Методика поверки «ГСИ. УСТАНОВКИ ТОПЛИВОРАЗДАТОЧНЫЕ УТЭД-М» (МП 397.00.00.00 )
Заместитель директора по производственной метрологии ФГУП «ВНИИМС»

ГОСУДАРСТВЕННАЯ СИСТЕМА ОБЕСПЕЧЕНИЯ ЕДИНСТВА ИЗМЕРЕНИЙ
УСТАНОВКИ ТОПЛИВОРАЗДАТОЧНЫЕ УТЭД-М
МЕТОДИКА ПОВЕРКИ
397.00.00.00 МП
С ИЗМЕНЕНИЕМ № 1
Москва 2017
Настоящий документ распространяется на установки топливораздаточные УТЭД-М (в дальнейшем - установки) и устанавливает методику первичной и периодической поверок.
Интервал между поверок - не более 1 года.
(Измененная редакция, Изм. №1)
1 Операции поверки-
1.1 При проведении первичной и периодической поверки выполняют следующие операции:
-
- внешний осмотр;
-
- опробование;
-
- проверка герметичности;
-
- определение метрологических характеристик.
-
1.2 Если при проведении той или иной операции поверки получен отрицательный результат, дальнейшая поверка прекращается до устранения причин отрицательных результатов.
-
2.1 При проведении поверки применяются следующие средства поверки:
-
- мерник образцовый 2 разряда (М2р-100-0,05, М2р-50-0,05; М2р-10-0,05; М2р-2-0,05), вместимость 100, 50, 10, 2 л, погрешность ± 0,05 %;
-
- установка поверочная средств измерения объема и массы (УПМ100-0,05, УПМ50-0,05), вместимость 100 дм3 и 50 дм3 с возможностью взвешивания от 0 до 100 кг. и от 0 до 50 кг, погрешность ± 0,04 %;
-
- секундомер ц.д. 0,2 с., от 0 до 30 минут;
-
- набор ареометров с пределами основной абсолютной погрешности ± 0,5 кг/м3;
-
- термометр лабораторный ТЛ-4, диапазоны измерений: от 0 до плюс 50 °C, от минус 30 до плюс 20, погрешность ±0,1 °C, ц.д. 0,1 °C.
-
2.2. Все средства измерений должны быть поверены и иметь действующие свидетельства о поверке и оттиски клейм.
-
2.3 Допускается применение средств измерений других типов, обеспечивающих измерение параметров с требуемой точностью.
-
-
3.1. К поверке установок допускаются лица, аттестованные в качестве поверителей.
-
3.2. Лица, привлекаемые к выполнению измерений должны:
-
- быть ознакомлены с руководством по эксплуатации на поверяемые установки;
-
- пройти обучение и инструктаж по техники безопасности в соответствии с ГОСТ 12.0.004-90;
-
- соблюдать правила техники безопасности и пожарной безопасности, установленные для объекта, на котором проводят испытания;
- выполнять измерения в специальной одежде и обуви в соответствии с ГОСТ 12.4.137-84, ГОСТ 27574-87, ГОСТ 27575-87.
-
3.3 Требования безопасности при монтаже и поверке установок должны соответствовать ГОСТ 12.2.007.0-75; “Правилам устройства электроустановок” (ПУЭ) гл.7.3 издательства ЗАО "Энергосервис" Госэнергонадзор, Москва, 2002 г.; “Правилам технической эксплуатации электроустановок потребителей и Правилам техники безопасности при эксплуатации электроустановок потребителей” (ПТЭ и ПТБ), утверждённым Госэнергонадзором России.
-
3.4 К работе с установками допускаются лица, имеющие допуск не ниже III разряда по ПТЭ и ПТБ для установок до 1000 В, и прошедшие обучение на предприятии-изготовителе установок и инструктаж по правилам эксплуатации данных установок.
-
3.5 Подключение установок по электропитанию проводят специалисты согласно эксплуатационной документации.
-
3.6 Заземление установок выполняют в соответствии с требованиями ГОСТ 12.2.007.0-75, ГОСТ 21130-75, ГОСТ 12.2.003-91. Сопротивление заземляющего устройства должно быть не более 4 Ом.
-
3.7 Обеспечение пожарной безопасности установок проводится в соответствии с требованиями ГОСТ 12.1.004-91.
-
3.8 Соединение установок с трубопроводами и испытательным оборудованием должно быть герметичным.
-
3.9 При проведении поверки, поверитель, при снятии показаний, должен находится с подветренной стороны и иметь средства индивидуальной защиты в соответствии с действующими типовыми нормами, должен периодически контролировать содержание вредных веществ в воздухе рабочей зоны, которое не должно превышать предельно допустимых концентраций, установленных в ГОСТ 12.1.005-88.
-
3.10 Средства измерений и вспомогательные устройства, применяемые при выполнении измерений, должны быть изготовлены во взрывозащищённом исполнении, соответствовать требованиям ГОСТ 51330.0-99 и иметь свидетельство по ПБ 03-538-03.
-
3.11 Все изделия, входящие в состав установок, должны быть герметичны при давлении развиваемом насосом.
-
4.1 Первичную поверку установок при выпуске из производства проводят на керосине (установки УТЭД-М предназначенные для отпуска светлых нефтепродуктов) или масле (установки УТЭД-М предназначенные для отпуска масел), а периодические поверки - на рабочих жидкостях, на которых эксплуатируются установки.
4.2 Поверку проводят в следующих условиях:
Температура окружающего воздуха, °C Атмосферное давление, кПа |
от плюс 5 до плюс 35 от 86 до 106,7 |
Относительная влажность окружающего воздуха, % от 30 до 75 при плюс 15 °C
Изменение температуры в течение поверки, не более, °C плюс 5
Напряжение электрической сети 230/400 В с отклонениями от номинальных значений, не превышающих ±10%.
В условиях эксплуатации допускается проводить поверку при температуре окружающего воздуха:
-
- от минус 10 °C - для установок УТЭД-М, предназначенных для отпуска светлых нефтепродуктов;
-
- от плюс 5 °C - для установок УТЭД-М, предназначенных для отпуска масел.
Основанием для определения количества измеренного продукта является показание индикатора контроллера или монитора ПК, полученного от контроллера по линии связи и соответствующее метрологическим характеристикам установки, поверенной установкой поверочной массовой УПМ или мерником образцовым на заводе-изготовителе.
В случае комплектации установок дополнительным индикатором, поставляемым в комплекте с расходомером стороннего производителя, показания этого индикатора не являются основанием для учета и могут различаться с показаниями контроллера или ПК.
-
4.1, 4.2 (Измененная редакция, Изм. №1)
-
5.1 Перед проведением поверки выполняют следующие подготовительные работы:
-
- проверяют соблюдение требований изложенных в разделе 3 настоящей методики поверки;
-
- средства поверки подготавливают к работе в соответствии с эксплуатационными документами на них и выставляют по уровню;
-
- подключают установку к источнику питания;
-
- заполняют гидравлическую систему установки поверочной жидкостью (в случае периодической поверки - рабочей жидкостью).
-
6.1 Внешний осмотр.
При внешнем осмотре установок, выпускаемых из производства или после ремонта, устанавливают соответствие требованиям технических условий на них:
-
- состав в соответствии с эксплуатационной документацией;
-
- наличие технических и программных компонентов для используемого расходомера;
-
- чёткость изображения надписей на маркировочных табличках, индикации цифр и отметок на табло контроллера;
-
- отсутствие трещин и грязи на табло контроллера;
-
- состояние лакокрасочных покрытий;
-
- наличие пломб на расходомере (преобразователе объема жидкости, массовом расходомере), датчике расхода (устройстве съема сигналов) и контроллере;
-
- перед проведением записи в эксплуатационной документации считывают значение коэффициентов коррекции, которые записывают в формуляр;
-
- проводят установку "нуля" расходомера (согласно руководству по эксплуатации расходомера).
-
6.2 Опробование.
-
6.2.1 Опробование установки проводят на керосине или рабочей жидкости. После подсоединения гидравлической и электрической систем проводят заполнение гидросистемы установки жидкостью, прокачивая её встроенным или внешним электронасосом. Для этого задают, с помощью пульта дистанционного управления или персонального компьютера, различные дозы и проводят пробные наливы в мерник (установку поверочную).
-
Установку считают поверенной по данным параметрам, если все ее блоки работают в соответствии с требованиями, изложенными в руководстве по эксплуатации на поверяемую установку.
-
6.2.2. Проверка идентификационных параметров программного обеспечения.
Перечень идентификационных параметров программного обеспечения, приведен в таблице 1.
Таблица 1
Идентификационные данные (признаки) |
Наименование ПО |
Микропрограмма центрального процессора БУИ | |
Идентификационное наименование ПО |
BUI |
Номер версии (идентификационный номер) ПО |
01 |
Цифровой идентификатор ПО |
0x6D49 |
Микропрограмма центрального процессора КУП | |
Идентификационное наименование ПО |
KUP ver. OF |
Номер версии (идентификационный номер) ПО |
07 |
Цифровой идентификатор ПО |
0х4А47 |
АРМ оператора налива и слива | |
Идентификационное наименование ПО |
ARM |
Номер версии (идентификационный номер) ПО |
2В |
Цифровой идентификатор ПО |
542F6EA2 |
Микропрограмма центрального процессора контроллера «Весна-ТЭЦ2-ЗК» | |
Идентификационное наименование ПО |
TR |
Номер версии (идентификационный номер) ПО |
08 |
Цифровой идентификатор ПО |
0x005309CD |
Проверка включает в себя запрос идентификационного наименования ПО, номера версии метрологически значимой части ПО и цифрового идентификатора ПО.
а) Проверку идентификации ПО "Микропрограмма центрального процессора БУИ" проводят следующим образом:
-
1) запускают с рабочего стола ПК программу "Тестирование устройств";
-
2) нажимают в открывшемся окне пункт главного меню "Связь" - "Подключить";
-
3) указывают в открывшемся окне "Подключение связи", протокол "Modbus RTU" номер COM-порта, адрес БУИ;
-
4) нажимают кнопку "Подключить";
-
5) проверяют идентификационную информацию в рамке "Метрологическая идентификация ПО" главного окна программы "Тестирование устройств".
Проверка считается успешной, если данные в окне соответствуют данным, указанным в таблице 1.
б) Проверку идентификации ПО "АРМ оператора налива и слива" проводят следующим образом:
-
1) запускают с рабочего стола ПК ярлык "АРМ оператора налива и слива";
-
2) нажимают в открывшемся окне программы "Технологический модуль" пункт главного меню "Справка" -> "О программе";
-
3) проверяют идентификационную информацию в рамке "Метрологическая идентификация ПО" открывшегося окна "О программе "АРМ оператора налива и слива".
Проверка считается успешной, если данные в окне соответствуют данным, указанным в таблице 1.
в) Проверку идентификации ПО «Микропрограмма центрального процессора КУП» проводят следующим образом:
-
1 способ:
-
1) подать питание на контроллер КУП;
-
2) считать информацию, отображаемую при включении контроллера с индикаторов (информация отображается в течении 3-5 секунд после включения);
-
3) после загрузки контроллера нажать кнопку Пуск/Стоп на установке, при этом на индикаторах контроллера отобразится информация о модификации КУ-Па, версии ПО, идентификационные параметры;
-
4) проверить считанную с индикаторов КУП идентификационную информацию.
Проверка считается успешной, если считанные данные соответствуют данным, указанным в таблице 1.
-
2 способ:
-
1) подать питание на контроллер;
-
2) произвести подключение линии связи «токовая петля» с внешним управляющим устройством (компьютером с программной утилитой универсальный конфигуратор оборудования»);
-
3) запустить программу "Тестирование устройств";
-
2) нажать пункт главного меню "Связь" - "Подключить";
-
3) указать в открывшемся окне "Подключение связи", протокол "Ливны", номер COM-порта, адрес КУПа;
-
4) нажать кнопку "Подключить";
-
5) проверить идентификационную информацию в рамке "Метрологическая идентификация ПО" главного окна программы "Тестирование устройств".
Проверка считается успешной, если данные в окне соответствуют данным, указанным в таблице 1.
г) Проверку идентификации ПО Контроллера «В-Т2-ЗК" проводят следующим образом:
-
1) включить питание контроллера;
-
2) на второй строке среднего индикаторы контроллера считать идентификационную информацию о наименовании, версии и цифровом идентификаторе ПО.
Проверка считается успешной, если данные в окне соответствуют данным, указанным в таблице 1.
-
6.3 Проверка герметичности.
-
6.3.1 Герметичность установки проверяют путём подачи в его гидравлическую систему жидкости штатным электронасосом давлением до 0,6 МПа, визуальным осмотром стыковочных соединений, резьбовых и фланцевых соединений, сальниковых уплотнений, сварных швов после работы под давлением в течение 3 минут при закрытом раздаточном кране на напорной линии.
-
Установка считается выдержавшей проверку, если при ее осмотре не обнаружено следов течи нефтепродукта и запотевания при работающем насосе.
-
6.4 Определение метрологических характеристик.
Перед определением относительной погрешности предварительно полностью наполняют нефтепродуктом образцовый мерник установки поверочной массовой УПМ (или образцовый мерник М2р) для его смачивания.
-
6.4.1. Определение относительной погрешности установок (5у) при измерении объёма
-
6.4.1.1 Определение относительной погрешности установок (8V) при измерении объёма для установок УТЭД-М, предназначенных для отпуска светлых нефтепродуктов.
Определение относительной погрешности установок (8у) при измерении объёма рабочей жидкости производят по каждому посту налива путём проведения измерений объема при трехкратном наполнении образцового мерника установки поверочной УМП.
-
6.4.1.1.1 Порядок проведения измерений:
-
- патрубок раздаточного крана вставляют в горловину мерника;
-
- на контроллере "Весна-ТЭЦ2-ЗК" или персональном компьютере выполняют операции по заданию дозы в литрах, равной номинальной вместимости мерника;
-
- включают подачу рабочей жидкости;
-
- выдача дозы рабочей жидкости в мерник прекращается автоматически, выдача дозы считается законченной после того, как жидкость перестает течь из раздаточного рукава и носика крана;
-
- по истечении 30 секунд после заполнения мерника УПМ определяют:
-
• значение объема отпущенной дозы рабочей жидкости по шкале мерника (VM);
-
• значение температуры рабочей жидкости (tM) в мернике по термометрам, входящим в состав мерника;
-
• значение объёма (Vr) и температуры (tx) рабочей жидкости по показанию индикатора контроллера управления или персонального компьютера;
-
- сливают из мерника рабочую жидкость обратно в топливный резервуар.
-
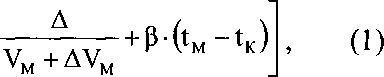
6.4.1.1.2. Относительную погрешность установок (8V) при измерении объёма дозы рабочей жидкости при выпуске из производства и находящихся в эксплуатации в условиях отличных от нормальных, определяют в процентах по формуле
8V =100-

где А = VK - (Vm + AVm) - абсолютная погрешность для каждого измерения дозы рабочей жидкости выданной установкой;
Vr - объём дозы рабочей жидкости, прошедшей через установку, л;
VM - объём рабочей жидкости, поступившей в мерник, л;
AVM - температурная поправка, учитывающая изменение объёма мерника, определяемая по приложению Б;
tM - температура рабочей жидкости в мернике, °C;
tK - температура рабочей жидкости при прохождении через установку, °C;
Р - коэффициент объёмного расширения поверочной жидкости, 1/°С (для керосина, Р = 0,0009).
Значение р в зависимости от заданной плотности при температуре 20 °C определяют по таблице, записанной в ПО компьютера. Значения коэффициентов объемного расширения рабочей жидкости в зависимости от плотности при 20 °C приведены в приложении Б.
Величины A, Vr, Vm, AVm должны иметь одинаковые единицы измерения.
Установку считают поверенной по данному параметру, если относительная погрешность по каждому посту налива не превышает ±0,15% или ±0,25% (в зависимости от модификации).
-
6.4.1.2 Определение относительной погрешности установок (8у) при измерении объёма для установок УТЭД-М, предназначенных для отпуска масел.
Определение относительной погрешности установок (8V) при измерении объёма рабочей жидкости производят по каждому посту налива путём проведения измерений массы продукта при трехкратном наполнении мерника установки поверочной УПМ.
-
6.4.1.2.1. Порядок проведения измерений:
- патрубок раздаточного крана вставляют в горловину мерника;
-
- на контроллере "Весна-ТЭЦ2-ЗК" или персональном компьютере выполняют операции по заданию дозы в литрах, равной номинальной вместимости мерника;
-
- включают подачу рабочей жидкости;
-
- выдача дозы рабочей жидкости в мерник прекращается автоматически, выдача дозы считается законченной после того, как жидкость перестает течь из раздаточного рукава и носика крана;
-
- по истечении 60 секунд после заполнения мерника УПМ определяют:
-
• значение массы отпущенной дозы рабочей жидкости по показаниям весового терминала установки УПМ (Мм);
-
• значение плотности рабочей жидкости (р ) в мернике по ареометру;
-
• значение объёма (VK) рабочей жидкости по показанию индикатора контроллера управления или персонального компьютера;
-
- сливают из мерника рабочую жидкость обратно в топливный резервуар.
-
6.4.1.2.2 Относительную погрешность установок (5V) при измерении объёма дозы рабочей жидкости определяют в процентах по формуле:
S (vkzYm).1oo
V
VM
где VK - объём дозы рабочей жидкости, прошедшей через установку по показаниям контроллера, л;
Ум - объём рабочей жидкости, поступившей в УПМ и рассчитанный по результатам измерения массы отпущенной дозы по формуле:
М
= 1,001 Р
где Мм - масса отпущенной дозы рабочей жидкости по показаниям установки УПМ, кг.;
р - плотность рабочей жидкости по ареометру, кг/м3;
П - коэффициент, учитывающий поправку при взвешивании в воздухе, который определяют по формуле:
J-[ _ Рж _ Рм Рв Рм 1Рж~Рв7
где рж - плотность рабочей жидкости, кг/м3;
рм - плотность материала гирь для поверки весов, (рм = 8000 кг/м3);
рв - плотность воздуха (рв = 1,23 кг/м3);
При использовании весового терминала установки поверочной массовой УПМ, коэффициент П =1,001.
Установку считают поверенной по данному параметру, если относительная погрешность по каждому посту налива не превышает ±0,15% или ±0,25% (в зависимости от модификации установки).
-
6.4.2 Определение относительной погрешности установки при непосредственном динамическом измерении массы.
Определение относительной погрешности установки (дм) при непосредственном динамическом измерении массы рабочей жидкости производят по каждому посту налива путём проведения измерений при трехкратном наполнении мерника установки поверочной массовой УПМ.
-
6.4.2.1. Порядок проведения измерений:
-
- патрубок раздаточного крана вставляют в горловину мерника установки УПМ;
-
- на контроллере "Весна-ТЭЦ2-ЗК" или персональном компьютере выполняют операции по заданию дозы в килограммах, равной номинальной вместимости мерника установки УПМ;
-
- включают подачу рабочей жидкости;
-
- выдача дозы рабочей жидкости в мерник установки прекращается автоматически, выдача дозы считается законченной после того, как жидкость перестает течь из раздаточного рукава и носика крана;
-
- по истечении 30 секунд после заполнения мерника УПМ определяют:
-
• значение массы отпущенной дозы рабочей жидкости по показаниям весового терминала установки УПМ (Мм);
-
• значение массы (Мк) отпущенной дозы рабочей жидкости по показанию индикатора контроллера управления или персонального компьютера;
-
- сливают из мерника рабочую жидкость обратно в топливный резервуар или автоцистерну.
-
6.4.2.2. Относительную погрешность установок (5М) при непосредственном динамическом измерении массы рабочей жидкости при выпуске из производства и находящихся в эксплуатации определяют в процентах по формуле
5 = (Мк-Мм-П). 100 ^2)
. Мм-П ’ V 7
где Мм - показания массы весового терминала УПМ, кг;
Мк - показания массы на индикаторе контролера управления или персо-
нального компьютера, кг;
П - коэффициент, учитывающий поправку при взвешивании в воздухе, который определяют по формуле
п = В»Рм
(р -Р гм ГВ
чРж “Рв J
(3)
где рж - плотность рабочей жидкости, кг/м3;
рм - плотность материала гирь для поверки весов, (рм = 8000 кг/м3); рв - плотность воздуха (рв = 1,23 кг/м3);
В случае использования весового терминала установки поверочной массовой УПМ, коэффициент П = 1,001.
Установку считают поверенной по данному параметру, если относительная погрешность не превышает ± 0,15 % или ± 0,25 % (в зависимости от модификации).
-
6.4.3 Определение относительной погрешности установки (Зм) при измерении массы косвенным методом (вычисление массы).
Определение относительной погрешности установки (Зм) при вычислении массы рабочей жидкости проводят по каждому посту налива путём вычисления массы жидкости с использованием измеренного объема, температуры и плотности (или зависимости плотности от температуры) жидкости. Измерения производятся при трехкратном наполнении образцового мерника.
-
6.4.3.1 Порядок проведения измерений:
-
- патрубок раздаточного крана вставляют в горловину мерника установки УПМ;
-
- на контроллере "Весна-ТЭЦ2-ЗК" или персональном компьютере выполняют операции по заданию дозы в литрах, равной номинальной вместимости мерника;
-
- включают подачу рабочей жидкости;
-
- выдача дозы рабочей жидкости в мерник установки прекращается автоматически, выдача дозы считается законченной после того, как жидкость перестает течь из раздаточного рукава и носика крана;
-
- по истечении 30 секунд после заполнения мерника определяют:
-
• значение объема отпущенной дозы рабочей жидкости по показаниям мерника (VM);
-
• значение температуры рабочей жидкости (tM) в мернике по термометрам, входящим в состав мерника;
-
• значение объёма (VK) и температуры (tK) рабочей жидкости по показанию индикатора контроллера управления или персонального компьютера;
-
• значение плотности (рж ) по показаниям плотномера, входящего в установку (при наличии).
-
- сливают из мерника рабочую жидкость обратно в топливный резервуар или автоцистерну.
-
6.4.3.2 При отсутствии в составе установки плотномера значение плотности рабочей жидкости (кг/м3) при неизменной температуре в пределах 1°С, полученной при температуре, при которой определялась плотность, заносятся в ПО «АРМ оператора налива» компьютера вручную.
-
6.4.3.3 Массу жидкости, отпущенной установкой, определяют в кг, по формуле
Мк = VK • рж ’ (1 + Р ’ St), (4)
где Vk - объем жидкости, прошедшей через установку при неизменной температуре в пределах 1 °C, который передается контроллером управления по запросу центрального компьютера, вычисляющего массу, м3;
рж - плотность рабочей жидкости, кг/м3, полученная одним из способов:
-
• ареометрическим;
-
• пикнометрическим методом при неизменной температуре в пределах 1°С; взятая из таблицы при температуре, при которой определялась плотность;
-
• по показаниям плотномера, входящего в состав установки;
5t - разность температур жидкости при измерении плотности (tp) и объема (tv), °C,
6t=tp-tv,
-
6.4.3.3 Относительную погрешность установок (5М) при вычислении массы рабочей жидкости при выпуске из производства и находящихся в эксплуатации определяют в процентах по формуле

где 5V - относительная погрешность измерений объема, %;
5р - относительная погрешность измерений плотности, полученной ареометрическим или пикнометрическим методами, или измеренной плотномером, %;
A5t - абсолютная погрешность измерений разности температур при измерении плотности и объема, °C.
Установку считают поверенной по данному параметру, если относительная погрешность не превышает ±0,25%.
-
6.4.3.4 Определение погрешности при измерении температуры
Наполняют резервуар с термоизоляционными стенками водой, образованной тающим льдом и имеющую температуру от 0 °C до плюс 5 °C.
Погружают в воду преобразователь температуры, термометр и через 4...5 минут проводят отсчет результатов измерений температуры термометром и измерительным каналом температуры.
Абсолютную погрешность измерительного канала температуры вычисляют по формуле
A t = tn - t-r, (6)
где tH - значение температуры по контроллеру управления или ПО «АРМ оператора налива», °C;
tT - значение температуры по термометру, °C.
Затем наполняют емкость с термоизоляционными стенками водой с температурой от 20°С до 30°С и повторяют измерения.
Установку считают поверенной по данному параметру, если при каждом измерении абсолютная погрешность не превышает ± 1,0 °C.
Примеры определения погрешности установок приведены в приложении А
-
6.2.2, 6.4.1.2 (Измененная редакция, Изм. №1)
-
7.1 Результаты поверки оформляют протоколом по форме, приведенной в приложении В.
-
7.2 Положительные результаты поверки оформляют записью в Паспорте, удостоверенной подписью поверителя и нанесением знака поверки или выдают свидетельство о поверке по установленной форме в соответствии с приказом Минпромторга России от 02 июля 2015 г. №1815 «Об утверждении Порядка проведения поверки средств измерений, требования к знаку поверки и содержанию свидетельства о поверке».
-
7.3 При отрицательных результатах поверки выписывается «Извещение о непригодности к применению» в соответствии с приказом Минпромторга России от 02 июля 2015 г. №1815.
-
7.2, 7.3 (Измененная редакция, Изм. №1)
Начальник отдела 208

Б.А. Иполитов
(справочное)
Примеры определения абсолютной и относительной погрешности установки при температурах, отличных от нормальной.Пример 1 -При температуре окружающей среды и мерника равной минус 18 °C установкой была выдана, в мерник, доза 100 л (V«)• Температура нефтепродукта (керосина), за время прохождения через установку, составляла минус 20 °C (0<).
Измеренная температура нефтепродукта в мернике (t^), после осаждения пены, составила минус 19 °C, а уровень в мернике (Vy) составил 100,1 л.
Абсолютная погрешность (А) установки будет
А = VK - (Гм + АГМ) = 100 - [100,1 + (- 0,126)] = 0,026 л,
J VM = -0,126 л - температурная поправка, учитывающая изменение объёма мерника при температуре минус 20 °C, взятая по приложению Б.
Относительная погрешность (д):

где а = 0,0009 - коэффициент объёмного расширения керосина.
Пример 2 - В мерник была отпущена доза 50 л. За время прохождения керосина, с коэффициентом объёмного расширения а = 0,0009, температура (tx) составляла 30 °C.
Измеренная температура керосина в мернике (ty), после осаждения пены, составила 28 °C, а уровень в мернике составил 49,95 л.
Температурная поправка A VM составит +0,027 л (по приложению Б). Абсолютная погрешность (А) установки будет:
Л = Ус - (Ус + дУи) = 50 - [49,95 + (+ 0,027)] = 0,023 л,
Относительная погрешность (5):
А
5 = 100
0,023
+ a(tu -tA =100
J [49,95 + 0,027
+ 0,0009[28-(+30)] =0,22%
(справочное)
Изменения вместимости мерника, объёмом 100 и 50 дм3, в зависимости от температуры окружающей среды.Номинальная температура окружающей среды и нефтепродуктов принята 15 °C.
Таблица составлена по формуле
AVM=V15(tM-15)-p (Б.1)
где J VM - поправка температурная, учитывающая изменение объёма мерника;
Vis- номинальная вместимость мерника при температуре 15 °C;
/3 = За = 3-12-1СГ6 = 36-10-6—!— - коэффициент объёмного расширения не-град
ржавеющей стали, из которой изготовлен мерник;
tM~ температура продукта в мернике, °C;
а = 12-10'6 - коэффициент линейного расширения нержавеющей стали из которой изготовлен мерник.
Таблица Б.1 - Изменения вместимости мерника, объёмом 50 и 100 дм3, в зависимости от температуры окружающей среды.
Температура (ty) мерника с нефтепродуктом, °C |
Изменение объёма мерника AVM(50) |
Изменение объёма мерника ЛУм(100) | ||
л. |
мл. |
л. |
мл. | |
-60 |
-0,135 |
-135 |
-0,27 |
-270 |
-59 |
-0,1332 |
-133,2 |
-0,2664 |
-266,4 |
-58 |
-0,1314 |
-131,4 |
-0,2628 |
-262,8 |
-57 |
-0,1296 |
-129,6 |
-0,2592 |
-259,2 |
-56 |
-0,1278 |
-127,8 |
-0,2556 |
-255,6 |
-55 |
-0,126 |
-126 |
-0,252 |
-252 |
-54 |
-0,1242 |
-124,2 |
-0,2484 |
-248,4 |
-53 |
-0,1224 |
-122,4 |
-0,2448 |
-244,8 |
-52 |
-0,1206 |
-120,6 |
-0,2412 |
-241,2 |
-51 |
-0,1188 |
-118,8 |
-0,2376 |
-237,6 |
-50 |
-0,117 |
-117 |
-0,234 |
-234 |
-49 |
-0,1152 |
-115,2 |
-0,2304 |
-230,4 |
-48 |
-0,1134 |
-113,4 |
-0,2268 |
-226,8 |
-47 |
-0,1116 |
-111,6 |
-0,2232 |
-223,2 |
-46 |
-0,1098 |
-109,8 |
-0,2196 |
-219,6 |
-45 |
-0,108 |
-108 |
-0,216 |
-216 |
-44 |
-0,1062 |
-106,2 |
-0,2124 |
-212,4 |
-43 |
-0,1044 |
-104,4 |
-0,2088 |
-208,8 |
-42 |
-0,1026 |
-102,6 |
-0,2052 |
-205,2 |
-41 |
-0,1008 |
-100,8 |
-0,2016 |
-201,6 |
-40 |
-0,099 |
-99 |
-0,198 |
-198 |
-39 |
-0,0972 |
-97,2 |
-0,1944 |
-194,4 |
-38 |
-0,0954 |
-95,4 |
-0,1908 |
-190,8 |
-37 |
-0,0936 |
-93,6 |
-0,1872 |
-187,2 |
-36 |
-0,0918 |
-91,8 |
-0,1836 |
-183,6 |
-35 |
-0,09 |
-90 |
-0,18 |
-180 |
-34 |
-0,0882 |
-88,2 |
-0,1764 |
-176,4 |
-33 |
-0,0864 |
-86,4 |
-0,1728 |
-172,8 |
-32 |
-0,0846 |
-84,6 |
-0,1692 |
-169,2 |
-31 |
-0,0828 |
-82,8 |
-0,1656 |
-165,6 |
-30 |
-0,081 |
-81 |
-0,162 |
-162 |
-29 |
-0,0792 |
-79,2 |
-0,1584 |
-158,4 |
-28 |
-0,0774 |
-77,4 |
-0,1548 |
-154,8 |
-27 |
-0,0756 |
-75,6 |
-0,1512 |
-151,2 |
-26 |
-0,0738 |
-73,8 |
-0,1476 |
-147,6 |
-25 |
-0,072 |
-72 |
-0,144 |
-144 |
-24 |
-0,0702 |
-70,2 |
-0,1404 |
-140,4 |
-23 |
-0,0684 |
-68,4 |
-0,1368 |
-136,8 |
-22 |
-0,0666 |
-66,6 |
-0,1332 |
-133,2 |
Продолжение таблицы Б. 1
Температура Ом) мерника с нефтепродуктом, °C |
Изменение объёма мерника ЛУм(50) |
Изменение объёма мерника J Ум (100) | ||
л. |
мл. |
л. |
мл. | |
-21 |
-0,0648 |
-64,8 |
-0,1296 |
-129,6 |
-20 |
-0,063 |
-63 |
-0,126 |
-126 |
-19 |
-0,0612 |
-61,2 |
-0,1224 |
-122,4 |
-18 |
-0,0594 |
-59,4 |
-0,1188 |
-118,8 |
-17 |
-0,0576 |
-57,6 |
-0,1152 |
-115,2 |
-16 |
-0,0558 |
-55,8 |
-0,1116 |
-111,6 |
-15 |
-0,054 |
-54 |
-0,108 |
-108 |
-14 |
-0,0522 |
-52,2 |
-0,1044 |
-104,4 |
-13 |
-0,0504 |
-50,4 |
-0,1008 |
-100,8 |
-12 |
-0,0486 |
-48,6 |
-0,0972 |
-97,2 |
-И |
-0,0468 |
-46,8 |
-0,0936 |
-93,6 |
-10 |
-0,045 |
-45 |
-0,09 |
-90 |
-9 |
-0,0432 |
-43,2 |
-0,0864 |
-86,4 |
-8 |
-0,0414 |
-41,4 |
-0,0828 |
-82,8 |
-7 |
-0,0396 |
-39,6 |
-0,0792 |
-79,2 |
-6 |
-0,0378 |
-37,8 |
-0,0756 |
-75,6 |
-5 |
-0,036 |
-36 |
-0,072 |
-72 |
-4 |
-0,0342 |
-34,2 |
-0,0684 |
-68,4 |
-3 |
-0,0324 |
-32,4 |
-0,0648 |
-64,8 |
-2 |
-0,0306 |
-30,6 |
-0,0612 |
-61,2 |
-1 |
-0,0288 |
-28,8 |
-0,0576 |
-57,6 |
0 |
-0,027 |
-27 |
-0,054 |
-54 |
1 |
-0,0252 |
-25,2 |
-0,0504 |
-50,4 |
2 |
-0,0234 |
-23,4 |
-0,0468 |
-46,8 |
3 |
-0,0216 |
-21,6 |
-0,0432 |
-43,2 |
4 |
-0,0198 |
-19,8 |
-0,0396 |
-39,6 |
5 |
-0,018 |
-18 |
-0,036 |
-36 |
6 |
-0,0162 |
-16,2 |
-0,0324 |
-32,4 |
7 |
-0,0144 |
-14,4 |
-0,0288 |
-28,8 |
8 |
-0,0126 |
-12,6 |
-0,0252 |
-25,2 |
9 |
-0,0108 |
-10,8 |
-0,0216 |
-21,6 |
10 |
-0,009 |
-9 |
-0,018 |
-18 |
11 |
-0,0072 |
-7,2 |
-0,0144 |
-14,4 |
12 |
-0,0054 |
-5,4 |
-0,0108 |
-10,8 |
13 |
-0,0036 |
-3,6 |
-0,0072 |
-7,2 |
14 |
-0,0018 |
-1,8 |
-0,0036 |
-3,6 |
15 |
0 |
0 |
0 |
0 |
16 |
0,0018 |
1,8 |
0,0036 |
3,6 |
17 |
0,0036 |
3,6 |
0,0072 |
7,2 |
18 |
0,0054 |
5,4 |
0,0108 |
10,8 |
19 |
0,0072 |
7,2 |
0,0144 |
14,4 |
Окончание таблицы Б.1
Температура (ty) мерника с нефтепродуктом, °C мерника с нефтепродуктом, °C |
Изменение объёма мерника 4VM(50) |
Изменение объёма мерника ЛУм(100) | ||
л. |
мл. |
л. |
мл. | |
20 |
0,009 |
9 |
0,018 |
18 |
21 |
0,0108 |
10,8 |
0,0216 |
21,6 |
22 |
0,0126 |
12,6 |
0,0252 |
25,2 |
23 |
0,0144 |
14,4 |
0,0288 |
28,8 |
24 |
0,0162 |
16,2 |
0,0324 |
32,4 |
25 |
0,018 |
18 |
0,036 |
36 |
26 |
0,0198 |
19,8 |
0,0396 |
39,6 |
27 |
0,0216 |
21,6 |
0,0432 |
43,2 |
28 |
0,0234 |
23,4 |
0,0468 |
46,8 |
29 |
0,0252 |
25,2 |
0,0504 |
50,4 |
30 |
0,027 |
27 |
0,054 |
54 |
31 |
0,0288 |
28,8 |
0,0576 |
57,6 |
32 |
0,0306 |
30,6 |
0,0612 |
61,2 |
33 |
0,0324 |
32,4 |
0,0648 |
64,8 |
34 |
0,0342 |
34,2 |
0,0684 |
68,4 |
35 |
0,036 |
36 |
0,072 |
72 |
36 |
0,0378 |
37,8 |
0,0756 |
75,6 |
37 |
0,0396 |
39,6 |
0,0792 |
79,2 |
38 |
0,0414 |
41,4 |
0,0828 |
82,8 |
39 |
0,0432 |
43,2 |
0,0864 |
86,4 |
40 |
0,045 |
45 |
0,09 |
90 |
41 |
0,0468 |
46,8 |
0,0936 |
93,6 |
42 |
0,0486 |
48,6 |
0,0972 |
97,2 |
43 |
0,0504 |
50,4 |
0,1008 |
100,8 |
44 |
0,0522 |
52,2 |
0,1044 |
104,4 |
45 |
0,054 |
54 |
0,108 |
108 |
46 |
0,0558 |
55,8 |
0,1116 |
111,6 |
47 |
0,0576 |
57,6 |
0,1152 |
115,2 |
48 |
0,0594 |
59,4 |
0,1188 |
118,8 |
49 |
0,0612 |
61,2 |
0,1224 |
122,4 |
50 |
0,063 |
63 |
0,126 |
126 |
51 |
0,0648 |
64,8 |
0,1296 |
129,6 |
52 |
0,0666 |
66,6 |
0,1332 |
133,2 |
53 |
0,0684 |
68,4 |
0,1368 |
136,8 |
54 |
0,0702 |
70,2 |
0,1404 |
140,4 |
55 |
0,072 |
72 |
0,144 |
144 |
56 |
0,0738 |
73,8 |
0,1476 |
147,6 |
57 |
0,0756 |
75,6 |
0,1512 |
151,2 |
58 |
0,0774 |
77,4 |
0,1548 |
154,8 |
59 |
0,0792 |
79,2 |
0,1584 |
158,4 |
60 |
0,081 |
81 |
0,162 |
162 |
(обязательное)
Протокол результатов поверки поста налива №_ установки УТЭД-М__модель__ методом непосредственного измерения массы
№ п/п |
Показания массы весового терминала, кг, Мм |
Показание массы на индикатор! контроллера, кг, Мк |
Коэффициент, учитывающий поправку при взвешивании на воздухе, П |
Плотность рабочей жидкости, кг/м3;рж |
Относительная погрешность, 5м, % |
1 | |||||
2 | |||||
3 |
Поверитель
____________________________________ / /
личная подпись расшифровка подписи
МП
год, месяц, число
Протокол результатов поверки поста налива №_ установки УТЭД-М модель_____
методом вычисления массыПоверитель
личная подпись
МП
/ / расшифровка подписи
№ п/п |
Объём, измеренный установкой, Vk, л |
Плотность жидкости, рж, г/см3 |
Относительная погрешность измерений объема, 8у, % |
Относительная погрешность измерений плотности, 8р, % |
Температура при измерении плотности, tp,°C |
Температура при измерении объёма, tv °C |
Разность температур жидкости при измерении плотности и объема, 8t,°C |
Абсолютная погрешность измерений разности температур, A8t,°C |
Коэффициент объёмного расширения поверочной жидкости, р, 1/°С |
Относительная по грешность, 8м, % |
1 | ||||||||||
2 | ||||||||||
3 |
год, месяц, число
го о
397.00.00.00 МП
Протокол
результатов поверки поста налива №_ установки УТЭД-М модель_____
методом измерения объёма при выдаче светлых нефтепродуктов
Поверитель
личная подпись
МП
/ / расшифровка подписи
ЬЭ
год, месяц, число
чо
О о
о о
о о
№ п/п |
Объём, измеренный установкой Ук,л |
Температура, измеренная установкой tK, °с |
Объём, измеренный мерником VM,n |
Температура в мернике, tM, °с |
Температурная поправка, АУм,л |
Абсолютная погрешность, А, л |
Коэффициент объёмного расширения поверочной жидкости, а, 1/°С |
Относительная погрешность, 5,% |
1 | ||||||||
2 | ||||||||
3 |
Протокол результатов поверки поста налива №_ установки УТЭД-М модель_____
методом измерения объёма при выдаче масел
№ п/п |
Объём, измеренный установкой Vr, л |
Масса по показаниям весового терминала, кг, Мм |
Плотность продукта, кг/см3 |
Объём, вычисленный по значениям массы и плотности, Ум,л |
Абсолютная погрешность, А, л |
Относительная погрешность, 8V, % |
1 | ||||||
2 | ||||||
3 |
Поверитель
личная подпись
МП
/ / расшифровка подписи
год, месяц, число
397.00.00.00 МП