Методика поверки «КОМПЛЕКС КОНТРОЛЯ ЭМИССИИ КОНДУКТИВНЫХ ПОМЕХ ПРИ КОМПЛЕКСНЫХ ЭЛЕКТРОРАДИОТЕХНИЧЕСКИХ ИСПЫТАНИЯХ КОСМИЧЕСКИХ АППАРАТОВ» (МП ИУПЯ.468166.007 )
УТВЕРЖДАЮ
Заместитель генерального директора

Т.М. Козлякова
2016 г.
КОМПЛЕКС КОНТРОЛЯ ЭМИССИИ КОНДУКТИВНЫХ ПОМЕХ ПРИ КОМПЛЕКСНЫХ ЭЛЕКТРОРАДИОТЕХНИЧЕСКИХ ИСПЫТАНИЯХ КОСМИЧЕСКИХ АППАРАТОВ
Методика поверки
ИУПЯ.468166.007 МП
2016 г.
Настоящая методика распространяется на комплекс контроля эмиссии кон-дуктивных помех при комплексных электрорадиотехнических испытаниях космических аппаратов (КА) (далее по тексту - комплекс) и устанавливает методы и средства его поверки.
Интервал между поверками - 1 год.
-
1. Операции поверки
-
1.1 При первичной и периодической поверке комплекса выполняются операции, указанные в табл.1.
-
При получении отрицательных результатов при выполнении любой из операций поверка прекращается и комплекс бракуется.
Таблица 1.
Наименование операции |
Номер пункта методики |
Проведение операции при: | |
первичной поверке |
периодической поверке | ||
1 |
2 |
3 |
4 |
Внешний осмотр |
6.1 |
Да |
Да |
Опробование |
6.3 |
Да |
Да |
Определение метрологических характеристик | |||
Определение метрологических характеристик приемника П5-Л-ОЗ |
6.4 |
Да |
Да |
Определение абсолютной погрешности измерения частоты маркером |
6.4.1 |
Да |
Да |
Проверка номинальной ширины полосы пропускания на уровне минус 3 дБ |
6.4.2 |
Да |
Нет |
Проверка частотной избирательности |
6.4.3 |
Да |
Нет |
Определение погрешности выполнения амплитудного соотношения пикового детектора |
6.4.4 |
Да |
Да |
Определение абсолютной погрешности измерения пиковых значений синусоидального напряжения из-за переключения аттенюатора приемника измерительного П5-Л-03 |
6.4.5 |
Да |
Да |
Определение абсолютной погрешности усиления приемника П5-Л-ОЗ |
6.4.6 |
Да |
Да |
Определения диапазона и абсолютной погрешности измерения пиковых значений синусоидального напряжения |
6.4.7 |
Да |
Да |
Определение абсолютной погрешности, вносимой собственными шумами |
6.4.7 |
Да |
Да |
Определение метрологических характеристик приемника С9-Л-03 |
6.5 |
Да |
Да |
Определение диапазона частот, диапазона и абсолютной погрешности измерения пиковых значений напряжения синусоидального напряжения |
6.5.1 |
Да |
Да |
Определение диапазона частот на уровне минус 3 дБ |
6.5.1.1 |
Да |
Да |
Определение диапазона и абсолютной погрешности измерений приемником пиковых значений напряжения синусоидального напряжения |
6.5.1.2 |
Да |
Да |
Определение относительной погрешности измерений временных интервалов |
Да |
Да | |
Определение времени нарастания переходной характеристики |
6.5.2 |
Да |
Да |
Определение абсолютной погрешности измерения пиковых значений синусоидального напряжения из-за переключения аттенюатора приемника С9-Л-03 |
6.5.3 |
Да |
Да |
Определение абсолютной погрешности усиления приемника С9-Л-03 |
6.5.4 |
Да |
Да |
Определение абсолютной погрешности измерений комплексом в частотной области пиковых значений синусоидального напряжения (тока) кондук-тивных помех |
6.6 |
Да |
Да |
Определение абсолютной погрешности измерений комплексом во временной области пиковых значений синусоидального напряжения (тока) кондук-тивных помех |
6.7 |
Да |
Да |
Определение коэффициента стоячей волны по напряжению (КСВН) |
6.8 |
Да |
Нет |
-
2. Средства поверки
-
2.1. При проведении поверки должны применяться средства поверки, указанные в таблице 2.
Таблица 2
Номер пункта методики поверки |
Наименование и тип основного или вспомогательного средства поверки: обозначение информативного документа, регламентирующего технические требования и метрологические и основные технические характеристики средства поверки |
6.3.3; 6,3,4; 6.4.1; 6.4.2; 6.4.3; 6.4.5; 6.4.6; 6.5.5; 6.5.6; |
Генератор сигналов высокочастотный программируемый Г4-164 0,1 - 639,999 МГц, ± 5xl0'7f, 0,032 х 10'6 - 2 В ±1,0 дБ. Милливольтметр цифровой В 3-5 2/1; 10 кГц до 1000 МГц, 10 мВ ±[3±0,5(Uk/Un-l)]% мВ 10 мВ - 3 В, ±[2±0,5(Uk/Un-l)]% |
6.4.4 |
Генератор импульсов Г5-60 Т=100 нс -10 с ±1хЮ'6Т Аттенюатор программируемый ТТ-4139/В 0 -1000 МГц, от 0,1 до 9 дБ, ± (0,1-0,25) дБ; от 10 до 120 дБ ±(0,3-1,5) дБ. |
6.4.7, 6.5.2.1; 6.S.2.2 |
Генератор сигналов высокочастотный программируемый Г4-164 0,1 - 639,999 МГц, ± 5xl0'7f, 0,032х10‘б - 2 В ±1,0 дБ. Милливольтметр цифровой ВЗ-52/1: 10 кГц до 1000 МГц, 10 мВ ±[3±0,5(Uk/Un-l)]% мВ 10 мВ - 3 В, ±[2±0,5(Uk/Un-l)]% Микровольтметр ВЗ-57; 5 Гц - 5 МГц, 10 мкВ - 300 В, ±(0,5-8) % Аттенюатор программируемый ТТ-4139/В 0 -1000 МГц, от 0,1 до 9 дБ, ± (0,1-0,25) дБ; от 10 до 120 дБ ±(0,3-1,5) дБ. |
6.5.1; 6.5.2.3 |
Генератор сигналов произвольной формы Agilent 3320А 1 мкГц - 20 МГц± 2xl0’5f, 10 мВ-10 В ±1,0. Генератор сигналов высокочастотный программируемый Г4-164 0,1 - 639,999 МГц, ± 5xl0‘7f, 0,032х10‘6- 2 В ±1,0 дБ. Милливольтметр цифровой ВЗ-52/1: 10 кГц до 1000 МГц, 10 мВ ±[3+0,5(Uk/Un-l)]% мВ 10 мВ - 3 В, ±[2±0,5(Uk/Un-l)]% Микровольтметр ВЗ-57; 5 Гц - 5 МГц, 10 мкВ - 300 В, ±(0,5-8) % |
Номер пункта методики поверки |
Наименование и тип основного или вспомогательного средства поверки: обозначение информативного документа, регламентирующего технические требования и метрологические и основные технические характеристики средства поверки |
6.5.3; 6.5.4 |
Прибор для калибровки осциллографов И1-9 Период повторе- |
ния импульсов 100 нс - 10 с., ± 1 х Ю^Т; Время нарастания не более 1 нс. | |
6.6; 6.7 |
Генератор сигналов высокочастотный программируемый Г4-164 0,1 - 639,999 МГц, ± 5*10'7f, 0,032хЮ’6-2 В ±1,0 дБ. Генератор сигналов произвольной формы Agilent 33 20А 1 мкГц-20 МГц± 2xl0*5f, 10 мВ -10 В ±1,0 . Милливольтметр цифровой ВЗ-52/1: 10 кГц до 1000 МГц, 10 мВ ±[3±0,5(Uk/Un-l)]% мВ 10 мВ - 3 В, ±[2±0,5(Uk/Un-l)]% Микровольтметр ВЗ-57; 5 Гц - 5 МГц, 10 мкВ - 300 В, ±(0,5-8) % Вольтметр универсальный цифровой В7-38, 10 мкВ - 20 В, ± (0,04±0,02Un/ Ux) %; 0 - 30 А, ± (0,25±0,021п/ 1х) %; Нановольтметр UNIPAN-237; 20 Гц - 100 кГц; 0,1 - 100 мВ ± 1,0 дБ. Измеритель радиопомех SMV-11; 9 кГц - 30 МГц, минус 10 дБ(мкВ)-110 дБ(мкВ) ± (0,8 - 1,5) дБ. Термопребразователь ТВБ-4: Номинальное значение тока 10 мА; ПГ ± 0,5 дБ |
6.8 |
Измеритель комплексных коэффициентов передачи и отражения «Обзор 304/1»; (0.3-3200) МГц; KnS2i(-90±15) дБ, ±(0,1-1,0) ДБ; KOTSn(-35-^-0) дБ, ±(0,4-4) дБ. |
-
2.2. Допускается применять другие средства измерений, обеспечивающие измерение значений соответствующих величин с требуемой точностью.
2.3 Все средства поверки должны быть исправны, поверены и иметь свидетельства (отметки в формулярах или паспортах) о государственной поверке.
-
3. Требования к квалификации поверителей
-
3.1. К проведению поверки могут быть допущены лица, аттестованные в качестве поверителя и имеющие практический опыт работ в области радиотехнических измерений не менее 2-х лет.
-
3.2. Перед проведением операций поверки поверителю необходимо изучить руководство по эксплуатации на комплекс.
-
4. Условия поверки
-
4.1. При проведении поверки должны соблюдаться следующие условия: температура окружающей среды (20 ± 5)°С;
относительная влажность воздуха от 30 до 80 %; атмосферное давление (750 ± 30) мм рт.ст.;
напряжение сети 220 ± 22 В;
-
- частота сети (50 ± 1) Гц с содержанием гармоник до 5%.
-
5 Подготовка к поверке
-
5.1. Поверитель должен изучить руководства по эксплуатации поверяемого прибора и используемых при поверке средств измерений.
-
-
5.2 Должно быть проверено соответствие условий поверки требованиям настоящей методики.
-
5.3. Перед включением приборов должно быть проверено выполнение требований безопасности.
-
5.4. Определение метрологических характеристик поверяемого комплекса должно производиться по истечении времени установления рабочего режима, равного 30 мин.
-
6 Проведение поверки
-
6.1. При проведении внешнего осмотра должно быть установлено соответствие поверяемого комплекса следующим требованиям:
-
-
- комплектности в соответствии с руководством по эксплуатации;
-
- не должно быть механических повреждений корпуса, лицевой панели, органов управления; все надписи на панелях должны быть четкими и ясными;
-
- все разъемы не должны иметь повреждений и должны быть чистыми.
При наличии дефектов поверяемый комплекс бракуется и подлежит ремонту.
-
6.2 Далее в тексте выделены:
Курсивом - обозначения диалоговых окон и их параметров, появляющихся в процессе работы СПО «Балтика-Монитор»: «Специальное программноматематическое обеспечение, Программный комплекс - «Балтика-Монитор» Автоматизация измерений параметров ЭМС технических средств. Руководство оператора 643.ИУПЯ.ОООЗ 1-02 34 01 РО».
-
6.3 Опробование проводится в три этапа:
-
- проверяется работоспособность жидкокристаллических индикаторов (ЖКИ) и кнопок управления преселектора и приемников;
-
- производится идентификация специализированного программноматематического обеспечения (СПМО);
-
- проводятся измерения уровня контрольного сигнала от внешнего генератора. Измерения проводят в режиме работы комплекса Осциллограф и в режиме работы комплекса Измерительный приемник (далее режим Осциллограф и режим Измерительный приемник,, соответственно).
-
6.3.1 Проверка работоспособности ЖКИ и кнопок управления преселектора и приемников: режимы, отображаемые на ЖКИ при нажатии соответствующих кнопок, должны соответствовать руководству по эксплуатации (п.2.3.1);
-
6.3.2 Идентификация СПМО
-
- навести курсор на иконку «Monitor» на рабочем столе персонального компьютера (ПК) автоматизированного рабочего места (АРМ) и дважды нажать левую клавишу мыши;
-
- на экране должно появиться главное окно программы «АРМ Монитор»;
-
- зайти в меню «Помощь» и выбрать строку «Идентификация СПО»;
-
- на экране должно появиться окно (см. рисунок 1) с идентификационными признаками библиотеки измерения и управления КИКП:
-
- проверяют версию и контрольную сумму (md5).
Рисунок 1 - Версия и контрольная сумма библиотеки измерения и управле
ния
Результат считать положительным, если версия и контрольная сумма библиотеки измерения и управления КИКП совпадают с указанными на рисунке 1.
-
6.3.3 Опробование в режиме Осциллограф
Собирают основную схему измерений во временной области, представленную на рис.1 Приложения к настоящей методике. Подключают генератор высокочастотный (ВЧ) Г4-164 непосредственно ко входу приемника С9-Л-03 (А.8 на рисунке 1). На выходе генератора устанавливают сигнал частотой 15 МГц со среднеквадратическим значением (СКЗ) напряжения 600 мВ (значение пик-пик Un.n=l,69B). Выходное напряжение генератора контролируют с помощью милливольтметра ВЗ-52/1.
Выбирают пункт главного меню Файл | Новый. В открывшемся диалоге «Состав измерительного стенда» выбирают Осциллограф. Затем выбирают:
Измеряемая величина - Напряжение помех.,
Датчик- не выбран.
Нажимаю г ОК
В открывшемся окне Настройки осциллографа устанавливают:
Развертка по горизонтали
Диапазон 10 мкс
Однократная
Запускают процесс измерения, выбрав пункт главного меню Измерения |
Старт или нажав на кнопку
панели инструментов главного окна.
Получив изображение синусоидального сигнала на экране компьютера, включают окно Маркеры, устанавливают режим маркеров двойной.
Измеряют удвоенное пиковое значение напряжения входного синусоидального сигнала, для чего:
устанавливают маркеры Ml и М2, соответственно, на вершины положительной и отрицательной полуволн синусоидального сигнала; нажимают кнопку Вычислить в окне Маркеры, считывают значение dU.
Измеренное значение должно быть dU = 1,69 В.
Комплекс годен, если все органы управления функционируют в соответствии с РЭ, а напряжение сигнала, измеренное в режиме Осциллограф, находится в пределах:(1,69 ± 0,2) В.
6.3.4 Опробование в режиме Измерительный приемник
Собирают основную схему измерений в частотной области, представленную на рисунке 2 Приложения к настоящей методике. Подключают генератор ВЧ Г4-164 к первому входу (Вход 1) первого коммутатора (А.8 на рис. 2). На выходе генератора устанавливают напряжение частотой 15 МГц с СКЗ напряжения 600 мВ (115,6 дБ(мкВ). Выходное напряжение генератора контролируют с помощью милливольтметра ВЗ-52/1.
Выбирают пункт главного меню Файл | Новый. В открывшемся диалоговом окне «Состав измерительного стенда» выбирают Измерительный приемник. Затем выбирают:
Измеряемая величина - Напряжение помех;
Методика измерения - ГОСТ 30429;
Датчики в первой строке меню датчиков - Коммутатор;
Датчики(и) Коммутатор2 - Вход приемника 1.
Нажимают ОК
В открывшемся окне Настройки санирования/отображения устанавливают:
Диапазон-. 100 дБ(мкВ);
Опорный уровень -. 120дБ(мкВ);
Центральная частота-. 15000 кГц;
Полоса обзора-. 40 кГц;
Шаг сканирования-, ‘/г полосы пропускания.
Запускают процесс измерения, выбрав пункт главного меню Измерения | Старт или нажав на кнопку ЕЙ панели инструментов главного окна.
Получив изображение спектра на экране компьютера, включают окно Маркеры, устанавливают режим маркеров одинарный.
устанавливают маркер Ml на вершину максимальной спектральной составляющей; считывают показание маркера Ml.
Измеренное значение должно быть 115,6 дБ(мкВ).
Комплекс годен, если все органы управления функционируют в соответствии с РЭ, а напряжение сигнала, измеренное в режиме Измерительный приемник, находится в пределах: (115,6 ± 2,0) дБ(мкВ).
6.4 Определение характеристик приемника измерительного П5-Л-03
6.4.1 Определение абсолютной погрешности измерения частоты маркером
Собирают основную схему измерений в частотной области, представленную на рис.2 Приложения к настоящей методике. Подключают генератор ВЧ Г4-164 к первому входу (Вход 1) первого коммутатора (А.8 на рисунке 2). На выходе генератора устанавливают сигнал частотой fycT= 15 МГц с СКЗ напряжения 600 мВ. Выходное напряжение генератора контролируют с помощью милливольтметра ВЗ-52/1.
Выбирают пункт главного меню Файл | Новый. В открывшемся диалоге «Состав измерительного стенда» выбирают Измерительный приемник. Затем выбирают:
Измеряемая величина - Напряжение помех',
Методика измерения - ГОСТ 30429;
Датчики в первой строке меню датчиков - Коммутатор;
Датчики(и) Коммутатор2 - Вход приемника 1.
Нажимают ОК
В открывшемся окне Настройки санирования/отображения устанавливают:
Диапазон: ЮОдБ(мкВ);
Опорный уровень : 120 дБ(мкВ);
Центральная частота: 15000 кГц;
Полоса обзора: 40 кГц;
Шаг сканирования: ‘Л полосы пропускания.
Запускают процесс измерения, выбрав пункт главного меню Измерения | Старт или нажав на кнопку (Е панели инструментов главного окна.
Получив изображение спектра на экране компьютера, включают окно Маркеры. устанавливают режим маркеров одинарный.
Устанавливают маркер Ml на вершину ближайшей к установленной частоте спектральной составляющей;
В окне Маркеры, одиночный считывают показание частоты (кГц).
Измеренное значение частоты fH3M должно быть 15000 ±0,1 Гшп/2 кГц
где fun - шаг перестройки частоты приемника, установленный в окне Шаг сканирования
Повторяют измерения для шага сканирования 1 кГц, ЗкГц, 9кГци 22,5 кГц.
Вычисляют абсолютную погрешность измерения частоты входного синусоидального сигнала для каждого шага перестройки частоты по формуле:
А ^изм “ fycT ?кГц.
Абсолютная погрешность измерения частоты входного синусоидального сигнала должна находится в пределах ±0,1 х Д£ШП/2Т кГц
-
6.4.2 Проверка ширины полосы пропускания приемника на уровне минус 6 ДБ
Собирают основную схему измерений в частотной области, представленную на рис.2 Приложения к настоящей методике. Подключают генератор ВЧ ГД-164 к первому входу (Вход 1) первого коммутатора (А.8 на рисунке 2). На выходе генератора устанавливают сигнал частотой 15 МГц с СКЗ напряжения 600 мВ. Выходное напряжение генератора контролируют с помощью милливольтметра ВЗ-52/1.
Выбирают пункт главного меню Файл | Новый. В открывшемся диалоге «Состав измерительного стенда» выбирают Измерительный приемник. Затем выбирают:
Измеряемая величина - Напряжение помех:
Методика измерения - ГОСТ 30429.
Датчики в первой строке меню датчиков -Коммутатор’,
Датчики(и) Коммутатор2 - Вход приемника 1.
Нажимают ОК
В открывшемся окне Настройки санирования/отображения устанавливают:
Диапазон’. ЮОдБ(мкВ);
Опорный уровень ’. 120дБ(мкВ);
Центральная частота’. 15000 кГц;
Полоса обзора-. 40 кГц;
Шаг сканирования: 1 кГц;
Устанавливают флажок Отображать огибающую спектра.
Запускают процесс измерения, выбрав пункт главного меню Измерения |
Старт или нажав на кнопку панели инструментов главного окна.
Получив изображение спектра на экране компьютера, включают окно Маркеры, устанавливают режим маркеров двойной.
Устанавливают маркер Ml на центральную составляющую Fn полученного изображения спектра. Считывают показание маркера М1о дБ(мкВ).
Устанавливают маркеры Ml и М2, соответственно, слева и справа от Fn на уровне М10 - 6 дБ. С помощью кнопки Вычислить в окне Маркеры определяют полосу пропускания dF на уровне - 6 дБ.
Повторяют измерения на крайних частотах диапазона
Ширина полосы пропускания должна находится в допускаемых пределах, указанных в таблице 3:
Таблица 3
Fn, кГц |
Допускаемые пределы ширины полосы пропускания | |
Нижний предел, кГц |
Верхний предел, кГц | |
170 |
8,73 |
9,27 |
15000 |
8,73 |
9,27 |
299800 |
8,73 |
9,27 |
-
6.4.3 Проверка частотной избирательности
Собирают основную схему измерений в частотной области, представленную на рис.2 Приложения к настоящей методике. Подключают генератор ВЧ Г4-164 к первому входу (Вход 1) первого коммутатора (А.8 на рисунке 2). На выходе генератора Г1 устанавливают сигнал частотой 15 МГц с СКЗ напряжения 600 мВ. Выходное напряжение генератора контролируют с помощью милливольтметра ВЗ-52/1.
Выбирают пункт главного меню Файл | Новый. В открывшемся диалоге «Состав измерительного стенда» выбирают Измерительный приемник. Затем выбирают:
Измеряемая величина - Напряжение помех-,
Методика измерения - ГОСТ 30429-,
Датчики в первой строке меню датчиков - Коммутатор-,
Датчики(и) Коммутатор! - Вход приемника 1.
Нажимают ОК
В открывшемся окне Настройки санирования/отображения устанавли
вают:
Диапазон'. ЮОдБ(мкВ);
Опорный уровень-. 120дБ(мкВ);
Центральная частота-. 15000 кГц;
Полоса обзора: 40 кГц;
Шаг сканирования: 1 кГц;
Устанавливают флажок Отображать огибающую спектра.
Запускают процесс измерения, выбрав пункт главного меню Измерения |
Старт или нажав на кнопку
панели инструментов главного окна.
Получив изображение спектра на экране компьютера, включают окно Маркеры, устанавливают режим маркеров двойной.
Устанавливают маркеры Ml и М2 на центральную составляющую Fn полученного изображения спектра. Считывают показание маркера М10 дБ(мкВ). Двигают маркеры Ml и М2 по огибающей спектра вдоль оси частот с шагом 0,5 кГц, соответственно, влево и вправо от Fn в диапазонах Fn - AF и Fn ± AF и фиксируют значения уровня напряжения р, дБ при отстройки частоты относительно центральной на ± AF, кГц.
Значения характеристики избирательности Р должны находится в пределах, указанных в таблице 4.
Таблица 4
Af, кГц |
Минимальное значение р, дБ |
Максимальное значение р, дБ |
±0,5 |
-0,75 |
0,5 |
±1,0 |
-1,5 |
1,0 |
±1,5 |
-1,5 |
1,25 |
±2,0 |
-1,5 |
1,5 |
±2,5 |
-1,5 |
2,63 |
±3,0 |
-1,5 |
3,75 |
±3,5 |
-1,5 |
4,88 |
±4,0 |
-1,5 |
6,0 |
±4,5 |
-1,5 |
оо |
±5,0 |
От-1,5 до 6,0 |
оо |
±5,5 |
7,4 |
00 |
±6,0 |
8,8 |
оо |
±6,5 |
10,2 |
00 |
±7,0 |
11,6 |
оо |
±7,5 |
13,0 |
00 |
±8,0 |
14,4 |
00 |
±8,5 |
15,8 |
00 |
±9,0 |
17,2 |
оо |
-
6.4.4 Определение погрешности выполнения амплитудного соотношения для пикового детектора
Испытания проводятся с детектором пикового значения напряжений в середине рабочего частотного диапазона Би = 15 МГц.
Собирают основную схему измерений в частотной области, представленную на рис.2 Приложения к настоящей методике. К первому входу (Вход 1) первого коммутатора (А.8 на рисунке 2) подключают генератор импульсов Г5-60. От генератора подаются импульсы амплитудой 5 В, длительностью 30 нс с частотой повторения Fr = 100 кГц.
Выбирают пункт главного меню Файл | Новый. В открывшемся диалоге «Состав измерительного стенда» выбирают Измерительный приемник. Затем выбирают:
Измеряемая величина - Напряжение помех;
Методика измерения - ГОСТ 30429;
Датчики в первой строке меню датчиков - Коммутатор;
Датчики(и) Коммутатор2 - Вход приемника 1.
Нажимают ОК
В открывшемся окне Настройки санирования/отображения устанавливают:
Диапазон-. ЮОдБ(мкВ);
Опорный уровень -. 120 дБ(мкВ);
Центральная частота-. 15000 кГц;
Полоса обзора-. 40 кГц;
Шаг сканирования: ‘Л полосы пропускания.
Запускают процесс измерения, выбрав пункт главного меню Измерения | Старт или нажав на кнопку ш панели инструментов главного окна.
Получив изображение спектра на экране компьютера, включают окно Маркеры, устанавливают режим маркеров одинарный.
Устанавливают маркер Ml на вершину ближайшей к частоте 15000 кГц спектральной составляющей; считывают показание Ur маркера Ml в децибелах.
Уменьшают частоту следования импульсов до 100 Гц и повторяют измерение, фиксируют показание измерителя UA.
По результатам измерений определяют разность:
ди=иг-иА
Рассчитывают значение погрешности выполнения амплитудного соотношения в дБ по формуле:
где Ан= 6720 нормированное значение по ГОСТ Р 51319-99.
Погрешность амплитудного соотношения 51 должна находится в пределах ± 1,5 дБ.
-
6.4,5 Определение погрешности измерения пикового значения синусоидального напряжения из-за переключения аттенюатора приемника П5-Л-03.
Собирают основную схему измерений в частотной области, представленную на рис.2 Приложения к настоящей методике. Подключают генератор ВЧ Г4164 к первому входу (Вход 1) первого коммутатора (А.8 на рисунке 2). На выходе генератора Г1 устанавливают сигнал частотой 15 МГц с СКЗ 60 мВ (95,6 дБ(мкВ)). Напряжение на выходе генератора контролируют с помощью милливольтметра ВЗ-52/1.
Выбирают пункт главного меню Файл | Новый. В открывшемся диалоге «Состав измерительного стенда» выбирают Измерительный приемник. Затем выбирают:
Измеряемая величина - Напряжение помех;
Методика измерения - ГОСТ 30429;
Датчики в первой строке меню датчиков - Коммутатор;
Датчики (и) Коммутатор2 - Вход приемника 1.
Нажимают ОК
В открывшемся окне Настройки санирования/отображения устанавливают:
Диапазон: 100 дБ(мкВ);
Опорный уровень : 120 дБ(мкВ);
Центральная частота: 15000 кГц;
Полоса обзора: 40 кГц;
Шаг сканирования: !4 полосы пропускания.
Нажимают кнопку Дополнительно;
Устанавливают:
Усиление: 0;
Ослабление: 0.
Запускают процесс измерения, выбрав пункт главного меню Измерения | Старт или нажав на кнопку ЕЙ панели инструментов главного окна.
Получив изображение спектра на экране компьютера, включают окно Маркеры, устанавливают режим маркеров одинарный.
Устанавливают маркер Ml на вершину максимальной спектральной составляющей; считывают показание маркера Ml.
Измеренное пиковое значение синусоидального напряжения должно быть Uo = 95,6 ±2 дБ(мкВ).
Последовательно увеличивают Ослабление аттенюатора приемника с шагом 3 дБ (3; 6; 9; 12; 15; 18; 21; 24; 27; 30 дБ) и повторяют измерения входного синусоидального напряжения U3; U6;...;U30, дБ(мкВ). Вычисляют абсолютную погрешность измерения пиковое значение синусоидального напряжения входного сигнала при установленном ослаблении для каждой ступени аттенюатора приемника как разницу между Uq и U3; U6;..,;U3o.
Абсолютная погрешность измерений пикового значения синусоидального напряжения должна находится в пределах ±1 дБ.
-
6.4.6 Определение абсолютной погрешности усиления приемника П5-Л-ОЗ.
Собирают основную схему измерений в частотной области, представленную на рис.2 Приложения к настоящей методике. Подключают генератор ВЧ Г4-164 к первому входу (Вход 1) первого коммутатора (А.8 на рисунке 2). На выходе генератора устанавливают сигнал частотой 15 МГц с СКЗ напряжения 60 мВ (95,6 дБ(мкВ)). Напряжение на выходе генератора контролируют с помощью милливольтметра ВЗ-52/1.
Выбирают пункт главного меню Файл | Новый. В открывшемся диалоге «Состав измерительного стенда» выбирают Измерительный приемник. Затем выбирают:
Измеряемая величина - Напряжение помех;
Методика измерения - ГОСТ 30429;
Датчики в первой строке меню датчиков - Коммутатор;
Датчики(и) Коммутатор2 - Вход приемника 1.
Нажимают ОК
В открывшемся окне Настройки санирования/отображения устанавливают:
Диапазон: ЮОдБ(мкВ);
Опорный уровень: 140дБ(мкВ);
Центральная частота: 15000 кГц;
Полоса обзора: 40 кГц;
Шаг сканирования: полосы пропускания.
Нажимают кнопку Дополнительно
У станав ливают:
Усиление: 0;
Ослабление: 30.Запускают процесс измерения, выбрав пункт главного меню Измерения |
Старт или нажав на кнопку

панели инструментов главного окна.
Получив изображение спектра на экране компьютера, включают окно Маркеры, устанавливают режим маркеров одинарный.
Устанавливают маркер Ml на вершину максимальной спектральной составляющей; считывают показание маркера Ml.
Измеренное пиковое значение синусоидального напряжения должно быть
Uo = 95,6 ±2 дБ(мкВ).
Последовательно увеличивают Усиление входного усилителя приемника с шагом 3 дБ (3, 6; 9; 12; 15; 18; 21; 24; 27; 30; 33; 36; 39 дБ) и повторяют измерения пикового значения входного синусоидального напряжения U3; U6;...;U39, дБ(мкВ).
Вычисляют абсолютную погрешность установки усиления приемника для каждой ступени усиления как разницу между Uo и U3; U6;...;U39.
Абсолютная погрешность усиления для каждой ступени должна находятся пределах ±1 дБ.
-
6.4.7 Проверка диапазона, определение абсолютной погрешности измерения приемником П5-Л-03 пиковых значений синусоидального напряжения и погрешности, вносимой собственными шумами
Максимальное пиковое значение напряжения синусоидального сигнала Ывхмакс измеряемое приемником П5-Л-03 определяется как напряжение входного синусоидального сигнала приемника в однодецибельной точке компрессии, при котором абсолютная погрешность измерения пикового значения синусоидального напряжения увеличивается на 1 дБ из-за ограничения входного сигнала.
-
6.4.7.1 Для проверки минимального пикового значения напряжения и погрешности вносимой собственными шумами собирают основную схему измерений, представленную на рисунке 2 Приложения 1 к настоящей методике.
Подключают генератор сигналов высокочастотный Г4-164 (далее генератор Г4-164) через аттенюатор программируемый ТТ-4139/В к первому входу (Вход 1) первого коммутатора (А.8 на рисунке 2). Устанавливают ослабление аттенюатора ТТ-4139/В 0 дБ. На выходе генератора устанавливают сигнал частотой 5 МГц с СКЗ напряжения 0,02 мВ (26 дБ(мкВ)) .Выходное напряжение генератора контролируют с помощью микровольтметра ВЗ-57.
Выбирают пункт главного меню Файл | Новый. В открывшемся диалоговом окне «Состав измерительного стенда» выбирают Измерительный приемник. Затем выбирают:
-
- Измеряемая величина - Напряжение помех',
-
- Методика измерения - ГОСТ 30429;
-Датчики в первой строке меню датчиков - Коммутатор;
-
- Датчики(и) Коммутатор2 - Вход приемника 1.
Нажимают OK
В открывшемся окне Настройки санирования/отображения устанавли
вают:
-Диапазон-. 100 дБ(мкВ);
-
- Опорный уровень -. 60 дБ(мкВ);
-
- Центральная частота: 5000 кГц;
-
- Полоса обзора: 40 кГц;
-
- Шаг сканирования: !6 полосы пропускания.
Нажимают кнопку Дополнительно
Устанавливают:
Усиление: 30;
Ослабление: 0.Запускают процесс измерения, выбрав пункт главного меню Измерения |
Старт или нажав на кнопку
панели инструментов главного окна. Получив
изображение спектра на экране компьютера, включают окно Маркеры, устанавливают режим маркеров одинарный.
Устанавливают маркер Ml на вершину максимальной спектральной составляющей, считывают показание маркера Ml = Uo
Измеренное пиковое значение синусоидального напряжения должно быть и0 = (26 ± 2,0) дБ(мкВ).
Устанавливают ослабление аттенюатора ТТ-4139/В равным 9 дБ.
Уровень напряжения генератора ВЧ Г4-164 увеличивают до прежнего значения и0 = (26 ± 2,0) дБ(мкВ), контролируя выходное напряжение генератора ВЧ
Г4-164 по вольтметру ВЗ-57. Приемником измеряют пиковое значение синусоидального напряжения Ui в децибелах
Погрешность 5Ш, вносимую собственными шумами, определяют по формуле
8Ш = I U, - Uo |.
Минимальное пиковое значение синусоидального напряжения не более 26 дБ(мкВ), погрешность, вносимая собственным шумом приемника П5-Л-03 8Ш не должна превышать 1 дБ.
Примечание: допускается проводить измерения при установке усиления приемника, равным 39 дБ (Усиление: 39 дБ)
-
6.4.7.2 Для проверки максимального пикового значения синусоидального напряжения собирают основную схему измерений, представленную на рисунке 2 Приложения 1 к настоящей методике.
Подключают генератор ВЧ Г4-164 через программируемый аттенюатор ТТ-4139/В к первому входу (Вход 1) первого коммутатора (А.8 на рисунке 2). Устанавливают ослабление аттенюатора ТТ-4139/В 6 дБ. На выходе генератора устанавливают сигнал частотой 15 МГц с СКЗ напряжения 1,0 В (120 дБ(мкВ)). Выходное напряжение генератора контролируют с помощью микровольтметра ВЗ-52/1.
Выбирают пункт главного меню Файл | Новый. В открывшемся диалоговом окне «Состав измерительного стенда» выбирают Измерительный приемник.
Затем выбирают:
-
- Измеряемая величина - Напряжение помех;
-
- Методика измерения - ГОСТ 30429;
-Датчики в первой строке меню датчиков - Коммутатор;
-Датчики(и) Коммутатор2 - Вход приемника 1.
Нажимают ОК
В открывшемся окне Настройки санирования/отображения устанавли
вают:
-Диапазон: 100 дБ(мкВ);
-
- Опорный уровень: 130 дБ(мкВ);
-
- Центральная частота: 15000 кГц;
-
- Полоса обзора: 40 кГц;
-
- Шаг сканирования: !4 полосы пропускания.
Нажимают кнопку Дополнительно
У станав л ивают:
-
- Усиление: 0;
Запускают процесс измерения, выбрав пункт главного меню Измерения | Старт или нажав на кнопку JL панели инструментов главного окна. Получив изображение спектра на экране компьютера, включают окно Маркеры, устанавливают режим маркеров одинарный.
Устанавливают маркер Ml на вершину максимальной спектральной составляющей, считывают показание маркера Ml = Uo
Измеренное значение должно быть Uo = (114 ± 2,0) дБ(мкВ).
Уменьшают ослабление аттенюатора ТТ-4139/В на 1 дБ. Проводят измерение пикового значение синусоидального напряжения входного сигнала U, =(Uo + 1)дБ(мкВ).
Уменьшают ослабления с шагом 0,1 дБ до тех пор, пока измеренное пиковое значение напряжения на i-ом шаге Uh = (Uo + 1 *i) дБ(мкВ) не будет отличаться от предыдущего значения на 0,5дБ или меньше. Фиксируют ослабление аттенюатора Атп (дБ).
Определяют максимальное пиковое значение синусоидального напряжения измеряемое приемником П5-Л-ОЗ Ывх.макс
Ывх.макс = 114 + (6 -Атп -1)+30, дБ(мкВ).
С учетом ослабления 30 дБ встроенного аттенюатора приемника П5-Л-03 максимальное измеряемое пиковое значение синусоидального напряжения составит 145,6 дБ(мкВ)
Максимальное пиковое значение синусоидального напряжения должно быть не менее 145,6 дБ(мкВ).
-
4.6.7.3 Для определения абсолютной погрешности измерения пиковых значений синусоидального напряжения собирают основную схему измерений, представленную на рисунке. 2 Приложения 1 к настоящей методике. Подключают генератор ВЧ Г4-164 к первому входу (Вход 1) первого коммутатора (А. 8 на рисунке 2). На выходе генератора устанавливают сигнал частотой 15 МГц с СКЗ напряжения Uo = 600 мВ (115,6 дБ(мкВ)). Выходное напряжение генератора контролируют с помощью милливольтметра ВЗ-52/1.
Выбирают пункт главного меню Файл | Новый. В открывшемся диалоговом окне «Состав измерительного стенда» выбирают Измерительный приемник. Затем выбирают:
Измеряемая величина - Напряжение помех;
Методика измерения - ГОСТ 30429;
Датчики в первой строке меню датчиков - Коммутатор;
Датчики(и) Коммутатор2 - Вход приемника 1.
Нажимают OK
В открывшемся окне Настройки санирования/отображения устанавливают:
Диапазон: ЮОдБ(мкВ);
Опорный уровень: 120дБ(мкВ);
Центральная частота: 15000 кГц;
Полоса обзора: 40 кГц;
Шаг сканирования: Уг полосы пропускания.
Нажимают кнопку Дополнительно
Устанавливают:
Усиление: 0;
Ослабление: 0.Запускают процесс измерения, выбрав пункт главного меню Измерения | Старт или нажав на кнопку ЕН панели инструментов главного окна.
Получив изображение спектра на экране компьютера, включают окно Маркеры, устанавливают режим маркеров одинарный.
Устанавливают маркер Ml на вершину максимальной спектральной составляющей; считывают показание маркера Ml = U изм,, дБ(мкВ).
Вычисляют абсолютную погрешность измерения пикового значение синусоидального напряжения по формуле:
Д — U изм - Uo, дБ
Повторяют измерения на частотах 150 кГц и 30 МГц
Абсолютная погрешность измерения пикового значение синусоидального напряжения должна находится в пределах ±2,0 дБ.
6.5 Определение метрологических характеристик приемника С9-Л-03.
6.5.1.Определение диапазона частот по уровню минус 3 дБ,
Определение диапазона частот на уровне минус 3 дБ приемника С9-Л-03 проводят по структурной схеме, приведенной на рисунке 1 Приложения.
Измерения проводят на частотах 0,02; 01; 1,0; 10,0; 100,0; 150,0; 500,0;
1000,0; 5000,0; 10000,0; 15000,0; 20000,0; 25000,0 кГц.
К входу приемника С9-Л-03 (А.8 на рисунке 1) подключают через ВЧ тройник генератор сигналов произвольной формы Agilent 33220А (далее-генератор 33220А) (для измерений на частотах до 15000 кГц) или генератор ВЧ Г4-164 (для измерений на частотах свыше 15000 кГц). Второй выход тройника подключают ко входу микровольтметра ВЗ-57 (для измерений на частотах до 100 кГц) или милливольтметра ВЗ-52/1 (для измерений на частотах свыше 100 кГц). Подают от генератора синусоидальное напряжение частотой 0,02 кГц с СКЗ напряжения 600 мВ (размах сигнала пик-пик Un.n 124,5 дБмкВ).
Выбирают пункт главного меню Файл | Новый. В открывшемся диалоге «Состав измерительного стенда» выбирают Осциллограф. Затем выбирают:
Измеряемая величина - Напряжение помех',
Датчик- не выбран.
Нажимают ОК
В открывшемся окне Настройки осциллографа устанавливают:
Развертка по вертикали:
Диапазон 3 В
Развертка по горизонтали
Диапазон 100 мс
Однократная
Нажимают кнопку Дополнительно
Устанавливают:
Усиление: 0;
Ослабление: 0.Запускают процесс измерения, выбрав пункт главного меню Измерения |
Старт или нажав на кнопку
панели инструментов главного окна.
Получив изображение синусоидального сигнала на экране компьютера, включают окно Маркеры, устанавливают режим маркеров двойной.
Измеряют удвоенное пиковое значение синусоидального напряжения входного сигнала, для чего:
устанавливают маркеры Ml и М2, соответственно, на вершины положительной и отрицательной полуволн синусоидального сигнала;
нажимают кнопку Вычислить в окне Маркеры,
считывают значение dU = иизм.п-п.
Измеренное значение иизм.п-п входного, должно быть иизм.п-п. = 1691 мВ (+ 305 мВ, минус 278 мВ) (124,5 ± 1,5 дБ(мкВ)).
Повторяют измерения на остальных частотах.
Определяют максимальное пиковое значение синусоидального напряжения измеренного сигнала иизм.макс.п-п (дБ(мкВ)) и отклонения остальных результатов измерений от Иизм. макс.п-п.
Результаты поверки считают положительными, если в полосе рабочих частот 20 Гц - 25 МГц отклонение результатов измерений относительно иизм.макс.п-п не менее минус 3 дБ.
-
6.5.2 Проверка диапазона и определение абсолютной погрешности измерения пиковых значений синусоидального напряжения
Собирают основную схему измерений, представленную на рисунке 1 Приложения. 1.
6.5.2.1 Определяют минимальное измеряемое приемником 2 С9-Л-03 пиковое значение напряжения синусоидального напряжения Швх.мин как значение входного синусоидального напряжения, при которой абсолютная погрешность измерения пикового значения увеличивается на 1 дБ за счет собственных шумов приемника.
Подключают генератор Г4-164 через программируемый аттенюатор ТТ-4139/В к входу приемника (А.8 на рисунке 1). Устанавливают ослабление аттенюатора ТТ-4139/В Атг = 0 дБ. На выходе генератора устанавливают сигнал частотой 5 МГц с СКЗ напряжения 0,036 мВ (31 дБ(мкВ)). Выходное напряжение генератора контролируют с помощью микровольтметра ВЗ-57.
Выбирают пункт главного меню Файл | Новый. В открывшемся диалоге «Состав измерительного стенда» выбирают Осциллограф. Затем выбирают:
Измеряемая величина - Напряжение помех;
Датчик- не выбран.
Нажимают ОК
В открывшемся окне Настройки осциллографа устанавливают:
Развертка по горизонтали
Диапазон 10 мкс
ОднократнаяНажимают кнопку Дополнительно
У станавливают:
Усиление: 30 дБ;
Ослабление: ОЗапускают процесс измерения, выбрав пункт главного меню Измерения | Старт или нажав на кнопку ЕЕ панели инструментов главного окна.
Получив изображение синусоидального сигнала на экране компьютера, включают окно Маркеры, устанавливают режим маркеров двойной.
Измеряют удвоенное пиковое значение входного синусоидального напряжения ип.п, мВ для чего:
устанавливают маркеры Ml и М2, соответственно, на вершины положительной и отрицательной полуволн синусоидального сигнала нажимают кнопку Вычислить в окне Маркеры;считывают значение dU = Un.n.
Измеренное значение должно быть Un.n = 0,101 мВ (+ 0, 019 мВ, минус 0,016 мВ) (40 ±1,5 дБ(мкВ)), а пиковое значение синусоидального напряжения Un = Un.n/2=0,0506, мВ ( 34,10 дБ(мкВ))
Увеличивают ослабление аттенюатора ТТ-4139/В на 1 дБ. Проводят измерение пикового значение синусоидального напряжения входного сигнала U( = (Uo + 1) дБ(мкВ).
Увеличивая ослабление на аттенюаторе с шагом ослабления 0,1 дБ до тех пор, пока измеренное значение сигнала на i-ом шаге Ц = (Uo + 0,1 *1) дБ(мкВ) не будет отличаться от предыдущего значения на 0,5дБ. Фиксируют ослабление аттенюатора Атп (дБ). Измерения останавливают. За результат измерений U 2 вх.мин, мВ (дБ(мкВ) принимают значение, полученное на предыдущем i-1 шаге
Минимальное пиковое значение синусоидального напряжения U2 вх.мин должно быть не более 0,028 мВ (29 дБ(мкВ)).
Примечание: допускается проводить измерения Швх.мин при установке усиления приемника, равным 39 дБ (Усиление: 39 дБ)
-
6.5.2.2 Определяют максимальное измеряемое приемником 2 С9-Л-03 пиковое значение синусоидального напряжения Швхмакс как значение входного синусоидального сигнала приемника в однодецибельной точке компрессии, при котором абсолютная погрешность измерения пикового значения увеличивается на 1 дБ из-за ограничения входного сигнала.
Подключают генератор ВЧ Г4-164 через программируемый аттенюатор ТТ-4139/В к входу приемника (А.8 на рис. 1). Устанавливают ослабление аттенюатора ТТ-4139/В 6 дБ. На выходе генератора устанавливают сигнал частотой 15 МГц с СКЗ напряжения 1,0 В (120 дБ(мкВ)). Выходное напряжение генератора контролируют с помощью милливольтметра ВЗ-52/1.
Выбирают пункт главного меню Файл | Новый. В открывшемся диалоге «Состав измерительного стенда» выбирают Осциллограф. Затем выбирают:
Измеряемая величина - Напряжение помех',
Датчик- не выбран.
Нажимают ОК
В открывшемся окне Настройки осциллографа устанавливают:
Развертка по вертикали:
Диапазон 3 В
Развертка по горизонтали
Диапазон 10 мкс
Однократная
Нажимают кнопку Дополнительно
Устанавливают:
Усиление; 0 дБ;
Ослабление: 30Запускают процесс измерения, выбрав пункт главного меню Измерения | Старт или нажав на кнопку оа панели инструментов главного окна.
Получив изображение синусоидального сигнала на экране компьютера, включают окно Маркеры, устанавливают режим маркеров двойной.
Измеряют удвоенное пиковое значение входного синусоидального напряжения ип.п, мВ для чего:
устанавливают маркеры Ml и М2, соответственно, на вершины положительной и отрицательной полуволн синусоидального сигнала; нажимают кнопку Вычислить в окне Маркеры учитывают значение dU = Un.n
Измеренное значение Un.n синусоидального напряжения должно быть Un.n = 1413 мВ (+ 278 мВ, минус 224 мВ) (123 ± 1,5 дБ(мкВ)), а пиковое значение синусоидального напряжения определяется по формуле-
Un= (Un.n - 6)=117±1,5 дБ(мкВ)
Уменьшают ослабление аттенюатора ТТ-4139/В на 1 дБ. Проводят измерение пикового значение входного сигнала Uj = (Uo + 1) дБ(мкВ).
Повторяют действия с шагом ослабления 1 дБ до тех пор, пока измеренное значение сигнала на i-ом шаге ин = (Uo + 1 *i) дБ(мкВ) не будет отличаться от предыдущего значения на 0,5дБ или меньше Измерения останавливают. За результат измерений Швх.макс принимается значение, полученное на предыдущем i-1 шаге.
Измеренное максимальное пиковое значение синусоидального напряжение Швх.макс должно быть не менее 847,8 мВ (118,6 дБ(мкВ).
С учетом ослабления 30 дБ встроенного аттенюатора приемника 2 С9-Л-03 максимальное измеряемое значение синусоидального напряжения должно быть не менее 148,6 дБ(мкВ) (26,80В)
-
6.5.2.3 Определение абсолютной погрешности измерения пиковых значений синусоидального напряжения
Собирают основную схему измерений, представленную на рисунке 1 Приложения 1 .
К входу приемника С9-Л-03 (А.8 на рисунке. 1) подключают через ВЧ тройник генератор сигналов произвольной формы Agilent 33220А (далее-генератор 33220А) (для измерений на частотах до 15000 кГц) или генератор Г4-164 (для измерений на частотах свыше 15000 кГц). Второй выход тройника подключают ко входу микровольтметра ВЗ-57 (для измерений на частотах до 100 кГц) или милливольтметра ВЗ-52/1 (для измерений на частотах свыше 100 кГц).
На генераторе Agilent 33220А устанавливают частоту выходного сигнала 0,1 кГц и СКЗ напряжение 600 мВ (размах сигнала пик-пик Un.n = 1691 мВ или 124,6 дБ(мкВ)), установленное пиковое значение синусоидального сигнала UO n = 847,8 мВ или 118,6 дБ(мкВ).
Выбирают пункт главного меню Файл | Новый. В открывшемся диалоге «Состав измерительного стенда» выбирают Осциллограф. Затем выбирают:
- Измеряемая величина - Напряжение помех'.
-Датчик- не выбран.Нажимают ОК
В открывшемся окне Настройки осциллографа устанавливают:
-
- Развертка по вертикали:
-Диапазон 3 В
-
- Развертка по горизонтали
-Диапазон 10 мкс
-
- Однократная
Нажимают кнопку Дополнительно
У станавливают:
-
- Усиление: 0 дБ;
Запускают процесс измерения, выбрав пункт главного меню Измерения | Старт или нажав на кнопку ЕЙ панели инструментов главного окна. Получив изображение синусоидального сигнала на экране компьютера, включают окно Маркеры, устанавливают режим маркеров двойной.
Измеряют удвоенное пиковое значение иизм.п-п5 мВ или (дБ(мкВ)) входного синусоидального напряжения, для чего: устанавливают маркеры Ml и М2, соответственно, на вершины положительной и отрицательной полуволн синусоидального сигнала; нажимают кнопку Вычислить в окне Маркеры, считывают значение dU = иизм п-п, мВ или (дБ(мкВ))
Измеренное значение иизмп.п синусоидального напряжения должно быть ии3м. п-п = 1691 мВ (+ 305 мВ, минус 278 мВ) (124,6 ± 1,5 дБ(мкВ)),а пиковое значение синусоидального напряжения определяется по формуле, в дБ(мкВ)

Вычисляют абсолютную погрешность измерения пикового значение синусоидального напряжения по формуле:
Д = иизм.п - иОп, мВ или дБ(мкВ)
Повторяют измерения на частотах 15 МГц и 25 МГц
Абсолютная погрешность измерения пикового значение синусоидального напряжения должна находится в пределах ±1,5 дБ.
-
6.5.3 Определение относительной погрешности измерений временных интервалов
Собирают основную схему измерений во временной области, представленную на рисунке 1 Приложения 1 к настоящей методике.
На вход приемника поочередно подают импульсный сигнал от прибора для калибровки осциллографов И1-9 амплитудой 1 В с периодом, указанным в столбце «Временной интервал» таблицы 5.
Таблица 5
Временной интервал |
Развертка по горизонтали |
Допускаемые пределы временных интервалов |
I |
2 |
3 |
1 с |
2 с |
0,995- 1,005 с |
200 мс |
500 мс |
199,0-201,0 мс |
100 мс |
500 мс |
99,5- 100,5 мс |
20 мс |
100 мс |
19,9 - 20,1 мкс |
100 мкс |
500 мкс |
99;5 - 100,5 мкс |
20 мкс |
100 мкс |
19,9 - 20,1 мкс |
2 мкс |
10 мкс |
1.99 -2,01 мкс |
Выбирают пункт главного меню Файл | Новый. В открывшемся диалоге «Состав измерительного стенда» выбирают Осциллограф. Затем выбирают:
Измеряемая величина - Напряжение помех;
Датчик- не выбран.
Нажимают ОК
В открывшемся окне Настройки осциллографа устанавливают:
Развертка по горизонтали
Диапазон: 2с,
Однократная
Нажимают кнопку Дополнительно
У станавливают:
Усиление: 0;
Ослабление: О
Запускают процесс измерения, выбрав пункт главного меню Измерения | Старт или нажав на кнопку ЕЙ панели инструментов главного окна.
Получив изображение сигнала на экране компьютера, включают окно Маркеры, устанавливают режим маркеров двойной.
Измеряют период следования импульсов входного сигнала, для чего: устанавливают маркеры MI и М2 на уровне 0,1 от амплитуды двух соседних импульсов;
нажимают кнопку Вычислить в окне Маркеры,
считывают значение dT.
Примечание: для повышения точности измерений изображение импульсной последовательности можно «растянуть». Для этого устанавливают указатель мыши возле первого импульса и, удерживая нажатой правую кнопку мыши, перемещают указатель к основанию второго импульса. Правую кнопку мыши отпускают.
Повторяют измерения для остальных значений временных интервалов, указанных в таблице 4, устанавливая соответствующее значение параметра Диапазон (500 мс, 500 мс, 100 мс, 500 мкс, 100 мкс, 10 мкс).
Относительную погрешность измерения временных интервалов рассчитывают по формуле:
A=rfT/r, %
Относительная погрешность измерения временных интервалов должна находится в пределах ±0,5% или результаты измерений должны находится в допускаемых пределах временных интервалов, указанных в таблице 5.
-
6.5.4 Определение времени нарастания переходной характеристики
Собирают основную схему измерений во временной области, представленную на рис. 1 Приложения к настоящей методике.
На вход приемника подают импульсный сигнал от И1-9. Устанавливают значение амплитуды импульсов Uu из таблицы 6, период следования импульсов 1 мкс.
Таблица 6
Uu |
Усиление, дБ |
Ослабление, дБ |
0,5 мВ |
39 |
0 |
5,0 мВ |
21 |
0 |
50,0 мВ |
0 |
0 |
500 мВ |
0 |
0 |
1,0 В |
0 |
0 |
3,0 В |
0 |
6 |
5,0 В |
0 |
12 |
10,0 В |
0 |
20 |
Выбирают пункт главного меню Файл | Новый. В открывшемся диалоге «Состав измерительного стенда» выбирают Осциллограф. Затем выбирают:
Измеряемая величина - Напряжение помех',
Датчик- не выбран.
Нажимают ОК
В открывшемся окне Настройки осциллографа устанавливают:
Развертка по горизонтали
Диапазон: 10 мкс,
Однократная
Нажимают кнопку Дополнительно
У станавливают:
Усиление: см, таб. 6;
Ослабление: см. таб. 6.
Запускают процесс измерения, выбрав пункт главного меню Измерения |
Старт или нажав на кнопку
панели инструментов главного окна.
Получив изображение сигнала на экране компьютера, включают окно Маркеры, устанавливают режим маркеров двойной.
Устанавливают маркеры Ml и М2 на уровнях 0,1 и 0,9 от установившегося значения амплитуды импульсов.
Нажимают кнопку Вычислить в окне Маркеры',
считывают значение dT.
Примечание: для повышения точности измерений изображение импульсной последовательности можно «растянуть». Для этого устанавливают указатель мыши возле первого импульса и, удерживая нажатой правую кнопку мыши, перемещают указатель к основанию второго импульса. Правую кнопку мыши отпускают.
Повторяют измерения для всех значений Uu, указанных в таблице 5.
Измеренные значения времени нарастания переходной характеристики для всех амплитуд сигнала не должны превышать 20 нс.
-
6.5.5 Определение абсолютной погрешности измерения синусоидального напряжения из-за переключения аттенюатора приемника С9-Л-03.
Собирают основную схему измерений, представленную на рисунке 1 Приложения 1 к настоящей методике.
На вход приемника С9-Л-03 (А.8 на рисунке 1) подают от генератора ВЧ Г4-164 синусоидальное напряжение частотой 15 МГц с СКЗ напряжения 60 мВ (95,6 дБ(мкВ)). Напряжение на выходе генератора контролируют с помощью милливольтметра ВЗ-52/1.
Выбирают пункт главного меню Файл | Новый. В открывшемся диалоге «Состав измерительного стенда» выбирают Осциллограф. Затем выбирают:
Измеряемая величина - Напряжение помех',
Датчик- не выбран.
Нажимают ОК
В открывшемся окне Настройки осциллографа устанавливают:
Развертка по горизонтали
Диапазон 10 мкс
Однократная
Нажимают кнопку Дополнительно
У станавл ивают:
Усиление: 0;
Ослабление: ОЗапускают процесс измерения, выбрав пункт главного меню Измерения | Старт или нажав на кнопку ш панели инструментов главного окна.
Получив изображение синусоидального сигнала на экране компьютера, включают окно Маркеры, устанавливают режим маркеров двойной.
Измеряют удвоенное пиковое значение входного синусоидального напряжения, для чего:
устанавливают маркеры Ml и М2, соответственно, на вершины положительной и отрицательной полуволн синусоидального сигнала;
нажимают кнопку Вычислить в окне Маркеры, считывают значение dU()n.n.
Измеренное значение должно быть dUOn.n = 169 мВ ± 31,9 мВ (104,6 ±1,5 дБ(мкВ)), а пиковое значение синусоидального напряжения определяется по формуле
UOn= dUOn.n/2, мВ)= .(84,5±15,9) мВ или UOn= dUOn-n- 6, дБ(мкВ) = 98,6±1,5 дБ(мкВ) Последовательно увеличивают Ослабление аттенюатора приемника с шагом 3 дБ (3; 6; 9; 12; 15; 18; 21; 24; 27; 30 дБ) и повторяют измерения удвоенного пикового значения входного синусоидального напряжения dU3; dU6;...;dU3lj, дБ(мкВ).
Вычисляют абсолютную погрешность измерения пикового значения синусоидального напряжения от установленного ослабления для каждой ступени аттенюатора приемника как разницу между dU0 и dU3; dU6;...;dU3n,
Абсолютная погрешность измерения пикового значения синусоидального напряжения из-за переключения аттенюатора должна находится в пределах ±1 дБ.
-
6.5.6 Определение абсолютной погрешности установки усиления приемника С9-Л-03.
Собирают основную схему измерений, представленную на рисунке 1 Приложения 1 к настоящей методике. Подключают генератор ВЧ Г4-164 непосредственно ко входу приемника С9-Л-03 (А.8 на рис. 1). На выходе генератора устанавливают сигнал частотой 15 МГц с СКЗ напряжения 60 мВ (95,6 дБ(мкВ)). Напряжение на выходе генератора контролируют с помощью милливольтметра ВЗ-52/1.
Выбирают пункт главного меню Файл | Новый. В открывшемся диалоге «Состав измерительного стенда» выбирают Осциллограф. Затем выбирают:
Измеряемая величина ~ Напряжение помех',
Датчик- не выбран.
Нажимают ОК
В открывшемся окне Настройки осциллографа устанавливают:
Развертка по горизонтали
Диапазон 10 мкс
Однократная
Нажимают кнопку Дополнительно
Установить:
Усиление." 0;
Ослабление: 30
Запускают процесс измерения, выбрав пункт главного меню Измерения |
Старт или нажав на кнопку

панели инструментов главного окна.
Получив изображение синусоидального сигнала на экране компьютера, включают окно Маркеры, устанавливают режим маркеров двойной.
Измеряют удвоенное пиковое значение входного синусоидального напряжения, для чего:
устанавливают маркеры Ml и М2, соответственно, на вершины положительной и отрицательной полуволн синусоидального сигнала;нажимают кнопку Вычислить в окне Маркеры учитывают значение dU.
Измеренное значение должно быть dUo = 169 мВ ± 31,9 мВ (104,6 ± 1,5 дБ(мкВ)).
Последовательно увеличивают Усиление с шагом 3 дБ (3; 6; 9; 12; 15; 18; 21; 24; 27; 30; 33; 39 дБ) и повторяют измерения удвоенного пикового значения входного синусоидального напряжения dU3; dU6;...;dU39, дБ(мкВ).
Вычисляют абсолютную погрешность установки усиления приемника для каждой ступени усиления как разницу между Uo и U3; U6;...;U39,
Абсолютная погрешность усиления для каждой ступени должна находится в пределах ±1 дБ.
-
6.6 Определение абсолютной погрешности измерений комплексом в частотной области пиковых значений синусоидального напряжения (тока) кондуктив-ных помех
Определение абсолютной погрешности измерений комплексом в частотной области пиковых значений синусоидального напряжения (тока) кондуктивных помех проводят для комплекта измерительный приемник П5-Л-03 с датчиками (токосъемниками, датчиками напряжения и датчиком МКО) в следующей последовательности:
-
- определяют погрешность измерения синусоидального тока кондуктивных
комплексом с токосъемниками ТВ- ТВ-203 ИУПЯ.4685 57.001, ТВ-203
ИУПЯ.468557.001-01, ТАК-Л-01 ИУПЯ.468556.001 и ТВК-Л-01 ИУПЯ.468556.001 -01 (п. 6.6.1 настоящей методики);
-
- определяют погрешность измерения синусоидального напряжения кондуктивных комплексом с датчиком напряжения ДН-Л-01 ИУПЯ.418131.001 (п.
-
6.6.2 настоящей методики);
-
- определяют погрешность измерения синусоидального напряжения кондуктивных помех комплексом с датчиком МКО ДМКО-Л-01 ИУПЯ.418131.002 (п.
-
6.6.3 настоящей методики).
Все токосъемники и датчики должны быть предварительно откалиброваны по методике, изложенной в Приложении 2 к настоящей методике.
Коэффициенты калибровки токосъемников и датчиков должны быть занесены в библиотеку датчиков СПМО.
Структурная схема измерения приведена на рисунке 2 Приложения.
-
6.6.1 Для определения погрешности измерения пиковых значений синусоидального тока комплексом в частотной области в комплекте с токосъемниками ТВ-203 ИУПЯ.468557.001 и ТВ-203 ИУПЯ.468557.001-01 устройство для подключения токосъемников к измерительной цепи ИУПЯ.468569.002. Устанавливают токосъемник в устройство для подключения токосъемника к измеряемой цепи. К устройству с одной стороны подключают генератор Г4-164 и термопреобразователь, с другой - нагрузку 50 Ом. Выход токосъемника подключают кабелем N-BNC ИУПЯ.685661.042 к входу коммутатора (А8 на рисунке 2) комплекса.
Для определения погрешности измерения синусоидального тока комплексом в комплекте с токосъемниками ТАК-Л-01 ИУПЯ.468556.001 и ТВК-Л-01 ИУПЯ.468556.001-01 сигнал от генератора Г4-164 через термопреобразователь подают на вход «Калибровка» токосъемника. Выход токосъемника подключают кабелем N-BNC ИУПЯ.685661.042 к входу коммутатора (А8 на рисунке 2) комплекса. Вольтметром В7-38 контролируют напряжение ТЭДС на выходе термопреобразователя (5,8 мВ).
Измерения последовательно повторяются на двух крайних и центральной частотах рабочих диапазонов токосъемников: 0,15 МГц, 1,5 МГц, 3,0 МГц для токосъемников ТВ-203 ИУПЯ.468557.001 и ТАК-Л-01 ИУПЯ.468556.001 и 3,0 МГц 15 МГц 30 МГц для токосъемников ТВ-203 ИУПЯ.468557.001-01 и ТВК-Л-01 ИУПЯ.468556.001-01.
Установить на выходе генератора первую частоту рабочего диапазона токосъемника. Плавно увеличивать уровень выходного сигнала генератора до достижения показаний вольтметра В7-38 на выходе термопреобразователя (5,8 мВ), соответствующего СКЗ установленного тока термопреобразователя 1у = 6 мА (75,6 дБ(мкА)).
С помощью приемника П5-Л-03 измеряют пиковое значение синусоидального тока через термопреобразователь 1и, дБ(мкА) с учетом коэффициента калибровки токосъемника в следующей последовательности.
Выбирают пункт главного меню Файл | Новый. В открывшемся диалоге «Состав измерительного стенда» выбирают Измерительный приемник. Затем выбирают:
Измеряемая величина - Ток помех;
Методика измерения - Ток помех (I) в цепях питания;
Датчики в первой строке меню датчиков - Коммутатор;
Датчики(и) Коммутатор2> Вход 1 - ТВ-203 НЧ (ТВ-203 ВЧ; ТАК-Л-01; ТВК-Л-01).
Нажать ОК
В открывшемся окне Настройки санирования/отображения установить:
Диапазон: 100 дБ(мкВ);
Опорный уровень: 120дБ(мкВ);
Центральная частота: 150 кГц (1,5 МГц, 3,0 МГц; 15 МГц 30 МГц);
Полоса обзора: 40 кГц;
Шаг сканирования: ’/г полосы пропускания.
Получив изображение спектра на экране компьютера, включают окно Маркеры, устанавливают режим маркеров одинарный.
устанавливают маркер Ml на вершину ближайшей к установленной частоте спектральной составляющей;
В окне Маркеры, одиночный считывают измеренное значение тока помех 1и, дБмкА.
Повторяют измерения пиковых значений синусоидального тока для остальных частот рабочего диапазона токосъемника.
Провести измерения для всех остальных токосъемников.
Определяют абсолютную погрешности измерений пиковых значений синусоидального тока кондуктивных помех , как разность 1и - 1у дБ(мкВ) для каждой частоты измерений.
Результаты поверки считаются положительными, если абсолютная погрешности измерений пиковых значений синусоидального тока кондуктивных помех находится в пределах ±3 дБ.
-
6.6.2 Для определения погрешности измерения комплексом в частотной области пиковых значений синусоидального напряжения кондуктивных помех в комплекте с датчиком напряжения генератор Г4-164 подключают через ВЧ тройник к датчику напряжения А6 на рис. 2 Приложения. Второй выход тройника подключают ко входу милливольтметра ВЗ-52/1. Выход датчика напряжения подключают с помощью штатного кабеля к входу коммутатора А9 на рис.2. Измерения последовательно повторяются на двух крайних и центральной частоте рабочего диапазона: 150 кГц, 15 и 30 МГц.
С помощью генератора устанавливают на входе датчика напряжения сигнал частотой 150 кГц и СКЗ напряжения Uy = 0,6 В (115,6 дБ(мкВ)). С помощью приемника 1 измерить напряжения на выходе датчика в следующей последовательности.
Выбирают пункт главного меню Файл | Новый. В открывшемся диалоге «Состав измерительного стенда» выбирают Измерительный приемник. Затем выбирают:
Измеряемая величина - Напряжение помех;
Методика измерения - ГОСТ30429;
Датчики в первой строке меню датчиков - Коммутатор;
Датчики(и) Коммутатор2, Вход 3 -Датчик напряжения.
Нажать ОК
В открывшемся окне Настройки санирования/отображения установить:
Диапазон'. ЮОдБ(мкВ);
Опорный уровень '. 120 дБ(мкВ);
Центральная частота-. 150 кГц (15000 и 30000 кГц);
Полоса обзора-. 40 кГц;
Шаг сканирования-. ‘Л полосы пропускания.
Получив изображение спектра на экране компьютера, включают окно Маркеры, устанавливают режим маркеров одинарный.
устанавливают маркер Ml на вершину ближайшей к установленной частоте спектральной составляющей;
В окне Маркеры, одиночный считывают измеренное значение напряжения dV= Ии, дБ(мкВ).
Определяют абсолютную погрешность измерения пикового значения синусоидального напряжения кондуктивных помех, как разность Uh - Uy, дБ(мкВ).
Повторяют измерения на остальных частотах.
Результаты поверки считаются положительными, если абсолютная погрешность измерения пикового значения синусоидального напряжения кондуктивных помех находится в пределах ±3 дБ.
-
6.6.3 Для определения погрешности измерения комплексом в частотной области пиковых значений синусоидального напряжения кондуктивных помех в комплекте с датчиком МКО ДМКО-Л-01 генератор Г4-164 подключают через ВЧ тройник к датчику ДМКО-Л-01. Второй выход тройника подключают к входу милливольтметра ВЗ-52/1. Выход датчика МКО подключают с помощью штатного кабеля к входу коммутатора А9 на рис.2.
Измерения проводят на частотах 150 кГц, 1,0 МГц и 5 МГц.
С помощью генератора устанавливают на входе датчика МКО сигнал частотой 150 кГц и СКЗ напряжения Uy = 0,6 В (пиковое значение 115,6 дБмкВ). С помощью приемника 1 измерить пиковое значение напряжения на выходе датчика МКО в следующей последовательности.
Выбирают пункт главного меню Файл | Новый. В открывшемся диалоге «Состав измерительного стенда» выбирают Измерительный приемник. Затем выбирают:
Измеряемая величина - Напряжение помех-,
Методика измерения - ГОСТ30429;
Датчики в первой строке меню датчиков - Коммутатор;
Датчики(и) Коммутатор2, Вход 4 -Датчик МКО.Нажать ОК
В открывшемся окне Настройки санирования/отображения установить:
Диапазон-. ЮОдБ(мкВ);
Опорный уровень: 120 дБ(мкВ);
Центральная частота: 150 кГц (15000 и 30000 кГц);
Полоса обзора: 40 кГц;
Шаг сканирования: Уг полосы пропускания.
Получив изображение спектра на экране компьютера, включают окно Маркеры, устанавливают режим маркеров одинарный.
устанавливают маркер Ml на вершину ближайшей к установленной частоте спектральной составляющей;
В окне Маркеры, одиночный считывают измеренное пиковое значение синусоидального напряжения кондуктивных помех Uh, дБ(мкВ).
Определяют абсолютную погрешность измерения пикового значения синусоидального напряжения кондуктивных помех, как разность Uh - Uy, дБ(мкВ).
Повторяют измерения на остальных частотах.
Результаты измерений считаются положительными, если абсолютная погрешность измерения пикового значения синусоидального напряжения кондуктивных помех находится в пределах ±3 дБ.
6.7 Определение абсолютной погрешности измерений комплексом во временной области пиковых значений синусоидального напряжения (тока) кондуктивных помех
Определение абсолютной погрешности измерений комплексом во временной области пиковых значений синусоидального напряжения (тока) кондуктивных помех для комплекта приемник С9-Л-03 с датчиками (токосъемниками, датчиками напряжения и датчиком МКО) в следующей последовательности:
- определяют погрешность измерения комплексом с токосъемниками ТВ-ТВ-203 ИУПЯ.468557.001, ТВ-203 ИУПЯ.468557.001-01, ТАК-Л-01
ИУПЯ.468556.001 и ТВК-Л-01 ИУПЯ.468556.001-01 пиковых значений синусоидального тока (п. 6.7.1 настоящей методики);
-
- определяют погрешность измерения комплексом с датчиком напряжения ДН-Л-01 ИУПЯ.418131.001 пиковых значений синусоидального напряжения (п.
-
6.7.2 настоящей методики);
-
- определяют погрешность измерения комплексом с датчиком МКО ДМКО-Л-01 ИУПЯ.418131.002 пиковых значений синусоидального напряжения (п. 6.7.3 настоящей методики).
Все токосъемники и датчики должны быть предварительно откалиброваны по методике, изложенной в Приложении 2 к настоящей методике.
Коэффициенты калибровки токосъемников и датчиков должны быть занесены в библиотеку датчиков СПМО.
Структурная схема измерений приведена на рисунке 1 Приложения 1.
6.7.1 Для измерения погрешности измерения комплексом во временной области в комплекте с токосъемниками ТВ-203 ИУПЯ.468557.001 и ТВ-203 ИУПЯ.468557.001-01 пиковых значений синусоидального тока используют устройство для подключения токосъемников к измерительной цепи ИУПЯ.468569.002.
Устанавливают токосъемник в устройство ИУПЯ.468569.002. К входу устройства подключают генератор Agilent 33220А или генератор Г4-164 (для измерения на частотах свыше 3 МГц) и термопреобразователь, к выходу - нагрузку 50 Ом. Выход токосъемника подключают с помощью кабеля N-BNC ИУПЯ.685661.042 ко входу приемника А8 на рис. 1 Приложения. Вольтметром В7-38 контролируют напряжение ТЭДС на выходе термопреобразователя (5,8 мВ).
Для определения погрешности измерения комплексом в комплекте с токосъемниками ТАК-Л-01 ИУПЯ.468556.001 и ТВК-Л-01 ИУПЯ.468556.001-01 синусоидального тока сигнал от генератора через термопреобразователь подают на вход «Калибровка» токосъемника. Выход токосъемника подключают кабеля N-BNC ИУПЯ.685661.042 ко второму входу коммутатора (А8 на рис. 1) комплекса. Вольтметром В7-38 контролируют напряжение ТЭДС на выходе термопреобразователя.
Измерения последовательно повторяются на двух крайних и центральной частотах рабочих диапазонов токосъемников: 20 Гц, 1,5 МГц, 3,0 МГц для токосъемников ТВ-203 ИУПЯ.468557.001 и ТАК-Л-01 ИУПЯ.468556.001 и 3,0 МГц 15 МГц 30 МГц для токосъемников ТВ-203 ИУПЯ.468557.001-01 и ТВК-Л-01 ИУПЯ.468556.001-01.
Установить на выходе генератора первую частоту рабочего диапазона токосъемника. Плавно увеличивать уровень выходного сигнала генератора до достижения показаний милливольтметра, соответствующего СКЗ установленного тока термопреобразователя 1у = 6 мА (75,6 дБ(мкА)) (пиковое значение тока 1п=78,6 дБ(мкА).
С помощью приемника 2 измерить пиковое значение тока через термопреобразователь 1и с учетом калибровки токосъемника в следующей последовательности.
Выбирают пункт главного меню Файл | Новый. В открывшемся диалоге «Состав измерительного стенда» выбирают Осциллограф. Затем выбирают:
Измеряемая величина - Ток помех',
Датчик: не выбран;
Нажать О/С
Развертка по горизонтали
Диапазон 200 мс
Однократная
Нажать кнопку Дополнительно
Установить:
Усиление: 0;
Ослабление: ОЗапускают процесс измерения, выбрав пункт главного меню Измерения ] Старт или нажав на кнопку ЕЙ панели инструментов главного окна.
Получив изображение синусоидального сигнала на экране компьютера, включают окно Маркеры, устанавливают режим маркеров двойной.
Примечание: для повышения точности измерений изображение сигнала можно «растянуть» с помощью правой кнопки мыши. Для чего установить указатель мыши в любой точке экрана и, удерживая нажатой правую кнопку мыши, перемещают указатель влево или вправо. Правую кнопку мыши отпускают.
Измеряют удвоенное пиковое значение входного синусоидального напряжения, для чего:
устанавливают маркеры Ml и М2, соответственно, на вершины положительной и отрицательной полуволн синусоидального сигнала; нажимают кнопку Вычислить в окне Маркеры', считывают значение di, мА.
Определяют измеренное пиковое значение синусоидального тока 1и, дБ(мкА) по следующей формуле:
1и = 201ogio (dI*1000) + К - 6, дБ(мкА);
где К - коэффициент калибровки токосъемника на частоте измеряемого сигнала;
слагаемое минус 6 учитывает удвоенный результат измерения пикового значения синусоидального напряжения.
Повторяют измерения пиковых значений синусоидального тока для остальных частотах рабочего диапазона токосъемника.
Проводят измерения для всех остальных токосъемников.
Определяют абсолютную погрешность измерений пиковых значений синусоидального тока, как разность 1и - 1у, дБ(мкА) для каждой частоты измерений.
Результаты поверки считаются положительными, если абсолютная погрешность измерений пиковых значений синусоидального тока кондуктивных помех находится в пределах ±3 дБ.
-
6.7.2 Для определения погрешности измерения пиковых значений синусоидального напряжения комплексом во временной области в комплекте с датчиком напряжения генератор сигналов произвольной формы Agilent 33220А или генератор ВЧ Г4-164 подключают через ВЧ тройник к датчику напряжения А6 на рисунке 1 Приложения 1. Второй выход тройника подключают ко входу микровольтметра ВЗ-57 (для измерений на частотах до 100 кГц) или милливольтметра ВЗ-52/1 для измерений на частотах свыше 100 кГц). Выход датчика напряжения подключают с помощью штатного кабеля ко входу приемника А8 на рис. 1 Приложения. Измерения последовательно повторяются на двух крайних и центральной частоте рабочего диапазона: 20 Гц, 15 и 30 МГц.
С помощью генератора устанавливают на входе датчика напряжения сигнал частотой 20 Гц и СКЗ напряжения Uy = 600 мВ (115,6 дБ(мкВ). С помощью приемника С9-Л-01 измеряют пиковое значение синусоидального напряжения на выходе датчика в следующей последовательности.
Выбирают пункт главного меню Файл | Новый. В открывшемся диалоге «Состав измерительного стенда» выбирают Осциллограф. Затем выбирают:
Измеряемая величина - Напряжение помех;
Датчик: не выбран;
Нажимают ОК
Развертка по горизонтали
Диапазон 200 мс
Однократная
Нажимают кнопку Дополнительно
У станавливают:
Усиление: 0;
Ослабление: 3 дБ.Запускают процесс измерения, выбрав пункт главного меню Измерения | Старт или нажав на кнопку панели инструментов главного окна.
Получив изображение синусоидального сигнала на экране компьютера, включают окно Маркеры, устанавливают режим маркеров двойной.
Примечание; для повышения точности измерений изображение сигнала можно «растянуть» с помощью правой кнопки мыши. Для чего установить указатель мыши в любой точке экрана и, удерживая нажатой правую кнопку мыши, перемещают указатель влево или вправо. Правую кнопку мыши отпускают.
Измеряют удвоенное пиковое значение входного синусоидального напряжения, для чего: устанавливают маркеры Ml и М2, соответственно, на вершины положительной и отрицательной полуволн синусоидального сигнала; нажимают кнопку Вычислить в окне Маркеры; считывают значение dU— Uh, мВ.
Определяют измеренное пиковое значение синусоидального напряжения по следующей формуле:
Uh = 201ogIO (dU'1000) + К - 6, дБ(мкВ),
Где слагаемое минус 6 учитывает удвоенный результат измерения пикового значения синусоидального напряжения.
Повторяют измерения пиковых значений напряжения на остальных часто
тах.
Определяют абсолютную погрешность измерений пиковых значений синусоидального напряжения, как разность Un-Uy, дБ(мкВ) для каждой частоты измерений.
Результаты поверки считаются положительными, если абсолютная погрешность измерений пиковых значений синусоидального напряжения кондуктивных помех находится в пределах ±3 дБ.
-
6.7.3 Для определения погрешности измерения пикового напряжения кондуктивных помех в комплекте с датчиком МКО ДМКО-Л-01 подключают генератор сигналов произвольной формы Agilent 33220А подключают через ВЧ тройник к датчику ДМКО-Л-01. Второй выход тройника подключают ко входу милливольтметра ВЗ-57. Выход датчика МКО подключают с помощью кабеля N-BNC ИУПЯ.685661.042 к входу приемника А8 на рисунке 1 Приложения 1.
Измерения проводят на частотах 1 кГц, 2,0 МГц и 5 МГц.
На генераторе Agilent 33220А устанавливают частоту выходного сигнала 1 кГц и СКЗ напряжения Uy = 0,6 В (пиковое значение 115,6 дБмкВ).
С помощью приемника С9-Л-01 измеряют пиковое значение синусоидаль-ногонапряжения на выходе датчика МКО в следующей последовательности.
Выбирают пункт главного меню Файл | Новый. В открывшемся диалоге «Состав измерительного стенда» выбирают Осциллограф. Затем выбирают:
Измеряемая величина - Напряжение помех;
Датчик: не выбран;
Нажимают ОК
Развертка по горизонтали
Диапазон 5 мс
Однократная
Нажимают кнопку Дополн ительно
У станав л ивають:
Усиление: 0;
Ослабление: 3 дБ.Запускают процесс измерения, выбрав пункт главного меню Измерения |
Старт или нажав на кнопку
панели инструментов главного окна.
Получив изображение синусоидального сигнала на экране компьютера, включают окно Маркеры, устанавливают режим маркеров двойной.
Примечание: для повышения точности измерений изображение сигнала можно «растянуть» с помощью правой кнопки мыши. Для чего установить указатель мыши в любой точке экрана и, удерживая нажатой правую кнопку мыши, перемещают указатель влево или вправо. Правую кнопку мыши отпускают.
Измеряют удвоенное пиковое значение входного синусоидального напряжения, для чего: устанавливают маркеры Ml и М2, соответственно, на вершины положительной и отрицательной полуволн синусоидального сигнала; нажимают кнопку Вычислить в окне Маркеры, считывают значение dU— Uh, мВ.
Определяют измеренное пиковое значение синусоидального напряжения по следующей формуле:
Uh = 201og10 (dU*1000) + К - 6, дБ(мкВ),
Где слагаемое минус 6 учитывает удвоенный результат измерения пикового значения синусоидального напряжения.
Повторяют измерения пиковых значений синусоидального напряжения на остальных частотах.
Определяют абсолютные погрешности измерений пиковых значений синусоидального напряжения, как разность Uh - Uy, дБ(мкВ) для каждой частоты измерений.
Результаты измерений считаются положительными, если абсолютная погрешность измерений пиковых значений синусоидального напряжения кондуктив-ных помех находится в пределах ±3 дБ.
6.8 Определение КСВН входа
Определение КСВН входа производят в следующей последовательности: -определяют КСВН входа комплекса для схемы измерений во временной области.
- определяют КСВН входа комплекса для схемы измерений в частотной области;
Для определения КСВН входа комплекса для схемы измерений во временной области собирают схему рис. 1 Приложения.
Измерения проводят с помощью автоматизированного измерителя комплексных коэффициентов передачи и отражения (далее - ИККПО) «Обзор-304/1».
ИККПО подключают ко входу приемника (А.8 на рис.1) комплекса.
Перед началом измерений «Обзор 304/1» должен быть откалиброван согласно «Руководству по эксплуатации РЭ 6687-044-21477812-2007»,
Задают режим работы измерителя: опорный уровень сигнала 0 дБм, число точек измерения - 201, полоса ПЧ измерителя 3 кГц, измеряемый диапазон частот: от 300 кГц до 30 МГц.
Результаты поверки считаются положительными, если измеренные значения КСВН не превышают 2,0.
Определяют КСВН входа приемника измерительного П5-Л-03 в составе П5-Л-03, преселектор ФП-Л-02 и коммутатор КП-Л-02.
ИККПО подключают ко входу Вход 1 коммутатора А.8 на рисунке 2 Приложение 1 настоящей программы.
Перед началом измерений «Обзор 304/1» должен быть откалиброван согласно «Руководству по эксплуатации РЭ 6687-044-21477812-2007».
Задают режим работы измерителя: опорный уровень сигнала 0 дБм, число точек измерения - 201, полоса ПЧ измерителя 3 кГц, измеряемый диапазон частот: от 300 кГц до 30 МГц.
Выбирают пункт главного меню Файл | Новый. В открывшемся диалоговом окне «Состав измерительного стенда» выбирают Измерительный приемник. Затем выбирают:
Измеряемая величина - Напряжение помех;
Методика измерения - ГОСТ 30429;
Датчики в первой строке меню датчиков - Коммутатор;
Датчики(и) Коммутатор2 - Вход приемника 1.
Нажимают ОК
Включают последовательно ПФ преселектора:
С помощью ИККПО проводят измерение КСВН приемника на частоте 1,0;

Результаты поверки считаются положительными, если измеренные значения КСВН приемника П5-Л-03 в составе П5-Л-01, преселектор ФП-Л-01, коммтатор КП-Л-02 не превышают значение 2,0.
6.7. Оформление результатов поверки
-
6.7.1. Результаты измерений, полученные в процессе поверки, заносят в протокол произвольной формы.
-
6.7.2 При положительных результатах поверки на прибор выдается «Свидетельство о поверке» установленного образца.
-
6.7.3 При отрицательных результатах поверки на прибор выдается «Извещение о непригодности» установленного образца с указанием причин непригодности.
В.М. Бурмистрова
Ведущий инженер по метрологии отдела № 433
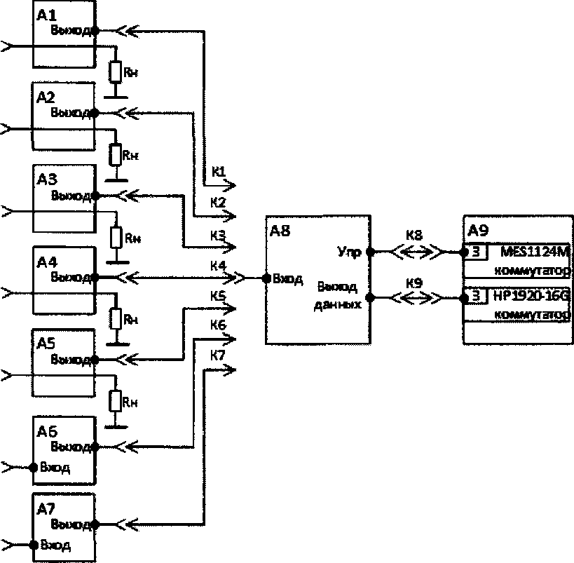
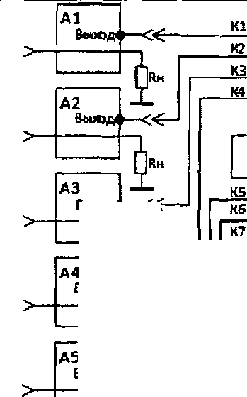
Приложение

Al - Токосъемник ТВ-203 ИУПЯ.468557.001
А2 - Токосъемник ТВ-203 ИУПЯ.468557.001-01
АЗ - Токосъемник ТАК-Л-01 ИУПЯ.4685 56.001
А4 - Токосъемник ТВК-Л-01 ИУПЯ.4685 56.001-
01
А5 - Токосъемник ТВК-Л-01 ИУПЯ.4685 56.001-01
А6 - Датчик напряжения ДН-Л-01
ИУПЯ.418131.001
А7 - Датчик МКО ДМКО-Л-01 ИУПЯ.418132.001
А8 - Приемник 2 С9-Л-03 ИУПЯ.464342.039 А9-АРМ
KI.. .К7 - кабель сигнальный N-BNC
ИУПЯ.685661.042
К8, К9 - Патч-корд RJ-45, кат. 5е, 1,5 м
Rh - сопротивление нагрузки 50 Ом
Рис.1 Основная схема включения оборудования комплекса при проверке измерений во временной области

Выгод! *—<■<-
Выгода—«-
ВыгодО—
А«
Пяк
А8
■»—f Вгод 1 ■>;
-»-^i |ВмпдЗ т>>—н I Вгод 4 Выгод
КЗ
Утр
Вгод 2
К9
А12
>251 MES1124M|
коммутатор
А9
->>—<»Вход 1 Упр< ч >2б]
»—-о Вгод 2
■7»—i1 Вгод 3
■»—о Вгод 4 Выгод ■
А10 »в®д
KID
К11
—1 К14
у пр < I—«"S»~4 ГТ]
К15
> 1 j Н Р192О-1ба
«смймутапц ’
А1 - Токосъемник ТВ-203 ИУПЯ.468557.001
А2 - Токосъемник ТВ-203 ИУПЯ.468557.001-01
АЗ - Токосъемник ТАК-Л-01 ИУПЯ.468556.ОО1
А4 - Токосъемник ТВК-Л-01 ИУПЯ.468556.001-01
А5 - Токосъемник ТВК-Л-01 ИУПЯ.468556.001-01
А6 - Датчик напряжения ДН-Л-01
ИУПЯ.418131.001
А7-Датчик МКОДМКО-Л-01 ИУПЯ.418132.001
А8 - Коммутатор КП-Л-02 ИУПЯ.468361.003
А9 - Коммутатор КП-Л-02 ИУПЯ.468361.003
А10 - Преселектор ФП-Л-02 ИУПЯ.468132.002
All - Приемник 1 П5-Л-03 ИУПЯ.464342.038 А12-АРМ
KI.. .К7 - кабель сигнальный N-BNC
ИУПЯ.685661.042
К8 - Патч-корд оптический LC/UPC SM Duplex 5м К9 - кабель ВЧ соединительный типа «N-N» «AKIP-MN-1,0»
К10 - Патч-корд оптический LC/UPC SM Duplex 5м
KI 1 - кабель сигнальный N-N ИУПЯ.685661.041
К12 - Патч-корд RJ-45, кат. 5е, 1,5 м
К13 - кабель ВЧ соединительный типа «N-N» «AKIP-MN-1,0»
К14, К15 Патч-корд RJ-45, кат. 5е, 1,5 м
К16 - кабель ВЧ соединительный типа «N-N» из комплекта генератора
Rh - сопротивление нагрузки 50 Ом
Рис.2 Основная схема включения оборудования комплекса при проверке измерений в частотной области
-
1. Методика калибровки токосъемников ТВ-203, ТВ- 203/1, ТАК-Л-01, ТВК-Л-01
-
1.1 Характеристики токосъемников
-
Максимальные значения коэффициентов калибровки токосъемников ТВ-203 и ТАК-Л-01 рассчитываются по формуле
К =50 (1-0,11 lgf/fa), дБ
где fa - нижняя частота токосъемника;
f- значение частоты, на которой определяется коэффициент калибровки.
Таблица .1
Частота, кГц |
Коэффициент калибровки, дБ |
Частота, кГц |
Коэффициент калибровки, дБ |
Частота, кГ ц |
Коэффициент калибровки, дБ |
0,01 |
50 |
1,0 |
39 |
100 |
28 |
0,02 |
48,3 |
2,0 |
37,3 |
200 |
26,3 |
0,03 |
47,3 |
3,0 |
36,4 |
300 |
25,4 |
0,05 |
46,2 |
5,0 |
35,1 |
500 |
24,1 |
0,08 |
45,0 |
8,0 |
34,0 |
800 |
23,0 |
0,1 |
44,5 |
10 |
33,5 |
1,0-103 |
22,5 |
0,2 |
42,8 |
20 |
31,8 |
2,0-103 |
20,8 |
0,3 |
41,8 |
30 |
30,9 |
3,0-103 |
19,9 |
0,5 |
40,6 |
50 |
29,7 |
28 | |
0,8 |
39,5 |
80 |
28,5 |
26,3 |
-
1.2 Максимальные значения коэффициентов калибровки токосъемников ТВ-203/1,
ТВК-Л-01 рассчитываются по формуле
К= 15 (1 -0,288 lgf/fa), дБ
Таблица 2
Частота, кГц |
Коэффициент калибровки, дБ |
Частота, кГц |
Коэффициент калибровки, дБ |
Частота, кГц |
Коэффициент калибровки, дБ |
10 |
15 |
200 |
9,4 |
3,0-103 |
4,3 |
20 |
13,7 |
300 |
8,6 |
faO 103 |
3,3 |
30 |
12,9 |
500 |
7,6 |
8,0-103 |
2,5 |
Частота, кГц |
Коэффициент калибровки, дБ |
Частота, кГц |
Коэффициент калибровки, дБ |
Частота, кГц |
Коэффициент калибровки, дБ |
50 |
12 |
800 |
6,8 |
1,0-104 |
2,0 |
80 |
11,1 |
1,0-103 |
6,4 |
2,0-104 |
0,74 |
100 |
10,7 |
2,0-103 |
5,1 |
3,0-104 |
0,0 |
-
1.2 Операции калибровки
-
1.2.1. Внешний осмотр токосъемника
-
1.2.2 Определение коэффициента калибровки
-
1.3 Средства калибровки
-
1.3.1 При проведении калибровки рекомендуется применять средства калибровки, указанные в таблице .3.
Таблица .3
Номер пункта методики |
Наименование рабочего эталона или вспомогательного средства калибровки, номер документа регламентирующего технические требования к средству, разряд по государственной поверочной схеме и (или) метрологические технические характеристики |
1.4.2 |
Генератор сигналов произвольной формы Agilent 33220А 1 мкГц - 20 МГц, ±2*10'5f; 10 мВ - 10 В ±1,0% Генератор сигналов высокочастотный Г4-164 Диапазон частот от 0,14 до 130 МГц, ПГ ±10'6f Селективный микровольметр UNIPAN-237 Диапазон частот от 20 Гц до 100 кГц 0,1. ..100 мВ, ПГ±1,0 дБ Селективный микровольтметр SMV-11 Диапазон частот 0,009...30 МГц,; 0,1... 100 мВ ПГ ± 1,0 дБ Вольтметр универсальный цифровой В7-38 10 мкВ- 20В; ± (0,04+0,02xUn/Ux) %. 10 мкА - 10А КТ ± (0,25+0,02х1п/1х) % Термопребразователь ТВБ-4 Номинальное значение тока 10 мА; ПГ ± 0,5 дБ |
Примечания
-
1. Допускается замена СИ, указанных в таблице Б.2, аналогичными, обеспечивающими необходимую точность измерения.
-
2. Все средства калибровки должны иметь действующие свидетельства о поверке.
-
1.4 Проведение калибровки
-
1.4.1 При внешнем осмотре должно быть установлено соответствие поверяемого токосъемника следующим требованиям: комплектность токосъемника в соответствии с формуляром; отсутствие видимых механических повреждений корпуса; четкая гравировка типа токосъемника и заводского номера; чистота контактных площадок.
-
1.4.2 Измерение коэффициента калибровки токосъемника проводят в следующем порядке:
а) перед измерениями проводят калибровку термопреобразователя - измеряют зависимость ТЭДС термопары от тока подогревателя; процедура калибровки термопреобразователя приведена в п. 1.5;
б) собирают схему в соответствии с рисунком Б.1 или рисунком Б.2; при использовании измерителя с большим входным сопротивлением (UNIPAN-237) присоединяют через тройник СР-50-74 параллельно входу измерителя нагрузочный резистор 50 Ом.
в) устанавливают на генераторе частоту измерения из таблицы 1 или 2;
г) устанавливают на генераторе выходное напряжение, соответствующее значению тока термопреобразователя (1п) в пределах 75 - 78 дБ относительно 1 мкА; контроль тока проводят по показаниям вольтметра В7-38 в соответствии с данными градуировочного графика термопреобразователя;
д) отмечают показание селективного микровольтметра U в дБ относительно 1 мкВ;
е) определят коэффициент калибровки по формуле:
Кизм — In и, дБ;
ж) повторяют измерения на частотах в соответствии с таблицами 1 или 2.

-
1 - генератор сигнала
Agilent 33220А (Г4-164);
-
2 - термопреобразователь ТВБ-4;
-
3 - токосъемник;
-
4 - вольтметр В7-38
-
5 - Селективный микровольтметр
UNIPAN-237 (SMV-11)
Рисунок 1 - Структурная схема измерения коэффициента калибровки токосъемников ТВ-203

-
1 - генератор сигнала
Agilent 33220А (Г4-164);
-
2 - термопреобразователь
ТВБ-4;
-
3 - токосъемник;
-
4 - вольтметр В7-38
-
5 - Селективный микровольтметр UNIPAN-237 (SMV-11)
Рисунок 2 - Структурная схема измерения коэффициента калибровки токосъем ников ТАК-Л-01 и ТВК-Л-01
1.5 Калибровки термопреобразователя
Схема калибровки термопреобразователя приведена на рисунке 3.
1 - источник питания Б5-7;
2, 4 - Вольтметр В7-38
3 - термопреобразователь ТВБ-4
Рисунок ,3 - Схема калибровки термопреобразователя (измерение зависимости ТЭДС от тока подогревателя).
На источнике питания устанавливают значение выходного напряжения, соответствующее току подогревателя ЗмА, 6мА, 8 мА и 10 мА. Ток подогревателя контролируют по показаниям вольтметра В7-38 в режиме измерения тока.
Результаты измерения занести в таблицу (см. таблицу 4) и построить градуировочный график зависимости ТЭДС от тока подогревателя.
Таблица 4
Значение тока, термопреобразователя, мА |
Значение тока термопреобразователя, дБ относительно 1 мкА |
Измеренное значение ТЭДС, мВ |
3,0 |
69.6 | |
6,0 |
75,6 | |
8,0 |
78,1 | |
10,0 |
80,0 |
Коэффициенты калибровки токосъемников заносятся в формуляр и библиотеку датчиков СПМО комплекса.
2 Методика калибровки датчика напряжения ДН-Л-01, датчика МКО ДМКО-Л-01
2.1 Максимальные значения коэффициента калибровки датчика напряжения ДН-Л-01 приведены в таблице 5.
Таблица .5
Частота, кГ ц |
Коэффициент калибровки, дБ |
Частота, кГ ц |
Коэффициент калибровки, дБ |
Частота, кГц |
Коэффициент калибровки, дБ |
0,01 |
57 |
2,0 |
52 |
500 |
52 |
0,02 |
55 |
5,0 |
52 |
1,0-103 |
52 |
0,05 |
52 |
10 |
52 |
2,0-103 |
52 |
од |
52 |
20 |
52 |
з,о-ю3 |
52 |
0,2 |
52 |
50 |
52 |
10,0-103 |
52 |
6,5 |
52 |
100 |
52 |
20,0-103 |
52 |
1,0 |
52 |
200 |
52 |
30,0-103 |
52 |
2.2 Максимальные значения коэффициента калибровки датчика МКО ДМКО-Л-01 приведены в таблице 6.
Таблица 6
Частота, кГц |
Коэффициент калибровки, дБ |
Частота, кГ ц |
Коэффициент калибровки, дБ |
Частота, МГц |
Коэффициент калибровки, ДБ |
1 |
18,5 |
50 |
18,5 |
2 |
18,5 |
5 |
18,5 |
100 |
18,5 |
3 |
18,5 |
10 |
18,5 |
1000 |
18,5 |
5 |
18,5 |
20 |
18,5 |
2.3 Средства калибровки
При проведении калибровки рекомендуется применять средства калибровки, указанные в таблице 7.
Таблица 7
Номер пункта методики |
Наименование рабочего эталона или вспомогательного средства калибровки, номер документа регламентирующего технические требования к средству, разряд по государственной поверочной схеме и (или) метрологические технические характеристики |
2.3.2 |
Генератор сигналов произвольной формы Agilent 33220А 1 мкГц - 20 МГц, ±2xl0'5f; 10 мВ - 10 В ±1,0% Генератор сигналов высокочастотный Г4-164 Диапазон частот от 0,14 до 130 МГц, ПГ ±10'6f Милливольтметр ВЗ-52/1 100 кГц - 1000 МГц, 0,1 - 1000В ±(2,5-4,0)% Микровольтметр ВЗ-57 20 Гц - 5 МГц, 10 мкВ - 300 В, ПГ ±(2,0-4,0)% |
Примечания
1 Допускается замена СИ, указанных в таблице Б. 9, аналогичными, обеспечивающими необходимую точность измерения.
-
2. Все средства калибровки должны иметь действующие свидетельства о поверке.
-
2.4 Операции калибровки
-
2.4.1 Внешний осмотр
-
2.4.2 Определение коэффициента калибровки
-
2.5 Проведение калибровки
-
2.5.1 При внешнем осмотре должно быть установлено соответствие поверяемого датчика напряжения следующим требованиям: комплектность в соответствии с формуляром; отсутствие видимых механических повреждений корпуса; четкая гравировка типа и заводского номера; чистота контактных площадок.
-
2.5.2 Измерение коэффициента калибровки датчика напряжения проводят в следующем порядке:
-
-
а) собирают схему в соответствии с рисунком 4;
г) устанавливают на генераторе напряжение Uc=l В (120 дБмкВ);
д) отмечают показание вольтметра Uh в дБ относительно 1 мкВ;
е) определяют коэффициент калибровки по формуле:
Кизм = Uc - Uh, дБ;
ж) повторяют измерения на частотах в соответствии с таблицей 5 для датчика напряжения ДН-Л-01 или с таблицей 6 для датчика МКО ДМКО-Л-01.

-
1. Генератор сигналов Agilent 33220А (Г4-164)
-
2. Датчик напряжения ДН-Л-01 (ДМКО-Л-01)
-
3. UNIPAN-237 (SMV-11)
Рисунок 4 - Структурная схема измерения коэффициента калибровки датчика напряжения ДН-Л-01, датчика МКО ДМКО-Л-01
Коэффициенты калибровки заносятся в формуляр и библиотеку датчиков СГТМО комплекса
55