Методика поверки «ГСИ. Расходомеры-корректоры турбинные многопараметрические Trimeter-turbo М25» (МП-2550-0278-2016)
УТВЕРЖДАЮ
Директор
«12» сентября 2016 г
им. Д.И. Менделеева»
К.В. Гоголинский
Расходомеры-корректоры турбинные многопараметрические Trimeter-turbo М2 5 МЕТОДИКА ПОВЕРКИМП-2550-0278-2016
Руководитель отдела
ФГУП «ВНИИМ им. Д.И. Менделеева»

К.В. Попов
Санкт-Петербург
2016
Настоящая методика поверки распространяется на расходомеры-корректоры турбинные многопараметрические TriMeter-turbo М25 (далее-расходомеры), выпускаемые фирмой VorTek Instruments LLC США, и устанавливает методику их первичной и периодической поверки
Поверка расходомеров, работающих на жидкой среде, производится на воде, поверка расходомеров, работающих на газовой среде, производится на воздухе.
Интервал между поверками - 3 года.
1 .Операции поверки
-
1.1. При проведении поверки выполняются операции в соответствии с таблицей 1.
Таблица 1
|
Наименование операции |
Первичная поверка |
Периодическая поверка |
|
Внешний осмотр по п. 5.1 |
+ |
+ |
|
Опробование по п.5.2 Подтверждение соответствия программного обеспечения (ПО) по п. 5.2.2 |
+ |
+ |
|
Проверка диапазона измерений и определение относительной погрешности при измерении объемного расхода жидкости или газа по п.5.3.1 |
+ |
+ |
|
Проверка диапазона измерений и |
+ | |
|
определение абсолютной погрешности при измерении температуры по п.5.3.2 |
+ |
+ |
|
Проверка диапазона измерений и | ||
|
определение приведенной погрешности при измерении избыточного давления по п. 5.3.3 |
+ |
1.2. При отрицательных результатах одной из операций поверка прекращается.
2. Средства поверки и вспомогательное оборудование.При проведении поверки применяются нижеперечисленные эталонные средства измерений и вспомогательное оборудование:
-установка поверочная расходомерная (для жидких сред) с погрешностью не более 0,4 % с диапазоном измерений до 320 м3/ч;
-
- установка поверочная газа с погрешностью не более 0,5 % с диапазоном измерений до 3200 м3/ч;
-
- для поверки термометров сопротивления применяется термостат жидкостный с погрешностью не более 0,2 °C, с диапазоном измерений от 5 до 95 °C
-
- для поверки преобразователя избыточного давления применяется грузопоршневой манометр с погрешностью не более 0,05 % с диапазоном измерений
от 0 до 10 МПа
-
- термометр стеклянный типа ТЛ-16 по ГОСТ 2045;
-
- барометр типа М-67, диапазон измерений (от 610 до 900) мм. рт. ст., погрешность не более ± 0,05%;
-
- вольтметр универсальный В7-46, диапазон измерений от 0 до 100 мА погрешность не более 0,02%;
-
- блок питания Б5-44, 0-30 В, 0-100 мА.
Средства поверки должны иметь действующие свидетельства о поверке.
Допускается использовать другие средства поверки, если они по своим характеристикам не хуже, указанных в п.2.
3. Требования безопасности-
3.1. При проведении поверки соблюдают требования безопасности по ГОСТ 22261-94, а также правила техники безопасности, которые действуют на предприятиях (организациях), где проводят поверку и правила безопасности, указанные в эксплуатационной документации на поверочное оборудование и поверяемые средства измерений.
К поверке допускаются лица, имеющие квалификационную группу по технике безопасности не ниже II согласно «Правилам техники безопасности при эксплуатации электроустановок потребителей», изучившие руководство по эксплуатации (РЭ) и правила пользования средствами поверки. Поверитель должен пройти инструктаж по технике безопасности и противопожарной безопасности, в том числе на рабочем месте.
4. Условия поверки и подготовка к ней
4.1. При проведении поверки должны быть соблюдены следующие условия:
|
от 15 до 25 от 30 до 80 от 84 до 106 от 15 до 25 от 187 до242 от 49до 51 |
-
4.2. Перед проведением поверки необходимо выполнить следующие подготовительные работы:
-
- подготовить к работе расходомер согласно Руководству по эксплуатации;
-
- подготовить эталонные СИ согласно эксплуатационной документации на них;
-
- выполнить монтаж электрических соединений в соответствии с ГОСТ12.3.032 и "Правилами устройства электроустановок" (раздел VII);
-
- стабилизировать температуру измеряемой среды.
Проверяют правильность монтажа поверяемого расходомера в соответствии с требованиями эксплуатационной документации.
-
4.2.1. Конфигурирование расходомера.
ВНИМАНИЕ! Перед проведением поверки необходимо убедиться в соответствии типа рабочей среды, установленной в электронном блоке, типу рабочей среды, применяемой в поверочной расходомерной установке, в противном случае выполнить
следующие операции.
-
4.2.1.1. Отвернуть лицевую крышку электронного блока или использовать постоянный магнитик для дистанционного доступа к клавишам настройки.
-
4.2.1.2. Если нет магнитика, строго соблюдая правила защиты от воздействия статического электричества (используя антистатические браслеты и т.п.), используя доступ к клавиатуре прибора, приступить к проверке установленной среды, единиц измерения расхода, внутреннего диаметра трубопровода и диапазонов измерения.
-
4.2.1.3. Подать питание на электронный блок. Руководствуясь “Руководством по

эксплуатации” главой «Руководство по настройке» выполнить нижеследующие действия.
-
4.2.1.4. Для доступа к меню конфигурации в режиме индикации текущих данных нажмите клавишу Enter. В появившемся окне запроса пароля (Password) введите пароль 1234 (заводской пароль, может быть изменен пользователем), для этого клавиши V О используются для выбора цифр, а клавиши <= => для перемещения курсора. После ввода пароля и нажатия клавиши Enter прибор переходит в режим конфигурации.
-
4.2.1.5. Используя клавиши <==>, перейти в меню Измеряемая Среда (Fluid Menu). Затем нажмите клавишу 11 для перемещения в подменю Тип Измеряемой Среды (Flowing Fluid). Для входа в режим редактирования измеряемой среды нажмите клавишу Enter. Для выбора типа среды используйте клавиши ■U И и <==>, следуя указателям направления > <. Для сохранения выбора нажмите клавишу Enter. Для возврата в верхний уровень меню нажмите клавишу 11.
-
4.2.1.6. Используя клавиши <==>, перейдите в меню Единицы измерения (Units Menu). Затем нажмите клавишу U для перемещения в подменю Единицы объемного расхода (Volume Flow Unit). Нажмите клавишу Enter для входа в режим выбора. Затем, используя клавиши U И, выберите первую часть размерности шл3, для перехода в режим редактирования второй части размерности нажмите клавишу =>. Используя клавиши U 11, выберите размерность hr (час). Для сохранения выбора нажмите клавишу Enter. Для возврата в верхний уровень меню нажмите клавишу 11 до появления меню Единицы измерения (Units Menu).
-
4.2.1.7. Используя клавиши <==>, перейдите в меню Калибровка (Calibration Menu). Нажмите клавишу И для перемещения в подменю внутренний диаметр трубопровода (Meter Size or Pipe ID). Нажмите клавишу Enter для входа в режим выбора. Далее клавиши U 11 используются для выбора цифр, а клавиши <= => для перемещения курсора. Внутренний диаметр устанавливается в дюймах (1 дюйм = 25,4 мм). Для сохранения выбора нажмите клавишу Enter. Для возврата в верхний уровень меню нажмите клавишу 11 до появления меню Калибровка (Calibration Menu).
-
4.2.1.8. Используя клавиши <= =>, перейдите в меню Выходных сигналов (Output Menu). Нажмите клавишу И для перемещения в подменю 1 выходной токовый сигнал 4-20 мА (4-20 mA Output 1). Для выбора Объемный расход (Volume) нажмите клавишу =>, затем клавишу Enter для входа в режим выбора. Используя, клавиши U 11, выберите Объемный расход (Volume). Для сохранения выбора нажмите клавишу Enter.
-
4.2.1.9. Для проверки значения расхода, соответствующего току 4 мА, из состояния Объемный расход (Volume), нажмите клавишу =>. После чего на экране отобразится окно, в котором нужно установить цифру 0, соответствующую расходу при токе 4 мА. Если вместо 0 стоит другое значение, то для изменения нужно нажать клавишу Enter. Клавиши 1111 используются для выбора цифр, а клавиши <= => для перемещения курсора. Для сохранения выбора нажмите клавишу Enter.
-
4.2.1.10. Для проверки значения расхода, соответствующего току 20 мА, из состояния завершения пункта 6.1.6.9 нажмите клавишу =>. После чего на экране отобразится окно, в котором нужно установить значение, соответствующее максимальному диапазону для этого диаметра и среды. Для изменения нужно нажать клавишу Enter. Клавиши U 11 используются для выбора цифр, а клавиши <= => для перемещения курсора. Для сохранения выбора нажмите клавишу Enter.
-
4.2.1.11. Для проверки значения постоянной времени из состояния завершения пункта 4.2.1.10 нажмите клавишу =>. После чего на экране отобразится окно, в котором нужно установить значение 5. Для изменения нужно нажать клавишу Enter. Клавиши U 11 используются для выбора цифр, а клавиши <= => для перемещения курсора. Для сохранения выбора нажмите клавишу Enter. Для возврата в верхний уровень меню нажмите клавишу <= 4 раза и один раз клавишу 11.
-
4.2.1.12. Поверку расходомера проводить в трех точках диапазона измерений расхода: на минимальном расходе, на 50% и 100 % от наибольшего значения расхода (верхнего предела измерений), соответствующего средней по сечению трубопровода скорости потока рабочей среды в пределах от 0,3 до 9 м/с для воды и в пределах от 1,07 до 62,5 м/с в зависимости от применяемой модели турбинки для воздуха.
-
5.1. Внешний осмотр.
При проведении внешнего осмотра должно быть установлено соответствие расходомера следующим требованиям:
-
- комплектность должна соответствовать паспорту на данное исполнение расходомера;
-
- изделия, входящие в состав расходомера, не должны иметь механических повреждений;
-
- органы управления (переключатели, кнопки) должны перемещаться без заеданий.
-
- знак утверждения типа наносится типографским способом на титульный лист руководства по эксплуатации и на лицевую панель электронного блока методом нанесения наклейки.
-
5.2. Опробование.
-
5.2.1. При опробовании расходомера устанавливается его работоспособность в соответствии с его эксплуатационной документацией.
Произвести подготовку и установку расходомера к работе в соответствии с эксплуатационной документацией. Включить расходомер. Задать на измерительном участке эталонной установки произвольный расход из диапазона измерений расходомера, изменить расход в сторону увеличения.
Убедиться, что значения расхода на дисплее расходомера изменяются вслед за изменением расхода.
Проверку общей работоспособности электронного блока провести путем задания различных значений параметров среды в соответствии с требованиями эксплуатационной документации, контроль осуществлять по дисплею.
-
5.2.2. Идентификация программного обеспечения (ПО)
Производится проверка идентификационного названия ПО расходомера.
Идентификация ПО осуществляется проверкой его идентификационных данных. Идентификационные данные (версия ПО) определяются на дисплее расходомера при включении (см. рис. 1а) и (или) на плате клеммных колодок (см. рис. 16) и должны соответствовать таблице 2.
а б
Рисунок 1 - Определение версии ПО
Таблица 2
Идентификационные данные (признаки)
Значения
TriMeter-turbo М25
Не ниже 3.00.16
Идентификационное наименование ПО
Номер версии (идентификационный номер) ПО
Заводские пломбы на корпусе расходомера не должны иметь следов вскрытия.
Расходомер считается прошедшим проверку по данному пункту с положительными результатами, если значения идентификационных признаков соответствуют приведенным в таблице 1.
-
5.3. Определение метрологических характеристик
-
5.3.1. Определение относительной погрешности при измерении расхода на поверочной установке (поверочная среда вода или воздух, в зависимости от рабочей среды, на которой работает расходомер).
-
5.3.1.1. Установить расходомер на измерительный участок поверочной установки, строго соблюдая требования к монтажу, изложенные в подразделах «Монтаж расходомера» раздела 4 «Руководства по эксплуатации».
-
5.3.1.2. Подать питание на расходомер и обеспечить его самопрогрев в течение не менее 1 часа, проверить правильность регулировки нулей выходных сигналов расходомера. Для этого войти в режим конфигурации и набрать пароль 163 63.
5.3.1.3. Используя клавиши <= =>, перейти в меню Диагностика (Diagnostics Menu) и нажать клавишу Enter, а затем нажмите клавишу =>. На экране отобразится меню калибровки нуля первого канала, соответствующего 4 мА. Для начала настройки нажмите два раза клавишу Enter. Если выходной сигнал изменяется в пределах 0,006 мА, то это соответствует норме. Если необходимо сдвинуть уровень сигнала, то нужно нажать клавишу Enter и затем изменить коэффициент до получения точного значения.
-
5.3.1.4. Для регулировки границы диапазона 20 мА необходимо из положения пункта 5.3.1.3 нажать клавишу U. Дальнейшие действия выполняются аналогично пункту
-
5.3.1.3. Для выхода в режим конфигурации нажмите два раза клавишу Exit.
-
5.3.1.5. Относительную погрешность расходомера при измерении объемного расхода определять при значениях расхода 0,1 Qmax, 0,5 Qmax, Qmax (расход устанавливать с точностью ± 10 %). При невозможности воспроизвести расход Qmax, допускается вместо Qmax установить максимальный расход поверочной установки. Произвести три измерения на каждом поверочном расходе.
-
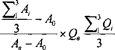
5.3.1.6. Относительную погрешность расходомера при измерении объемного расхода 5q для каждого значения расхода определяют по формуле (1):


3
х100% (1)
Здесь Aj - значение выходного тока токового выхода расходомера, мА;
Qb - значение верхнего предела диапазона измерений расходомера, м3/ч;
Qi - значения расхода по эталонному средству измерений в поверяемой точке расхода, м3/ч;
Ao - значение выходного сигнала расходомера, соответствующее нулевому значению объемного расхода, мА;
Ав - значение выходного сигнала расходомера, соответствующее наибольшему значению расхода (верхнему пределу измерения) объемного расхода, мА.
-
5.3.1.7. Результат поверки считается положительным, если относительная погрешность при измерении объемного расхода не превышает: для жидкостей (поверка на воде) ±1,2 %, для газа и пара (поверка на воздухе) ± 1,5 %.
-
5.3.2. Определение погрешности канала измерений температуры со встроенным преобразователем сопротивления Ptl ООО (для исполнений VT и VTP).
-
5.3.2.1. Определение погрешности расходомера при измерении температуры производить в двух точках 5 ±5 °C и 95 ± 5 °C
-
5.3.2.2. Подключить расходомер к измерителю тока (универсальный вольтметр) и источнику питания
-
5.3.2.3. Поместить расходомер в термостат вместе с эталонным термометром и выдержать 30 мин. При установившемся режиме зафиксировать значения температуры, измеренной расходомером, и эталонным термометром.
Определить погрешность при измерении температуры по формуле:
Ato — tpac-t3Tan, С (2)
где
tpac - значения температуры по показаниям расходомера °C;
tyran - значения температуры по эталонному термометру °C.
-
5.3.2.4. Результат испытаний считается положительным, если погрешность при измерении температуры не более ± 1°С.
Если в состав расходомера входит внешний термометр сопротивления, то он должен иметь действующее свидетельство о поверке или поверяем по Методике поверки на данный термометр.
-
5.3.3. Определение погрешности встроенного преобразователя давления (только для исполнения расходомера VTP с встроенным преобразователем давления VTP).
-
5.3.3.1. Поверку канала измерений давления проводят с помощью грузопоршневого манометра в пяти точках диапазона.
Эталонный манометр в составе грузопоршневого манометра должен иметь верхний предел измерений, равный или больше наибольшего давления, измеряемого расходомером.
-
5.3.3.2. Погрешность определяют в каждой поверочной точке, как при повышении, так и при понижении значений задаваемого давления. Допускается вместо абсолютного давления определять сумму значений избыточного и атмосферного (барометрического) давления, при этом необходимо определять значение атмосферного давления с относительной погрешностью не хуже ±50 Па.
Измерительную информацию (выходной сигнал) считывают с ЖКИ преобразователя или с помощью аналогового выхода 4-20 мА. Для того, чтобы на ЖКИ отображалось достаточное количество знаков после запятой, необходимо в подменю число цифр после запятой (Number of Digits) меню дисплея Display Menu установить значение от 1 до 5, что соответствует числу знаков после запятой.
-
5.3.3.3. Приведенную погрешность ур при измерении давления рассчитывают по следующей формуле (3):
•100 %,
(3)
i = 1,2,3,4,5, где Pj и Рэ{ - значение давления по показаниям расходомера и эталона (МПа), соответственно.
Здесь Рщ - верхнее значение датчика давления, МПа (изб).
-
5.3.3.4. Результат испытаний считается положительным, если приведенная погрешность при измерении давления не превышает ±0,3%.
Если в состав расходомера входит внешний преобразователь давления, то он должен иметь действующее свидетельство о поверке или поверяем по Методике поверки на данный тип средства измерений
6 Оформление результатов поверки-
6.1. Положительные результаты первичной поверки оформляют записью в паспорте (раздел «Поверка»), с нанесением знака поверки.
-
6.2. Положительные результаты периодической поверки расходомера оформляют записью в паспорте (раздел «Поверка»), с нанесением знака поверки или оформление свидетельство о поверке, в соответствии с приказом №1815 от 02 июля.2015г.
-
6.3. При отрицательных результатах поверки расходомер бракуют с выдачей извещения о непригодности с указанием причин непригодности.
-
6.4. При проведении поверке оформляется протокол, рекомендованный формой приведенной в Приложении А.
ПРИЛОЖЕНИЕ А (Рекомендуемая)
Протокол первичной (периодической) поверки №______от__________
расходомера-корректора турбинного многопараметрического Trimeter-turbo М25
Методика поверки МП-2550-0278-2016,
№ в федеральном информационном фонде_________________________________________
Заводские номера составных частей___________________ Год выпуска________________
Принадлежит___________________________________________________________
Условия проведения поверки: t =_________ Ратм =________________
Рабочие эталоны применяемые при поверке:________________________________________________
Проверка комплектности, маркировки и внешний осмотр
Соответствует Не соответствует
(Лишнее вычеркнуть)
Опробование
Соответствует Не соответствует
(Лишнее вычеркнуть)
Определение погрешности измерений расходомера:
1. Определение относительной погрешности расходомера при измерении объемного расхода
|
н/п |
Значения расхода по расходомеру Trimeter-turbo М25, м3/ч |
Значения расхода по эталонной расходомерной установке, мЗ/ч |
Значения относительной погрешности,% |
Значения допускаемой относительной погрешности, % |
|
1 |
2 |
3 |
4 |
5 |
2. Определение погрешности канала измерения температуры
|
н/п |
Значения температуры по показаниям расходомера, °C |
Значения температуры по эталонному термометру, °C |
Значения абсолютной погрешности, °C |
Значения допускаемой абсолютной погрешности, °C |
|
1 |
2 |
3 |
4 |
5 |
2. Определение погрешности канала измерения давления
|
н/п |
Значения давления по показаниям расходомера, МПа |
Значения давления по эталонному грузопоршневому манометру, МПа |
Значения приведенной погрешности, % |
Значения допускаемой приведенной погрешности, % |
|
1 |
2 |
3 |
4 |
5 |
Расходомер-корректор турбинный многопараметрический TriMeter-turbo М25
признан_____________________к эксплуатации.
(годен, не годен)
Дата поверки "____" ___________________20___г.
Поверитель___________________I______________________________/
(подпись) (Ф.И.О.)
11
