Методика поверки «ГСИ. Комплексы измерительные КАРАТ» (МП 23-221-2016)
ФЕДЕРАЛЬНОЕ АГЕНТСТВО ПО ТЕХНИЧЕСКОМУ РЕГУЛИРОВАНИЮ И МЕТРОЛОГИИ ФЕДЕРАЛЬНОЕ ГОСУДАРСТВЕННОЕ УНИТАРНОЕ ПРЕДПРИЯТИЕ УРАЛЬСКИЙ НАУЧНО-ИССЛЕДОВАТЕЛЬСКИЙ ИНСТИТУТ МЕТРОЛОГИИ (ФГУП «УНИИМ»)
СОГЛАСОВАНО
Инженерного центра

. Троицкий
2016 г.

Государственная система обеспечения единства измерений
Комплексы измерительные КАРАТ
Методика поверки
МП 23-221-2016
2016
Разработана: Федеральным государственным унитарным предприятием Уральский научно - исследовательский институт метрологии (ФГУП «УНИИМ») ООО Научно - производственным предприятием «Уралтехнология»
Исполнители: Клевакин Е.А. ведущий инженер ФГУП «УНИИМ»;
Зенков В.В., главный специалист ООО НПП «Уралтехнология».
Утверждена ФГУП “УНИИМ” «___» ________ 2016 г.
СОДЕРЖАНИЕ
Приложение А ФОРМА ПРОТОКОЛА ПОВЕРКИ
|
Государственная система обеспечения единства измерений Комплексы измерительные КАРАТ Методика поверки |
МП 23-221-2016 |
-
1.1 Настоящий документ распространяется на комплексы измерительные КАРАТ(далее -комплексы), изготавливаемые по ТУ 4218-023-32277111-2015 и устанавливает порядок их первичной и периодической поверок.
-
1.2 Комплексы представляют собой составные многофункциональные измерительные системы, состоящие из:
вычислителей КАРАТ-306, КАРАТ-307, КАРАТ-308, выпускаемых по ТУ 4217-009-32277111-2015;
-
- измерительных преобразователей расхода воды и счетчиков воды (ИПРВ и ВС);
-
- платиновых термопреобразователей сопротивления по ГОСТ Р 6651 (ИПТ);
-
- комплектов измерительных преобразователей температуры (КИПТ), состоящих из платиновых термопреобразователей сопротивления по ГОСТ 6651;
-
- измерительных преобразователей давления (ИПД);
-
- измерительных преобразователей разности давления (ИПРД);
-
- счётчиков электрической энергии (СВЧ);
-
- измерительных преобразователей расхода природного газа и счетчиков газа (ИПРГ)
-
- измерительных преобразователей расхода пара (ИПРП).
-
1.3 Для комплексов измерительных КАРАТ устанавливается поэлементный метод поверки. СИ, входящие в состав комплексов, поверяют с периодичностью, установленной в методиках поверки на эти СИ.
-
1.4 Допускается проводить замену неисправных измерительных преобразователей поверенными однотипными без проведения поверки комплексов. После замены делается отметка в эксплуатационной документации.
Интервал между поверками - 4 года.
2 НОРМАТИВНЫЕ ССЫЛКИВ настоящей методике использованы ссылки на документы, приведенные в таблице 1. Таблица 1
|
ГОСТ 6651-2009 |
ГСИ. Термопреобразователи сопротивления из платины, меди и никеля. Общие технические требования и методы испытаний |
|
Приказ Минпромторга № 1815 от 02.07.2015 г. |
Об утверждении Порядка проведения поверки средств измерений, требования к знаку поверки и содержанию свидетельства о поверке |
3.1 При проведении поверки комплекса выполняют операции, указанные в таблице 2. Таблица 2
|
Наименование операции |
Пункт методики |
Обязательность проведения операции при | |
|
первичной поверке |
периодической поверке | ||
|
Внешний осмотр |
8.1 |
+ | |
|
Поверка СИ из состава комплекса |
8.2 |
+ 1J |
+2> |
|
Опробование |
8.3 |
+ |
+ |
|
Определение метрологических характеристик |
8.4 |
+ |
+ |
|
Проверка диапазона измерений и определение абсолютной погрешности при измерении температуры |
8.4.1 |
+ |
+ |
|
Проверка диапазона измерений и определение абсолютной погрешности при измерении разности температуры |
8.4.2 |
+ |
+ |
|
Проверка диапазона измерений и определение приведённой погрешности при измерении давления и разности давления |
8.4.3 |
+ |
+ |
|
Проверка диапазона измерений и определение относительной погрешности при измерении объёма и объёмного расхода воды (пара) |
8.4.4 |
+ |
+ |
|
Определение относительной погрешности при измерении электрической энергии |
8.4.5 |
+ |
+ |
|
Проверка диапазона измерений и определение относительной погрешности при измерении массы воды и пара |
8.4.6 |
+ |
+ |
|
Проверка диапазона измерений и определение относительной погрешности при измерении объёма и объёмного расхода природного газа в рабочих и приведённым к стандартным условиях |
8.4.7 |
+ |
+ |
|
Определение относительной погрешности при измерении тепловой энергии |
8.4.8 |
+ |
+ |
|
Проверка суточного хода часов |
8.4.9 |
+ |
+ |
-
1) Поверку СИ из состава комплекса проводят при:
-
- вводе СИ в эксплуатацию после длительного хранения (более одного интервала между поверками);
-
- повреждении знака поверки или утрате свидетельства о поверке;
-
- проведении повторной юстировки или настройки СИ, известном или предполагаемом ударном воздействии на СИ, неудовлетворительной работе СИ.
-
2) Проводят в объеме и с периодичностью, установленными нормативными документами на это СИ.
Примечание. Знак «+» обозначает, что соответствующую операцию поверки проводят, а знак «-» обозначает, что эту операцию не проводят.
-
3.2 При получении отрицательных результатов на любой из операций поверки комплекс признают непригодным к эксплуатации.
-
4.1 При проведении поверки СИ из состава комплекса применяют эталоны и средства поверки, указанные в методиках поверки этих СИ.
-
4.2 Все средства поверки на момент проведения поверки комплекса должны иметь действующие знаки поверки или свидетельства о поверке.
К поверке комплекса допускаются лица, изучившие настоящий документ, эксплуатационную документацию на средства измерений, входящие в состав комплекса и на средства поверки, имеющие группу по электробезопасности не ниже 2 и прошедшие обучение в качестве поверителей средств измерений, работающие в организации, аккредитованной на право поверки.
6 УСЛОВИЯ ПОВЕРКИПри проведении поверки комплексов соблюдают условия, указанные в методиках поверки его составных частей.
7 ПОДГОТОВКА К ПОВЕРКЕКомплексы подготавливают к поверке в соответствии с указаниями руководства по эксплуатации и эксплуатационной документации на СИ, входящие в состав комплекса.
8 ПРОВЕДЕНИЕ ПОВЕРКИ-
8.1 Внешний осмотр
При внешнем осмотре комплекса определяют:
-
- соответствие комплектности комплекса паспорту СМАФ.421451.802 ПС;
-
- наличие действующих свидетельств о поверке или других документов, подтверждающих проведение поверки каждого СИ из состава комплекса;
-
- наличие и целостность пломб изготовителя.
-
8.2 Поверка СИ из состава комплекса
Поверку СИ из состава комплекса выполняют в объеме и последовательности, определяемом методиками поверки на эти СИ.
-
8.3 Опробование
-
8.3.1 При опробовании проверяют исправность органов управления и индикации вычислителя, входящего в состав комплекса, а также возможность вывода на ЖК-экран вычислителя всех запрограммированных параметров учета. Кроме того, проверяют соответствие пределов измерений СИ, используемых в составе комплекса, значениям, указанным в таблицах настройки вычислителя.
-
8.3.2 Проверка идентификационных данных программного обеспечения комплексов проводится сравнением идентификационных данных встроенного программного обеспечения вычислителя из состава комплекса с идентификационными данными из таблицы 3.
-
8.3.3 Опробование считают успешным, если пределы измерений СИ из состава комплекса соответствуют таблице настройки вычислителя, отсутствует индикация ошибок программирования и нештатных ситуаций на ЖК-экране вычислителя, идентификационные данные программного обеспечения вычислителей (номер версии ПО и контрольная сумма ПО), входящих в состав комплексов, соответствуют приведенным в таблице 3.
-
Таблица 3 - Идентификационные данные программного обеспечения
|
Идентификационные данные (признаки) |
Значение | ||
|
Идентификационное наименование ПО |
Карат-306 |
Карат-307 |
Карат-308 |
|
Номер версии (идентификационный номер) ПО |
6.1 |
7.2 |
8.2 |
|
Цифровой идентификатор ПО |
0x6BDl |
0х85АС |
0х12С8 |
|
Алгоритм вычисления цифрового идентификатора ПО |
CRC16 |
CRC16 |
CRC16 |
-
8.4 Определение метрологических характеристик
-
8.4.1 Проверка диапазона измерений и определение абсолютной погрешности при измерении температуры
-
Абсолютную погрешность при измерении температуры Д(/) определяют в 5 точках диапазона измерений: (минус 50, 0, 50, 100, 150) °C для КАРАТ-306, Ю\РАТ-307; (минус 50, 50, 150, 300, 600) °C для КАРАТ-308 и вычисляют по формуле
Д(0 = ±л/ Д(/ц„)2 + Д(^)2, (1)
где Д(<д) - предел допускаемой абсолютной погрешности вычислителя при измерении сопротивлений ИП температуры и преобразовании в температуру, °C;
&(tun) - предел допускаемой абсолютной погрешности ИПТ, входящего в состав комплекса, °C:
-
- для ИПТ класса А: 0,15+0,002-t, °C;
-
- для ИПТ класса В: 0,3+0,005-t, °C.
t - значение температуры в поверяемой точке, °C;
Результаты считают положительными, если абсолютная погрешность при измерении температуры находится в интервале, °C:
-
- при использовании ИПТ класса А: ± (0,4+0,0027), °C;
-
- при использовании ИПТ класса В: ± (0,6+0,0047), °C.
-
8.4.2 Проверка диапазона измерений и определение абсолютной погрешности при измерении разности температуры
Абсолютную погрешность при измерении разности температуры Д(Д/) вычисляют по формуле
Д(Д0-±^Д(ДГ„„)2 + Д(ДГв)2, (2)
где Д(Д^) - предел допускаемой абсолютной погрешности вычислителя при измерении разности сопротивления комплекта ИП температуры и преобразовании в разность температуры, °C;
Д(Д/ЦИ) - предел допускаемой абсолютной погрешности КИПТ, входящего в состав комплекса, °C:
-
- при использовании КИПТ класса 1: Д(Д/ЫП) - 0,05 + 0,001 At, °C;
-
- при использовании КИПТ класса 2: Д(Д/И„) = 0,1 + 0,002At, °C.
где Д?-разность температуры (3, 10, 20,147) °C.
Результаты считают положительными, если абсолютная погрешность при измерении разности температуры находится в интервале:
-для комплексов класса 1: ±(0,06+0,005At), °C;
-
- для комплексов класса 2: ±(0,11+0,006At), °C.
-
8.4.3 Проверка диапазона измерений и определение приведённой погрешности при измерении давления и разности давления
Для комплексов, не имеющих в составе измерительных преобразователей давления (ИПД) и измерительных преобразователей разности давления (ИПРД), операцию не проводят.
Приведённую погрешность при измерении давления уР и разности давления /АР вычисляют по формулам:
ZP = ±V(^)2 + (ZPS)2, (3)
/ДР=±л/(/ДРш)2 + (Л)2, (4)
где уРип - предел допускаемой приведённой погрешности ИПД, %;
уРв - предел допускаемой приведенной погрешности вычислителя при измерении силы тока и преобразовании в давление, %.
уАРип - предел допускаемой приведённой погрешности ИПРД, %.
Результаты считают положительными, если приведённая погрешность находится в интервале: ±2 % при измерении давления и разности давления воды и газа; в интервале ±1 % при измерении давления и разности давления пара.
-
8.4.4 Проверка диапазона измерений и определение относительной погрешности при измерении объёма и объёмного расхода воды (пара)
Относительную погрешность при измерении объёма 8V и объёмного расхода 8G вычисляют по формулам:
8Е=±^(8Еип)2 + (8Ев)2, (5)
dG = ±^(8Gm)2 + (dGB)2, (6)
где Жй - предел допускаемой относительной погрешности вычислителя при измерении и преобразовании количества импульсов в объём воды (пара), %;
SGb - предел допускаемой относительной погрешности вычислителя при измерении и преобразовании частоты входных сигналов в объёмный расход воды (пара), %;
8VUn, 8Gun ~ предел допускаемой относительной погрешности ИПРВ при измерении объёма (объёмного расхода), %
Результаты считают положительными, если относительная погрешность находится в интервалах:
-
- при измерении объёма и объёмного расхода воды:
-
- комплексы класса 1: ±(1+0,01-GB/G), но не более ±3,5 %;
-
- комплексы класса 2 ±(2+0,02-GB/G), но не более ±5 %
где G и GB - значение расхода теплоносителя и наибольшее значение расхода, м3/ч.
-
- при измерении объёма и объёмного расхода пара в диапазоне расхода пара (10-100)%: ±3%.
-
8.4.5 Определение относительной погрешности при измерении электрической энергии Относительную погрешность при измерении электрической энергии 8Е вычисляют по
формуле
Ж=±^Жи„)2 + (Жй)2, (7)
где 8Ев - предел допускаемой относительной погрешности вычислителя при измерении и преобразовании количества импульсов в электрическую энергию, %;
8Еип - предел допускаемой относительной погрешности СВЧ при измерении электрической энергии, %.
Результаты считают положительными, если относительная погрешность при измерении электрической энергии находятся в интервале ±2 %.
-
8.4.6 Проверка диапазона измерений и определение относительной погрешности при измерении массы воды и пара
Относительную погрешность при измерении массы воды 8тв и массы пара 8т п вычисляют по формулам:
8тв = ±у/(8Ем)2 + (8тв)2, (8)
8тп = ± ^8Еип/7)2 + (8Е/73)2+(^пв)2, (9)
где 8Еип - предел допускаемой относительной погрешности ИПРВ при измерении объёма воды, %;
8V ипп~ предел допускаемой относительной погрешности ИПРП при измерении объёма пара, %;
8тв~ предел допускаемой относительной погрешности вычислителя при расчёте массы воды по измеренным сигналам ИП, %;
ЗУпв - предел допускаемой относительной погрешности вычислителя при измерении и преобразовании количества импульсов в объём пара, %;
8тпв ~ предел допускаемой относительной погрешности вычислителя при расчёте массы пара, %.
Результаты считают положительными, если относительная погрешность находится в интервале:
-
- при измерении массы воды:
-
- комплексы класса 1: ±(1+0,01-GB/G), но не более ±3,5 %;
-
- комплексы класса 2 ±(2+0,02-GB/G), но не более ±5 %
-
- при измерении массы пара в диапазоне расхода пара (10 - 100) %: ±3 %.
-
8.4.7 Проверка диапазона измерений и определение относительной погрешности при измерении объёма и объёмного расхода природного газа в рабочих и приведённых к стандартным условиям
-
8.4.7.1 Относительную погрешность при измерении объёма ЗУг и объёмного расхода 8Gr природного газа в рабочих условиях вычисляют по формулам:
-
Wr = ±V8VrB2 + 8Vun2, (10)
- + VSGtb2 + 8Gun2, (11)
где 8Урв - предел допускаемой относительной погрешности вычислителя при измерении и преобразовании количества импульсов в объём природного газа, %;
8Gre - предел допускаемой относительной погрешности вычислителя при измерении частоты входных сигналов и преобразовании в расход природного газа, %;
дУип - предел допускаемой относительной погрешности ИПРГ при измерении объёма природного газа, %.
8Gun - предел допускаемой относительной погрешности ИПРГ при измерении расхода природного газа, %.
-
8.4.7.2 Относительную погрешность при измерении объёма (объёмного расхода) природного газа приведённого к стандартным условиям вычисляют по формуле

г100-А(0
,273,15 + Г
'7P.-P.+rP<,-PG
(12)
п max , n max к Ри +Рб J
где А({) - допускаемая абсолютная погрешность комплекса при измерении температуры, °C; t - заданное значение температуры природного газа (-22, 10, 66) °C;
уРи - допускаемой приведённая погрешность комплекса при измерении избыточного давления, %;
уРб - допускаемая приведённая погрешность комплекса при измерении атмосферного давления, %;
Римах - верхний предел диапазона измерения ИПД избыточного давления, МПа; Рбмах - верхний предел диапазона измерения ИПД атмосферного давления, МПа; Ри - заданное значение избыточного давления, МПа;
Рб - заданное значение атмосферного давления, МПа;
Результаты считают положительными, если относительная погрешность при измерении объёма и объёмного расхода газа находится в интервалах, указанных в таблице 4.
Таблица 4
|
Условия измерений |
Пределы допускаемой относительной погрешности, % (в зависимости от класса точности) | |||
|
А |
Б |
В |
Г | |
|
Рабочие условия |
±0,5 |
±0,75 |
±1,0 |
±2,0 |
|
Приведённые к стандартным |
±0,75 |
±1,0 |
±1,5 |
±2,5 |
8.4.8 Определение относительной погрешности при измерении тепловой энергии
-
8.4.8.1 Относительную погрешность при измерении тепловой энергии в водяной закрытой системе теплоснабжения (и одиночном трубопроводе) 8Q рассчитывают по формуле

(13)
где 8Qb - предел допускаемой относительной погрешности расчёта тепловой энергии вычислителем по измеренным сигналам ИП, %.
-
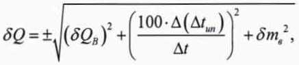
8.4.8.2 Относительную погрешность при измерении тепловой энергии в паровых системах теплоснабжения 3Qnc определяют по формуле
<5Qnc = ± 2 + дтп , (14)
-
8.4.8.3 Результаты считают положительными, если относительная погрешность при измерении:
-
- тепловой энергии в водяной закрытой системе теплоснабжения находится в интервале:
-
- для комплексов класса 1: ±(2+12/At+0,01 Gg/G);
-
- для комплексов класса 2: ±(3+12/At+0,02 GB/G);
-
- тепловой энергии в паровых системах теплоснабжения находится в интервале:
-
- в диапазоне расхода пара (10 - 30) %: ±5 %;
-
- в диапазоне расхода пара (30 - 100) %: ±4 %.
8.4.9 Проверка суточного хода часов Проверку суточного хода часов проводят при поверке вычислителя.
9 ОФОРМЛЕНИЕ РЕЗУЛЬТАТОВ ПОВЕРКИ-
9.1 Результаты поверки заносят в протокол в соответствии с формой, представленной в приложении А.
-
9.2 Положительные результаты поверки оформляют свидетельством о поверке в соответствии с Приказом Минпромторга № 1815 от 02.07.2015 г.
-
9.3 При отрицательных результатах поверки, свидетельство о поверке аннулируют, оформляют извещение о непригодности с указанием причин в соответствии с Приказом Минпромторга № 1815 от 02.07.2015 г.

Е.А. Клевакин
В.В.Зенков
Ведущий инженер ФГУП “УНИИМ”
Главный специалист по метрологии
ООО НПП «Уралтехнология»
Приложение А(рекомендуемое)
ФОРМА ПРОТОКОЛА ПОВЕРКИв соответствии с документом «Комплексы измерительные КАРАТ. Методика поверки МП 23-221-2016»
ПРОТОКОЛ ПОВЕРКИ №___от_____
1 Комплекс измерительный КАРАТ____, заводской номер________, дата выпуска__________
Заводской номер:___________________________________________________________________________
Принадлежит:___________________________________________________________________________
Дата изготовления:_____________________________________________________________________________
Документ на поверку:________________________________________________________________________
Средства поверки:__________________________________________________________________________
Условия поверки:_____________________;_________________________________________________________
-
1. Результаты внешнего осмотра:________________________________________________________________
Конструкторская документация:_____________________________________________________________
Маркировка:___________________________________________________________________________
Упаковка:_________________________________________________________________________________
-
2. Результаты опробования:
Комплектность:
|
Вид преобразователя |
Тип преобразователя |
Заводской номер |
Поверен до |
Класс точности, погрешность |
Примечания |
|
Вычислитель | |||||
|
ИПРВ | |||||
|
ИПРГ | |||||
|
ИПРП | |||||
|
ИПТ | |||||
|
кипт | |||||
|
ипд | |||||
|
ИПРД | |||||
|
СВЧ |
3. Определение метрологических характеристик:
Таблица А.1 - Проверка диапазона измерений и определение абсолютной погрешности при измерении температуры А(Г)
|
Температура^ °C |
Предел допускаемой абсолютной погрешности ИПТ Л(1и„), °C |
Предел допускаемой абсолютной погрешности вычислителя A(/s), % |
Абсолютная погрешность при измерении температуры А(0, °C |
Пределы допускаемой абсолютной погрешности при измерении температуры А(/)д, °C |
Таблица А.2 - Проверка диапазона измерений и определение абсолютной погрешности при измерении разности температуры А(А/)
|
Разность температуры Аг, °C |
Предел допускаемой абсолютной погрешности КИПТ А(АГ„„), °C |
Предел допускаемой абсолютной погрешности вычислителя А(А/й),°С |
Абсолютная погрешность при измерении разности температуры А(АГ), °C |
Пределы допускаемой абсолютной погрешности при измерении разности температуры А(АГ)Д, °C |
|
3 | ||||
|
10 | ||||
|
20 | ||||
|
147 |
Таблица А.З - Проверка диапазона измерений и определение приведённой погрешности при измерении давления уР воды, пара и газа
|
Давление, МПа (НПИ) |
Давление, МПа (ВПИ) |
Предел допускаемой приведённой погрешности ИПД уРип, % |
Предел допускаемой приведенной погрешности вычислителя при измерении силы тока и преобразовании в давление, уРв, % |
Приведённая погрешность при измерении давления уР, % |
Пределы допускаемой приведённой погрешности при измерении давления уРд % |
Таблица А.4 - Проверка диапазона измерений и определение приведённой погрешности при измерении разности давления /ДР воды, пара и газа
|
Давление, МПа (НПИ) |
Давление, МПа (ВПИ) |
Предел допускаемой приведённой погрешности ИПРД уЛРи„, % |
Предел допускаемой приведенной погрешности вычислителя при измерении силы тока и преобразовании в давление, уРв, % |
Приведённая погрешность при измерении разности давления /АР, % |
Пределы допускаемой приведённой погрешности при измерении разности давления /ДЛ% |
Таблица А.5 - Проверка диапазона измерений и определение относительной погрешности при измерении объёма воды 3V
|
Предел допускаемой относительной погрешности ИПРВ при измерении объёма 3Vun, % |
Предел допускаемой относительной погрешности при измерении и преобразовании количества импульсов в объём воды 3VB, % |
Относительная погрешность при измерении объёма воды ЗУ, % |
Пределы допускаемой относительной погрешности при измерении объёма воды ЗУД, % |
Таблица А.6 - Проверка диапазона измерений и определение относительной погрешности при измерении объёмного расхода воды 3G
|
Предел допускаемой относительной погрешности ИПРВ при измерении объёмного расхода 3Gun, % |
Предел допускаемой относительной погрешности при измерении и преобразовании частоты входных сигналов в объёмный расход 3GB, % |
Относительная погрешность при измерении объёмного расхода воды 3G, % |
Пределы допускаемой погрешности при измерении объёмного расхода 3Ga, % |
Таблица А.7 - Определение относительной погрешности при измерении электрической энергии ЗЕ
|
Предел допускаемой относительной погрешности СВЧ при измерении электрической энергии ЗЕи„, % |
Предел допускаемой относительной погрешности вычислителя при измерении и преобразовании количества импульсов в электрическую энергию ЗЕВ, % |
Относительная погрешность при измерении электрической энергии ЗЕ, % |
Пределы допускаемой относительной погрешности при измерении электрической энергии Жд, % |
|
±2 |
Таблица А.8 - Проверка диапазона измерений и определение относительной погрешности при измерении массы воды 8тв
|
Предел допускаемой относительной погрешности ИПРВ при измерении объёма воды ЗУип, % |
Предел допускаемой относительной погрешности вычислителя при расчёте массы воды по измеренным сигналам ИП Зтв, % |
Относительная погрешность при измерении массы воды Зтв, % |
Пределы допускаемой относительной погрешности при измерении массы воды Зтва, % |
Таблица А.9 - Проверка диапазона измерений и определение относительной погрешности при измерении массы пара 5тп
|
Предел допускаемой относительной погрешности ИПРП при измерении объёма пара 8УПип, % |
Предел допускаемой относительной погрешности вычислителя при измерении и преобразовании импульсов в объём пара 8Vв, % |
Предел допускаемой относительной погрешности вычислителя при расчёта массы пара <5тпв, % |
Относительная погрешность при измерении массы пара 8тп, % |
Пределы допускаемой относительной погрешности при измерении массы пара 8тПл, % |
Таблица А. 10 - Проверка диапазона измерений и определение относительной погрешности при измерении объёма природного газа в рабочих условиях 8Vг
|
Предел допускаемой относительной погрешности вычислителя при измерении и преобразовании количества импульсов в объём природного газа SVrB, % |
Предел допускаемой относительной погрешности ИПРГ при измерении объёма природного газа ёУгт, % |
Относительная погрешность при измерении объёма природного газа 8Угр, % |
Пределы допускаемой погрешности при измерении объёма природного газа 5VrP д, % |
Таблица А.11 - Проверка диапазона измерений и определение относительной погрешности при измерении объёмного расхода природного газа в рабочих условиях SGr
|
Предел допускаемой относительной погрешности вычислителя при измерении частоты входных сигналов и преобразовании в расход природного газа <5Gre, % |
Предел допускаемой относительной погрешности ИПРГ, входящего в состав комплекса, при измерении расхода природного газа ЗСгип, % |
Относительная погрешность при измерении объёмного расхода природного газа SGr, % |
Пределы допускаемой погрешности при измерении объёмного расхода природного газа 8Gra, % |
Таблица А. 12 - Проверка диапазона измерений и определение относительной погрешности при измерении объёма (объёмного расхода) расхода природного газа приведённого к стандартным условиям ЗРгст
|
Допускаемая относительная погрешность при измерении объёма газа в рабочих условиях 5КГр % |
Абсолютная погрешность при измерении температуры т °C |
Значение температуры природного газа, t °C |
Допускаемая приведённая погрешность комплекса при измерении избыточного давления уРи, % |
Допускаемая приведённая погрешность комплекса при измерении атмосферного давления уРа, % |
Задан ное значение избыточного давления Рш МПа |
Задан ное значение атмосферного давле ния, Ра. МПа |
Верхний предел диапазона измерения ипд избыточного давления р max МПа |
Верхний предел диапазона измерения ипд атмосферного давления, р max * а , МПа |
Относительная погрешность при измерении объёма (объёмного расхода) природного газа приведённого к стандартным условиям 3VГст, % |
Пределы допускаемой относительной погрешности при измерении объёма (объёмного расхода) природного газа приведённого к стандартным условиям SVГст д, % |
|
-22 |
±2 | |||||||||
|
10 | ||||||||||
|
66 |
Таблица А. 13 - Определение относительной погрешности при измерении тепловой энергии 8Q
|
Предел допускаемой относительной погрешности вычислителя при измерении тепловой энергии SQB, % |
Предел допускаемой абсолютной погрешности при измерении разности температуры A(AQ, °C |
Разность температуры А/, °C |
Предел допускаемой относительной погрешности при измерении массы воды 8тв, % |
Относительная погрешность при измерении тепловой энергии 8Q, % |
Пределы допускаемой относительной погрешности при измерении тепловой энергии 8Qm % | ||
|
Класс 1 |
Класс 2 |
Класс 1 |
Класс 2 | ||||
|
3 |
±6,3 |
±7,5 | |||||
|
10 |
±3,5 |
±4,7 | |||||
|
20 |
±2,9 |
±4,1 | |||||
|
147 |
±2,3 |
±3,6 | |||||
Таблица А. 13 - Определение относительной погрешности при измерении тепловой энергии паровых систем теплоснабжения 3Qnc
|
Предел допускаемой относительной погрешности вычислителя при измерении тепловой энергии SQB, % |
Относительная погрешность при измерении массы пара 8тп, % |
Относительная погрешность при измерении при измерении тепловой энергии dQnc, % |
Пределы допускаемой погрешности при измерении при измерении тепловой энергии SQnca, % |
Заключение по результатам поверки:
На основании положительных результатов поверки признан пригодным к эксплуатации
На основании отрицательных результатов поверки признан непригодным к эксплуатации
Дата поверки_________________ Подпись поверителя____________________________
Организация, проводившая поверку _____________________________________________
14
