Методика поверки «Датчики давления АДТ» (МП МЦКЛ.0203)
УТВЕРЖДАЮ

директор
«МЦЭ»
А.В. Федоров
2016 г.
Москва 2016 г.
СОДЕРЖАНИЕ
ПРИЛОЖЕНИЕ А. Схемы подключения датчиков при поверке
ПРИЛОЖЕНИЕ Б. Зависимость выходного сигнала постоянного тока
от входной измеряемой величины
ПРИЛОЖЕНИЕ В. Рекомендуемая форма протокола поверки
ВВЕДЕНИЕ
Настоящая методика поверки распространяется на датчики давления АДТ (далее -датчики), серийно выпускаемые ЗАО «СКАД тех», г. Москва в соответствии с требованиями ТУ 26.51.52-003-17080084-2016, и устанавливает методы и средства их первичной и периодической поверки.
Первичную и периодическую поверку проводят органы Государственной метрологической службы или юридические лица, аккредитованные на право поверки в соответствии с действующим законодательством.
Интервал между поверками - пять лет.
Периодическую поверку должен проходить каждый экземпляр датчиков. Периодической поверке могут не подвергаться датчики, находящиеся на длительном хранении. Периодическую поверку датчики, используемых для измерений на меньшем числе диапазонов измерений (коэффициентов перенастройки), допускается на основании решения главного метролога или руководителя юридического лица производить только для применяемых диапазонов измерений.
Внеочередной поверке в объеме периодической подвергают датчики в случае утраты документов, подтверждающих прохождение поверки, вводе в эксплуатацию после длительного хранения (более одного интервала между поверками) или неудовлетворительной работе. При перенастройке диапазонов измерений в пределах установленных в эксплуатационной документации внеочередная поверка датчиков не проводится.
-
1 ОПЕРАЦИИ ПОВЕРКИ
-
1.1 При проведении первичной и периодической поверки датчиков выполняют операции, приведенные в таблице 1
-
Таблица 1 - Операции поверки
Наименование операции поверки |
Номер пункта методики поверки |
Операции при проведении | |
первичной поверки |
периодической поверки | ||
1 Внешний осмотр |
6.1 |
Да |
Да |
2 Опробование |
6.2 |
Да |
Да |
3 Определение основной погрешности |
6.3 |
Да |
Да |
4 Определение вариации выходного сигнала |
6.4 |
Да |
Да |
5 Подтверждение соответствия программного обеспечения |
6.5 |
Да |
Да |
2 СРЕДСТВА ПОВЕРКИ
-
2.1 При проведении поверки применяют средства поверки, указанные в таблице 2.
Таблица 2 - Используемые средства поверки
Наименование средств поверки |
Характеристики средств поверки |
1 |
2 |
Манометр абсолютного давления МПА-15 |
Пределы допускаемой основной погрешности: ±6,65 Па в диапазоне от 0 до 20 кПа; ±13,3 Па в диапазоне от 20 до 133 кПа; ±0,01% от действительного значения измеряемого давления в диапазоне от 133 до 400 кПа |
Микроманометр МКМ-4 |
Диапазон измерений от 0,1 до 4,0 кПа; класс точности 0,01 |
Микроманометр МКВ-250-0,02 |
Диапазон измерений от 0 до 2,5 кПа; класс точности 0,01 |
Манометр избыточного давления грузопорпшевой МП-600 |
Пределы допускаемой основной погрешности: ±0,01 %, ±0,02 %, ±0,05 % от измеряемого давления в диапазоне измерений от 1 до 60 МПа |
Манометр избыточного давления грузопорпшевой МП-2500 |
Пределы допускаемой основной погрешности 0,01 %, ±0,02 %, ±0,05 % от измеряемого давления в диапазоне измерений от 25 до 250 МПа |
Калибратор-измеритель унифицированных сигналов эталонный ИКСУ-260 |
По ТУ 4381-072-13282997-07, диапазон измерений постоянного тока от 0 до 25 мА, пределы допускаемой абсолютной погрешности (10-41±1) мкА, где I - сила измеряемого постоянного тока. |
Мановакуумметр грузопоршневой типа МВП-2,5 |
Класса точности 0,02; 0,05, диапазон измерений от минус 95 до 250 кПа, ТУ 4212-005-48318935-99 |
Манометр избыточного давления грузопоршневой МП-6 |
Пределы допускаемой основной погрешности: 0,01 %, ±0,02 %, ±0,05 % от измеряемого давления в диапазоне измерений от 0,1 до 0,6 МПа |
Барометр-анероид контрольный М-67 |
Диапазон измерений от 610 до 790 мм рт. ст.; погрешность измерений ±0,8 мм рт. ст., ТУ 25-04-1797-75 |
Калибратор давления портативный (избыточного, вакуумметрического и разности давлений) ПКД-10М |
Диапазон измерений от 0,01 до 160 кПа. Пределы допускаемой основной погрешности ±0,05 % от верхнего предела измерений поддиапазона модуля давления, ТУ 4212-002-36897690-93 |
Манометр для точных измерений МТИ |
Диапазон измерений от 0 до 160 МПа. Класс точности 1,0, ТУ 25-05-1481-73 |
Вакуумметр для точных измерений ВТИ |
Диапазон измерений от минус 100 до 0 кПа. Класс точности 1,0, ТУ 25-05-1481-73 |
Задатчик давления «Воздух-1,6» |
Пределы воспроизведения избыточного давления от 1 до 160 кПа. Пределы допускаемой основной погрешности -±0,02 %, ±0,05% от задаваемого давления, ТУ 50.552-86 |
Задатчик давления «Воздух-2,5» |
Пределы воспроизведения избыточного давления от 2,5 до 250 кПа. Пределы допускаемой основной погрешности: ±0,02 %, ±0,05 % от задаваемого давления, ТУ 50.552-86 |
Продолжение таблицы 2
1 |
2 |
Задатчик давления «Воздух-6,3» |
Пределы воспроизведения избыточного давления от 10 до 630 кПа. Пределы допускаемой основной погрешности: ±0,02 %, ±0,05 % от задаваемого давления, ТУ 50.552-86 |
Задатчик разряжения Метран-503 Воздух |
Пределы воспроизведения разрежения от минус 0,25 до минус 63 кПа. Пределы допускаемой основной абсолютной погрешности ±0,8 Па в диапазоне измерений от 0,25 до 4 кПа. Пределы допускаемой основной погрешности в диапазоне измерений от 4 до 63 кПа ±0,02 % от задаваемого давления, ТУ 4381-003-36897690-2003 |
Термометр стеклянный ртутный лабораторный ТЛ-4 |
Диапазон измерений от 0 до 55 °C, цена деления шкалы 0,1 °C. Пределы допускаемой погрешности ±0,2°С, ТУ 25-2021.003-88 |
Образцовая катушка сопротивления Р331 |
Сопротивление 100 Ом, класс точности 0,01, ТУ 25-04.3368-78 |
Мера электрического сопротивления однозначная МС 3006 |
Сопротивление от 1 Ом до 1000 кОм, класс точности 0,001, ТУ 303-10.0035-90 |
Магазин сопротивлений Р-33 |
Сопротивление до 99999,9 Ом, класс точности 0,2, ТУ 25-04-296-75 |
Компаратор напряжения Р3003М1 |
Верхний предел измерений 2,121111 В, класс точности 0,0005, ТУ 25-04.3771-79 |
Микроманометр образцовый МКМ-4 |
Диапазон измерений от 0,1 до 4,0 кПа, I разряда, ТУ 50-170-85 |
Микроманометр жидкостной компенсационный с микрометрическим винтом |
Диапазон измерений от 0 до 2,5 кПа, пределы допускаемой погрешности ±0,02 %, ТУ 4213-10-55862958-02 |
Источник постоянного тока Б5-8 или Б5-45 |
Наибольшее значение напряжения на выходе 50 В. Допускаемое отклонение ±0,5 % от установленного |
Модем HART/RS232/USB |
Преобразователь сигналов HART в сигналы интерфейса RS232/USB для связи с персональным компьютером через его стандартный последовательный порт |
Персональный компьютер |
2.2 Допускается применение аналогичных средств поверки, обеспечивающих поверку
метрологических характеристик датчиков с требуемой точностью (отношение метрологической характеристики обеспечиваемой средствами поверки к поверяемой метрологической характеристике не менее 1 к 3)
-
2.3 Средства поверки должны быть исправны, средства измерений поверены и иметь свидетельства о поверке или оттиск поверительного клейма на приборе или в технической документации.
3 ТРЕБОВАНИЯ К КВАЛИФИКАЦИИ ПОВЕРИТЕЛЕЙ
-
3.1 Поверка должна осуществляться лицами, аттестованными в качестве поверителей в установленном порядке.
-
3.2 К поверке датчиков допускаются лица, аттестованные для работы с напряжением до 1000 В, прошедшие инструктаж о мерах безопасности при работе с электроизмерительными приборами и изучившие техническую и эксплуатационную документацию на датчики и средства поверки.
4 ТРЕБОВАНИЯ БЕЗОПАСНОСТИ
-
4.1 При проведении поверки должны быть соблюдены все требования безопасности в соответствии с ГОСТ 12.3.019-80
-
4.2 Запрещается создавать давление, превышающее верхний предел измерений датчиков и рабочих эталонов давления.
-
4.3 Запрещается снимать поверяемый датчик с устройства для создания давления без сброса давления.
-
4.4 Источником опасности при монтаже и эксплуатации датчиков являются электрический ток и давление измеряемой среды.
-
4.5 По требованиям безопасности приборы относятся к классу защиты 1.
-
4.6 При всех работах со средствами измерений необходимо соблюдать следующие меры предосторожности:
- перед каждым включением необходимо проверить исправность сетевого шнура и заземления;
-устранение дефектов, замена датчиков, присоединение и отсоединение кабелей должно проводиться только при отключенном питании (вилка сетевого шнура должна быть вынута из розетки) и при полном отсутствии избыточного давления.
5 УСЛОВИЯ ПОВЕРКИ
-
5.1 При проведении поверки должны быть соблюдены следующие условия:
-
- температура окружающего воздуха, °C.........................................................от 20 до 25;
-
- относительная влажность окружающего воздуха, %.............................................30-80;
-
- атмосферное давление, кПа (мм рт. ст.)............................................ 84-106,7 (630-800);
-
- напряжение питания постоянного тока, В.....................................................от 12 до 45;
-
- отклонение напряжения питания от номинального значения, %, не более........... ±10.
-
- вибрация, тряска, удары, наклоны и магнитные поля (кроме земного), влияющие на работу датчиков, должны быть исключены.
-
5.2 Перед проведением поверки должны быть выполнены следующие подготовительные работы:
-
- датчик должен быть выдержан при температуре, указанной в п. 5.1 не менее 3 часов;
-датчик должен быть установлен в рабочее положение с соблюдением указаний в технической и эксплуатационной документации. Уровень измерений давления датчиком должен находиться в одной горизонтальной плоскости с уровнем измерений давления рабочим эталоном давления с допускаемой погрешностью ± 2 мм.
При отсутствии технической возможности выполнения измерений давления рабочим эталоном и поверяемыми датчиками в одной горизонтальной плоскости, в показания поверяемого СИ вводят поправочный коэффициент, рассчитываемый по формуле:
K=l+p3KgMH/P, (1)
где: Р - давление, измеряемое эталонным прибором, Па;
рж - плотность рабочей жидкости, кг/м3;
gM - значение местного ускорения свободного падения, м/с2;
Н - разность высот между уровнями измерений эталонным и поверяемым приборами, м.
-
- система, состоящая из соединительных линий, средств измерений и вспомогательного оборудования для задания и передачи измеряемого параметра должна быть проверена на герметичность в соответствии с п. 5.3.
-
5.3 Проверка герметичности системы проводится при значениях давления, равных верхнему пределу измерений поверяемого датчика.
Систему считают герметичной, если после 3-х минутной выдержки под давлением, в течении последующих 2-х минут в ней не наблюдают падения давления.
Допускается изменение давления, обусловленное изменением температуры окружающего воздуха и изменением температуры измеряемой среды, которое не должно превышать значений, указанных в таблице 3.
Таблица 3 - Допускаемые изменения параметров
Верхний предел измерений, МПа |
Допускаемое изменение температуры в процессе поверки, °C |
Допускаемое изменение давления при проверке на герметичность, % от верхнего предела измерений | |
пневматическим давлением |
гидравлическим давлением | ||
от 0,1 до 0,6 |
±1 |
0,6 |
- |
от 0,6 до 10 |
- |
1 | |
от 10 и более |
- |
0,5 |
Примечание. При меньшем изменении температуры допускаемое изменение давления пропорционально уменьшается.
Если система предназначена для поверки прибора с разными значениями верхних пределов измерений, проверку герметичности рекомендуется проводить при давлении, соответствующем наибольшему из этих значений.
6 ПРОВЕДЕНИЕ ПОВЕРКИ
-
6.1 Внешний осмотр
При внешнем осмотре датчика устанавливают:
-
- соответствие его внешнего вида технической документации и отсутствие видимых дефектов;
-
- наличие клеммных колодок и (или) разъемов для внешних соединений, устройства для регулировки «нуля» и диапазона, клемм контроля выходного сигнала и др.;
-
- наличие дополнительных выходных устройств — электрических аналоговых или цифровых индикаторов и (или) других устройств, предусмотренных технической документацией на датчик;
-
- наличие на корпусе датчика таблички с маркировкой, соответствующей паспорту или документу, его заменяющему;
-
- наличие РЭ, если это предусмотрено при поверке датчика, паспорта или документа, его заменяющего.
-
6.2 Опробование
При опробовании проверяют работоспособность датчика и функционирование устройства корректора «нуля».
Работоспособность датчика проверяют, изменяя измеряемую величину от нижнего до верхнего предельных значений. При этом должно наблюдаться изменение выходного сигнала и индикации на дополнительных выходных устройствах датчика.
Проверку функционирования устройства корректора «нуля» выполняют следующим образом. Задав одно (любое) значение измеряемой величины в пределах, оговоренных руководством по эксплуатации, корректором «нуля» возвращают выходной аналоговый/цифровой сигнал к первоначальному значению. Затем сбрасывают измеряемую величину и при атмосферном давлении на входе в датчик корректором «нуля» вновь устанавливают выходной аналоговый/цифровой сигнал в соответствие с исходными значениями.
-
6.3 Определение основной погрешности
6.3.1 Основную погрешность определяют следующими способами:
а) По эталону на входе датчика устанавливают номинальные значения входного параметра (давления), а по другому эталону измеряют соответствующие значения выходного параметра (тока или напряжения). У датчиков, имеющих показывающие выходные устройства и/или цифровой интерфейс, значения выходного параметра считываются с соответствующего показывающего выходного устройства и/или в цифровом коде.
б) В обоснованных случаях по эталону на выходе датчика устанавливают номинальные значения выходного параметра (тока или напряжении), а по другому эталону измеряют значения соответствующего входного параметра (давления). У датчиков, имеющих показывающие выходные устройства и/или цифровой интерфейс, значения выходного параметра считываются с соответствующего показывающего выходного устройства и/или в цифровом коде.
-
6.3.2 Схема включения датчиков для измерения выходного сигнала при проведении поверки по способам а и б (п. 6.3.1) приведены в приложение А.
Эталоны давления включаются в схему поверки в соответствии с их руководством по эксплуатации.
-
6.3.3 Устанавливают следующие критерии достоверности поверки:
Рвам - наибольшая вероятность ошибочно признанного годным любого в действительности дефектного экземпляра датчика;
(6м)ва - отношение наибольшего возможного модуля основной погрешности поверяемого экземпляра датчика, который может быть ошибочно признан годным, к пределу допускаемой основной погрешности.
Допускаемые значения критериев достоверности поверки принимают равными:
Рвам — ОДО; (Зм)ва max —1,25.
-
6.3.4 Устанавливают следующие параметры поверки:
m - число проверяемых точек в диапазоне измерений, т>5;
п - число наблюдении при экспериментальном определении значений погрешности в каждой из проверяемых точек при прямом и обратном ходах п=1;
ук - абсолютное значение отношения контрольного допуска к пределу допускаемой основной погрешности;
ар - отношение предела допускаемого значения погрешности эталонов, применяемых при поверке, к пределу допускаемого значения основной погрешности поверяемого датчика.
Значения ук - и ар выбирают по табл. 4 п. 6.3.5 в соответствии с принятыми критериями достоверности поверки.
-
6.3.5 Выбор эталонов для определения основной погрешности поверяемых датчиков осуществляют, исходя из технических возможностей и технико-экономических предпосылок с учетом критериев достоверности поверки п. 6.3.3 и таблицы 4.
Таблица 4 - Параметры и критерии достоверности поверки
ар |
0,2 |
0,25 |
0,33 |
0,4 |
0,5 |
Гк |
0,94 |
0,93 |
0,91 |
0,82 |
0,70 |
Р вам |
0,20 |
0,20 |
0,20 |
0,10 |
0,05 |
(5м)ва |
1,14 |
1,18 |
1,24 |
1,22 |
1,20 |
Примечание: таблица 4 составлена в соответствии с принятыми в п. 6.3.3 критериями достоверности поверки согласно МИ 187-86 "ГСИ. Критерия достоверности и параметры методик поверки " и МИ 188-86 "ГСИ. Установление значений параметров методик поверки".
-
6.3.6 При выборе эталонов для определений погрешности поверяемого датчика для каждой поверяемой точки должны быть соблюдены следующие условия:
- при поверке по способам а и б (п. 6.3.1) и определении значений выходного сигнала в мА

(1)
где Др - предел допускаемой абсолютной погрешности эталона, контролирующего входной параметр, кПа, МПа;
Ртах - верхний предел измерений (или диапазон измерений) поверяемого датчика, кПа, МПа;
Ai - предел допускаемой абсолютной погрешности эталона, контролирующего электрический выходной параметр, мА;
Imax и Io - соответственно верхнее и нижнее предельные значении выходного сигнала, мА;
у - предел допускаемой основной погрешности поверяемого датчика, (%) нормирующего значения.
За нормирующее значение принимают: для датчиков давления - разрежения - сумму абсолютных значений верхних пределов измерений избыточного давления и разрежения; для остальных датчиков - разницу между верхним и нижним пределом измерений выходного параметра.
- при поверке по способам а и б (п. 6.3.1) и определении значений выходного сигнала в мВ, В по падению напряжения на эталонном сопротивлении:

X 100 < у
«р
(2)
где Др - предел допускаемой абсолютной погрешности эталона, контролирующего входной параметр, кПа, МПа;
Ртах - верхний предел намерений (или диапазон измерений) поверяемого датчика, кПа, МПа;
Ди - предел допускаемой абсолютной погрешности эталона, контролирующего электрический выходной параметр, мВ;
Umax-Uo - соответственно верхнее и нижнее предельные значения выходного сигнала, мВ, В;
Umax — Imax х Roe; Uo=Io х Ro6, мВ;
Ди - предел допускаемой абсолютной погрешности эталонного сопротивления, Roe, Ом;
Roe - значение эталонного сопротивления, Ом;
- при поверке показывающих устройств и/или цифровой интерфейс
РМх100<уа (3)
где Др - предел допускаемой абсолютной погрешности, поверяемого датчика, кПа, МПа;
Ртах - верхний предел измерений (или диапазон измерений) поверяемого датчика, кПа, МПа;
-
6.3.7 Расчетные значения выходного сигнала поверяемого датчика в миллиамперах (1р) для заданного номинального значения поверяемого параметра (Р) в килопаскалях или мегапаскалях определяют в соответствии с приложением Б.
Расчетные значения выходного сигнала Up, выраженные в напряжении постоянного тока, определяют по формуле:
Up = Ip X Ro6, мВ (4)
-
6.3.8 Перед определением основной погрешности должны быть соблюдены требования раздела 5 и, в случае необходимости, откорректировано значение выходною сигнала, соответствующее нижнему предельному значению измеряемого параметра. Эта корректировка проводится после подачи и сброса измеряемого параметра, равного:
-
- для датчиков давления-разрежения - от 50 до 100 % верхнего предела измерений избыточного давления;
-для датчиков абсолютного давления после выдержки их в пределах от 0 до 10% верхнего предела измерений;
-
- для остальных датчиков - от 80 до 100% верхнего предела измерений.
При периодической поверке в случае совмещения проверки герметичности с подачей давления (разрежения) перед корректировкой выходного сигнала выдержка проводится при давлении (разрежении) в соответствии с разделом 5.
Установку выходного сигнала следует провести с максимальной точностью, обеспечиваемой устройством корректора и разрешающей способностью эталонов. Погрешность установки (без учета погрешности эталонов) не должна превышать 0,2 предела допускаемой основной погрешности поверяемого датчика.
-
6.3.9 Основную погрешность определяют при пяти значениях измеряемой величины, достаточно равномерно распределенных в диапазоне измерений, в том числе при значениях измеряемой величины, соответствующих нижнему и верхнему предельным значениям выходного сигнала. Интервал между значениями измеряемой величины не должен превышать 30% диапазона измерений.
Основную погрешность определяют при значении измеряемой величины, полученной при приближении к нему как от меньших значений к большим, так и от больших к меньшим (при прямом и обратном ходе).
Перед поверкой при обратном ходе датчик выдерживают в течение 1 мин под воздействием верхнего предельного значения измеряемого параметра, соответствующего предельному значению выходного сигнала.
Допускается выдержку датчиков давления-разрежения производить только на верхнем пределе измерений избыточного давления.
При периодической поверке основную погрешность определяют в два цикла: до корректировки диапазона изменения выходного сигнала и после корректировки диапазона. Допускается второй цикл не проводить, если основная погрешность:
Уд < Y к X Y
При поверке датчиков с верхним пределом измерений разрежения 0,1 МПа, если атмосферное давление равно или менее 0,1 МПа, максимальное разрежение допускается устанавливать равным 0,90-0,95 Ратм (Ратм - атмосферное давление). Расчетное значение выходного сигнала при этом разрежении определяют в соответствии с п.6.3.7. Ратм следует привести к тем единицам, в которых выражено Р.
Основную погрешность датчиков абсолютного давления с верхним пределом измерений выше 0,25 МПа следует определять в соответствии с п. 6.3.10 и 6.3.11. Допускается по методике п. 6.3.10 определять основную погрешность датчиков абсолютного давления с верхними пределами измерений от 0,1 до 0,25 МПа.
-
6.3.10 Определение основной погрешности датчиков абсолютного давлении с верхними пределами измерений выше 0,25 до 2,5 МПа включительно следует проводить с использованием образцовых СИ разрежения и давлении (например, МВП-2,5; МП-6 и МП-60).
В этом случае датчик поверяют на точках: при разрежении в пределах 0,90 - 0,95 Р при значениях избыточного давления Р изб max и при трех промежуточных значениях давления
Р = р —А
гиз&тах ^абс-гаах
где Рабо тах - верхний предел измерений абсолютного давления, равный Ртах, МПа: А = 0,1 МПа;
-
6.3.11. Определение основной погрешности датчиков абсолютного давления с верхни
ми пределами измерений свыше 2,5 МПа следует проводить с использованием эталонов избыточного давления следующим образом:
-
1. Корректором нуля при атмосферном давлении установить значение выходного сигнала, равное 1о;
-
2. Провести поверку на прямом и обратном ходе, задавая избыточное давление, численно равное абсолютному давлению, с соблюдением условий, изложенных в п. 6.3.8,
-
3. После определения основной погрешности при атмосферном давлении корректором нуля установить значение выходного сигнала 1рн:
1ри =?7^С1п^ + 1о) + 1о (5)
где К = 0,1 МПа.
-
6.3.12. Основная погрешность уд в % нормирующего значения вычисляют по формулам:
- при поверке по способу (п. 6.3.1)
Уд
100
(6)
Уд
(7)
Уд
p-g-x 100 (8)
р —р v z
где I - экспериментально полученное значение выходного сигнала на выходе датчика при измерении тока, мА;
U - экспериментально полученное значение выходного сигнала на выходе датчика при измерении напряжении, мВ; В;
Р - экспериментально полученное значение выходного давления на показывающих устройствах датчика и/или в цифровом коде;
1р, Up-соответственно, расчетные значения тока (мА) и напряжении (мВ);
Рр - давление, численно равное номинальному значению входного давления, кПа; МПа;
Датчик признают годным при первичной поверке, если во всех проверяемых точках модуль основной погрешности
|уд | Iyk * yIДатчик признают негодным при первичной поверке, если хотя бы в одной точке модуль основной погрешности
|уд|> IykxyIДатчик признают годным при периодической поверке, если во всех проверяемых точках при нервом или втором цикле определения основной погрешности
|уд| < Iyk X у|
Датчик признают негодным при периодической поверке, если хотя бы в одной точке при первом цикле определения основной погрешности
|уд| > |(5„)ватахХ у|
или повторном цикле
|уд| > К Ху1
(обозначения у по п. 6.3.6; ук по п. 6.3.4).
6.3.13 Допускается вместо определения действительных значений погрешности устанавливать соответствие ее предельно допускаемым значениям.
6.4 Определение вариации.
-
6.4.1 Вариацию выходного сигнала определяют при каждом проверяемом значении измеряемого параметра, кроме значений, соответствующих нижнему и верхнему пределам измерений, но показаниям, полученным при определении основной погрешности (п. 6.3.1).
-
6.4.2 Вариацию выходного сигнала в % нормирующего значения вычисляют по форму
лам:

100
(9)
V и I - экспериментально полученные значения выходного сигнала на одной и той же точке при измерении на выходе тока соответственно при прямом и обратном ходе, мА;
Uz и U- экспериментально полученные значения выходного сигнала на одной и той же точке при измерении на выходе падения напряжения на образцовом сопротивлении соответственно при прямом и обратном ходе, мВ; В;
Значения уг не должны превышать предела ее допускаемого значения.
-
6.4.3 Допускается вместо определения действительного значения вариации осуществлять контроль соответствия ее предельно допускаемым значениям.
6.5 Подтверждение соответствия программного обеспечения
Производится сравнение идентификационных данных программного обеспечения указанных в разделе «Программное обеспечение» паспорта на датчик и приведенных в таблице 5.
Таблица 5 - Идентификационные данные программного обеспечения
Идентификационные данные (признаки) |
Значение | |
для моделей |
для моделей | |
4033,4034,4035; 4133,4134,4135; 4233,4234,4235; 4433, 4434, 4435, 4633,4634,4635 |
2030, 2040,2050; 2110, 2120, 2130,2131,2132,2140,2141, 2142, 2150,2151,2160,2161,2170,2171; 2210, 2220,2230,2240,2241,2242; 2310, 2320,2330, 2340,2341,2342; 2410, 2420,2430,2434,2440, 2444,2450, 2460; 2520,2530 | |
Идентификационное наименование ПО |
V-series firmware |
ПОАДТ |
Номер версии (идентификационный номер) ПО |
V130315A.A34 |
V6.1 |
Цифровой идентификатор (контрольная сумма) метрологически значимой части ПО |
ВА2С |
не требуется (защита fuse-bit прошивкой) |
Алгоритм вычисления цифрового идентификатора ПО |
CRC16 |
не требуется (защита fuse-bit прошивкой) |
Результаты поверки по данному пункту считают положительными, если установлена
полное соответствие идентификационных данных программного обеспечения датчиков.
7 ОФОРМЛЕНИЕ РЕЗУЛЬТАТОВ ПОВЕРКИ
-
7.1 Результаты поверки занести в протокол, рекомендуемая форма которого приведена в приложении В.
-
7.2 Положительные результаты поверки оформляют свидетельством о поверке установленной формы с нанесением знака поверки на бланк свидетельства.
-
7.3 В случае отрицательных результатов поверки, применение датчиков запрещается, на него выдается извещение о непригодности к применению с указанием причин.
Начальник отдела программного и —- А.Ю. Поддубный
информационного обеспечения . -"С-„ —__________
ЗАО КИП «МЦЭ» ‘Т
Приложение А
(справочное)
Схемы подключения датчиков при поверке
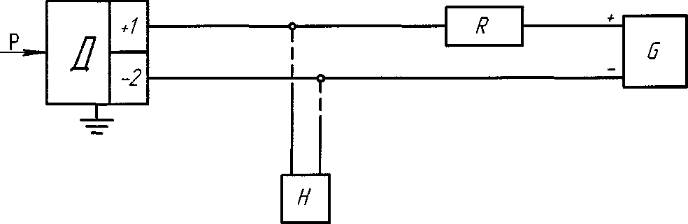
Схема 1 включения датчика с цифровым выходным сигналом и считывании информации при помощи портативного компьютера.

Р - входная измеряемая величина; Д - поверяемый датчик;
G - источник питания постоянного тока (например, один из указанных в п. 2.1, таблица 2, если иное не указано в технической документации); R - нагрузочное сопротивление, (например, резистор МЛТ или магазин сопротивлений, указанный в таблице 2 (п. 2.1); значение сопротивления - в соответствии с условиями поверки (п. 4.1); Н - портативный компьютер или другое цифровое устройство, поддерживающее коммуникационный протокол;
Схема 2 включения датчика с цифровым выходным сигналом на базе протокола HART и считывании информации с помощью устройства (модема HART/RS232/USB) связи с персональным компьютером.

Модем - устройство связи и преобразования сигналов HART/ RS232/USB; ПК - персональный компьютер;
Остальные обозначения указаны в схеме 1.
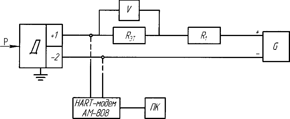
Схема 3 включения датчика с аналоговым выходным сигналом постоянного тока 4-20 мА и цифровому сигналу на базе протокола HART.
пример 1

А - средство измерения силы постоянного тока.
Остальные обозначения указаны в схеме 1.
пример 2

V - цифровой вольтметр или компаратор напряжения постоянного тока, указанные, например, в таблице 2;
Rjt - эталонное сопротивление, например, образцовая катушка сопротивления или электрического сопротивления, указанные в таблице 2; Ri - нагрузочное сопротивление - например, указанный в таблице 2 магазин сопротивлений.
Остальные обозначения указаны в схеме 1 и 2.
Приложение Б
(справочное)
Зависимость выходного сигнала постоянного тока от входной измеряемой величины
1) для датчиков с линейно возрастающей зависимостью выходного сигнала постоянного тока от входной измеряемой величины по формуле
I расч ~ +

(Б.1)
где 1расч - расчетное значение выходного сигнала постоянного тока (мА);
1н, 1в - соответственно нижнее и верхнее предельные значения выходного сигнала датчика (7д=4 мА, 7в=20 мА);
Р - действительное значение входной измеряемой величины (для датчиков давления-разрежения значение в области разрежения подставляется в формулу со знаком минус), (кПа, МПа);
Рв- ВПИ (или диапазон измерений) поверяемого датчика (кПа, МПа);
Рн - нижний предел измерений для всех датчиков, кроме датчиков давления-разрежения, для которых это значение численно равно ВПИ в области разрежения Рв(-) И в формулу подставляется со знаком минус (кПа, МПа).
Для стандартных условий нижний предел измерений всех поверяемых датчиков избыточного давления, абсолютного давления, разрежения, разности давлений и датчиков давления-разрежения равен нулю.
2) для датчиков с выходным сигналом постоянного тока и функцией преобразования входной измеряемой величины по закону квадратного корня по формуле

(Б.2)
где 1Расч, In, 1в, Р, Рв - обозначения те же, что и в формуле (Б.1).
Приложение В
(справочное)
Рекомендуемая форма протокола поверки
ПРОТОКОЛ №_______от «___»________20__г.
поверки датчиков давления АДТ
модель________________исполнение (метрологическое)______
диапазон измерений_____________________, заводской №______________
Проверка проводилась___________________________________________________________
(тип и основные метрологические характеристики эталонного оборудования)
(тип и основные метрологические характеристики эталонного оборудования)
(тип и основные метрологические характеристики эталонного оборудования)
Температура окружающей среды_______________°C
Давление окружающей среды _______________кПа
Напряжение питания датчика _______________В
Результаты поверки
№ точки |
Рн, кПа |
Рв, кПа |
Р)Т, кПа |
1расч5 мА |
1-ИЗМ5 мА |
/д(,), % |
Уд > % |
Заключение_____________________________________________________________________
Поверитель
(ФИО,
должность,
организация)
«___»___________20__Г.
18