
4 |
5 |
6 |
7 |
8 |
9 |
10 |
|
24 |
Содержание кислорода в бункере хранения пылеугольного топлива. Датчик № 1 |
от 0 до 25 % |
от 0 до 25 % |
Газоанализатор Ultramat /Охуmat 61 |
24802-11 |
у=±2 % |
у=±1 %/10 °C |
у=±2,4 % | |
|
Модуль 6ES7 331-7KF02-OABO |
15772-11 |
у=±0,5 % |
у=±0,7 % | ||||||
|
25 |
Содержание кислорода в бункере хранения пылеугольного топлива. Датчик № 2 |
от 0 до 25 % |
от 0 до 25 % |
Газоанализатор Ultramat /Oxymat 61 |
24802-11 |
у=±2 % |
у=±1 %/10 °C |
у=±2,4 % | |
|
Модуль 6ES7 331-7KF02-OABO |
15772-11 |
у=±0,5 % |
у=±0,7 % | ||||||
|
26 |
Перепад давления между рукавным фильтром сброса давления и бункером хранения угольной пыли |
от 0 до 60 мбар |
от 0 до 60 мбар |
Преобразователь давления измерительный Sitrans Р DSII1 7MF4433 |
30883-05 |
у=±0,25 % |
у=±0,25 %/10 °C |
у=±0,6 % | |
|
Модуль 6ES7 331-7KF02-OABO |
15772-11 |
у=±0,5 % |
у=±0,7 % | ||||||
|
27 |
Перепад давления между рукавным фильтром наполнения и бункером хранения угольной пыли |
от 0 до 60 мбар |
от 0 до 60 мбар |
Преобразователь давления измерительный Sitrans Р DSII1 7MF4433 |
30883-05 |
у=±0,25 % |
у=±0,25 %/10 °C |
у=±0,6 % | |
|
Модуль 6ES7 331-7KF02-OABO |
15772-11 |
у=±0,5 % |
у=±0,7 % | ||||||
|
28 |
Давление пылеугольного топлива в транспортной линии. Датчик № 3 |
от 0 до 25 бар |
от 0 до 25 бар |
Преобразователь давления измерительный Sitrans Р DSIII 7MF4033 |
30883-05 |
у=±0,25 % |
у=±0,25 %/10 °C |
у=±0,6 % | |
|
Модуль 6ES7 331-7KF02-OABO |
15772-11 |
у=±0,5 % |
у=±0,7 % |
|
1 |
2 |
3 |
4 |
5 |
6 |
7 |
8 |
9 |
10 |
|
29 |
Давление пылеугольного топлива в транспортной линии. Датчик № 4 |
от 0 до 25 бар |
от 0 до 25 бар |
Преобразователь давления измерительный Sitrans Р DSIII 7MF4033 |
30883-05 |
у=±0,25 % |
у=±0,25 %/10 °C |
у=±0,6 % | |
|
Модуль 6ES7 331-7KF02-OABO |
15772-11 |
у=±0,5 % |
у=±0,7 % | ||||||
|
30 |
Температура азота во второй камере смешения транспортной линии |
от минус 20 до плюс 50 °C |
от минус 20 до плюс 50 °C |
Преобразователь измерительный SITRANS Т мод. ТН200 |
45822-10 |
Д=±0,11 °C |
у=±0,1 %/10 °C |
Д=±0,5 °C | |
|
Модуль 6ES7 331-7KF02-OABO |
15772-11 |
у=±0,5 % |
у=±0,7 % | ||||||
|
31 |
Давление азота во второй камере смешения транспортной линии |
от 0 до 25 бар |
от 0 до 25 бар |
Преобразователь давления измерительный Sitrans Р DSIII 7MF4033 |
30883-05 |
у=±0,25 % |
у=±0,25 %/10 °C |
у=±0,6 % | |
|
Модуль 6ES7 331-7KF02-OABO |
15772-11 |
у=±0,5 % |
у=±0,7 % | ||||||
|
32 |
Расход азота в первой камере смешения. Датчик № 1 |
от 0 до 3200 м3/ч |
от 0 до 3200 м3/ч |
Преобразователь давления измерительный Sitrans Р DSIII 7MF4433 |
30883-05 |
у=±0,25 % |
у=±0,25 %/10 °C |
у=±5,7 % | |
|
Модуль 6ES7 331-7KF02-OABO |
15772-11 |
у=±0,5 % |
у=±0,7 % | ||||||
|
33 |
Расход азота в первой камере смешения. Датчик № 2 |
от 0 до 3200 м3/ч |
от 0 до 3200 м3/ч |
Преобразователь давления измерительный Sitrans Р DSIII 7MF4433 |
30883-05 |
у=±0,25 % |
у=±0,25 %/10 °C |
у=±5,7 % | |
|
Модуль 6ES7 331- 7KF02-OABO |
15772-11 |
у=±0,5 % |
у=±0,7 % |
|
1 |
2 |
3 |
4 |
5 |
6 |
7 |
8 |
9 |
10 |
|
34 |
Давление пылеугольного топлива в распределителе. Датчик № 1 |
от 0 до 25 бар |
от 0 до 25 бар |
Преобразователь давления измерительный Sitrans Р DSIII 7MF4033 |
30883-05 |
у=±0,25 % |
у=±0,25 %/10 °C |
у=±0,6 % | |
|
Модуль 6ES7 331-7KF02-OABO |
15772-11 |
у=±0,5 % |
у=±0,7 % | ||||||
|
35 |
Давление пылеугольного топлива в распределителе. Датчик № 2 |
от 0 до 25 бар |
от 0 до 25 бар |
Преобразователь давления измерительный Sitrans Р DSIII 7MF4033 |
30883-05 |
у=±0,25 % |
у=±0,25 %/10 °C |
у=±0,6 % | |
|
Модуль 6ES7 331-7KF02-OABO |
15772-11 |
у=±0,5 % |
у=±0,7 % | ||||||
|
36 |
Перепад давления между трубопроводом горячего дутья и инжекционной линией вдувания ПУТ на фурму № 1 |
от 0 до 150 мбар |
от 0 до 150 мбар |
Преобразователь давления измерительный Sitrans Р DSIII 7MF4433 |
30883-05 |
у=±0,25 % |
у=±0,25 %/10 °C |
у=±0,6 % | |
|
Модуль 6ES7 331-7K.F02-OABO |
15772-11 |
у=±0,5 % |
у=±0,7 % | ||||||
|
37 |
Перепад давления между трубопроводом горячего дутья и инжекционной линией вдувания ПУТ на фурму №5 |
от 0 до 150 мбар |
от 0 до 150 мбар |
Преобразователь давления измерительный Sitrans Р DSIII 7MF4433 |
30883-05 |
у=±0,25 % |
у=±0,25 %/10 °C |
у=±0,6 % | |
|
Модуль 6ES7 331-7KF02-OABO |
15772-11 |
у=±0,5 % |
у=±0,7 % |
|
1 |
2 |
3 |
4 |
5 |
6 |
7 |
8 |
9 |
10 |
|
38 |
Перепад давления между трубопроводом горячего дутья и инжекционной линией вдувания ПУТ на фурму №9 |
от 0 до 150 мбар |
от 0 до 150 мбар |
Преобразователь давления измерительный Sitrans Р DSIII 7MF4433 |
30883-05 |
у=±0,25 % |
у=±0,25 %/10 °C |
у=±0,6 % | |
|
Модуль 6ES7 331-7KF02-OABO |
15772-11 |
у=±0,5 % |
у=±0,7 % | ||||||
|
39 |
Перепад давления между трубопроводом горячего дутья и инжекционной линией вдувания ПУТ на фурму № 12 |
от 0 до 150 мбар |
от 0 до 150 мбар |
Преобразователь давления измерительный Sitrans Р DSIII 7MF4433 |
30883-05 |
у=±0,25 % |
у=±0,25 %/10 °C |
у=±0,6 % | |
|
Модуль 6ES7 331-7KF02-OABO |
15772-11 |
у=±0,5 % |
у=±0,7 % | ||||||
|
40 |
Перепад давления между трубопроводом горячего дутья и инжекционной линией вдувания ПУТ на фурму № 17 |
от 0 до 150 мбар |
от 0 до 150 мбар |
Преобразователь давления измерительный Sitrans Р DSIII 7MF4433 |
30883-05 |
у=±0,25 % |
у=±0,25 %/10 °C |
у=±0,6 % | |
|
Модуль 6ES7 331-7KF02-OABO |
15772-11 |
у=±0,5 % |
у=±0,7 % | ||||||
|
41 |
Перепад давления между трубопроводом горячего дутья и инжекционной линией вдувания ПУТ на фурму №21 |
от 0 до 150 мбар |
от 0 до 150 мбар |
Преобразователь давления измерительный Sitrans Р DSIII 7MF4433 |
30883-05 |
у=±0,25 % |
у=±0,25 %/10 °C |
у=±0,6 % | |
|
Модуль 6ES7 331-7KF02-OABO |
15772-11 |
у=±0,5 % |
у=±0,7 % |
|
1 |
2 |
3 |
4 |
5 |
6 |
7 |
8 |
9 |
10 |
|
42 |
Перепад давления между трубопроводом горячего дутья и инжекционной линией вдувания ПУТ на фурму №25 |
от 0 до 150 мбар |
от 0 до 150 мбар |
Преобразователь давления измерительный Sitrans Р DS1II 7MF4433 |
30883-05 |
у=±0,25 % |
у=±0,25 %/10 °C |
у=±0,6 % | |
|
Модуль 6ES7 331-7KF02-OABO |
15772-11 |
у=±0,5 % |
у=±0,7 % | ||||||
|
43 |
Давление горячего дутья в доменную печь №3 |
от 0 до 5,8 бар |
от 0 до 5,8 бар |
Преобразователь давления измерительный Sitrans Р DSIII 7MF1564 |
30883-05 |
у=±0,25 % |
у=±0,25 % |
у=±0,6 % | |
|
Модуль 6ES7 331-7KF02-OABO |
15772-11 |
у=±0,5 % |
у=±0,7 % | ||||||
|
44 |
Перепад давления между трубопроводом горячего дутья и инжекционной линией вдувания ПУТ на фурму №2 |
от 0 до 150 мбар |
от 0 до 150 мбар |
Преобразователь давления измерительный Sitrans Р DSIII 7MF4433 |
30883-05 |
у=±0,25 % |
у=±0,25 %/10 °C |
у=±0,6 % | |
|
Модуль 6ES7 331- 7KF02-OABO |
15772-11 |
у=±0,5 % |
у=±0,7 % | ||||||
|
45 |
Перепад давления между трубопроводом горячего дутья и инжекционной линией вдувания ПУТ на фурму №6 |
от 0 до 150 мбар |
от 0 до 150 мбар |
Преобразователь давления измерительный Sitrans Р DSIII 7MF4433 |
30883-05 |
у=±0,25 % |
у=±0,25 %/10 °C |
у=±0,6 % | |
|
Модуль 6ES7 331- 7KF02-OABO |
15772-11 |
у=±0,5 % |
у=±0,7 % |
|
1 |
2 |
3 |
4 |
5 |
6 |
7 |
8 |
9 |
10 |
|
46 |
Перепад давления между трубопроводом горячего дутья и инжекционной линией вдувания ПУТ на фурму № 10 |
от 0 до 150 мбар |
от 0 до 150 мбар |
Преобразователь давления измерительный Sitrans Р DSIII 7MF4433 |
30883-05 |
у=+0,25 % |
у=±0,25 %/10 °C |
у=±0,6 % | |
|
Модуль 6ES7 331-7KF02-OABO |
15772-11 |
у=±0,5 % |
у=±0,7 % | ||||||
|
47 |
Перепад давления между трубопроводом горячего дутья и инжекционной линией вдувания ПУТ на фурму № 14 |
от 0 до 150 мбар |
от 0 до 150 мбар |
Преобразователь давления измерительный Sitrans Р DSIII 7MF4433 |
30883-05 |
у=±0,25 % |
у=±0,25 %/10 °C |
у=±0,6 % | |
|
Модуль 6ES7 331-7KF02-OABO |
15772-11 |
у=+0,5 % |
у=±0,7 % | ||||||
|
48 |
Перепад давления между трубопроводом горячего дутья и инжекционной линией вдувания ПУТ на фурму №18 |
от 0 до 150 мбар |
от 0 до 150 мбар |
Преобразователь давления измерительный Sitrans Р DSIII 7MF4433 |
30883-05 |
у=±0,25 % |
у=±0,25 %/10 °C |
у=±0,6 % | |
|
Модуль 6ES7 331-7KF02-OABO |
15772-11 |
у=±0,5 % |
у=±0,7 % | ||||||
|
49 |
Перепад давления между трубопроводом горячего дутья и инжекционной линией вдувания ПУТ на фурму №22 |
от 0 до 150 мбар |
от 0 до 150 мбар |
Преобразователь давления измерительный Sitrans Р DSIII 7MF4433 |
30883-05 |
у=±0,25 % |
у=±0,25 %/10 °C |
у=±0,6 % | |
|
Модуль 6ES7 331- 7KF02-OABO |
15772-11 |
у=±0,5 % |
у=±0,7 % |
|
1 |
2 |
3 |
4 |
5 |
6 |
7 |
8 |
9 |
10 |
|
50 |
Перепад давления между трубопроводом горячего дутья и инжекционной линией вдувания ПУТ на фурму №26 |
от 0 до 150 мбар |
от 0 до 150 мбар |
Преобразователь давления измерительный Sitrans Р DSIII 7MF4433 |
30883-05 |
у=±0,25 % |
у=±0,25 %/10 °C |
у=±0,6 % | |
|
Модуль 6ES7 331-7KF02-OABO |
15772-11 |
у=±0,5 % |
у=±0,7 % | ||||||
|
51 |
Перепад давления между трубопроводом горячего дутья и инжекционной линией вдувания ПУТ на фурму №3 |
от 0 до 150 мбар |
от 0 до 150 мбар |
Преобразователь давления измерительный Sitrans Р DSIII 7MF4433 |
30883-05 |
у=±0,25 % |
у=±0,25 %/10 °C |
у=±0,6 % | |
|
Модуль 6ES7 331- 7KF02-OABO |
15772-11 |
у=±0,5 % |
у=±0,7 % | ||||||
|
52 |
Перепад давления между трубопроводом горячего дутья и инжекционной линией вдувания ПУТ на фурму №7 |
от 0 до 150 мбар |
от 0 до 150 мбар |
Преобразователь давления измерительный Sitrans Р DSIII 7MF4433 |
30883-05 |
у=±0,25 % |
у=±0,25 %/10 °C |
у=±0,6 % | |
|
Модуль 6ES7 331- 7KF02-OABO |
15772-11 |
у=±0,5 % |
у=±0,7 % | ||||||
|
53 |
Перепад давления между трубопроводом горячего дутья и инжекционной линией вдувания ПУТ на фурму № 11 |
от 0 до 150 мбар |
от 0 до 150 мбар |
Преобразователь давления измерительный Sitrans Р DSIII 7MF4433 |
30883-05 |
у=±0,25 % |
у=±0,25 %/10 °C |
у=±0,6 % | |
|
Модуль 6ES7 331- 7KF02-OABO |
15772-11 |
у=±0,5 % |
у=±0,7 % |
|
1 |
2 |
3 |
4 |
5 |
6 |
7 |
8 |
9 |
10 |
|
54 |
Перепад давления между трубопроводом горячего дутья и инжекционной линией вдувания ПУТ на фурму № 15 |
от 0 до 150 мбар |
от 0 до 150 мбар |
Преобразователь давления измерительный Sitrans Р DSIII 7MF4433 |
30883-05 |
у=±0,25 % |
у=±0,25 %/10 °C |
у=±0,6 % | |
|
Модуль 6ES7 331- 7KF02-OABO |
15772-11 |
у=±0,5 % |
у=±0,7 % | ||||||
|
55 |
Перепад давления между трубопроводом горячего дутья и инжекционной линией вдувания ПУТ на фурму № 19 |
от 0 до 150 мбар |
от 0 до 150 мбар |
Преобразователь давления измерительный Sitrans Р DSIII 7MF4433 |
30883-05 |
у=+0,25 % |
у=±0,25 %/10 °C |
у=±0,6 % | |
|
Модуль 6ES7 331-7KF02-OABO |
15772-11 |
у=±0,5 % |
у=±0,7 % | ||||||
|
56 |
Перепад давления между трубопроводом горячего дутья и инжекционной линией вдувания ПУТ на фурму №23 |
от 0 до 150 мбар |
от 0 до 150 мбар |
Преобразователь давления измерительный Sitrans Р DSIII 7MF4433 |
30883-05 |
у=±0,25 % |
у=±0,25 %/10 °C |
у=±0,6 % | |
|
Модуль 6ES7 331-7KF02-OABO |
15772-11 |
у=±0,5 % |
у=±0,7 % | ||||||
|
57 |
Перепад давления между трубопроводом горячего дутья и инжекционной линией вдувания ПУТ на фурму №27 |
от 0 до 150 мбар |
от 0 до 150 мбар |
Преобразователь давления измерительный Sitrans Р DSIII 7MF4433 |
30883-05 |
у=±0,25 % |
у=±0,25 %/10 °C |
у=±0,6 % | |
|
Модуль 6ES7 331-7KF02-OABO |
15772-11 |
у=±0,5 % |
у=±0,7 % |
|
1 |
2 |
3 |
4 |
5 |
6 |
7 |
8 |
9 |
10 |
|
58 |
Перепад давления между трубопроводом горячего дутья и инжекционной линией вдувания ПУТ на фурму №4 |
от 0 до 150 мбар |
от 0 до 150 мбар |
Преобразователь давления измерительный Sitrans Р DSIII 7MF4433 |
30883-05 |
у=±0,25 % |
у=±0,25 %/10 °C |
у=±0,6 % | |
|
Модуль 6ES7 331-7KF02-OABO |
15772-11 |
у=±0,5 % |
у=±0,7 % | ||||||
|
59 |
Перепад давления между трубопроводом горячего дутья и инжекционной линией вдувания ПУТ на фурму № 8 |
от 0 до 150 мбар |
от 0 до 150 мбар |
Преобразователь давления измерительный Sitrans Р DSIII 7MF4433 |
30883-05 |
у=±0,25 % |
у=±0,25 %/10 °C |
у=±0,6 % | |
|
Модуль 6ES7 331-7KF02-OABO |
15772-11 |
у=±0,5 % |
у=±0,7 % | ||||||
|
60 |
Перепад давления между трубопроводом горячего дутья и инжекционной линией вдувания ПУТ на фурму № 13 |
от 0 до 150 мбар |
от 0 до 150 мбар |
Преобразователь давления измерительный Sitrans Р DSIII 7MF4433 |
30883-05 |
у=±0,25 % |
у=±0,25 %/10 °C |
у=±0,6 % | |
|
Модуль 6ES7 331-7KF02-OABO |
15772-11 |
у=±0,5 % |
у=±0,7 % | ||||||
|
61 |
Перепад давления между трубопроводом горячего дутья и инжекционной линией вдувания ПУТ на фурму № 16 |
от 0 до 150 мбар |
от 0 до 150 мбар |
Преобразователь давления измерительный Sitrans Р DSIII 7MF4433 |
30883-05 |
у=±0,25 % |
у=±0,25 %/10 °C |
у=±0,6 % | |
|
Модуль 6ES7 331-7KF02-OABO |
15772-11 |
у=±0,5 % |
у=±0,7 % |
|
1 |
2 |
3 |
4 |
5 |
6 |
7 |
8 |
9 |
10 |
|
62 |
Перепад давления между трубопроводом горячего дутья и инжекционной линией вдувания ПУТ на фурму №20 |
от 0 до 150 мбар |
от 0 до 150 мбар |
Преобразователь давления измерительный Sitrans Р DSIII 7MF4433 |
30883-05 |
у=±0,25 % |
у=±0,25 %/10 °C |
у=±0,6 % | |
|
Модуль 6ES7 331-7KF02-OABO |
15772-11 |
у=±0,5 % |
у=±0,7 % | ||||||
|
63 |
Перепад давления между трубопроводом горячего дутья и инжекционной линией вдувания ПУТ на фурму №24 |
от 0 до 150 мбар |
от 0 до 150 мбар |
Преобразователь давления измерительный Sitrans Р DSIII 7MF4433 |
30883-05 |
у=±0,25 % |
у=±0,25 %/10 °C |
у=±0,6 % | |
|
Модуль 6ES7 331- 7KF02-OABO |
15772-11 |
у=±0,5 % |
у=±0,7 % | ||||||
|
64 |
Перепад давления между трубопроводом горячего дутья и инжекционной линией вдувания ПУТ на фурму №28 |
от 0 до 150 мбар |
от 0 до 150 мбар |
Преобразователь давления измерительный Sitrans Р DSIII 7MF4433 |
30883-05 |
у=±0,25 % |
у=±0,25 %/10 °C |
у=±0,6 % | |
|
Модуль 6ES7 331-7KF02-OABO |
15772-11 |
у=±0,5 % |
у=±0,7 % |
Примечания
-
1 А - абсолютная погрешность; у - приведенная погрешность верхнему значению диапазона измерения;
-
2 при замене измерительных компонентов на однотипные, собственником ИУС должен быть оформлен акт об изменениях, внесенных в
ИУС, являющийся неотъемлемой частью описания типа ИУС для Госреестра средств измерений;
-
3 допускается применение измерительных преобразователей аналогичных типов, внесенных в Госреестр РФ с аналогичными техническими и метрологическими характеристиками.
Приложение Б
(рекомендованная)
Образец оформления протокола поверки
ПРОТОКОЛ ПОВЕРКИ
№____от«____»______20___г.
Средство измерений (СИ)_______________________________________________________
наименование, тип
заводской номер (номера)________________________________________________________
поверено в соответствии с________________________________________________________
наименование и номер документа на методику поверки
с применением эталонов:_______________________________________________________
наименование, заводской номер, разряд, класс или погрешность
при следующих значениях влияющих факторов:
-
- температура окружающего воздуха__________°C;
-атмосферное давление_________кПа.;
-
- относительная влажность _________%;
-
- напряжение питания ______В;
-частота _____Гц.
Результаты операций поверки:
-
1 Рассмотрение документации_____________________
-
2 Внешний осмотр_______________________
-
3 Проверка сопротивления защитного заземления______________
-
4 Проверка условий эксплуатации компонентов ИУС_____________
-
5 Опробование________________________
-
6 Проверка идентификационных данных ПО_______________
-
7 Проверка защиты ПО от несанкционированного доступа___________
-
8 Определение погрешности синхронизации и измерений времени_________
-
9 Проверка метрологических характеристик измерительных каналов ИУС
Результаты проверки метрологических характеристик измерительных каналов ИУС представлены в таблице по форме таблицы А. 1 приложения А настоящей МП.
Заключение СИ (не) соответствует метрологическим требованиям_________________
Поверитель
Приложение В
(справочное)
Перечень ссылочных нормативных документов
ГОСТ 8.508-84 ГСИ. Метрологические характеристики средств измерений и точностные характеристики средств автоматизации ГСП. Общие методы оценки и контроля ГОСТ 18404.0-78 Кабели управления. Общие технические условия
ГОСТ 26411-85 Кабели контрольные. Общие технические условия
ГОСТ Р МЭК 870-5-1-95 Устройства и системы телемеханики. Часть 5. Протоколы передачи. Раздел 1. Форматы передаваемых кадров
РМГ 62-2003 ГСИ. Обеспечение эффективности измерений при управлении технологическими процессами. Оценивание погрешности измерений при ограниченной исходной информации
ПР 50.2.006-94 ГСИ. Порядок проведения поверки средств измерений
МИ 2439-97ГСИ. Метрологические характеристики измерительных систем.
Номенклатура. Принципы регламентации, определения и контроля
ГОСТ 2.601-2006 ЕСКД. Эксплуатационные документы
ГОСТ 2.610-2006 ЕСКД. Правила выполнения эксплуатационных документов
ГОСТ 8.417-2002 ГСИ. Единицы величин
ГОСТ 6651-2009 ГСИ. Термопреобразователи сопротивления из платины, меди и никеля. Общие технические требования и методы испытаний
ГОСТ 8.009-84 ГСИ. Нормируемые метрологические характеристики средств измерений
ГОСТ Р 8.596-2002 ГСИ. Метрологическое обеспечение измерительных систем.
Основные положения
ГОСТ Р 8.654-2015 ГСИ. Требования к программному обеспечению средств измерений.
Основные положения
РМГ 29-99 ГСИ. Метрология. Основные термины и определения
РМГ 51-2002 ГСИ. Документы на методики поверки средств измерений. Основные положения
РМГ 74-2004 ГСИ. Методы определения межповерочных и межкалибровочных интервалов средств измерений
МИ 2440-97 ГСИ. Методы экспериментального определения и контроля характеристик погрешности измерительных каналов измерительных систем и измерительных комплексов
Р 50.2.077-2014 ГСОЕИ. Испытания средств измерений в целях утверждения типа. Проверка защиты программного обеспечения
МИ 3290-2010 ГСИ. Рекомендация по подготовке, оформлению и рассмотрению материалов испытаний средств измерений в целях утверждения типа
Лист регистрации изменений
|
Номер измене ния |
Номер извещения об измене нии |
I |
омера листов |
Всего листов (после изменения) |
Дата измене ния |
ФИО ответственного за внесение изменения |
Подпись | ||
|
измененных |
замененных |
новых |
аннули рованных | ||||||
|
1 |
2 |
3 |
4 |
5 |
6 |
7 |
8 |
9 |
10 |
