Методика поверки «Системы мобильного сканирования Leica Pegasus:Two» (МП АПМ 13-16)
« /J
А. С. Никитин
2016 г.
УТВЕРЖДАЮ директор -М»
Системы мобильного сканирования Leica Pegasus:Two
МЕТОДИКА ПОВЕРКИ МП АПМ 13-16
г. Москва
2016 г.
Настоящая методика поверки распространяется на системы мобильного сканирования Leica Pegasus:Two (далее - системы), производства компании «Leica Geosystems AG», Швейцария, и устанавливают методику их первичной и периодической аттестации.
1 Операции поверкиПри проведении поверки должны выполняться операции, указанные в таблице 1. Таблица 1
|
№ п/п |
Наименование операции |
№ пункта документа по поверке |
Проведение операций при | |
|
первичной поверки |
периодической поверке | |||
|
1 |
Внешний осмотр |
7.1 |
Да |
Да |
|
2 |
Опробование, проверка работоспособности функциональных режимов, идентификация программного обеспечения |
7.2 |
Да |
Да |
|
3 |
Определение метрологических характеристик |
7.3 |
- |
- |
|
3.1 |
Определение абсолютной и средней квадратической погрешностей измерений расстояний |
7.3.1 |
Да |
Да |
2 Средства поверки
При проведении поверки должны применяться эталоны и вспомогательные средства поверки, приведенные в таблице 2.
Таблица 2
|
№ пункта документа по поверке |
Наименование эталонов, вспомогательных средств поверки и их основные метрологические и технические характеристики |
|
7.3.1 |
Фазовый светодальномер (тахеометр электронный) 1-го разряда по ГОСТ Р 8.750-2011 |
|
Примечание - Допускается применять другие средства поверки, обеспечивающие определение метрологических характеристик с точностью, удовлетворяющей требованиям настоящей методики. | |
К проведению поверки допускаются лица, изучившие эксплуатационные документы, имеющие достаточные знания и опыт работы с системами.
4 Требования безопасностиПри проведении поверки, меры безопасности должны соответствовать требованиям по технике безопасности согласно эксплуатационной документации, правилам по технике безопасности, действующие на месте проведения поверки и требованиям МЭК-825 «Радиационная безопасность лазерной продукции, классификация оборудования, требования и руководство для потребителей», а также правилам по технике безопасности при производстве топографо-геодезических работ ПТБ-88.
5 Условия поверки5.1 При проведении поверки в лаборатории должны соблюдаться следующие нормальные условия измерений:
|
(20±5) 80 |
- атмосферное давление, мм рт. ст. (кПа)
630...800 (84,0... 106,7)
- изменение температуры окружающей среды во время поверки. °С/ч, не более 2
Полевые измерения (измерения на открытом воздухе) должны проводиться при отсутствии осадков, порывов ветра, защите системы от прямых солнечных лучей и при температуре окружающей воздуха от 0 до плюс 40 °C.
-
5.2 Система и средства поверки должны быть установлены на специальных основаниях (фундаментах) или штативах, не подвергающихся механическим (вибрация, деформация, сдвиги) и температурным воздействиям.
Перед проведением поверки должны быть выполнены следующие подготовительные работы:
-
- проверить наличие действующих свидетельств о поверки на средства поверки;
-
- расположить систему на открытой площадке в зоне действия GPS и ГЛОНАСС;
-
- система и средства поверки привести в рабочее состояние в соответствии с их эксплуатационной документацией;
-
- система и средства поверки должны быть выдержаны в нормальных условиях не менее 1 ч.
-
7 Проведение поверки
При внешнем осмотре должно быть установлено соответствие системы следующим требованиям:
-
- отсутствие коррозии, механических повреждений и других дефектов, влияющих на эксплуатационные и метрологические характеристики системы:
-
- наличие маркировки и комплектность согласно требованиям эксплуатационной документации.
Если перечисленные требования не выполняются, систему признают непригодной к применению, дальнейшие операции поверки не производятся.
7.2 Опробование, проверка работоспособности функциональных режимов, идентификация программного обеспечения-
7.2.1 При опробовании должно быть установлено соответствие системы следующим требованиям;
-
- отсутствие качки и смещений неподвижно соединенных деталей и элементов:
-
- плавность и равномерность движения подвижных частей;
-
- правильность взаимодействия с комплектом принадлежностей:
-
- работоспособность всех функциональных режимов и узлов.
-
7.2.2 Проверка идентификационных данных программного обеспечения (далее - ПО) «Leica Pegasus MDA», «Leica Pegasus AutoP», «Leica Pegasus ManualP», «Leica Pegasus Calibration», «Inertial Explorer» производится при запуске ПО.
В заголовке окна программы будет отображено наименование и версия ПО.
Проверка идентификационных данных программного обеспечения (далее - Г1О) «Leica Pegasus MapFactory ArcGIS», «Leica Pegasus MapFactory AutoCAD» производится через интерфейс пользователя путем открытия меню «Configuration Wizard», далее вкладку «Copyright».
В появившемся диалоговом окне будет отображено наименование и версия ПО. Данные, полученные по результатам идентификации ПО. должны соответствовать таблице 3.
Таблица 3
|
Идентификацио иное наименование ПО |
Leica Pegasus MDA |
Leica Pegasus Calibration |
Leica Pegasus AutoP |
Leica Pegasus Manual P |
Leica Pegasus MapFactory ArcGIS |
Leica Pegasus MapFactory AutoCAD |
Inertial Explorer |
|
Номер версии (идентификацио нный номер ПО), не ниже |
2.1.0 |
2016.2.1 |
2016.2.1 |
2016.2.1 |
2016.2.1 |
2016.2.1 |
8.6.1 |
|
Цифровой идентификатор ПО |
- |
1ВЗ18066 |
35B46798 |
5D9848A6 |
B28FC1A6 |
994551E7 |
DA5A2A El |
|
Алгоритм вычисления цифрового идентификатора ПО |
- |
CRC32 |
CRC32 |
CRC32 |
CRC32 |
CRC32 |
CRC32 |
Если перечисленные требования не выполняются, систему признают непригодным к применению, дальнейшие операции поверки не производят.
7.3 Определение метрологических характеристик
7.3.1 Определение абсолютной и средней квадратической погрешностей измерений расстоянийАбсолютная и средняя квадратическая погрешности измерений расстояний определяются с помощью эталонного тахеометра.
Для определения абсолютной и средней квадратической погрешностей необходимо выполнить следующие операции:
-
- выбрать заасфальтированный участок местности или с наличием на нем дороги, а также с наличием каких-либо инженерных сооружений или иных отдельно выделенных объектов местности. Протяженность заасфальтированного участка должна составлять не менее 100 м в длину.
-
- создать при помощи эталонного тахеометра на данном участке местности временный полигон, промаркированный удаленными от заасфальтированной части опознавательными знаками (не менее 10), представляющими собой искусственные марки или естественные ситуационные точки инженерных или иных объектов, однозначно определяемых на полученном скане и опознанные на поверхности инженерных или иных объектов. Маркировка должна быть проведена таким образом, чтобы опознавательные знаки равномерно располагазись в диапазоне измерений поверяемой системы.
-
- смонтировать на автомобиле поверяемую систему в соответствии с ее эксплуатационной документацией.
-
- совершить многократные проезды на автомобиле (не менее 5) по заасфальтированному участку дороги, выбранному в качестве временного полигона, на скоростях, равномерно распределенных по диапазону допустимых скоростей движения транспортного средства при эксплуатации системы, например. (10±5) км/ч, (20±5) км/ч и (30±5) км/ч. с включенной в режим измерений поверяемой системой.
-
- по полученным в результате обработки на ПК облакам точек вычислить абсолютную и среднюю квадратическую погрешности измерений расстояний между опознавательными знаками.
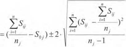
Абсолютная погрешность измерений расстояний (при доверительной вероятности 0.95) между каждой парой опознавательных знаков вычисляется по формуле (I):


где AS - абсолютная погрешность измерений j-ro расстояния, мм;
Soj - эталонное (действительное) значение j-ro расстояния, полученное по эталонному тахеометру;
Sij - значение j-ro расстояния i-м приемом по обработанным данным, полученных с поверяемой системы;
rij - число проездов при измерении j-ro расстояния.
Средняя квадратическая погрешность измерений расстояний между каждой пары опознавательных знаков определяется по формуле (2):
/«1

(2)
где mL - средняя квадратическая погрешность измерений j-ro расстояния;
За окончательный результат принять наибольшие полученные значения каждой из погрешностей.
Значение абсолютной (при доверительной вероятности 0,95) погрешности измерений расстояний не должно превышать ±40 мм
Значение средней квадратической погрешностей измерений расстояний не должно превышать 20 мм.
Если требование п.7.3.1, не выполняется, систему признают непригодной к применению, дальнейшие операции поверки не производят.
8 Оформление результатов поверки-
8.1 Результаты поверки оформляются протоколом, составленным в виде сводной таблицы результатов поверки по каждому пункту раздела 7 настоящей методики поверки с указанием предельных значений результатов измерений и их оценки по сравнению с предъявленными требован и ям и.
-
8.2 При положительных результатах поверки, система признается годной к применению и на нее выдается свидетельство о поверке установленной формы. Знак поверки наносится на свидетельство о поверке в виде наклейки и / или доверительного клейма.
-
8.3 При отрицательных результатах поверки, система признается непригодной к применению и на нее выдается извещение о непригодности установленной формы с указанием основных причин.
Руководитель отдела ООО «Автопрогресс - М»
В. А. Лапшинов
