Методика поверки «ГСИ. СИСТЕМА ИЗМЕРЕНИЙ КОЛИЧЕСТВА И ПОКАЗАТЕЛЕЙ КАЧЕСТВА НЕФТИ «УЗЕЛ РЕЗЕРВНОЙ СХЕМЫ УЧЕТА СИКН № 437 НПС «РЯЗАНЬ» РЯЗАНСКОГО РНУ»» (МП 0486-14-2016)
ФЕДЕРАЛЬНОЕ АГЕНТСТВО ПО ТЕХНИЧЕСКОМУ РЕГУЛИРОВАНИЮ И МЕТРОЛОГИИ
Федеральное государственное унитарное предприятие «Всероссийский научно-исследовательский институт расходомегрин»
Государственный научный метрологический центр
ФГУП «ВНИИР»
УТВЕРЖДАЮ
Государственная система обеспечения единства измерений
СИСТЕМА ИЗМЕРЕНИЙ КОЛИЧЕСТВА И ПОКАЗАТЕЛЕЙ КАЧЕСТВА
НЕФТИ «УЗЕЛ РЕЗЕРВНОЙ СХЕМЫ УЧЕТА СИКН № 437
НПС «РЯЗАНЬ» РЯЗАНСКОГО РНУ»
Методика поверки
МП 0486-14-2016
Начальник НИО-14 ФГУП «ВНИИР»
______ у'" Р.Н. Груздев
Тел.: (843) 299-72-00
г. Казань
2016
РАЗРАБОТАНА
ИСПОЛНИТЕЛИ
УТВЕРЖДЕНА
ФГУП «ВНИИР»
Груздев Р.Н.. Ягудин И.Р.
ФГУП «ВНИИР»
Настоящая инструкция распространяется на систему измерений количества и показателей качества нефти «Узел резервной схемы учета СИКН № 437 НПС «Рязань» Рязанского РНУ» (далее - СИКН) и устанавливает методику первичной поверки при вводе в эксплуатацию, а также после ремонта и периодической поверки при эксплуатации.
Интервал между поверками системы - 12 месяцев.
Интервал между поверками (калибровками) средств измерений (СИ) из состава СИКН. за исключением термометров ртутных стеклянных лабораторных ТЛ-4 - 12 месяцев.
Интервал между поверками термометров ртутных стеклянных лабораторных ТЛ-4 - 36 месяцев.
1 Операции поверкиПри проведении поверки выполняют операции, приведенные в таблице 1.
Таблица 1
|
Наименование операции |
Номер пункта инструкции |
Проведение операции при | |
|
первичной поверке |
периодической поверке | ||
|
Проверка комплектности технической документации |
6.1 |
Да |
Нет |
|
Подтверждение соответствия программного обеспечения |
6.2 |
Да |
Да |
|
Внешний осмотр |
6.3 |
Да |
Да |
|
Опробование |
6.4 |
Да |
Да |
|
Определение метрологических характеристик |
6.5 |
Да |
Да |
-
2.1 Основное средство поверки СИКН
-
2.1.1 Установка поверочная трубопоршневая двунаправленная ВНР-1900 (далее - ТПУ). максимальный объемный расход нефти через ТПУ 1900 м'/ч, пределы допускаемой относительной погрешности ±0,1 %.
-
2.1.2 При проведении поверки (калибровки) СИ в составе СИКН применяют средства поверки (калибровки), указанные в нормативных документах (НД) на методики поверки (калибровки) СИ, входящих в состав СИКН, приведенных в таблицах 3 и 4 настоящей инструкции.
-
-
2.2 Допускается применение аналогичных средств поверки (калибровки), обеспечивающих определение метрологических характеристик поверяемых СИ с требуемой точностью.
При проведении поверки соблюдают требования, определяемые:
— «Правила безопасности в нефтяной и газовой промышленности» (приказ Ростехнадзора от 12.03.2013 № 101), «Рекомендации по устройству и безопасной эксплуатации технологических трубопроводов» (приказ Федеральной службы по экологическому, технологическому и атомному надзору от 27.12.2012 г. № 784). а также другие действующие отраслевые НД;
-
- правилами безопасности при эксплуатации используемых СИ. приведенными в их эксплуатационной документации;
-
- правилами технической эксплуатации электроустановок;
-
- правилами техники безопасности при эксплуатации электроустановок потребителей.
При проведении поверки соблюдают условия в соответствии с требованиями нормативных документов на методики поверки средств измерений, входящих в состав системы.
Характеристики нефти при проведении поверки должны соответствовать требованиям, приведенным в таблице 2.
Соответствие характеристик нефти значением в таблице 2 проверяют по данным паспорта качества нефти.
Таблица 2
|
Наименование характеристики |
Значение |
|
Диапазон измерений расхода, м3/ч |
от 533 до 3000 |
|
Температура измеряемой среды, °C |
от +3,8 до +18.7 |
|
Давление нефти. МПа
|
0,3 0,6 |
|
Плотность измеряемой среды в рабочем диапазоне температуры нефти, кг/м3 |
от 865,5 до 885,5 |
|
Вязкость кинематическая, мм2/с (сСт) |
от 14 до 36 |
|
Массовая доля воды, %, не более |
1,0 |
|
Содержание свободного газа, % |
не допускается |
Подготовку средств поверки и СИКН осуществляют в соответствии с их эксплуатационной документацией.
6 Проведение поверки-
6.1 Проверка комплектности технической документации.
Проверяют наличие действующих свидетельств о поверке и (или) знаков поверки на СИ. приведенные в таблице 3 настоящей инструкции, действующих сертификатов о калибровке и (или) оттисков калибровочных клейм на СИ, приведенные в таблице 3 настоящей инструкции, а так же эксплуатационно-технической документации на СИКН и СИ. входящие в ее состав.
-
6.2 Подтверждение соответствия программного обеспечения (ПО)
-
6.2.1 При проверке идентификационных данных ПО должно быть установлено соответствие идентификационных данных ПО СИКН сведениям, приведенным в описание типа на СИКН.
-
6.2.2 Определение идентификационных данных Г1О контроллера измерительного FloBoss модели S600+ проводят в соответствии с его руководством пользователя в следующей последовательности:
-
а) включить питание контроллера измерительного FloBoss модели S600+. если питание было выключено;
б) дождаться после включения питания появления на дисплее контроллера измерительного FloBoss модели S600+ главного меню или войти в главное меню;
в) в главном меню нажатием клавиши «5» выбрать пункт меню «5.SYSTEM SETTINGS»;
г) нажатием клавиши «7» выбрать пункт меню «7.SOFTWARE VERSION»:
д) нажатием клавиши «—♦» (стрелка вправо) получить идентификационные данные со следующих экранов:
-
1) «FILE CSUM SW: 0259» - цифровой идентификатор ПО (контрольная сумма);
-
2) «APPLICATION SW» - номер версии ПО контроллера измерительного FloBoss модели S600+ - «06.09е/09е.».
-
6.2.3 Определение идентификационных данных ПО автоматизированного рабочего места (АРМ) оператора УРСУ СИКН № 437 «ГКС РАСХОД НТ УРСУ» проводят следующим образом.
Необходимо открыть окно с отображением идентификационных данных ПО АРМ оператора СИКН, который расположен в верхнем правом углу экрана монитора АРМ оператора СИКН.
Полученные результаты идентификации ПО СИКН должны соответствовать данным указанным в описании типа на СИКН.
В случае, если идентификационные данные ПО СИКН не соответствуют данным указанным в описании типа на СИКН, поверку прекращают. Выясняют и устраняют причины вызвавшие несоответствие. После чего повторно проверяют идентификацию данных ПО СИКН.
-
6.3 Внешний осмотр
При внешнем осмотре должно быть установлено соответствие СИКН следующим требованиям:
-
- комплектность СИКН должна соответствовать технической документации;
-
- на компонентах СИКН не должно быть механических повреждений и дефектов покрытия, ухудшающих внешний вид и препятствующих применению;
-
- надписи и обозначения на компонентах СИКН должны быть четкими и соответствовать технической документации.
-
6.4 Опробование
-
6.4.1 Опробование проводят в соответствии с НД на поверку СИ, входящих в состав СИКН.
-
6.4.2 Проверяют действие и взаимодействие компонентов в соответствии с инструкцией по эксплуатации СИКН, возможность получения отчета.
-
6.4.3 Проверяют герметичность СИКН.
-
На элементах и компонентах СИКН не должно быть следов протечек нефти.
-
6.5 Определение метрологических характеристик
-
6.5.1 Определение метрологических характеристик СИ, входящих в состав СИКН.
-
Определение метрологических характеристик СИ. входящих в состав СИКН, проводят в соответствии с НД, приведенными в таблице 3.
Таблица 3
|
Наименование СИ |
нд |
|
Счетчик ультразвуковой Altosonic V (далее - УЗР) |
Документ «ГСП. Счетчики ультразвуковые ALTOSONIC V фирмы «KROHNE ALTOMETER», Нидерладны. Методика поверки установками поверочными трубопоршневыми» утвержденный ФГУП «ВНИИР» в феврале 2010 г. |
|
Счетчик ультразвуковой Altosonic-5 (далее - УЗР) | |
|
Преобразователи давления измерительные 3051 |
МИ 1997-89 «Рекомендация. ГСИ. Преобразователи давления измерительные. Методика поверки». Документ «ГСИ. Преобразователи давления измерительные 3051. Методика поверки», утвержденный ГЦИ СИ ФГУП ВНИИМС в феврале 2010 г. |
|
Датчики давления «Метран - 150» |
МИ 4212-012-2006 «ГСИ. Датчики давления Метрап-150. Методика поверки». |
|
Преобразователи давления измерительные АИР-20/М2 |
Документ НКГЖ.406233.028МП «Преобразователи давления измерительные АИР-20/М2. Методика поверки» утвержденный ФГУП «ВНИИМС» в октябре 2015 г. Документ НКГЖ.406233.004МП «Преобразователи давления измерительные АИР-20/М2. Методика поверки» утвержденный ФГУП «ВНИИФТРИ» в октябре 2010 г. |
|
Датчики температуры 644 и 3144Р |
Документ «Инструкция. ГСИ. Датчики температуры 644. 3144Р. Методика поверки» утвержденный согласованный ФГУП ВНИИМС в августе 2008 г. Документ «ГСИ. Преобразователи измерительные 248. 644, 3144Р, 3244MV. Методика поверки» утвержденный ФГУП ВНИИМС в октябре 2004 г. |
|
Датчики температуры TMT142R |
Документ МП 63821-16 «Датчики температуры TMT142R. ТМТ142С. TMT162R, ТМТ162С. Методика поверки» утвержденный ФГУП «ВНИИМС» в августе 2015 г. |
|
Терм о п реобраз о вател ь универсальный ТПУ 0304 |
Документ «НКГЖ.411611.001 МП Инструкция. Термопреобразователи универсальные ТПУ 0304. Методика поверки» утвержденный ГЦИ СИ ФГУП «ВНИИФТРИ» в марте 2012 г. |
|
Преобразователи плотности жидкости измерительные модели 7835 |
МИ 2816-2012 «ГСИ. Преобразователи плотности поточные. Методика поверки на месте эксплуатации». МИ 3240-2012 «ГСИ. Преобразователи плотности жидкости поточные. Методика поверки». |
|
Преобразователи плотности и вязкости жидкости измерительные мод. 7829 |
МИ 3302-2010 «Рекомендация. ГСИ. Преобразователи плотности и вязкости жидкости измерительные модели 7827 и 7829. Методика поверки». МИ 3119-2008 «ГСИ. Преобразователи плотности и вязкости жидкости измерительные модели 7827 и 7829. Методика поверки на месте эксплуатации». |
|
Влагомеры нефти поточные УДВН- 1пм |
Документ МП 0309-6-2015 «Инструкция. ГСИ. Влагомеры нефти поточные УДВН-1пм. Методика поверки» утвержденный ФГУП «ВНИИР» в сентябре 2015 г. |
|
Наименование СИ |
НД |
|
Контроллеры измерительные FloBoss модели S600+ (далее - ИВК) |
Документ «Инструкция. ГСИ. Контроллеры измерительные FloBoss модели S600. S600+ фирмы «Emerson Process Management Ltd». Методика поверки», утвержденный ГЦИ СИ ФГУП ВНИИР в марте 2011 г. |
|
Блок обработки данных «VEGA-ОЗ» |
Документ «Блок обработки данных «VEGA-ОЗ». Руководство по эксплуатации 407213.00.00.000 РЭ» раздел «Поверка блока» согласованный с ГЦИ СИ ФГУП ВНИИР в октябре 2000 г. |
|
Термометры ртутные стеклянные лабораторные ТЛ-4 |
ГОСТ 8.279-78 «ГСИ. Термометры стеклянные жидкостные рабочие. Методика поверки». |
|
Манометры МП показывающие |
Документ, методика поверки «Манометры МП, НП. ЭКН и ЭКМ, вакуумметры ВП, ТП, ЭКТ и ЭКВ, мановакууммстры МВП, ТПП, ЭКТН и ЭКМВ, дифманометры ДП и ЭКД показывающие и сигнализирующие», утвержденный ФГУП «ВНИИМС» в феврале 2014 г. |
|
Манометры для точных измерений типа МТИ |
МИ 2124-90 «ГСИ. Манометры, вакуумметры, мановакуумметры, напоромеры, тягомеры, и тягонапоромеры показывающие и самопишущие. Методика поверки». |
|
ТПУ |
МИ 2974-2006 «Рекомендация. ГСИ. Установки поверочные трубопоршневые 2-го разряда. Методика поверки трубопоршневой поверочной установкой 1-го разряда с компаратором». |
СИ не участвующие в определении массы нефти или результаты измерений, которых не влияют на погрешность измерений массы нефти, подлежат калибровке в соответствии с действующими НД. приведенными в таблице 4.
Таблица 4
|
Наименование СИ |
НД |
|
Преобразователи давления измерительные АИР-20/М2 |
Документ НКГЖ.406233.028МП «Преобразователи давления измерительные АИР-20/М2. Методика поверки» утвержденный ФГУП «ВНИИМС» в октябре 2015 г. Документ НКГЖ.406233.004МП «Преобразователи давления измерительные АИР-20/М2. Методика поверки» утвержденный ФГУП «ВНИИФТРИ» в октябре 2010 г. |
|
Датчики разности давления «Метран - 150» |
МИ 4212-012-2006 «Рекомендация. ГСИ. Датчики давления Метран-150. Методика поверки» |
|
Контроллеры программируемые Simatic S7-400 |
МИ 2539-99 «ГСИ. Измерительные каналы контроллеров, измерительно-вычислительных, управляющих, программно-технических комплексов. Методика поверки», утверждена ФГУП ВНИИМС в июне 1999 г. |
|
Расходомер - счетчик ультразвуковой OPTISONIC 3400 |
Документ МП РТ 1849-2014 «Расходомеры-счетчики ультразвуковые OPTISONIC 3400. Методика поверки» утвержденный ГЦИ СИ ФБУ «Ростест Москва» в мае 2014 г. |
-
6.5.2 Определение относительной погрешности измерений массы бругго нефти СИКН
Относительную погрешность измерений массы брутто нефти с применением СИКН ЗМБ. %, в соответствии с ГОСТ Р 8.595 - 2004 «ГСИ. Масса нефти и нефтепродуктов. Общие требования к методикам выполнения измерений», определяют по формуле
ЗМБ = ± 1,1 • ^6V2+G2 • (8р2 +р; -104 • ATj)+p2 104 • AT;+3N2 .

где SV - относительная погрешность измерений объема нефти УЗР. % (из
свидетельства о поверке);
Зр - относительная погрешность измерений плотности нефти. %. вычисляется
по формуле
Зр=Ар.Ю0. (2)
Р
Др - абсолютная погрешность измерений плотности нефти, кг/м3;
Р - минимальное значение плотности нефти из диапазона измерений
плотности СИКН. кг/м3;
ДТ,. ДТ7 - абсолютные погрешности измерений температуры нефти при измерениях плотности и объема соответственно, °C;
Р - коэффициент объемного расширения нефти, 1/°C (определяется по таблице
5);
3N - относительная погрешность ИВК при преобразовании входных
электрических сигналов в значение массы нефти, %;
G - коэффициент, вычисляемый по формуле
g_1+2-P-Tv
(3)
Tp,Tv
- температура нефти при измерениях плотности и объема нефти соответственно,°C.
Таблица 5
|
р, кг/м3 |
р, 1/°С |
р, кг/м1 |
р, 1/°С |
|
860.0 - 869.9 |
0,00079 |
880,0 - 889.9 |
0.00074 |
|
870,0 - 879,9 |
0,00076 |
890.0 - 899,9 |
0,00072 |
Относительная погрешность измерений массы брутто нефти с применением СИКН не должна превышать ±0,25 %.
-
6.5.3 Определение относительной погрешности измерений массы нетто нефти с применением СИКН
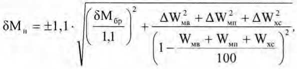
Относительную погрешность измерений массы нетто нефти с применением СИКН ЗМН , %, определяют в соответствии с ГОСТ Р 8.595, по формуле
Относительную погрешность измерений массы нетто нефти ЗМИ, %, вычисляют по формуле


где AWMB
AWMn
AW*
WMB
WMn
Wxc
абсолютная погрешность измерений массовой доли воды. %;
абсолютная погрешность измерений массовой доли механических примесей. %;
абсолютная погрешность измерений массовой доли хлористых солей. %; максимальное значение массовой доли воды в нефти. %;
максимальное значение массовой доли механических примесей в нефти, %; максимальное значение массовой доли хлористых солей в нефти, %.
Абсолютные погрешности измерений массовой доли воды, массовой доли механических примесей, массовой концентрации хлористых солей в нефти по лабораторному методу определяют в соответствии с ГОСТ Р 8.580-2001 «ГСП Определение и применение показателей прецизионности методов испытаний нефтепродуктов».
Для доверительной вероятности Р = 0,95 и двух измерений соответствующего показателя качества нефти абсолютную погрешность его измерений А. %, вычисляют по формуле
Jr2-O,5t2
(5)
где R и г - воспроизводимость и сходимость метода определения соответствующего показателя качества нефти.
Значения воспроизводимости и сходимости определяют:
-
- для массовой доли воды по ГОСТ 2477-65 «Нефть и нефтепродукты. Метод определения содержания воды»;
-
- для массовой доли механических примесей по ГОСТ 6370-83 «Нефть, нефтепродукты и присадки. Методы определения механических примесей»;
-
- для массовой концентрации хлористых солей по ГОСТ 21534-76 «Нефть. Методы определения содержания хлористых солей».
Воспроизводимость метода определения массовой концентрации хлористых солей по ГОСТ 21534 принимают равной удвоенному значению сходимости.
Относительная погрешность измерений массы нетто нефти с применением СИКН не должна превышать ±0,35 %.
7 Оформление результатов поверки-
7.1 При положительных результатах поверки оформляют свидетельство о поверке СИКН в соответствии с документом «Порядок проведения поверки средств измерений, требования к знаку поверки и содержанию свидетельства о поверке», утвержденным Приказом Минпромторга России от 02.07.2015 № 1815 (далее - порядок проведения поверки СИ).
На оборотной стороне свидетельства о поверке СИКН указывают диапазон измерений расхода и пределы допускаемой относительной погрешности измерений массы (брутто, нетто) нефти.
Знак поверки наносится на свидетельство о поверке СИКН.
-
7.2 При отрицательных результатах поверки СИКН к эксплуатации не допускают, свидетельство о поверке аннулируют и выдают извещение о непригодности в соответствии с порядком проведения поверки СИ.
