Методика поверки «Приборы для определения прочности бетона (молотки Шмидта) SilverSchmidt type N, SilverSchmidt type L» (МП SilverSchmidt-001)
ФЕДЕРАЛЬНОЕ ГОСУДАРСТВЕННОЕ УНИТАРНОЕ ПРЕДПРИЯТИЕ «ВСЕРОССИЙСКИЙ НАУЧНО-ИССЛЕДОВАТЕЛЬСКИЙ ИНСТИТУТ ФИЗИКО-ТЕХНИЧЕСКИХ И РАДИОТЕХНИЧЕСКИХ ИЗМЕРЕНИЙ» ФГУП «ВНИИФТРИ»
УТВЕРЖДАЮ
Первый заместитель
генерального директора -заместитель по научной работе
ФГУП «ВНИИФТРИ»
Приборы для определения прочности бетона (молотки Шмидта) SilverSchmidt type N, SilverSchmidt type L
Методика поверки
с изменением № 1
SilverSchmidt-OOIMn
2017 г.
Настоящая методика поверки распространяется на приборы для определения прочности бетона (молотки Шмидта) SilverSchmidt type N, SilverSchmidt type L, выпускаемые фирмой «Proceq SA» (Швейцария) (далее - приборы), предназначенные для измерения параметров ударного импульса при неразрушающем контроле прочности цементных бетонов и других строительных материалов по ГОСТ 53231-2008, ГОСТ 22690-88, и устанавливает методы и средства их первичной и периодической поверок.
1. ОПЕРАЦИИ ПОВЕРКИ-
1.1. При проведении поверки должны быть выполнены операции, указанные в таблице 1.1.
Таблица 1.1 - Операции поверки
|
Наименование операций |
Номер пункта методики поверки |
Обязательность выполнения операции | |
|
при первичной поверке |
при периодической поверке | ||
|
1. Внешний осмотр |
6.1 |
Да |
Да |
|
2. Опробование. Проверка работоспособности |
6.2 |
Да |
Да |
|
3. Определение энергии удара |
6.3 |
Да |
Да |
|
4. Определение диапазона и абсолютной погрешности измерения параметра Q (доли начальной кинетической энергии, оставшейся у бойка после удара об исследуемую поверхность) |
6.4 |
Да |
Да |
-
1.2. Результат поверки считается отрицательным, если будет обнаружено несоответствие требованиям, хотя бы по одному из пунктов таблицы.
2. СРЕДСТВА ПОВЕРКИ
2.1. При проведении поверки должны быть применены средства измерения, указанные в таблице 2.1
Таблица 2.1- Средства поверки
|
Наименование основных и вспомогательных средств поверки. |
Номер документа, регламентирующего технические средства и их метрологические характеристики. |
|
Весы для статического взвешивания ВЛТ-6100-П II класс точности |
ГОСТ 24104-2001 |
|
Штангенрейсмас ШР-250-0,05 |
ГОСТ 164-90 |
|
Тест-блок из бетона (образец-куб 10 см х 10 см х 10 см) |
ГОСТ 10180-90 |
|
Нефтяной твердый парафин (или пластилин) |
ГОСТ 23683-79 (или ОСТ 6-15-394-81) |
Примечания: 1. Допускается применение других средств измерений, обеспечивающих измерение соответствующих характеристик с равной или большей точностью.
-
2. Применяемые при поверке средства измерений должны иметь действующие свидетельства о поверке.
-
3.1. При проведении поверки должны быть соблюдены «Правила эксплуатации электроустановок потребителем» (утверждены Госэнергонадзором 27.02 83), «Правила техники безопасности при эксплуатации электроустановок потребителем» (утверждены Госэнергонадзором 31.03 92).
-
4.2. При проведении поверки должны быть соблюдены требования безопасности согласно ГОСТ 12.3.019-80 и санитарных норм СН 245-71.
-
4.1. Условия поверки должны соответствовать ГОСТ 8.395-80 ”ГСИ. Нормальные условия измерений при поверке. Общие требования”.
-
5.1. Перед проведением операций поверки поверитель должен изучить руководство по эксплуатации на прибор «SilverSchmidt-001 РЭ».
-
5.2. Перед началом поверки прибор и средства поверки должны быть выдержаны (без упаковки) в нормальных климатических условиях не менее двух часов. После включения прибор должен прогреться не менее 30 минут до начала измерений.
-
5.3. Перед проведением поверки должны быть выполнены следующие подготовительные работы:
-
- привести в рабочее состояние средства поверки в соответствии с указаниями, изложенными в их эксплуатационной документации;
-
- подготовить к работе поверяемый прибор в соответствии с руководством по эксплуатации «SilverSchmidt-001 РЭ».
-
5.4. Образец-куб из бетона по ГОСТ 10180-90 должен быть изготовлен не позднее, чем за 28 дней до начала проведения поверки.
-
5.5. Не позднее, чем за сутки до проведения поверки должен быть изготовлен куб из парафина (или пластилина) со стороной (10 ± 0,5) см.
-
6. ПРОВЕДЕНИЕ ПОВЕРКИ
-
6.1.1. Поверяемый прибор должен быть укомплектован в соответствии с руководством по эксплуатации «SilverSchmidt-001 РЭ».
-
6.1.2. На приборе должны быть нанесены товарный знак и порядковый номер прибора по системе нумерации фирмы-изготовителя.
-
6.1.3. Части прибора и его принадлежности проверяются на:
-
- отсутствие коррозии;
-
- отсутствие трещин, сколов корпуса и механических повреждений на поверхностях;
-
- отсутствие видимых нарушений электрических кабелей, соединяющего прибор с блоком питания, и кабеля USB.
-
6.2.1. Включить прибор и, выполняя измерения величины Q на бетонном тест-блоке, проверить функционирование всех органов управления прибора.
-
6.3.1. Определить жесткость пружины:
-
6.3.1.1. Расположить прибор вертикально так, чтобы он опирался на твердую горизонтальную поверхность (например, на поверхность стола). При этом необходимо придерживать прибор рукой, но не прикладывать усилий в вертикальном направлении. Измерить штангенрейсмасом расстояние Хо от поверхности стола до нижней поверхности направляющей втулки прибора (рис.3.2 РЭ).
-
6.3.1.2. Поместить на чашку весов штангенрейсмас и поверяемый прибор и определить их общую массу Мо.
-
6.3.1.3. Установить на штангенрейсмасе значение X] (Xi = Хо - А, А = 20 мм). При этом положение разметочной ножки штангенрейсмаса будет на 20 мм ниже, чем положение, которое ножка занимала при показаниях Хо-
-
6.3.1.4. Поставить штангенрейсмас на чашку весов, расположив его так, чтобы кончик его разметочной ножки был над центром чашки.
-
6.3.1.5. Опереть прибор вертикально на центральную часть чашки весов и, придерживая его одной рукой, другой рукой плавно надавить на верхнюю часть прибора, прикладывая усилие в вертикальном направлении до тех пор пока нижняя часть направляющей втулки не опустится до уровня разметочной ножки штангенрейсмаса. Снять показания весов М].
-
6.3.1.6. Повторить операции по п.п. 6.3.1.3-6.3.1.5 для значений Х2 = X] - А и Хз = Х2 - А, сняв при этом показания весов М2 и М3.
-
-
6.3.2. Определить максимальную деформацию пружины Дтах :
-
6.3.2.1. Опереть прибор на горизонтальную поверхность бетонного тест-блока и плавно прикладывая к прибору усилие в вертикальном направлении довести его до срабатывания. При этом измерить штангенрейсмасом расстояние Хтах между поверхностью тест блока и нижней поверхностью направляющей втулки прибора. Повторить измерения Хтах не менее пяти раз.
-
-
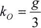
6.3.1.7. Определить жесткость к0 системы пружин (ударная пружина и нажимная
пружина) по формуле:

п. 63.1.7 (изменённаяредакция, изменение №1)
-
6.3.1.8. Опереть прибор на горизонтальную поверхность бетонного тест-блока и плавно прикладывая к прибору усилие в вертикальном направлении довести его до срабатывания, после чего зафиксировать боек, например, придерживая пальцем, не дать прибору перейти во взведенное состояние.
п. 63.1.8 (введён дополнительно, изменение№1)
-
6.3.1.9. Опереть прибор вертикально на центральную часть чашки весов и, придерживая его одной рукой, другой рукой плавно надавить на верхнюю часть прибора, прикладывая усилие в вертикальном направлении до тех пор пока нижняя часть направляющей втулки не опустится до уровня разметочной ножки штангенрейсмаса. Снять показания весов Мп.
п. 63.1.9 (введён дополнительно, изменение№1)
-
6.3.1.10. Повторить операции по п. п. 6.3.1.3-6.3.1.5 для значений Х2 = X] - А и Хз = Х2 - А, сняв при этом показания весов М21 и М31.
п. 6.3.1.10 (введён дополнительно, изменение №1)
-
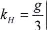
6.3.1.11. Определить жесткость кн нажимной пружины по формуле:

п. 6.3.1.11 (введён дополнительно, изменение №1)
6.3.1.12 Определить жесткость ударной пружины к по формуле: к = ко-кн
п. 6.3.1.12 (введён дополнительно, изменение №1)
-
6.3.2.3. Определить значение максимальной деформации пружины Лтах по формуле:
max
Пгде значение Хо определенно при выполнении операций по п.6.3.1.1, Хтах, - значение Хтах , полученное при i-м измерении по п.6.3.2.1, п- количество измерений, выполненных по п.6.3.2.1.
-
6.3.3. Определить энергию удара по формуле
__ шах
2Найденное значение энергии удара должно находиться в диапазоне значений, указанных в Руководстве по эксплуатации «SilverSchmidt-001 РЭ».
-
6.4. Определение диапазона и абсолютной погрешности измерения параметра Q (доли начальной кинетической энергии, оставшейся у бойка после удара об исследуемую поверхность)
-
6.4.1. Осуществить измерение параметра Q при ударе бойка прибора о поверхность парафинового (пластилинового) блока. Полученное значение Q должно быть не выше нижней границы диапазона измерений прибора, указанного в Руководстве по эксплуатации «SilverSchmidt-001 РЭ».
-
6.4.2. Осуществить серию измерений при ударе бойка прибора о поверхность бетонного тест-блока при вертикальном (сверху вниз), и при горизонтальном направлениях удара. При вертикальном приложении нагрузки тест-блок должен быть установлен на горизонтальном полу, нагрузка прикладывается к верхней грани. При горизонтальном приложении нагрузки тест-блок должен быть установленным на горизонтальном полу или столе и быть плотно прижатым к вертикальной стене гранью, противоположной той грани, к которой прикладывается нагрузка при испытании.
-
Количество ударов в каждой серии (вертикальное и горизонтальное приложение нагрузки) должно быть не менее 10.
-
6.4.3. Провести измерение максимальной скорости бойка при его движении к испытываемой поверхности (непосредственно перед ударом). Для этого в режиме считывания показаний необходимо установить опцию «-б». Получить значения Vb и Vp - средние значения максимальной скорости бойка в серии ударов в вертикальном и горизонтальном направлениях, соответственно.
Относительное значение разности скоростей должно быть:
1 %< Ив ~Иг -100 %<5 %
для приборов SilverSchmidt type N и
Уг
V -V
—---- -100 % < 8 % для приборов SilverSchmidt type L.
Иг
-
6.4.4. Произвести усреднение результатов измерений параметра Q в каждой серии измерений по п.6.4.2 и получить значения Qb и Qr - средние значения параметра Q в серии ударов, выполненных в вертикальном и горизонтальном направлениях, соответственно.
Значение модуля разности |Qb - Qr| не должно превышать 2 %.
7. ОФОРМЛЕНИЕ РЕЗУЛЬТАТОВ ПОВЕРКИ-
7.1. При проведении операций по п.6.1-6.4 все результаты измерений заносятся в протокол.
-
7.2. При положительном результате поверки выдается свидетельство о поверке по установленной форме ПР 50.2.006-94.
-
7.3. При отрицательном результате поверки выдается извещение о непригодности с указанием причины согласно ПР 50.2.006-94.
Зам. начальника НИО-3

Б.В. Юрьев
В.А. Пивоваров
ФГУП «ВНИИФТРИ»
Нач. лаборатории 330
ФГУП «ВНИИФТРИ»
6
