Методика поверки «ГСИ. Система измерений количества и показателей качества нефти №219 НГДУ «ДЖАЛИЛЬНЕФТЬ»» (МП 223-30151-2015)

ООО «Метрологический центр СТП» Регистрационный № 30151-11 от 01.10.2011 г. в Государственном реестре средств измерений
«УТВЕРЖДАЮ»
Т ехйич^рОй' директор
ООХ>Жетрологйч.еский центр СТП»
А. Яценко
« 3g/>\ 4? . 2016 г.
Государственная система обеспечения единства измерений Система измерений количества и показателей качества нефти №219 НГДУ «ДЖАЛИЛЬНЕФТЬ» МЕТОДИКА ПОВЕРКИ(с изменением № 1)
МП 223-30151-2015г. Казань
2016
СОДЕРЖАНИЕ
-
1 ВвеДенйе...............
-
2 Ойёр'а^ий повёркй
-
3 Средства поверки.
-
4 Требования техники беВбпйсн'бсти И требования к квалйфйкаййй пбйерйтелёй
-
5 Условия по’верки
■ 4 4 • • • • 4 4 4 4 4*4 4 4 4~4 4^4 4*4 4 * 4 4 4 4 • 4 ♦ '•
к'• 4 4 4 • • * • • 4 .
-
6 Подготовка к поверке......................
-
7 Проведение повёрки.......................
-
8 Оформление результатов пОВёрки.
Приложение А (рекомендуемое)......
• • • • • • . .... * . *'• • • ."V. • ..
'• . .’. • .'. . ..‘.’Л <Г. S'.'.'. • . ■
........................
4'4 4 4*1
«•.м.г,.....
.........
#4 4 4 4 4 • Л*ф4 * 4
'• • • • • • •"•
.V*
)AOO\OiUiOi^4^C>J
-
1.1 Настоящая инструкция распространяется на систему измерений количества й Показателей Качества йефти №219 ЙГДУ <<ДЖАЛйЛЪЙЕФТЬ>> (далее — СИКЙ) й устанавливает методику Первичной пов'ёркй до ввода в эксплуатацию й, поёле ремонта, а также МётОдйку периодической поверки "в процессе эксплуатаций.
-
1.1 (Изменённая редакция, Изм. № 1)
-
1.6 Средства измерения (дайёё - СИ), входящие в состав СИЙЯ, указаны в таблйце 1Л.
Таблица 1 Л СИ, входящие в состав, СИКН ...... ...
|
№ п/ п |
Наименование СЙ |
КО-лйчё-ство |
Регистрационный номер |
|
........Прибёры коНтрольно-йзмёрйтёЛьныё показырающйед, | |||
|
1„ |
Майометрпоказывагбщий дляточных йзмёренищМПТЙ.......... |
12 |
.. . 26803-11 |
|
2 |
Термометр ртутныйстеклянный лабораторйый ТЛ-4.............. |
2 |
. 303-91 .. |
|
3 |
Манометр избыточного давления показывающий МП-2У |
9 |
10135-10 |
|
. ....... Блок фильтров | |||
|
,1. |
х Преобразователь давления измерительный Deltabar S PMD75 |
41560-09 | |
|
Блок измерительных линий „ | |||
|
1 |
Расходомер массовый Promass с датчиком Promass F и электронным преобразователем 83 (далее - PromaSs JS3F) |
2 |
15201-11 |
|
2 |
Термопреобразо'ватёль сопротивления платйновйи серии TR модёлиТКП ......... .................... |
1 |
49519-12 |
|
3 |
Преобразователь давления измерительный Cerabar S РМР71 |
3 |
.... 41560-09..... |
|
........ Блок измерений показателей качёстванефти | |||
|
. 1. |
Счетчйкдефтитурбиннь1ЙМИГисПолненияМИГ-32Ш |
. 26776-0.8, | |
|
2 |
Преобразователь плотности жидкости измерительный модели 7835 |
1 |
52638-13 |
|
3 |
Преобразователь плотности и вязкости жидкости измерительный модели 7829 |
1 |
15642-06 |
|
4 |
Влагомер нефти поточный УДВН-1пм ,. .................... |
1. |
14557-10. . |
|
5 |
.Преобразователь давления измерительный Cerabar. S РМР71..... |
.41560-09.... | |
|
6 |
Термопреобразо'ватель сопротивления платиновый серий TR модели TRI 1 |
1 |
49519-12 |
|
..... . .. Система обработки, информации ........ | |||
|
. 1 |
Контроллер измерительный Floboss S600+ (далее -ИВК) |
. . 2... |
57563-14 |
|
. |
^Барьер искрозащиты серий Z(модуль Z 787) |
... 22 |
. 22152:07.... |
Таблица 1.1 (Изменённая редакция, Изм. № 1)
-
1.7 Поверка СИКН проводится следующим образом:
-- поверка СИ, входящих в состав СИКН, осуществляется в соответствий с методиками поверки, представ ленными в прйложёнйй А настоящей методйкй йоверки;
-метрологические характеристики СИКН определяют в соответствий с 7.4.4, 7.4*5 Настоящей методики п'оверкй.
Примечания
-
1 Счетчик нефти турбинный, установленный в' БИК, преобразователь перепада давления Ш фильтре И соответствующие ИК допускается калибровать не р'ейсё Одного раза В год.
-
2 Допускается проводить поверку Promass 83F, входящих В состав СИКН, До МЙ 3151-200'8 «Рекомендация. Государственная система обеспечения едйнств'а йзмёрейий. Преобразователи массового расхода.
ЗйзИ
Методика поверки на месте эксплуатации трубопоршневой Поверочной установкой в комплекте с поточным преобразователем плотности».
-
3 ГГри наличии свидетельств о поверке на барьеры искр оз ащиты серии Z процедуры по 7.4.1, 7.4.2, 7.4.3 Не проводятся.
-
1.8 Интервал между поверками СИ, входящих в состав СИКН, -1 год.
-
1.9 Интервал между поверками стеклянных термометров - 3 года.
-
1.10 Интервал между поверками СИКН -1 год.
При проведении поверки должны быть выполнены операции, приведенные в таблице 2.1.
Таблица 2.1 - Операций поверки
|
Наименование операции |
Номер пункта методики поверкй |
|
Проверка технической документации . |
7.1 |
|
Внешний осмотр ..... ...... |
. 7.2 ... |
|
Опробование ... |
7.3..... |
|
Определение метрологических характеристик СИКН . |
. 7.4 |
|
Оформление результатов поверки |
8 |
3 СРЕДСТВА ЙОВЕРКЙ
-
3.1 При проведении поверки применяют эталонные' й Вспомогательные СИ, приведенные в таблице 3.1.
Таб лиц а, 3.1 - Основные эталоны и СИ ......... .................
|
Номер пункта методики |
Наименование и тип основного и вспомогательного средства поверки й метрологические и основные технические характеристики средства поверки |
|
5.1 |
Барометр-анероид М-67 по ТУ 2504-1797-75, диапазон Измерений от 610 до 790 Мм рт. ст., пределы допускаемой абсолютной погрешности измерений ±0,8 Мм рт. ст. |
|
5.1 |
Психрометр аспирационный М34, диапазон измерений влажности от 10 до 100 %, пределы допускаемой абсолютной погрешности Измерений ±5 % |
|
5.1 |
Термометр ртутный стеклянный лабораторный ТЛ-4 (№ 2) по ГОСТ 28498-90, диапазон измерений от 0 до Плюс 55 °C, цена делений шкалы 0,1 °C, класс точности I |
|
7.4 |
Калибратор многофункциональный MC5-R: диапазон воспроизведения силы постоянного тока от 0 до 25 мА, пределы допускаемой основной погрешности воспроизведения ±(0,02 % показания + 1 мкА); диапазон воспроизведения последовательности импульсов от 0 до 9999999 импульсов; диапазон воспроизведения частотных сигналов прямоугольной формы от 0,0028 Гц до 50 кГц, пределы допускаемой основной относительной погрешности воспроизведения ±0,01 % |
Примечание к таблице 3.1 (Исключено, Изм. № 1)
-
3.2 Допускается применение аналогичных Средств поверки, обеспечивающих определение метрологических характеристик СИКН с требуемой точностью.
-
3.3 Все применяемые эталоны должны быть аттестованы; СИ должны иметь действующий знак поверки й (или) свидетельство о поверке, и (или) запись в паспорте (формуляре) СИ, заверенной подписью поверителя и знаком поверки.
-
3.2.3.3 (Измененная редакции, Изм. № 1)
-
4.1 При проведении поверки должны соблюдаться следующие требований:
-
- корпуса применяемых СИ должны быть зазёмлёны в соответствии с их эксплуатационной документацией;
ко Неем используемым СЙ должен быть обеспёчёй свободный до'ступ для з'азёмлёййЯу настройки и измерений;
-
- работы по соединению вспомогательных устройств должны вьшолняться До Подключения к сети питания;
-
- обеспечивающее безопасность труда, производственную санитарию и Охрану окружающей среды;
-
- предусмотренные «Правилами технической эксплуатаций электроустановок» И «Правилами техники безопасности Прй эксплуатации электроустановок», а также эксплуатационной Документацией оборудования, его компонентов и применяемых средств поверки.
-
4.2 К. работе по поверке Должны допускаться лица:
-
- достигшие 18-лётнего возраста;
-
- прошедшие специальную подготовку й имеющие удостоверения на право проведения поверки;
-
- Ирошедйшё инструктаж по технике безопасности в установленном порядке;
-
- изучившие эксплуатационную документацию на СИКН, СЙ, входящие в состав СИКН, й средства поверки.
-
5.1 Йри проведении поверки должны соблюдаться следующие условия:
-
- температура окружающего воздуха, °C (20±5)
-
- относительная влажность, % от 30 до 80
-
- атмосферное давление^ кПа от 84,0 До 106/7
-
5.2 Вибрация, тряска, удары, наЮюны, электрические и магнитные по“ля, Кроме ЗёмйоТо, влияющие на работу приборов, должны отсутствовать.
-
5.3 Параметры электропитания СИКН должны соответствовать условиям' применения, указанным в эксплуатационной документации фйрмы-изготовйтёЛя.
Перед проведением поверки выполняют следующие подготовительные операций:
-
- эталонные СИ и СИКН устанавливают в рабочее п&ложёние с соблюдением указаний эксплуатационной документаций на жестком оснований, исключающем передачу нёсанкцйонированных механических воздействий;
■ - эталонные СИ и СИКН выдерживают при температуре, указанной в • пункте 5, не мейее трёх часов, если время их выдержки не указано В Инструкции по эксплуатации;
-
- осуществляют соединение И подготовку к проведению измерений эталонных СЙ и СИКН в соответствии с требованиями эксплуатационных документаций на эталонные СЙ й СИКН.
При проведении проверки технической документаций проверяют:
-
- наличие эксплуатационной документации на СИКН;
-
- наличие паспорта На СИКН;
-
- наличие свидетельства о предыдущей поверке СЙКН (При периодической поверке);
-
- наличие методики поверки СИКН;
наличие паспортов СИ5 входящих в состав СИКН;
-
- действующего знака поверки И (или) свидетельства о пйвёрке^ й (или) заверенной подписью поверителя и знаком поверки записи в Паспорте (формуляре) СИ, подлежащих повёрке;
-
- наличие действующего Калибровочного клейма й (или) сертификата о калибровке, и (или) заверенной подписью калибровщика и калибровочным клеймом записи в паспорте (формуляре) СИ, подлежащих калибровке.
-
7.1 (Измененная редакция, Изм. № 1)
-
7.2.1 При проведении внешнего осмотра СИКН контролируют вьшолнёнйё требований технической документации к монтажу СИ, измерительно-вычислительных и связующих компонентов СИКН.
-
7.2.2 При проведении внепшёго осмотра СЙКН устанавливают состав и комплектность' СИКН.
-
7.2.3 Проверку выполняют на основании сведений, содержащихся в Паспорте йа СИКН. При этом контролируют соответствие типа СИ, указанного в паспортах составных частей, записям в паспорте на СИКН.
-
7.2.4 Результаты проверки считают положительными^ если ВнеЩнйй вид, маркировка й комплектность СИКН соответствуют требованиям технической документации.
7.3 Опробование СЙКН
7.3.1 Подтверждение соответствия программного обеспечения-
7.3.1.1 Подлинность программного обеспечения (Далее - ПО) СЙКН проверяют сравнением идентификационных данных ПО с соответствующими й'дентифйкационйымй данными, зафиксированными при испытаниях в целях утверждения типа и отраженными в Описании типа СИКН.
-
7.3.1.2 Проверяют возможность несанкционированного Доступа к ПО СИКН й наличйё авторизации (введение логина и пароля), возможность обхода автбризацйщ проверка реакция ПО СИКН на неоднократный ввод неправильного логина и (иЛи) пароля (аутентификация).
-
7.3.1.3 Результаты опробования считают положительными, если идентификационные данные ПО, совпадают с исходными, зафиксированными прй Испытаниях в целях утверждения типа и отраженными в описании типа СИКН, а также исключается возможность несанкционированного доступа к ПО СЙКН и обеспечивается аутентификация.
-
7.3.2.1 Приводят СИКН в рабочее состояние в соответствие с технической документацией фирмы-изготовителя на нее. Проверяют прохождение сигналов средств поверки, имитирующих измерительные сигналы. Проверяют на информационном Дисплее СИКН показания по регистрируемым в соответствии с конфигурацией СЙКН параметрам: технологического процесса.
-
7.3.2.2 Результаты опробования считаются положительными, если при увеличении/уменыпении значения входного сигнала соответствующим образом изменяются значения измеряемой величины йа информационном дисплее СЙКЙ.
-
7.4 Определение метрологических характеристик
-
7.4.1 Л Отключить первичный измерительный преобразователь (далее ЙП) ИК й к соответствующему каналу, включая линии связи и барьер искрозащиты (при наличйй), подключить калибратор, установленный в режим имитации сигналов сйлы Постоянного тока от 4 до 20 мА, в соответствий с инструкцией по эксплуатаций.
-
7.4.1.2 С помощью калибратора установить на входе канала ввода аналогового сигнала силы постоянного тока от 4 до 20 мА электрический сйгнал, соответствующий значениям измеряемого параметра. В качестве реперных точек принимаются точки 4; 8; 12; 16; 20 мА.
-
7.4.1.3 Считать значения входного сигнала с дисплей СОЙ СЙКЙ и в каждой реперйой точке вычислить Приведенную погрешность по формуле
•100%’
^ihak ^min
где
“ показание калибратора в z-ой реперной точке, мА;
Лпах? “ Максимальное й минимальное значений: границы Диапазона входного айа-/ v лотового сигнала силы постоянного тока от 4 до 20 мА, МА;
min
Лзм " зиачение тока, соответствующее показанию измеряемого параметра СЙКН в z-ой реперной точке, мА, вычисляемое Ио формуле (при линейной функций преобразования):

(2)
где
ЙГтах-, - максимальное и минимальное значений Измеряемого параметра, соответствующие максимальному и мйнимайьному значениям границы т1П диапазона входного аналогового сигнала силы постоянного тока от 4 до 20
мА.
-
7.4.1.4 Результаты поверки считаются положительными, если рассчитанная йрйвеДеНйая погрешность преобразования входного аналогового сигнала силы постоянного чока от 4 до 20 мА не выводит за пределы ±0,14 %.
-
7.4.2.1 Отключить первичный ИП и к соответствующему каналу, включая пинии связи, подключить калибратор, установленный в режим генераций импульсов, в соответствии с инструкцией по эксплуатации.
-
7.4.2.2 С помощью калибратора на вход канала ввода импульсных сигналов СИКН фиксированное количество раз (не менее трех) подать импульсный сигнал (10000 Импульсов). Частота подаваемого сигнала от 0,1 до 10000 Гц.
-
7.4.2.3 Считать значения Входного сигнала с дисплея СОИ СЙКЙ и вычислить абсолютную погрешность по формуле

где “ количество импульсов, подсчитанное Контроллером, импульсы;
пэт — количество импульсов, заданное калибратором^ ймпульсы.
-
7.4.2.4 Результаты поверки считаются положитейьйымй, если рассчитанная абсолютная погрешность при измерений импульсного сигнала не выйбдйт за пределы ±1 импульс на 10000 импульсов.
-
7.4.3.1 Отключить первичный ИП и к соответствующему каналу, включая линйи связи, подключить калибратор^ установленный в режим воспроизведения Частотных сигналов, в соответствий с Инструкцией по эксплуатаций.
-
7.4.3.2 С помощью калибратора установить на входе канала ввода частотйоТО сигнала СИКН сигнал заданной формы и частоты, соответствующий значениям Измеряемого параметра. Задают не Менее пяти значений измеряемого параметра, равномерно распределенных в пределах диапазона измерений (включая крайние точки диапазона).
-
7.4.3.3 Считать значения входного сигнала с дисплея СОИ СЙКЙ И вычислить относительную погрешность Но формуле




частота сигнала, заданного Калибратором, Гц;
Частота сигнала, Считанная с монитора СИЙНЬ Гц.
-
7.4.3.4 Результаты поверки считаются положительными, если’ рассчитанная относительная погрешность при измерений частотного сигнала не выходит за пределы ±0,001 %.
-
7.4.4.1 Относительная погрешность при измерении массы брутто нефти при прямом Методе Динамических измерений принимается равной относительной погрешности СРМ.
-
7.4.4.2 Результаты поверки считаются положительными, если относительная погрешность СИКН при измерении массы брутто нефти не выходит за пределы ±0,25 %.
-
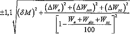
7.4.5.1 Относительная погрешность при измерении массы нетто нефти определяется по
формуле



где 8М - относительная погрешность йри измерений' массы брутто нефти, ’%; АИ^ - абсолютная погрешность определения массовой доли воды, %;
АИ^ ~ абсолютная погрешность определения массовой долй механических
примесей, %;
АЙ^С - абсолютная погрешность определения массовой доли хлористых солей, %;
We - массовая доля воды в нефти, %;
~ массовая доля механических примесей в нефти, %;
Wxc - массовая доля Хлористых солей в нефти, %.
-
7.4.5.2 Абсолютные погрешности измерений в химико-аналитической лабораторий массовой доли воды,- механических примесей, хлористых солей определяют в соответствий с ГОСТ Р 8.580-2001.
-
7.4.5.3 Результаты поверки считаются положительными, если рассчитанная относительная погрешность СИКН при измерении Массы нетто нефти не выхолит за пределы
±0,35 %.
-
8.1 При положительных результатах поверки оформляют свидетельство о поверке СЙКЙ в соответствий с приказом Министерства промышленности й торговли Российской Федераций от 2 июля 2015 г. № 1815 «Об утверждений Порядка проведения поверкй средств измерений, требования к знаку поверки и содержанию свидетельства о поверке».
-
8.2 Отрицательные результаты поверки СИКН оформляют в соответствий с приказом Министерства промышленности й торговли Российской Федерации от 2 июля 2015 г. № 1815 «Об утверждении Порядка проведения поверкй средств измерений, требования к знаку поверкй и содержанию Свидетельства о поверке». При этом выписывается извещение о непригодности к применению СИКН с указанием причин непригодности.
Раздел 8 (Измененная редакция, Изм. № 1)
ПРИЛОЖЕНИЕ А(рекомендуемое)
Наименования: документов на методику поверки СИ, входящих в состав СИКН
|
Наименование СИ , |
Наименование документов на методику поверки СИ .. . |
|
Манометр показывающий для точйых измерений мпти |
5Ш0.283.421 МП «Манометры, вакуумметры и мановакуумметры показывающие для точйых Измерении МПТИ, ВПТИ и МВПТЙ. Методика поверки», утвержденная ГЦИ СИ ФГУП «ВНЙИМС» в 2011 г. ................ ..... . ......... . ............. |
|
Термометр ртутный стеклянный лабораторный ТЛ-4 |
ГОСТ 8.279-78 «ГСИ. Термометры стеклянные жидкостные рабочие. Методика поверкй» |
|
Манометр избыточного давления показывающий МП72У |
МИ 2124-90 «ГСИ. Манометры, вакуумметры,- мановакуумметры, найоромеры, тягомеры, тягойапороМёры показывающие и * самопишущие. Методика поверки». . .. ....... |
|
Преобразователи давления измерительные Deltabar, Cerabar |
Методика «Преобразователи давления и Уровня измерительные давления измерительные Cerabar, Deltabar И Waterpilot производства фирмы «Endress+Hauser OmbH+Co.KG», Германия», утверждённая ГОД СИ ФГУП «ВНЙИМС» Д6.09.2009 г. .......... |
|
Расходомеры массовые Promass |
«ГСИ. Расходомеры массовые Promass. Методика поверкй», утвержденная ГЦИ СИ ФГУП «ВНИЙМС» в апреле 2011Т.; МИ 3151-2008 «Рекомендация. Государственная система обеспечения единства Измерений. Преобразователи массового расКбДа. Методика поверкй Па месте эксплуатаций Трубопоршневой поверочной установкой вкомплекте с'поточным'пре'образбватёлемйлотностй»^ |
|
Термопреобразователь сопротивления платиновый серии TR |
МП 49519-12 «ТермопреобразоватёЛй сопротивлений серий TR, TST. Методика поверки», утверждённая ГЦИ СИ ФГУП «ВНЙИМС» в сентябре 2011 г. , ....... .... |
|
Счетчик нефти турбинный МИГ |
Раздел «Методика Поверки» документа БН.10-02РЭ «СЧетчиКи нефти турбйПнЫе МИГ. Руководство Но эксплуатаций» |
|
Преобразователь плотности ЖИДКОСТИ измерительный модели 7835 ..... . |
МИ 3240-2012 «ГСИ. Преобразователи плотности жидкости Поточные. Методика поверки»; МИ 2816-2012 «ГСИ. Преобразователи плотности Поточные. Методика поверки на месте эксплуатации»..... |
|
Преобразователь ПЛОТНОСТИ И ВЯЗКОСТИ жидкости измерительный модели 7829 |
МИ 3001-^-2006 «Рекомендация. ГСИ. Преобразователи плотности И вязко'стй жидкости поточные моделей 7827 й 7829 фйрмй «Solartron Mobrey Limited». Методика поНёрКИ в динамическом режиме»; МИ 3119-2008 «Рекомендация. ГСЙ. Преобразователи плотности и вязкости жидкости измерительные модели 7827 И 7829. Методика пбвёркй На месте эксплуатации»; МИ 3302-2010 «Рекомендация. ГСИ. Преобразователи плотности й вязкости жидкости измерительные моДёлй 7827 и 7829. Методика поверки»; РД 50-294-81 «Методййеские указания. Плотномеры вибрационные. Методы и средства поверкй» |
|
Влагомер нефти пбтбчныи УДВН-1пм |
МИ 2366-2005 «Рекомендация. Государственная система обеспечений единства измерений. Влагомеры нефти типа УДВН. Методика , поверки»......... ........... |
|
Контроллер измерительный Floboss S600+ |
МП 117-221-2013 «Контроллеры измерительные FloBoss S600+. Методика Поверкй», утвержденному ФГУП «УЙЙИМ» в апреле 2014 г |
|
Наименование СИ |
Наименование документов на методику поверки СИ |
|
Барьер ибкрозащиты серий Z |
«Барьеры искрозащиты серии Z фирмы Pepperl+Fuchs GmbH, Германия. Методика поверки», разраб'отай1ная и утвержденная ВНИИМС 21 ноября 2001 Г. ............ |
Приложение А (введено дополнительно, йзм. № 1)
11 ИЗ 11
