Методика поверки «Тахеометры электронные GeoMax Zoom90» (МП АПМ 64-16)
С. Никитин
М » /О___________2016 г.
директор
- М»
Тахеометры электронные GeoMax Zoom90
МЕТОДИКА ПОВЕРКИ
МП АПМ 64-16
г. Москва
2016 г.
Настоящая методика поверки распространяется на тахеометры электронные GeoMax Zoom90 (далее - тахеометры), производства «GeoMax AG», Швейцария, и устанавливают методику их первичной и периодической аттестации.
Интервал между поверками - 1 год.
1 Операции поверкиПри проведении поверки должны выполняться операции, указанные в таблице 1. Таблица I
|
№ п/п |
Наименование операции |
№ пункта документа по поверке |
Проведение операций при | |
|
первичной поверки |
периодической поверке | |||
|
1 |
Внешний осмотр |
7.1 |
Да |
Да |
|
2 |
Опробование, проверка работоспособности функциональных режимов, идентификация программного обеспечения |
7.2 |
Да |
Да |
|
3 |
О п ределен и е м етроло ги чес к и х характеристик |
7.3 |
- |
- |
|
3.1 |
Определение абсолютной и средней квадратической погрешностей измерений расстояний |
7.3.1 |
Да |
Да |
|
3.2 |
Определение абсолютной и средней квадратической погрешностей измерений угла |
7.3.2 |
Да |
Да |
2 Средства поверки
При проведении поверки должны применяться эталоны и вспомогательные средства поверки, приведенные в таблице 2.
Таблица 2
|
№ пункта документа по поверке |
Наименование эталонов, вспомогательных средств поверки и их основные метрологические и технические характеристики |
|
7.3.1 |
Фазовый светодальномер (тахеометр электронный) 1-го разряда по ГОСТ Р 8.750-2011 |
|
7.3.2 |
Стенд универсальный коллиматорный ВЕГА УКС (per. № 44753-16) |
|
Примечание - Допускается применять другие средства поверки, обеспечивающие определение метрологических характеристик с точностью, удовлетворяющей требованиям настоящей методики. | |
К проведению поверки допускаются лица, изучившие эксплуатационные документы, имеющие достаточные знания и опыт работы с тахеометрами.
4 Требования безопасностиПри проведении поверки, меры безопасности должны соответствовать требованиям по технике безопасности согласно эксплуатационной документации, правилам по технике безопасности. действующие на месте проведения поверки и требованиям МЭК-825 «Радиационная безопасность лазерной продукции, классификация оборудования, требования и руководство для потребителей», а также правилам по технике безопасности при производстве топографо-геодезических работ ПТБ-88.
5 Условия поверки5.1 11оверка тахеометров может быть проведена в полевых или лабораторных условиях. При проведении поверки в лабораторных условиях должны соблюдаться следующие нормальные условия измерений:
|
(20±5) 80 630...800 |
(84,0...106,7)
- изменение температуры окружающей среды во время поверки. °С/ч. не более 2
Полевые измерения (измерения на открытом воздухе) должны проводиться при отсутствии осадков, порывов ветра и при температуре окружающей среды от минус 20 до плюс 50 °C.
6 Подготовка к поверкеПеред проведением поверки должны быть выполнены следующие подготовительные работы:
-
- проверить наличие действующих свидетельств о поверке на средства измерений:
-
- тахеометр и средства поверки привести в рабочее состояние в соответствии с их эксплуатацией ной документацией:
-
- тахеометр и средства поверки должны быть выдержаны при нормальных условиях не менее 1 ч.
-
7 Проведение поверки
При внешнем осмотре должно быть установлено соответствие тахеометра следующим требованиям:
-
- отсутствие коррозии, механических повреждений и других дефектов, влияющих на эксплуатационные и метрологические характеристики тахеометра:
-
- наличие маркировки и комплектность согласно требованиям эксплуатационной документации на тахеометр:
Если перечисленные требования не выполняются, тахеометр признают непригодным к применению, дальнейшие операции поверки не производятся.
7.2 Опробование, проверка работоспособности функциональных режимов, идентификация программного обеспечения-
7.2.1 При опробовании должно быть установлено соответствие тахеометра следующим требованиям:
-
- отсутствие качки и смещений неподвижно соединенных деталей и элементов;
-
- плавность и равномерность движения подвижных частей;
-
- правильность взаимодействия с комплектом принадлежностей:
-
- работоспособность всех функциональных режимов и узлов;
-
- дискретность отсчета измерений углов и расстояний должны соответствовать эксплуатаций н ной доку мен гаи и и.
-
7.2.2 Проверку идентификационных данных программного обеспечения (далее - ПО) «GeoMax ToolK.it» производится через интерфейс пользователя путем нажатия в главном меню иконки «СисИнфо», далее необходимо выбрать вкладку «Страница 2»
В появившемся диалоговом окне будет отображено наименование и версия ПО.
Данные, полученные по результатам идентификации ПО, должны соответствовать таб
лице 3.
Таблица 3
|
Идентификационное наименование 1IO |
GeoMax Toolkit |
|
Номер версии (идентификационный номер ПО), не ниже |
1.01.27 |
Если перечисленные требования не выполняются, тахеометр признают непригодным к применению, дальнейшие операции поверки не производят.
7.3 Определение метрологических характеристик
7.3.1 Определение абсолютной и средней квадратической погрешностей измерений расстоянийАбсолютная погрешность измерении и СКП измерений расстояний определяется путем сличения с эталонным тахеометром 1-го разряда по ГОСТ Р 8.750-2011.
Необходимо провести многократно, не менее 10 раз. измерения не менее 3 значений расстояний, действительные длины которых расположены в заявляемом диапазоне измерений расстояний поверяемого тахеометра и определены с помощью эталонного тахеометра 1-го разряда по ГОСТ Р 8.750-2011.
Абсолютная погрешность измерений (при доверительной вероятности 0,95) расстояний определяется по формуле:

(1)
AS = (-<=*---
nJгде AS - абсолютная погрешность измерений j-ro расстояния, мм:
So, - эталонное (действительное) значение j-ro расстояния, полученное по этазонному тахеометру;
S i j - полученное значение j-ro расстояния i-м приемом по поверяемому тахеометру;
л - число приемов измерений j-ro расстояния.
Средняя квадратическая погрешность измерений каждой линии вычисляется по формуле: где ms - средняя квадратическая погрешность измерения j-ro расстояния.

Значение абсолютной погрешности (при доверительной вероятности 0.95) и средней квадратической погрешности измерений расстояний должны соответствовать значениям, приведённым в Приложении к настоящей методике поверки.
Если требование п.7.3.1, не выполняется, тахеометр признают непригодным к применению, дальнейшие операции поверки не производят.
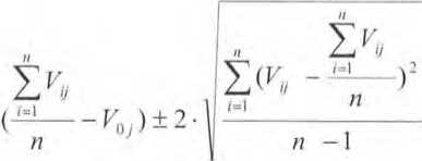
7.3.2 Определение абсолютной и средней квадратической погрешностей измерений углаАбсолютная погрешность и СКГ1 измерений углов определяется на эталонном коллиматором стенде путем многократных измерений (не менее четырех циклов измерений, состоящих из измерений в положении «Круг право» (КГ1) и «Круг лево» (KJI)) горизонтального угла (90±30)° и вертикального угла (более ±20°).
Абсолютная погрешность измерений (при доверительной вероятности 0.95) горизонтального и вертикального углов вычисляется по формуле:

где А,,, - абсолютная погрешность измерений горизонтального (вертикального) угла,
Voj - значение горизонтального (вертикального) угла по эталонному коллиматорному стенду, взятое из свидетельства о поверке на него,
Vy - значение горизонтального (вертикального) угла, по поверяемому тахеометру.
п - число измерений.
Средняя квадратическая погрешность измерений горизонтального и вертикального углов вычисляется по формуле:
/I
(4)
где mvi - средняя квадратическая погрешность измерений горизонтального (вертикально
го) угла.
Vi - разность между измеренным поверяемым тахеометром значением i-ro горизонтального (вертикального) угла и значением i-ro горизонтального (вертикального) угла по эталонному коллиматорному стенду, взятому из свидетельства о поверке на него,
п - число измерений.
Значения абсолютной погрешности (при доверительной вероятности 0,95) и средней квадратической погрешности измерений углов не должны превышать значений, указанных в Приложении к настоящей методике поверки.
Если требование и.7.3.2. не выполняется, тахеометр признают непригодным к применению, дальнейшие операции поверки не производят.
8 Оформление результатов поверки-
8.1 Результаты поверки оформляются протоколом, составленным в виде сводной таблицы результатов поверки по каждому пункту раздела 7 настоящей методики поверки.
-
8.2 При положительных результатах поверки, тахеометр признается годным к применению и на него выдается свидетельство о поверке установленной формы. Знак поверки наносится на свидетельство о поверке в виде наклейки и / или поверительного клейма.
-
8.3 При отрицательных результатах поверки, тахеометр признается непригодным к применению и на него выдается извещение о непригодности установленной формы с указанием основных причин.

В. А. Лапшинов
Руководитель отдела ООО «Автопрогресс - М»
Приложение (обязательное)
Метрологические и технические характеристики
|
Наименование характеристики |
Значение характеристики | |||||
|
Модификация |
Geo Мах Zoom90R 1" А5, GeoMax Zoom90S 1" А5 |
GeoMax Zoom90 R 2” А5, GeoMax Zoom90 S 2" A5 |
GeoMax Zoom90 R 5" A5, GeoMax Zoom90 S 5" A5 |
GeoMax Zoom90 R 1" A10, GeoMax Zoom90 S 1" A10 |
GeoMax Zoom90 R 2" A10, GeoMax Zoom90 S 2" A10 |
Geo Max Zoom90 R 5" A10, Geo Max Zoom90 S 5" A10 |
|
Границы допускаемой абсо лютной погрешности измерений углов (при доверительной вероятности 0,95)," |
±2 |
±4 |
±10 |
±2 |
±4 |
±10 |
|
Допускаемая средняя квадратическая по грешность измерений углов," |
1 |
2 |
5 |
1 |
2 |
5 |
|
Границы допускаемой абсо лютной погрешности измерений расстояний (при довери тельной вероятности 0.95), мм:
режим увели ченной дальности (1 призма)
|
±2-( 1+1.5 ±2-(5+2- ±2(2+2-10'6-D) где D - измеряемо |
10'6-D) 10‘6-D) ±2-(2+2-10’6-D)1’ ±2-(4+2-10‘6-D)2) e расстояние, мм | ||||
|
Наименование характеристики |
Значение характеристики | |||||
|
Модификация |
GeoMax Zoom90R 1" А5, Geo Max Zoom90 S 1" A5 |
GeoMax Zoom90 R 2" A5, GeoMax Zoom90 S 2" A5 |
Geo Max Zoom90 R 5" A5, GeoMax Zoom90 S 5" A5 |
Geo Max Zoom90 R 1" A10, GeoMax Zoom90 S 1" A10 |
GeoMax Zoom90 R 2" A10, Geo Max Zoom90 S 2" A10 |
GeoMax Zoom90 R 5" A10, GeoMax Zoom90 S 5" A10 |
|
Допускаемая средняя квадратическая по грешность измерений расстояний. мм:
режим увели ченной дальности (1 призма)
|
1+1,5-1 5+2-10 2+2-1 O'6-D где D - измеряемое |
0'6-D ■6.D 2+2-10'6-D" 4+2-1 O'6-D2) расстояние, мм | ||||
| ||||||
