Методика поверки «ГСИ. РАСХОДОМЕРЫЭЛЕКТРОМАГНИТНЫЕ 8700» (МП СПГК.5304.000.00)
Генеральный директор
ООО
Шестаков
Руководите
Дирек
«
инский ЦСМ»
ихайлов
2017г.
Методика поверки
СПГК.5304.000.00МП
с изменением Nb 2
2017
Настоящая рекомендация распространяется на расходомеры электромагнитные (далее - расходомер), предназначенные для измерения объемного расхода электропроводящих жидкостей, пульп и суспензий, имеющих минимальную электропроводность 5 10'4 См/м.
Рекомендация устанавливает методику его первичной (при выпуске из производства и после ремонта) и, периодической поверок и распространяются на вновь выпускаемые приборы, а также на приборы, находящиеся в эксплуатации.
Интервал между поверками - 4 (четыре) года.
1 ОПЕРАЦИИ ПОВЕРКИ-
1.1 При проведении поверки должны быть выполнены операции, указанные в таблице 1.
Таблица 1
|
Наименование операции |
Номер пункта рекомендации |
Проведение операции при | |
|
первичной поверке |
периодической поверке | ||
|
1. Внешний осмотр |
6.1 |
Да |
Да |
|
2. Проверка электрического сопротивления изоляции |
6.2 |
Нет |
Да |
|
3. Проверка идентификационных данных ПО |
6.4 |
Да |
Да |
|
4. Опробование и определение метрологических характеристик с помощью поверочной установки |
6.5 |
Да |
Да |
|
5. Определение метрологических характеристик имитационным методом |
6.6 |
Нет |
Да |
|
6. Определение погрешности преобразования в токовый выходной сигнал |
6-7 . |
Да |
Да |
|
Примечание: 1) Периодическую поверку преобразователей, введённых в эксплуатацию, допускается проводить только для используемых при эксплуатации участков диапазонов измерений применяемых величин и для соответствующих выходных сигналов.
| |||
Таблица 1 (Измененная редакция, Изм. № 1,2)
1 СРЕДСТВА ПОВЕРКИ-
1.1 При проведении поверки расходомеров должны быть применены средст
ва, указанные в таблице 2.
Таблица 2
|
Номер пункта рекомендации |
Наименование основного или вспомогательного средства поверки; обозначение нормативного документа, регламентирующего технические требования, и (или) метрологические и основные технические характеристики средства поверки. |
|
1 |
2 |
|
6.5 |
Поверочная установка с диапазоном расходов, соответствующих или превышающих диапазон поверочных расходов пове- |
|
ряемого расходомера, с пределами относительной погрешности при измерении объемного расхода и объема не более 1/3 от погрешности поверяемого расходомера. | |
|
6.4-6.7 |
Источник питания Б5-44, ТУ 3.233.219 |
|
6.2 |
Мегомметр М4100/3, ГОСТ 8038-60 |
|
6.5.5 |
Ареометр образцовый с диапазоном измерения 950-1050 кг/м1 2, погрешностью ±0,Зкг/м2. |
|
6.6, 6.7 |
HART-коммуникатор модели 475 (375) фирмы Rosemount; |
|
6.7, 7.6 |
Вольтметр цифровой В7-68, ТУРБ 07519797.047-99 |
|
6.7, 7.6 |
Мера электрического сопротивления, класс точности 0,001, сопротивление 250 Ом, ОМЭС МС 3006; |
|
6.6 |
Имитатор 8714, предел допускаемой основной относительной погрешности ±0,04 %. |
|
Примечание - Допускается применение средств поверки, имеющих метрологические и технические характеристики, не уступающие указанным, аттестованных или поверенных в установленном порядке и имеющих действующие свидетельства о поверке (аттестации) или оттиски поверительных клейм. | |
Таблица 2 (Измененная редакция, Изм. № 1,2)
-
3.3 При проведении поверки соблюдают требования ГОСТ 12.3.019-80, ГОСТ 12.2.007.0-75, ПОТ Р М-016-2001 и требования безопасности, установленные соответствующими техническими описаниями и инструкциями по эксплуатации применяемых приборов.
3.2, 3.3(Измененная редакция, Изм. № 1, 2)
4 УСЛОВИЯ ПОВЕРКИПри проведении поверки должны соблюдаться следующие условия (кроме особо оговоренных случаев):
|
- температура окружающего воздуха, °C |
20±5 |
|
- температура поверочной среды, °C |
от 15 до 35 |
|
- относительная влажность воздуха, % |
не более 70 |
|
- атмосферное давление, кПа |
от 84 до 106,7 |
|
- поверочная среда |
водопроводная вода очищенная |
напряжение питания, в зависимости от исполнения расходомера:
|
- переменного тока частотой (5 0± 1) Гц, В |
22.QS |
|
- постоянного тока, В |
24±2,5 |
Раздел 4 (Измененная редакция, Изм. №1,2)
5 ПОДГОТОВКА К ПОВЕРКЕПеред проведением поверки должны быть выполнены следующие подготовительные работы:
-
- все средства поверки должны быть подготовлены в соответствии с их эксплуатационной документацией и иметь действующие свидетельства о поверке (аттестации) или оттиски поверительных клейм;
-
- измерительный участок расходомера очищен от налетов и отложений;
-
- при поверке на поверочной установке измерительный участок расходомера полностью заполнен поверочной средой.
(Измененная редакция, Изм. № 1,2)
Допускается одновременная поверка нескольких расходомеров, установленных последовательно. Число расходомеров должно определяться из условия обеспечения необходимых длин прямых участков согласно требованиям эксплуатационной документации.
-
6 ПРОВЕДЕНИЕ ПОВЕРКИ
-
6.1.1 При внешнем осмотре должно быть установлено:
-
- Соответствие внешнего вида, комплектности и маркировки расходомера требованиям технической документации
-
- Отсутствие видимых механических повреждений и дефектов, препятствующих применению расходомера и проведению поверки.
-
- Наличие эксплуатационной документации у расходомера.
(Измененная редакция, Изм. № 2)
-
6.1.2 Расходомер, не удовлетворяющий указанным требованиям, к дальнейшему проведению поверки не допускается.
Проверку электрического сопротивления изоляции проводят между электрическими цепями питания и корпусом.
Испытание проводят мегомметром с напряжением постоянного тока значением не менее указанного в эксплуатационной документации на расходомер.
Расходомер считается выдержавшим испытание, если значение сопротивления изоляции составляет не менее указанного в эксплуатационной документации на расходомер.
-
6.3 (Исключен. Изм. № 2)
-
6.4.1 В качестве идентификатора ПО принимается версия (идентификационный номер) программного обеспечения.
Методика заключается в поверке номера версии ПО расходомера с помощью либо локального операторского интерфейса (далее - ЛОИ), либо HART-коммуни-катора, либо сервисного ПО AMS или ProLinkUI. Подробно меню расходомера с указанием пункта о версии ПО представлено в руководстве по эксплуатации.
(Измененная редакция, Изм. № 2)
-
6.4.2 Расходомер считается прошедшим поверку с положительным результатом, если идентификатор ПО соответствует значению, указанному в паспорте на расходомер.
-
6.5.1 Опробование расходомера осуществляют на поверочной установке. При опробовании проверяют работоспособность расходомера по следующему алгоритму:
Изменяя значение расхода на поверочной установке, убеждаются в изменении показаний расходомера согласно устанавливаемому расходу. Расходомер считается прошедшим опробование, если:
-
- не возникло нештатных ситуаций;
-
- показания расходомера устанавливаются на «ноль» при отсутствии расхода;
-
- при увеличении (уменьшении) задаваемых значений расхода, показания расходомера увеличиваются (уменьшаются).
-
6.5.2 Определение основной относительной погрешности расходомера проводят на трех задаваемых значениях расхода:(0,03-0,05)(Лиаг, (0,08-0,12)0иах, (0,27-0,33}Qmax,где Qmax - наибольший расход поверяемого расходомера. Количество измерений на каждом поверочном расходе должно быть не менее трех.
Основную относительную погрешность расходомера определяют с помощью поверочной установки по частотно-импульсному выходу поверяемого расходомера на каждом из расходов одним из трех методов:
-
- методом сличения с показаниями эталонного расходомера (п.6.5.36.5-;3);
-
- методом измерения накопленного объема по мерному баку (п.6.5.46-5.-4);
- гравиметрическим методом с последующим пересчетом на объем
(п.6.5.56^5).
Для обеспечения требуемой точности измерений количество накопленных импульсов поверяемого расходомера должно быть не менее 2 000 и время измерения должно быть не менееЗО с.
Стабильность поддержания поверочных расходов должна быть в пределах±5% от вышеуказанных значений.
6.5.1, 6.5.2 (Измененная редакция, Изм. № 2)
-
6.5.3 Определение основной относительной погрешности расходомера методом сличения.
Частотно-импульсный выход расходомера должен быть подключен к соответствующим входам поверочной установки, обеспечивающим регистрацию выходных импульсов, кроме того на расходомер должно быть подано напряжение питания в соответствии с руководством по эксплуатации.
(Измененная редакция, Изм. № 2)
Фиксируют объем поверочной среды, прошедшей через поверяемый и эталонный расходомеры, температуру, давление поверочной среды и время поверки.
Объем поверочной среды, прошедшей через поверяемый расходомер, вычисляют по формуле:

(Измененная редакция, Изм. № 2)
После стабилизации расхода поток жидкости с помощью блока управления переключателем потока (далее - БУПП) направляют в емкость мерного бака, одновременно поверочная установка должна начать отсчет количества импульсов на выходе поверяемого расходомера.
После накопления заданного количества импульсов БУПП должен переключить поток в магистраль, при этом отсчет импульсов должен быть прекращен.
Фиксируют объем поверочной среды, прошедшей через поверяемый расходомер, вычисленный в соответствии с формулой (1), показания накопленного объема поверочной среды в мерном баке, температуру, давление поверочной среды и время поверки.
Результаты заносят в протокол произвольной формы.
-
6.5.5 Определение основной относительной погрешности расходомера гравиметрическим методом.
Частотно-импульсный выход поверяемого расходомера должен быть подключен к соответствующим входам поверочной установки, обеспечивающим регистрацию выходных импульсов, кроме того на расходомер должно быть подано напряжение питания в соответствии с руководством по эксплуатации.
(Измененная редакция, Изм. № 2)
После стабилизации расхода поток жидкости с помощью БУПП направляют в емкость, установленную на весах, одновременно поверочная установка должна начать отсчет количества импульсов на выходе поверяемого расходомера.
После накопления заданного количества импульсов БУПП должен переключить поток в магистраль, при этом отсчет импульсов должен быть прекращен.
Фиксируют объем поверочной среды, прошедшей через поверяемый расходомер, вычисленный в соответствии с формулой (1), показания накопленного объема поверочной среды в емкости поверочной установки, температуру, давление поверочной среды и время поверки.
Накопленный объем поверочной среды в емкости поверочной установки вычисляют по формуле:
Рж ,м3, (2)
где Мэп - масса, накопленная поверочной установкой, кг;
Fb = 1,0011 - поправочный коэффициент, учитывающий выталкивающую силу;
p^i - плотность поверочной среды, кг/м3.
Результаты заносят в протокол произвольной формы.
-
6.5.6 (Исключен. Изм. №1)
-
6.5.7 Определение относительной погрешности измерения объемного расхода по цифровому выходному сигналу расходомера.
Определение относительной погрешности измерения объемного расхода по цифровому выходному сигналу расходомера проводится при определенных заданных точках расхода в соответствии с 6.5.26.5.2.
Расходомер подключают в соответствии со схемой подключения приведенной на рисунке А.2 приложения А.
Выдерживают каждый заданный расход не менее одной минуты до начала измерения.
Фиксируют средний за время измерения эталонный объемный расход рабочей среды Q3, температуру, давление рабочей среды для каждой точки заданного расхода. Одновременно фиксируют не менее десяти значений измеренного расхода с помощью HART-коммуникатора или программ AMS или Prolink.
6.6 Определение метрологических характеристик имитационным методом-
6.6.1 Определение метрологических характеристик расходомера проводят с помощью имитатора 8714 (далее - имитатор). Допускается цоверку имитационным методом проводить без демонтажа расходомера с трубопровода. Поверку имитационным методом проводят в невзрывоопасных зонах.
Процесс определения метрологических характеристик расходомера имитационным методом состоит из двух этапов: (п.6.6.26.6.2) поверка измерительного преобразователя электромагнитного расходомера (далее - преобразователь); (п.6.6.36т6т2) проверка датчика расхода электромагнитного расходомера (далее -датчик).
Перед проведением поверки, в протокол поверки заносят общие данные о расходомере (модель преобразователя, модель датчика, серийные номера преобразователя и датчика, условный проход, калибровочный коэффициент). Рекомендуемый вид протокола имитационной поверки представлен в руководстве по эксплуатации на имитатор.
-
6.6.2 Поверка измерительного преобразователя электромагнитного расходомера.
Отключают напряжение питания расходомера и производят отключение преобразователя расходомера от датчика расходомера. Далее выполняют электрическое подключение поверяемого преобразователя к имитатору.
Расходомер и имитатор подготавливают к работе согласно руководству по эксплуатации на имитатор.
Определение метрологических характеристик преобразователя проводят при 3-х режимах имитации скорости потока измеряемой среды: 9,14, 3,05, 0,91 м/с. Переключение режимов производят с помощью переключателя на лицевой панели имитатора. Далее проводят проверку установки показаний нуля, для этого устанавливают режим имитации скорости потока измеряемой среды: 0 м/с. При каждом из режимов фиксируют показания расходомера в соответствии с руководством по эксплуатации на имитатор.
По окончании поверки преобразователя расходомера производят отключение имитатора и осуществляют подключение преобразователя к датчику расходомера согласно соответствующему руководству по эксплуатации.
-
6.6.3 Проверка датчика расхода электромагнитного расходомера.
Перед запуском проверки считывают и заносят в протокол поверки заводские значения параметров: COILRESISTANCE (сопротивление катушек) Pcoil r, COILSIGNATURE (индуктивность катушек) Pcoil_s-
Запускают процесс проверки, с помощью меню RUN 8714i, при этом настраивают объем поверки - «SENSOR» условия поверки - «EMPTYPIPE». Запуск и настройку производят с помощью HART-коммуникатора или ЛОИ (см. руководство по эксплуатации на расходомер). Проверка занимает несколько минут.
После завершения процесса проверки заносят измеренные параметры расходомера в протокол. Для этого считывают следующие параметры:
-
- COILRESISTANCE (сопротивление катушек), Mcoil r',
-
- COIL SIGNATURE (индуктивность катушек), Mqoil s',
Считывание вышеуказанных параметров проводят с помощью пункта меню Results Manual во вкладке 8714i (см. руководство по эксплуатации на расходомер).
-
6.6 (Измененнаяредакция, Изм. № 1, 2)
Определение погрешности преобразования проводят имитационным методом с помощью HART-коммуникатора или ЛОИ или клавиатуры (в зависимости от типа исполнения расходомера). При использовании имитационного метода измерительный участок расходомера может быть не заполнен поверочной средой.
К расходомеру подключают источник питания, ОМЭС и вольтметр в соответствии с электрическими схемами, приведенными на рисунке А. 1 Приложения А.
Вольтметр устанавливают в режим измерения постоянного напряжения с верхним пределом 10 В.
Поверку аналогового выхода расходомера проводят на двух последовательных значениях тока Ii = 4 и h = 20 мА. Значения тока задают, руководствуясь соответствующей процедурой, приведенной в руководстве по эксплуатации на расходомер. При каждом значении определяются показания вольтметра. Результаты заносят в протокол произвольной формы.
-
6.7 (Измененная редакция, Изм. № 1, 2)
-
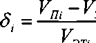
7.1 При определении основной относительной погрешности методом сличения значение погрешности 5 на каждом поверочном расходе вычисляют по формуле:


(3)
где Ут и Узт- объемы поверочной среды, прошедшей через поверяемый и эталонный расходомеры соответственно, м3, вычисленные в соответствии с формулой (1).
За результат принимают наибольшее значение погрешности.
Результаты поверки считают положительными, если значение основной относительной погрешности не превышает значений, указанных в нормативной документации на расходомер.
-
7.2 При определении основной относительной погрешности методом измерения накопленного объема по мерному баку, значение погрешности 5 на каждом поверочном расходе вычисляют по формуле (3).
При этом V3Ti - это объем накопленной поверочной среды в мерном баке, м3.
За результат принимают наибольшее значение погрешности.
Результаты поверки считают положительными, если значение основной относительной погрешности не превышает значений, указанных в нормативной документации на расходомер.
-
7.3 При определении основной относительной погрешности гравиметрическим методом, значение погрешности 5 на каждом поверочном расходе вычисляют по формуле (3).
При этом V3Ti - это объем накопленной поверочной среды в емкости поверочной установки, м3, вычисленный в соответствии с формулой (2).
За результат принимают наибольшее значение погрешности.
Результаты поверки считают положительными, если значение основной относительной погрешности не превышает значений, указанных в нормативной документации на расходомер.
-
7.4 Значение относительной погрешности 5ц, %, для цифрового выходного сигнала на каждой поверочной точке вычисляют по формуле 4:
<S/= 100- (Од- Оэ)/Оэ, (4)
где Qh - среднее значение измеренного объемного расхода по цифровому выходному сигналу, мЗ/ч;
Qd - средний эталонный объемный расход рабочей среды за время измерения, м3/ч.
Допускается определять эталонный расход Q-j за время измерения как среднее значение расхода не менее чем для десяти зафиксированных значений эталонного расхода поверочной установки для каждой заданной точки расхода.
За погрешность расходомера принимают наибольшее значение погрешности.
При несоответствии относительной погрешности измерения расхода по цифровому выходному сигналу требованиям документации при однократном измерении, допускается повторение проверки, при этом число измерений должно быть не менее трех в одной точке. За результат измерения принимается среднее значение погрешности.
Результаты поверки считают положительными, если значение основной относительной погрешности не превышает значений, указанных в нормативной документации на расходомер.
-
7.5 При определении основной относительной погрешности имитационным методом при режимах имитируемой скорости потока 9,14, 3,05, 0,91 м/с погрешность, преобразователя расхода вычисляется по формуле (5). Результаты расчетов заносят в протокол.
<5p=f vp —vh) /vh I00 %, (5)
где гя-имитируемая скорость потока измеряемой среды, (м/с);
vp- измеренная скорость потока измеряемой среды, (м/с).
Результаты поверки считают положительными, если погрешность преобразователя др на имитируемых режимахД, 14, 3,05, 0,91 м/с не превышает 0,15 %, а при значении имитируемой скорости потока 0 м/с расходомер показывает 0,0000 м/с.
Для установления неизменности калибровок датчика расходомера рассчитывают отклонения контролируемых параметров (COILRESISTANCE, COILSIGNATURE) от заводских значений по формулам (6) и (7). Результаты расчетов заносят в протокол.
dcOIL_R = (McOIL_R — PcOILr) /PcOIL_R ’100% (6)
dcOIL S = (M COIL_S — P coil_s) /P COIL_S ‘100% (7)
Результаты поверки считают положительными, если отклонение контролируемых параметров от заводских установок не превышает 5 %.
При положительных результатах испытаний преобразователя расходомера и датчика расходомера, результат поверки расходомера имитационным методом считают положительным.
7.6 Погрешность преобразования в токовый выходной сигнал при каждом заданном значении тока вычисляют по формуле (8). За результат принимают наибольшее значение приведенной погрешности.
Г=(1и-1э)/16-100%, (8)
где 1э - эталонное задаваемое значение тока (4 и 20), (мА);
1и = 103-С/ / 250 - значение тока на выходе расходомера, (мА);
U - измеренное значение напряжения, (В).
Результаты поверки считают положительными, если значение приведенной погрешности преобразования не превышает значений, указанных в нормативной документации на расходомер.
7.4-7.6 (Измененнаяредакция, Изм. № 2)
8 ОФОРМЛЕНИЕ РЕЗУЛЬТАТОВ ПОВЕРКИ-
8.1 Результаты поверки оформляют протоколом в произвольной форме, где указывают установленные границы погрешности проверяемого расходомера для нескольких точек диапазонов измерений. В протоколе приводятся также метрологические характеристики используемых эталонов, номера и сроки действия их свидетельств о поверке.
-
8.2 Положительные результаты поверки удостоверяются свидетельством о поверке или записью в паспорте, заверяемой подписью поверителя (с датой) и нанесением знака поверки.
-
8.3 При отрицательных результатах поверки расходомера оформляют извещение о непригодности к применению.
При отрицательных результатах поверки расходомер признают непригодным к дальнейшей эксплуатации, аннулируют свидетельство о поверке, гасят знак поверки и выдают извещение о непригодности.
Раздел 8 (Измененная редакция, Изм. № 2)
ПРИЛОЖЕНИЕ А
(обязательное)

HART-Коммуникатор
Примечание: если для считывания показаний используют ЛОИ, HART-коммуникатор можно не подключать.
Рисунок Б.1 - Схема подключения расходомера с источником питания, вольтметром и ОМЭС (Rn = 250 Ом) при определении погрешности токового выходного сигнала.
Рисунок Б.2 - Схема подключения расходомера при определении погрешностей измерения объема или объемного расхода с использованием сервисного ПО AMS, Prolink
Приложение А (Измененная редакция, Изм. №2)
18
ТРЕБОВАНИЯ БЕЗОПАСНОСТИ
-
2.1 Монтаж и демонтаж расходомера на поверочной установке должен производиться в соответствии с требованиями безопасности, указанными в эксплуатационной документации на расходомер.
-
2.2 К проведению измерений при поверке и обработке результатов измерений допускают лиц, изучивших эксплуатационную документацию на расходомеры и средства их поверки, а также прошедших инструктаж по технике безопасности в установленном порядке.
