Методика поверки «ГСИ. Система автоматизированная информационно-измерительная коммерческого учета электроэнергии филиала «Рефтинская ГРЭС» ПАО «Энел Россия»» (МП 143-264-2016)
Федеральное агентство по техническому регулированию и метрологии Федеральное государственное унитарное предприятие «Уральский научно-исследовательский институт метрологии» (ФГУП «УНИИМ»)

УТВЕРЖДАЮ
«УНИИМ»
. Медведевских
2016 г.
Государственная система обеспечения единства измерений
Система автоматизированная информационно-измерительная коммерческого учета электроэнергии филиала «Рефтинская ГРЭС» ПАО «Энел Россия»МЕТОДИКА ПОВЕРКИ
МП 143-264-2016Екатеринбург
2016 '
ПРЕДИСЛОВИЕ1 РАЗРАБОТАНА
2 ИСПОЛНИТЕЛИ
Федеральным государственным унитарным предприятием «Уральский научно-исследовательский институт метрологии» (ФГУП «УНИИМ»)
Засыпкин С.А, Розина О.Ю.
«2016 г.
впервые
Стр.
-
1 Область применения
-
5 Требования к квалификации поверителей и технике безопасности
-
-
8.2 Проверка идентификационных данных метрологически значимой части программного
Приложение А (рекомендуемое). Определение относительной погрешности
измерения электрической энергии и средней мощности..
Государственная система обеспечения единства измерений. Система автоматизированная информационно-измерительная коммерческого учета электроэнергии филиала «Рефтинская ГРЭС» ПАО «Энел Россия». Методика поверки
МП 143-264-2016
Дата введения________________
1 ОБЛАСТЬ ПРИМЕНЕНИЯНастоящая методика распространяется на систему автоматизированную информационно-измерительную коммерческого учета электроэнергии филиала «Рефтинская ГРЭС» ПАО «Энел Россия» (в дальнейшем - АИИС КУЭ) и устанавливает методику поверки измерительных каналов (ИК) системы.
Первичную поверку АИИС КУЭ выполняют после проведения испытаний АИИС КУЭ в целях утверждения типа. Допускается совмещение операций первичной поверки и операций, выполняемых при испытаниях.
Периодическую поверку системы выполняют в процессе ее эксплуатации. Рекомендуемый интервал между поверками АИИС КУЭ - 4 года.
Измерительные трансформаторы тока и напряжения, счетчики электрической энергии, устройства сбора и передачи данных (УСПД), входящие в состав ИК АИИС КУЭ, поверяют с интервалом между поверками, установленным при утверждении их типа.
Внеочередную поверку АИИС КУЭ проводят после ремонта АИИС КУЭ, замены её измерительных компонентов, аварий в энергосистеме, если эти события могли повлиять на метрологические характеристики ИК. Допускается подвергать поверке только те ИК, которые подверглись указанным выше воздействиям, при условии, что собственник АИИС КУЭ подтвердит официальным заключением, что остальные ИК этим воздействиям не подвергались.
Поверке подлежит каждый ИК АИИС КУЭ. Поверка ИК АИИС КУЭ в рамках настоящей методики проводится расчетно-экспериментальным методом. При этом экспериментально проверяется соответствие нормативным требованиям значений составляющих погрешности ИК. Погрешность ИК в рабочих условиях эксплуатации рассчитывается в соответствии с Приложением А на основе информации о значениях составляющих погрешности и дополнительных погрешностей, соответствующих условиям эксплуатации АИИС КУЭ.
2 НОРМАТИВНЫЕ ССЫЛКИВ настоящей методике использованы ссылки на следующие нормативные документы:
ГОСТ 8.216-2011 ГСИ. Трансформаторы напряжения. Методика поверки;
ГОСТ 8.217-2003 ГСИ. Трансформаторы тока. Методика поверки;
ГОСТ 1983-2001 Трансформаторы напряжения. Общие технические условия;
ГОСТ 7746-2001 Трансформаторы тока. Общие технические условия;
ГОСТ 12.2.007.0-75 ССБТ. Изделия электротехнические. Общие требования безопасности;
ГОСТ 12.2.007.3-75 ССБТ. Электротехнические устройства на напряжение свыше 1000 В. Требования безопасности;
ГОСТ 8.567-2014 Государственная система обеспечения единства измерений. Измерения времени и частоты. Термины и определения.
Правила по охране труда при эксплуатации электроустановок;
Правила технической эксплуатации электроустановок потребителей;
РД 34.11.333-97 «Типовая методика выполнения измерений количества электрической энергии»;
РД 34.11.334-97 «Типовая методика выполнения измерений электрической мощности».
3 ОПЕРАЦИИ ПОВЕРКИПри проведении поверки АНИС КУЭ должны быть выполнены операции, указанные в таблице 1.
В случае невыполнения хотя бы одной операции поверка соответствующего ИК прекращается, ИК снимается с поверки до устранения обнаруженных недостатков.
Таблица 1 - Операции поверки
Наименование операции |
Номер пункта МП |
Проведение операции при | |
первичной поверке |
периодической поверке | ||
1 |
......,1111.......1 |
1ШШВ |
4 |
1 Внешний осмотр |
8.1 |
Да |
Да |
2 Проверка идентификационных данных метрологически значимой части программного обеспечения АЛИС КУЭ |
8.2 |
Да |
Да |
3 Опробование: |
8.3 | ||
3.1 Проверка функционирования счетчиков электрической энергии |
8.3.1 |
Да |
Да |
3.2 Проверка функционирования устройства сбора и |
8.3.2 |
Да |
Да |
передачи данных 3.3 Проверка функционирования сервера баз данных АЛИС КУЭ |
8.3.3 |
Да |
Да |
3.4 Проверка функционирования вспомогательных |
8.3.4 |
Да |
Да |
устройств 3.5 Проверка нагрузки вторичных цепей измерительных трансформаторов напряжения |
8.3.5 |
Да |
Да |
Продолжение таблицы 1
1 |
2 |
шшшл |
4 |
3.6 Проверка нагрузки вторичных цепей измерительных трансформаторов тока |
8.3.6 |
Да |
Да |
3.7 Проверка падения напряжения в линии связи между вторичной обмоткой измерительных трансформаторов напряжения и счетчиков электрической энергии |
8.3.7 |
Да |
Да |
4 Проверка метрологических характеристик |
8.4 |
Да |
Да |
4.1 Поверка измерительных компонентов АИИС КУЭ : счетчиков электрической энергии, измерительных трансформаторов тока, измерительных трансформаторов напряжения, УСПД |
8.4.1 |
Да |
Да |
4.2 Определение относительной погрешности передачи и обработки данных |
8.4.2 |
Да |
Да |
4.3 Определение относительной погрешности вычисления приращения электрической энергии |
8.4.3 |
Да |
Да |
4.4 Определение относительной погрешности вычисления средней мощности |
8.4.4 |
Да |
Да |
4.5 Определение отклонения показаний часов любого компонента системы от действительного времени в национальной шкале времени UTC(SU) при работающей системе коррекции времени |
8.4.5 |
Да |
Да |
4.6 Определение относительной погрешности измерения электрической энергии и средней мощности |
8.4.6 |
Да |
Нет |
Периодичность поверки - в соответствии с методикой поверки на средства измерений, входящие в состав АИИС КУЭ. | |||
UTC(SU) - национальная шкала координированного времени Российской Федерации (см. 3.1.15 ГОСТ 8.567-2014). |
-
4.1 При проведении поверки ПК АПИС КУЭ необходимо применять средства поверки и вспомогательные средства, указанные в описаниях типа на измерительные трансформаторы тока и напряжения, счетчики электрической энергии, входящие в состав ПК АИИС КУЭ, а также приведенные в таблице 2.
Таблица 2 - Средства поверки и вспомогательные средства
№ п/п |
Наименование и тип основного или вспомогательного средства поверки, обозначение документа, регламентирующего технические требования и (или) метрологические и основные технические характеристики |
1 |
.............. |
1 |
Термогигрометр «ИВА-6», диапазон измерений температуры от -20 до +50 °C, пределы допускаемой абсолютной погрешности ±3 °C, ТУ 4311-011-77511225-2010 |
Продолжение таблицы 2
1 |
....... ...... ..... |
2 |
Переносной компьютер с установленной операционной системой Windows, программным обеспечением «Alphaplus» и оптическим преобразователем АЕ-1 |
3 |
Программа «MD5 Hasher» для проверки идентификационных данных программного обеспечения |
4 |
Средства поверки измерительных трансформаторов напряжения в соответствии с ГОСТ 8.216-2011 |
5 |
Средства поверки измерительных трансформаторов тока в соответствии с ГОСТ 8.217-2003 |
6 |
Средства поверки счетчиков электрической энергии типа ЕвроАЛЬФА в соответствии с документом «Многофункциональный микропроцессорный счетчик электрической энергии типа Евро-АЛЬФА (ЕА). Методика поверки», утвержденным «ВНИИМ им. Д.И. Менделеева» в 1998 г. |
7 |
Средства поверки счетчиков электрической энергии типа Альфа А1800 в соответствии с документом «Счетчики электрической энергии трехфазные многофункциональные Альфа А1800. Методика поверки МП 2203-0042-2006», утвержденным ГЦИ СИ ФГУП «ВНИИМС» в 2006 г. |
8 |
Средства поверки УСПД RTU-327 в соответствии с документом «Устройство сбора и передачи данных серии RTU-327. Методика поверки. ДЯИМ.466215.007 МП», утвержденным ГЦИ СИ ФГУП «ВНИИМС» в 2009 г. |
9 |
Приемник навигационный МНП-МЗ, пределы допускаемой инструментальной погрешности (при доверительной вероятности 0,95) формирования метки времени, выдаваемой потребителям, по отношению к шкале времени UTC(SU) ± 100 нс |
-
4.2 Допускается применение средств поверки, отличающихся от приведенных в таблице 2, но обеспечивающих определение метрологических характеристик ИК с требуемой точностью.
-
5.1 К проведению поверки допускаются лица, изучившие эксплуатационную документацию АИИС КУЭ, работающие в метрологической службе организации, аккредитованной на право поверки средств измерений электрических величин, и имеющие квалификационную группу по безопасности не ниже III.
-
5.2 При проведении поверки должны быть соблюдены требования ГОСТ 12.2.007.0-75, ГОСТ 12.2.007.3-75, Правила технической эксплуатации электроустановок потребителей, Правила по охране труда при эксплуатации электроустановок, а также требования безопасности на средства поверки, поверяемые трансформаторы, счетчики и УСПД, изложенные в их руководствах по эксплуатации.
Условия поверки АИИС КУЭ должны соответствовать условиям ее эксплуатации, нормированным в технической документации, но не выходить за нормированные условия применения средств поверки.
7 ПОДГОТОВКА К ПОВЕРКЕ-
7.1 Для проведения поверки представляют следующую документацию:
-
- эксплуатационную документацию на компоненты АИИС КУЭ и на АИИС КУЭ в целом;
-
- свидетельства о поверке измерительных трансформаторов тока (ТТ) и напряжения (TH), счетчиков электрической энергии и УСПД, входящих в состав ИК АИИС КУЭ, и свидетельство о предыдущей поверке АИИС КУЭ (при периодической и внеочередной поверке);
-
- паспорта-протоколы информационно-измерительных комплексов;
-
- рабочие журналы АИИС КУЭ с данными по климатическим и иным условиям эксплуатации за интервал между поверками (только при периодической поверке).
Перед проведением поверки выполняют следующие подготовительные работы:
-
- проводят технические и организационные мероприятия по обеспечению безопасности поверочных работ в соответствии с действующими правилами и руководствами по эксплуатации применяемого оборудования;
-
- средства поверки выдерживают в условиях и в течение времени, установленных в эксплуатационной документации на средства поверки;
-
- все средства измерений, которые подлежат заземлению, должны быть надежно заземлены, подсоединение зажимов защитного заземления к контуру заземления должно производиться ранее других соединений, а отсоединение - после всех отсоединений.
-
7.2 Перед проведением поверки решается следующий комплекс вопросов:
Пользователь АИИС КУЭ готовит заверенные перечни поверяемых ИК с указанием наименования объекта (присоединения), вида измеряемой величины, типов, заводских номеров, классов точности счетчиков электрической энергии, типов и заводских номеров УСПД, типов, заводских номеров, классов точности и коэффициентов трансформации трансформаторов тока и напряжения.
Определяется состав персонала, привлекаемого к проведению поверки, и проводится его инструктаж.
Поверитель знакомится с эксплуатационной документацией на компоненты и на АИИС КУЭ в целом.
Поверитель проверяет наличие действующих свидетельств о поверке измерительных трансформаторов тока и напряжения, счетчиков электрической энергии и УСПД, входящих в состав ИК АИИС КУЭ, наличие оформленных паспортов-протоколов всех информационноизмерительных комплексов.
8 ПРОВЕДЕНИЕ ПОВЕРКИ-
8.1 Внешний осмотр
При проведении внешнего осмотра необходимо убедиться, что:
-
- фактический состав средств измерений АИИС КУЭ соответствует оборудованию, указанному в описании типа АИИС КУЭ и в эксплуатационной документации системы;
-
- фактический состав технических и программных средств информационновычислительного комплекса соответствует указанному в эксплуатационной документации системы;
-
- средства измерений из состава ИК: измерительные трансформаторы напряжения и тока, счетчики электроэнергии, УСПД имеют действующие свидетельства о поверке. Если в результате проверки наличия действующих свидетельств о поверке указанных средств измерений получен отрицательный результат, то средство измерений поверяют в соответствии с п. 8.4.1 настоящей методики поверки;
-
- присутствуют необходимые для средств коммерческого учета пломбы и клейма;
-
- измерительные компоненты, входящие в состав ИК, исправны и на них нет видимых механических повреждений;
-
- в местах подключения проводных линий отсутствуют следы коррозии и нагрева;
-
- условия эксплуатации средств измерений и оборудование из состава ИК АИИС КУЭ соответствуют требованиям, указанным в технической документации системы.
-
8.2 Проверка идентификационных данных метрологически значимой части программного обеспечения АИИС КУЭ
-
8.2.1 Метрологически значимая часть программного обеспечения АИИС КУЭ включает файл ac_metrology.dll из состава программного обеспечения ПО «АльфаЦЕНТР», функционирующего на сервере баз данных АИИС КУЭ, наименование и идентификационные данные которого представлены в таблице 3.
-
Таблица 3 - Идентификационные данные программного обеспечения
Идентификационные данные (признаки) |
Значение |
Идентификационное наименование ПО |
ac_metrology.dll |
Номер версии (идентификационный номер) ПО |
не ниже 12.1.0.0 |
Цифровой идентификатор ПО |
3e736b7f380863f44cc8e6f7bd211с54 |
Алгоритм вычисления цифрового идентификатора ПО |
MD5 |
-
8.2.2 Провести проверку номера версии файла ac_metrology.dll. Проверку проводить с использованием стандартных средств ПО системы. Проверка считается успешной, если отображаемый на экране компьютера номер версии контролируемого файла совпадает с приведенным в таблице 3. При обнаружении несоответствия поверка прекращается до устранения обнаруженного несоответствия.
-
8.2.3 Определение цифрового идентификатора ПО.
Установить на выбранном в соответствии с 8.2.1 компьютере программу «MD5 Hasher.exe», входящую в комплект средств поверки. Запустить программу с помощью двойного щелчка мыши на иконке программы. В открывшемся главном окне программы «MD5 Hasher.exe» нажать кнопку «Обзор», после чего в открывшемся окне найти каталог, в котором находится рассматриваемый файл. Выбрать этот файл, кликнув на нем левой кнопкой мыши и нажать кнопку «Открыть». Сразу после этого в окне программы «MD5 Hasher.exe» появится цифровой идентификатор рассматриваемого файла. Убедиться, что отображаемый на экране компьютера цифровой идентификатор файла совпадает с приведенным в таблице 3. При обнаружении несоответствия поверка прекращается до устранения обнаруженного несоответствия.
-
8.3 Опробование
-
8.3.1 Проверка функционирования счетчиков электрической энергии
-
При проверке выполняют следующие операции:
-
- проверяют наличие и сохранность пломб поверительных и энергосбытовых организаций на счетчике. При отсутствии или нарушении таких пломб дальнейшие операции по поверке АИИС КУЭ выполняют после исправления обнаруженных недостатков;
-
- проверяют работу всех сегментов индикаторов, отсутствие кодов ошибок или предупреждений, прокрутку параметров в заданной последовательности;
-
- проверяют работоспособность оптического порта счетчика с помощью переносного компьютера. Оптический порт подключают к любому последовательному порту переносного компьютера. Опрашивают счетчик по установленному соединению. Опрос счетчика считается успешным, если получен отчет, содержащий данные, зарегистрированные счетчиком;
-
- проверяют соответствие индикации даты в счетчике календарной дате (число, месяц, год).
-
8.3.2 Проверка функционирования УСПД
При проверке выполняют следующие операции:
-
- проверяют наличие и сохранность пломб поверительных и энергосбытовых организаций на УСПД;
-
- проверяют правильность функционирования У СПД в соответствии с его эксплуатационной документацией. Проверка считается успешной, если все подсоединенные к УСПД счетчики опрошены и нет сообщений об ошибках;
-
- проверяют программную защиту УСПД от несанкционированного доступа;
-
- проверяют правильность значений коэффициентов трансформации измерительных трансформаторов тока и напряжения, хранящихся в памяти процессора УСПД.
-
8.3.3 Проверка функционирования сервера баз данных АНИС КУЭ
При проверке выполняют следующие операции:
-
- проводят опрос текущих показаний всех счетчиков электроэнергии;
-
- проверяют глубину хранения измерительной информации в сервере АНИС КУЭ;
-
- проверяют защиту программного обеспечения, установленного на компьютерах АЛИС КУЭ (сервера баз данных) от несанкционированного доступа. Для этого запускают на выполнение программу сбора данных и в поле «ПАРОЛЬ» вводят неправильный код. Проверку считают успешной, если при вводе неправильного пароля программа не разрешает продолжать работу.
-
8.3.4 Проверка функционирования вспомогательных устройств
Убеждаются в исправности преобразователей интерфейсов по состоянию их световой индикации. Вспомогательные устройства считаются исправными, если были установлены коммутируемые соединения и по установленным соединениям успешно прошел опрос счетчиков.
-
8.3.5 Проверка нагрузки вторичных цепей измерительных трансформаторов напряжения
При проверке выполняют следующие операции:
-
- проверяют наличие и сохранность пломб поверительных и энергосбытовых организаций на клеммных соединениях, имеющихся на линии связи измерительных трансформаторов напряжения со счетчиком электрической энергии. При отсутствии или нарушении таких пломб дальнейшие операции по поверке АНИС КУЭ выполняют после исправления обнаруженных недостатков;
-
- проверяют мощность нагрузки измерительных TH. Проверка считается успешной, если согласно паспортам-протоколам, утвержденным в установленном порядке, мощность нагрузки вторичных цепей измерительных TH соответствует требованиям ГОСТ 1983-2001.
-
8.3.6 Проверка нагрузки вторичных цепей измерительных трансформаторов тока
При проверке выполняют следующие операции:
-
- проверяют наличие и сохранность пломб поверительных и энергосбытовых организаций на клеммных соединениях, имеющихся на линии связи измерительных трансформаторов тока со счетчиком электрической энергии. При отсутствии или нарушении таких пломб дальнейшие операции по поверке АИИС КУЭ выполняют после исправления обнаруженных недостатков;
- проверяют мощность нагрузки измерительных трансформаторов тока. Проверка считается успешной, если согласно паспортам-протоколам, утвержденным в установленном порядке, мощность нагрузки вторичных цепей измерительных ТТ соответствует требованиям ГОСТ 7746-2001.
-
8.3.7 Проверка падения напряжения в линии связи между вторичной обмоткой измерительных трансформаторов напряжения и счетчиком электрической энергии
Проверка считается успешной, если согласно паспортам-протоколам, утвержденным в установленном порядке, падение напряжения в линии связи между вторичной обмоткой измерительных трансформаторов напряжения и счетчиком электрической энергии не превышает 0,25 % от номинального значения напряжения на вторичной обмотке измерительных трансформаторов напряжения.
8.4 Проверка метрологических характеристик
ИК АИИС КУЭ характеризуются следующими составляющими погрешности измерения электрической энергии и мощности:
-
- предел допускаемой относительной погрешности напряжения 8ц,%, и угловой погрешности ®и, угл.мин., измерительного трансформатора напряжения, определяемый классом точности трансформатора;
-
- предел допускаемой относительной токовой погрешности 8i,% и угловой погрешности 0i, угл.мин. измерительного трансформатора тока, определяемый классом точности трансформатора;
-
- предел допускаемой относительной погрешности измерения электрической энергии счетчиком, определяемый классом точности счетчика, 8сч , %;
-
- пределы допускаемой относительной погрешности передачи и обработки данных 81 равны ± 0,01 %;
-
- пределы допускаемой относительной погрешности вычисления приращения электрической энергии 82 равны ± 0,01 %;
-
- пределы допускаемой относительной погрешности вычисления средней мощности 83 равны ±0,01%;
пределы допускаемого отклонения показаний часов любого компонента системы от действительного времени в национальной шкале времени UTC(SU) при работающей системе коррекции времени Ад равны ± 5 с.
Относительная погрешность измерения электрической энергии и средней мощности определяется расчетным путем согласно Приложению А на основе приведенных выше составляющих погрешности ИК.
-
8.4.1 Поверка измерительных компонентов АИИС КУЭ: счетчиков электрической энергии, измерительных трансформаторов тока, измерительных трансформаторов напряжения, УСПД
Проверяют наличие свидетельств о поверке и срок их действия для всех измерительных компонентов: измерительных трансформаторов тока и напряжения, счетчиков электрической энергии, УСПД. При обнаружении просроченных свидетельств о поверке измерительных компонентов или свидетельств, срок действия которых близок к окончанию, дальнейшие операции по поверке ПК, в который они входят, выполняют после поверки этих измерительных компонентов.
-
8.4.4.1 Поверка измерительных трансформаторов напряжения.
Трансформаторы напряжения из состава ПК АПИС КУЭ поверяют по ГОСТ 8.216-2011 с периодичностью, установленной при утверждении типа трансформатора напряжения. В ходе поверки проверяется соответствие фактических значений погрешности напряжения и угловой погрешности трансформатора напряжения нормативным требованиям.
-
8.4.1.2 Поверка измерительных трансформаторов тока.
Трансформаторы тока из состава ПК АЛИС КУЭ поверяют по ГОСТ 8.217-2003 с периодичностью, установленной при утверждении типа трансформатора тока. В ходе поверки проверяется соответствие токовой и угловой погрешностей трансформатора тока нормативным требованиям.
-
8.4.1.3 Поверка счетчиков электрической энергии.
Счетчики электрической энергии типа Евро Альф а поверяют по документу «Многофункциональный многопроцессорный счетчик электрической энергии типа ЕвроАЛЬФА. Методика поверки», согласованному с ГЦИ СИ ФГУ «Ростест-Москва» в 2003 г.
Счетчики электрической энергии типа Альфа А1800 поверяют по документу «Счетчики электрической энергии трехфазные многофункциональные Альфа А1800. Методика поверки МП 2203-0042-2006», утвержденному ГЦИ СИ ФГУП «ВНИИМС» в 2006 г.;
В ходе поверки проверяется соответствие метрологических характеристик счетчиков нормативным требованиям.
-
8.4.1.4 Поверка УСПД.
УСПД поверяют согласно документу «Устройство сбора и передачи данных серии RTU-327. Методика поверки. ДЯИМ.466215.007 МП», утвержденному ГЦИ СИ ФГУП «ВНИИМС» в 2009 г. В ходе поверки проверяется соответствие метрологических характеристик УСПД нормативным требованиям.
8.4.2 Определение отклонения показаний часов любого компонента системы от действительного времени в национальной шкале времени UTC(SU) при работающей системе коррекции времени
-
8.4.2.1 Проверка хода часов сервера баз данных .
Готовят к работе и включают в соответствии с п.2 Руководства по эксплуатации ЦВИЯ.468157.080 РЭ навигационный приемник МНП-МЗ . В конце любого часа по показаниям приемника МНП-МЗ проверяют показания часов сервера баз данных. Расхождение показаний часов сервера баз данных с показаниями приемника по абсолютной величине не должно превышать 2 с.
В качестве источников точного времени могут использоваться тайм-сервера первого уровня (Stratum 1) ФГУП «ВНИИФТРИ», работающие в сети Интернет от сигналов рабочей шкалы Государственного первичного эталона времени и частоты РФ (см. Бюллетень В 13/2010). При этом смещение (offset) часов используемого компьютера относительно эталонного времени, контролируемое с помощью интерпретатора команд CMD.EXE, входящего в состав ОС «Windows ХР», не должно превышать 0,1 с.
8.4.2.2.Проверка хода часов УСПД.
В конце любого часа по показаниям приемника МНП-МЗ проверяют показания часов УСПД. Расхождение показаний часов УСПД с показаниями приемника по абсолютной величине не должно превышать 2 с.
-
8.4.2.3 Проверка коррекции времени встроенных часов счетчиков АИИС КУЭ.
Распечатывают журналы событий всех счетчиков электрической энергии из состава АИИС КУЭ.
Расхождение времени часов счетчик - УСПД в момент времени, предшествующий коррекции, по абсолютной величине не должно превышать 2 с.
-
8.4.2.4 Определение отклонения показаний часов счетчиков системы от действительного времени в национальной шкале времени UTC(SU) при работающей системе коррекции времени
Отклонение показаний часов определяют для всех счетчиков электрической энергии, входящих в АИИС КУЭ.
Зафиксировать показания используемого в соответствии с п.8.4.2.1 источника точного времени to. Вызвать на экран индикаторного табло и зафиксировать показания счетчика по времени tC4.
Вычислить отклонение показаний встроенных часов счетчика системы At, с, по формуле
At = tc4-to. (1)
Результат поверки считают положительным, если для каждого счетчика системы полученное отклонение показаний часов At по абсолютной величине не превышает 5 с.
8.4.3 Определение относительной погрешности передачи и обработки данных.
Погрешность определять для каждого ИК АИИС КУЭ.
Выводят на экран сервера баз данных с помощью ПО «АльфаЦЕНТР» данные за прошедшие полные сутки по поверяемому ИК: значения электрической энергии за 30-минутные интервалы времени Е(1)диис , кВт ч (кварч), где «i» - номер 30-минутного интервала времени, i = 1, 2, 3,..., 48.
С помощью установленного на переносном компьютере ПО «AlphaPlus» считывают значения из регистров средних мощностей счетчика из состава поверяемого ИК за те же сутки N(i), i= 1, 2, 3,..., 48.
Проверяют наличие данных, соответствующих каждому 30-минутному интервалу времени. Пропуск данных не допускается.
Для каждого 30-минутного интервала времени вычисляют действительное значение электрической энергии Е(1), кВт ч (квар ч), по формуле
E(i) =N(i)-KT-KH/2, (2)
где N(i) - значение из регистров средних мощностей за 30-минутный интервал времени, хранящееся в соответствующем массиве профиля мощности счетчика электрической энергии, кВт(квар);
Кт и Кн - коэффициенты трансформации по току и напряжению соответственно, указанные в технической документации на измерительные трансформаторы.
Относительную погрешность передачи и обработки данных 5/, % вычисляют по формуле
81' = (Е(1)Аиис / E(i) - 1) • 100. (3)
Результат поверки считают положительным, если полученное значение погрешности §i' по абсолютной величине не превышает 0,01 %.
-
8.4.4 Определение относительной погрешности вычисления приращения электрической энергии.
Погрешность определять для каждого ИК АИИС КУЭ.
Выводят на экран сервера баз данных с помощью ПО «АльфаЦЕНТР» следующие данные по поверяемому ИК: значение приращения энергии за рассматриваемые сутки Едиис, кВт ч (кварч); значения электрической энергии за 30-минутные интервалы времени рассматриваемых суток Е(1)диис, кВт ч (квар ч), i = 1, 2, 3,..., 48.
Относительную погрешность вычисления приращения электрической энергии бг', %, вычисляют по формуле
48
82(Едиис Е(1)диис - 1) ’100. (4)
i=l
Результат поверки считают положительным, если полученное значение погрешности §2' по абсолютной величине не превышает 0,01 %.
-
8.4.5 Определение относительной погрешности вычисления средней мощности.
Погрешность определять для каждого ИК АИИС КУЭ.
Вывести на экран сервера баз данных с помощью ПО «АльфаЦЕНТР» значение средней мощности Рб)диис, кВт (квар), и значение электрической энергии Е(1)диис , кВт ч (квар ч), за выбранный 30-минутный интервал времени рассматриваемых суток по поверяемому ИК.
Вычислить действительное значение средней мощности за 30-ти минутный интервал времени Р, кВт (квар), по формуле
Р = Е(1)диис ^час, (5)
где Тчас = 0,5 ч - значение длительности 30-минутного интервала времени;
i - номер текущего 30-минутного интервала времени.
Относительную погрешность вычисления средней мощности 83',%, вычислить по формуле
8з' = (Р(1)диис/Р-1)Ю0. (6)
Результат поверки считают положительным, если полученное значение погрешности §з' по абсолютной величине не превышает 0,01 %.
-
8.4.6 Определение относительной погрешности измерения электрической энергии и средней мощности
Относительная погрешность измерения электрической энергии и средней мощности определяется расчетным путем согласно Приложению А на основе приведенных выше составляющих погрешности ИК АИИС КУЭ.
Расчет выполняют в обязательном порядке при первичной поверке АИИС КУЭ и в необходимых случаях при периодической поверке.
9 ОФОРМЛЕНИЕ РЕЗУЛЬТАТОВ ПОВЕРКИ-
9.1 По результатам поверки оформляют протокол поверки произвольной формы, в котором приводят результаты определения метрологических характеристик и заключение по результатам поверки.
-
9.2 На основании положительных результатов поверки выписывают свидетельство о поверке АИИС КУЭ в соответствии с Приказом Минпромторга России от 2 июля 2015 г. № 1815 «Об утверждении порядка проведения поверки средств измерений, требования к знаку поверки и содержанию свидетельства о поверке». В приложении к свидетельству указывают перечень ИК.
-
9.3 При отрицательных результатах поверки АИИС КУЭ признается непригодной к применению, свидетельство о поверке аннулируется и выписывается извещение о непригодности к применению в соответствии с с Приказом Минпромторга России от 2 июля 2015 г. № 1815 «Об утверждении порядка проведения поверки средств измерений, требования к знаку поверки и содержанию свидетельства о поверке».
Засыпкин С.А.
Розина О.Ю.
Заведующий лабораторией 264 ФГУП «УНИИМ»
Н.с. лаб. 264 ФГУП «УНИИМ»
ПРИЛОЖЕНИЕ А(рекомендуемое)
ОПРЕДЕЛЕНИЕ ОТНОСИТЕЛЬНОЙ ПОГРЕШНОСТИ ИЗМЕРЕНИЯ ЭЛЕКТРИЧЕСКОЙ ЭНЕРГИИ И СРЕДНЕЙ МОЩНОСТИПогрешность ИК при измерениях электрической энергии и средней мощности рассчитывают в соответствии с РД 34.11.333-97 и РД 34.11.334-97 на основе информации о значениях составляющих погрешностей ИК АИИС КУЭ.
А.1 В качестве показателей точности измерений электрической энергии и мощности принимаются соответственно границы ± 5 е и ± 5 р интервала, в пределах которого находится с доверительной вероятностью Р = 0,95 суммарная погрешность измерений электрической энергии и мощности в рабочих условиях эксплуатации.
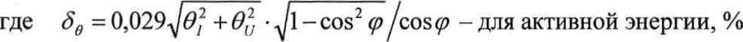
А.2 Верхняя граница +5 е, %, и нижняя граница -5е, %, интервала, в котором с доверительной вероятностью Р = 0,95 находится относительная погрешность измерения электрической энергии за интервал времени т, кратный периоду профиля мощности счетчика, рассчитывается на основании соотношения:

(АЛ)

+ -cos^/Jl - cos2 (р - для реактивной энергии, %;
и би - пределы допускаемых значений токовой погрешности измерительного трансформатора тока и погрешности напряжения измерительного трансформатора напряжения соответственно, %;
Gi и 0и - пределы допускаемых значений угловых погрешностей измерительных трансформаторов тока и напряжения соответственно, угловые минуты;
cos(p - коэффициент мощности контролируемого присоединения;
5Л - предел допускаемой погрешности из-за потери напряжения в линии присоединения счетчика к трансформатору напряжения, %;
5СЧ - предел допускаемой погрешности счетчика в рабочих условиях применения, %.
Верхняя граница +8Р, %, и нижняя граница -5Р , %, интервала, в котором с
доверительной вероятностью Р = 0,95 находится относительная погрешность измерения средней мощности, усредненной за интервал времени т, кратный периоду профиля мощности счетчика, рассчитывается на основании соотношения:

(А.2)

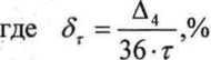
Д4 = ± 5 с - пределы допускаемого отклонения показаний часов любого компонента системы от действительного времени в национальной шкале времени UTC(SU) при работающей системе коррекции времени;
т - продолжительность рассматриваемого интервала времени, ч.
13