Методика поверки «ГСИ. Газоанализаторы AГ 0012» (МП-242-1991-2016)
УТВЕРЖДАЮ

осу дарственная система обеспечения единства измерений Газоанализаторы АГ0012 МЕТОДИКА ПОВЕРКИ
МП-242-1991-2016
СОГЛАСОВАНО
Руководитель научно-исследовательско! о о гдела
гос уд арстве н ных этал о н о в в области физико-химических измерений ФГУ11 "В11ИИМ им. Д.И. Менделеева
Санкт-Петербург 2016 г.

Настоящая методика поверки распространяется на газоанализаторы АГ0012. выпускаемые фирмой OU FRANSERMAX / ПО «ФРА1 1СЕРМАХ». Эстония, и устанавливает методы их первичной поверки до ввода в эксплуатацию и после ремонта и периодической поверки в процессе эксплуатации.
Интервал между поверками - один год.
1 Операции поверки-
1.1 При проведении поверки должны быть выполнены операции, укачанные в габлице 1.
Таблица 1 - Операции поверки
|
Наименование операции |
Номер пункта методики поверки |
Проведение операции при | |
|
первичной поверке |
первичной поверке * | ||
|
1 Внешний осмотр |
6.1 |
да |
да |
|
2 Опробование |
6.2 |
да |
да |
|
3 Подтверждение соответствия программного обеспечения |
6.3 |
да |
да |
|
4 Определение метрологических характеристик |
6.4 | ||
|
4.1 Определение основной погрешности |
6.4.1 |
да |
да |
|
4.2 Определение вариации выходного сигнала |
6.4.2 |
да |
нет |
|
4.3 Определение времени установления выходного сигнала |
6.4.3 |
да |
да |
-
1.2 Если при проведении одной из операций получен отрицательный результат, дальнейшая поверка прекращается.
-
2.1 При проведении поверки применяют средства, указанные в таблице 2.
Таблица 2 - Средства поверки
|
11омер пункта методики поверки |
Наименование эталонного средства измерений или вспомогательного средства поверки. номер документа, регламентирующего технические требования к средству, основные метрологические и технические характеристики |
|
6 |
Термометр ртутный стеклянный лабораторный ТЛ-4, ТУ 25-2021.003-88. ГОСТ 28498 90. диапазон измерений ог 0 до 55 °C. цена деления 0.1 °C. пределы допускаемой абсолютной погрешности ± 0.2 °C |
|
Секундомер механический СОПпр. ТУ 25-1894.003-90. класс точности 2 | |
|
Барометр-анероид контрольный М-67 ТУ 2504-1797-75, диапазон измерений давления oi 610 до 790 мм рт.ст., пределы допускаемой абсолютной погрешности ±0.8 мм рт.ст. | |
|
Психрометр аспирационный М-34-М. ТУ 52.07-(ГР11И.405 132.0011-92. диапазон относительной влажности от 10 до 100 % при температуре от 5 до 40°С | |
|
6.4 |
Ротаметр РМ-А-0.063Г УЗ. ГОСТ 13045-81. верхняя граница диапазона измерений объемного расхода 0.063 м3/ч. класс точности 4 |
|
Вентиль точной регулировки ВТР-1 (или В ГР-1-Ml60). диапазон рабочего давления (0-150) кгс/см2. диаметр условного прохода 3 мм | |
|
Вольтметр цифровой универсальный В7-65. ТУ РБ 14559587.038. диапазон измерения силы постоянного гока до 2 А; силы переменного тока до 2 А; сопротивления постоянному гоку 2 ГОм; постоянного напряжения до 1000 В; переменного напряжения до 700 В | |
|
Редуктор баллонный кислородный одноступенчатый БКО-50-4 |
|
11омер пункта методики поверки |
Наименование эталонного средства измерений или вспомогательного средства поверки. номер документа, регламентирующего технические требования к средству, основные метрологические и технические характеристики |
|
6.4 |
Трубка медицинская поливинилхлоридная (ПВХ) но ТУ6-01-2-120-73. 6* 1.5 мм |
|
Поверочный нулевой газ (ИНГ) - воздух марки Б. в баллонах под давлением по ТУ 6 21-5-85 | |
|
Азот газообразный особой чистоты сорт 1 по ГОСТ 9293-74 в баллонах под давлением | |
|
Водород газообразный чистый, сорт 1 по ГОСТ Р 51673-2000 в баллонах под давлением | |
|
Гелий газообразный марка Б по ТУ 0271-135-31323949-2005 в баллонах под давлением | |
|
Кислород газообразный особой чистоты по ТУ 2114-001-05798345-2007 в баллонах под давлением | |
|
Стандартные образцы газовых смесей в баллонах под давлением но ТУ 6-16-2956-92 и ТУ 2114-014-20810646-2014 (характеристики приведены в Приложении А)1 |
Примечании:
-
1 Все эталонные средства измерений, входящие в состав средств поверки, должны имен» действующие свидетельства о поверке, поверочные газовые смеси в баллонах под давлением действующие паспорта.
-
2 Допускается использование других средств поверки, обеспечивающих определение метрологических характеристик с требуемой точностью.
-
3.1 Помещение, в котором проводят поверку, должно быть оборудовано приточновытяжной вентиляцией.
-
3.2 Содержание вредных компонентов в воздухе рабочей юны должны соответо воваи. требованиям ГОСТ 12.1.005-88.
-
3.3 Должны выполняться требования техники безопасности для защиты персонала oi поражения электрическим током согласно классу I ГОСТ 12.2.007.0-75.
-
3.4 Требования техники безопасности при эксплуатации ГС в баллонах под давлением должны соответствовать Федеральным нормам и правилам в области промышленной безопасности "Правила промышленной безопасности опасных производственных объектов, на которых используется оборудование, работающее под избыточным давлением", утвержденным приказом Федеральной службы по экологическому, технологическому и атомному надзору от 25.03.2014 i. № 116.
-
3.5 11е допускается сбрасывать ГС в атмосферу рабочих помещений.
-
3.6 К поверке допускаются лица, изучившие эксплуатационную документацию на ( азоанализаторы и прошедшие необходимый инструктаж.
-
- температура окружающей среды. °C 20 t 5
-
- относительная влажность окружающей среды. % от 30 до 80
-
- атмосферное давление. кПа от 90.6 до 104.8
-
5.1 Выполнить мероприятия по обеспечению условий безопасности.
-
5.2 Проверить наличие паспортов и сроки годности ГС в баллонах под давлением.
-
5.3 Баллоны с ГС выдержать при температуре поверки не менее 24 ч.
-
5.4 Выдержать поверяемые газоанализаторы и средства поверки при температуре поверки в течение не менее 2 ч.
-
5.5 Подготовить поверяемый газоанализатор и средства поверки к работе в соответствии с эксплуатационной документацией.
-
6.1 Внешний осмотр
-
6.1.1 При внешнем осмотре устанавливают соответствие газоанализатора следующим грс-бованиям:
-
-
- соответствие комплектности (при первичной поверке) требованиям эксплуатационной документации
-
- cooi ветствие маркировки требованиям эксплуатационной документации;
-
- газоанализатор не должен иметь повреждений, влияющих на работоспособность.
-
6.1.2 Газоанализатор считают выдержавшим внешний осмотр, если он соответствует указанным выше требованиям.
-
6.2 Опробование
-
6.2.1 При опробовании проверяют общее функционирование газоанализатора. На газоанализатор подается электрическое питание, при этом запускается процедура тестирования.
-
По окончанию процедуры тестирования газоанализатор переходит в режим измерений:
-
- на гоковом выходе газоанализатора имеется унифицированный аналоговый юковыи сигнал (0-5 мА, 0-20 мА или 4-20 мА);
-
- на дисплее газоанализатора отображается измерительная информация.
-
6.2.2 Результат опробования считают положительным, если:
-
- во время тестирования отсутствуют сообщения об отказах,
-
- после окончания времени прогрева газоанализатор переходит в режим измерений.
-
- органы управления газоанализатора функционируют.
-
6.3 Подтверждение соответствия программного обеспечения
Для проверки соответствия ПО выполняют следующие операции:
-проводят визуализацию идентификационных данных ПО газоанализатора (номер версии встроенного ПО отображается в левом нижнем углу программы АО Comm, после подключения к газоанализатору по интерфейсу RS485);
-сравнивают полученные данные с идентификационными данными, установленными при проведении испытаний для целей утверждения типа и указанными в Описании тина газоанализаторов (приложение к Свидетельству об утверждении типа).
Результат подтверждения соответствия ПО считают положительным, если идентификационные данные соответствуют указанным в Описании типа газоанализаторов (приложение к Свиде-гельству об утверждении типа).
-
6.4 Определение метрологических характеристик
-
6.4.1 Определение основной погрешности
-
6.4.1.1 Определение основной погрешности (за исключением газоанализаторов с диапазоном измерений водорода в воздухе от 0 до 3 % об.д.) проводят по схеме рисунка Б. 1 Приложения Б в следующем порядке:
-
-
-
1) Собирают схему, приведенную на рисунке Б. 1.
-
2) Па вход газоанализатора подают ГС (таблица А.1 -Приложения А. соответственно определяемому компоненту) в последовательности:
-
- №№ 1-2 -3-2 1-3 - при первичной поверке:
-
- №№ 1 -2 — 3-1 3 - при периодической поверке:
Время подачи каждой ГС - не менее утроенного предела допускаемого времени установления выходного сигнала по уровню 90 %.
-
3) Фиксируют установившиеся значения выходного сигнала газоанализатора:
-
- по показаниям дисплея газоанализатора;
-
- по показаниям измерительного прибора, подключенного к аналоговому выходу.
-
4) Рассчитывают значение содержания определяемого компонента в i-oii ГС по значению выходного токового сигнала по формулам:
-
- для аналогового выходного сигнала 4-20 мА
-
- для аналогового выходного сигнала 0-20 мА
-
- для аналогового выходного сигнала 0-5 мА
где I, -установившееся значение выходного токового сигнала газоанализатора при пода
че i-ой ГС. мА;
Св. С]|. -верхний и нижний пределы диапазона показаний объемной доли определяемого ком нонен га. %.
-
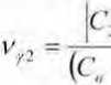
5) Значение основной приведенной погрешности газоанализатора у(. %. рассчитывают по формуле
Yi =
q-cf (Св-Сц)
• 100

где С, - результат измерений содержания определяемого компонента на входе газоана
лизатора. объемная доля. %;
С/1 - действительное значение содержания определяемого компонента в i-ой ГС. объ
емная доля. %.
-
6.4.1.2 Определение основной погрешности (для газоанализаторов с диапазоном измерений водорода в воздухе от 0 до 3 % об.д.) проводят по схеме рисунка Б.1 Приложения Б в следующем порядке:
-
1) Собирают схему, приведенную на рисунке Б.1.
-
2) Па вход газоанализатора подают ГС № 1 (таблица А.1 -Приложения А) в течение не менее утроенного предела допускаемого времени установления выходного сигнала по уровню 90 %.
-
3) Фиксирую! установившиеся значения выходного сигнала газоанализатора:
-
4) На вход газоанализатора подают ИНГ’ - воздух марки Б но ГУ 6-21-5-82 в течение не менее утроенного предела допускаемого времени установления выходного сигнала по уровню 90 "о.
-
5) Фиксирую! установившиеся значения выходного сигнала газоанализатора;
-
6) Рассчитывают значение поправки показаний но формуле:
вОЗ()

(?)
где С\, - показания газоанализатора при подаче 1 С №1. объемная доля водорода. %:
С - показания газоанализатора при подаче ППГ воздух, объемная доля водорода. %.
-
7) 11а вход Iазоанализатора подают ГС (таблица А.1 -Приложения Л) в последовательно-
-
- №№ 1—2-3-2 -1-3 - при первичной поверке;
-
- №№ 1-2-3-1-3 - при периодической поверке:
Время подачи каждой ГС - не менее утроенного предела допускаемого времени усыновления выходного сигнала по уровню 90 %.
-
8) Фиксируют установившиеся значения выходного сигнала газоанализатора:
-
9) Значение основной приведенной погрешности газоанализатора у,-. %. рассчитываю! по формуле
Xi =
(С,+Д)-С;л
(Св-сн)
• 100
(6)
-
6.4.1.3 Результат определения основной погрешности газоанализатора считают положи тельным, если основная погрешность газоанализатора во всех точках поверки нс превышает пределов. указанных в таблице B.I приложения В.
-
6.4.2 Определение вариации выходного сигнала
Определение вариации выходною сигнала допускается проводить одновременно с определением основной погрешности по н. 6.4.1 при подаче ГС Ку 2.
Вариацию выходного сигнала. . в долях ог пределов допускаемой основной приведенной погрешности рассчитывают по формуле

/•'
1 Vi
-------Г------ i UU , ( / ) -О-Го
где С^'.С'У -результат измерений объемной доли определяемого компонента при подходе к точке поверки 2 со стороны больших и меньших значений, %;
у(. % - пределы допускаемой основной приведенной погрешности поверяемого газоанализатора. %.
Результат считают положительным, если вариация выходного сигнала газоанализатора не превышает 0.5.
-
6.4.3 Определение времени установления выходного сигнала
Определение времени установления выходного сигнала допускается проводить одновременно с определением основной погрешности по п.6.4.1 при подаче I С №1 и I С № 3 в следу юще.м порядке:
-
1) подать на газоанализатор ГС № 3. зафиксировать установившееся значение показаний газоанализатора;
-
2) рассчитать значения, равные 0.9 от показаний. полученных в п. 1);
Примечание для газоанализаторов с нижней границей диапазона измерений отличной oi «0» расчет проводить по формуле
С09=(С,-С„)-0.9 (8)
-
3) подать на газоанализатор ГС № 1. дождаться установления показаний газоанализаюра. затем, не подавая ГС на газоанализатор, продуть газовую линию ГС № 3 в течение нс менее 3 мин. подать ГС на газоанализатор и включить секундомер. Зафиксировать время достижения значений показаний газоанализатора, рассчитанных на предыдущем шаге.
Результаты определения времени установления выходного сигнала считают удовлетворительными. если время установления выходного сигнала не превышает, с:
-
- для диапазонов измерений кислорода в водороде от 0 до 1 и от 0 до 2 25
-
- для остальных диапазонов измерений 15
-
7.1 При проведении поверки оформляют протокол результатов поверки (рекомендуемая форма протокола поверки приведена в Приложении Г).
-
7.2 1 азоанализаторы. удовлетворяющие требованиям настоящей методики поверки, признают годными к эксплуатации.
-
7.3 Положительные результаты поверки оформляют свидетельством о поверке установленной формы согласно действующему законодательству Российской Федерации.
-
7.4 Знак поверки наносится на лицевую сторону свидетельства о поверке.
-
7.5 На оборотной стороне свидетельства о поверке должны быть указаны следующие данные:
-
- наименование нормативного документа, в соответствии с которым проведена поверка:
-
- результаты внешнего осмотра;
-
- результаты опробования;
-
- результаты определения метрологических характерно гик с указанием максимальных ша-чений погрешности, полученных в ходе поверки, с указанием заводских номеров измерительных преобразователей;
-
- значения поправочных коэффициентов (при первичной поверке);
-
- подпись поверителя.
-
7.6 При отрицательных результатах поверки эксплуатацию газоанализаторов запрещаю! и выдают извещение о непригодности установленной формы согласно действующему законодательству Российской Федерации с указанием причин непригодности.
11риложение A
(обязательное)
Технические характеристики ГС. используемых при поверке газоанализаторов
Габлица A.I Технические характеристики ГС для поверки газоанализаторов
|
Диапазон измерений объемной доли определяемого компонента |
Номинальное значение объемной доли определяемого компонента в ГС и пределы допускаемого отклонения |
11ределы допускаемой погрешности |
Номер ГС по реестру ГСО или источник ГС | ||
|
ГС № 1 |
ГС №2 |
ГС № 3 | |||
|
Кислород в водороде | |||||
|
От 0 до 1 % |
Водород |
- |
Чистый, сорт 1 по ГОСТ Р 51673-2000 | ||
|
0.5 % об.д. ± 5 % огн. |
0.95 % об.д. ± 5 % отн. |
±1.5 % отн. |
ГСО 10381-2013 (кислород - водород) | ||
|
От 0 до 2 % |
Водород |
• |
Чистый, сорт 1 по ГОСТ Р 51673-2000 | ||
|
1.0 % об.д. ± 5 % огн. |
1.9 % об.д. ± 5 % отн. |
±1.5 % отн. |
ГСО 10381-2013 (кислород - водород) | ||
|
Водород в кислороде | |||||
|
От 0 до 2 % |
Кислород |
• |
О.ч. по ТУ 2114-001 05798345-2007 | ||
|
1.0 % об.д. ± 5 % отн. |
1.9 % об.д. ± 5 % отн. |
±1.5 % отн. |
ГСО 10380-2013 (водород - кислород) | ||
|
Водород в азоте | |||||
|
От 0 до 1 % |
Азот |
- |
О.ч.. сорт 1-й по ГОСТ 9293-74 | ||
|
0.5 % об.д. ± 10% отн. |
х(-2.5Х+2.75) % отн. |
ГСО 10259-2013 (водород - азот) | |||
|
0.95 % об.д. ± 5 % отн. |
±(-0.046Х* 1.523) % отн. |
ГСО 10259-2013 (водород - азот) | |||
|
От 0 до 2 % |
Азот |
* |
О.ч.. сорт 1-й по ГОСТ 9293-74 | ||
|
1 % об.д. ± 5 % our |
1.9 % об.д. ± 5 % отн. |
±(-0.046X4.523) % отн. |
ГСО 10259-2013 (водород - азот) | ||
|
Диапазон измерений объемной доли определяемого компонента |
Номинальное значение объемной доли определяемого компонента в ГС и пределы допускаемого отклонения |
11ределы допускаемой погрешности |
Номер ГС по реестру ГСО или источник ГС | ||
|
ГС № 1 |
ГС № 2 |
ГС № 3 | |||
|
От 0 до 3 % |
Лзот |
- |
О.ч., сорт 1-й по ГОСТ 9293-74 | ||
|
1.5 % об.д. ± 5 % отн. |
±(-0.046X11.523) % отн. |
ГСО 10259-2013 (водород - азот) | |||
|
2.85 % об.д. ± 5 % отн. |
±1 % отн. |
ГСО 10531-2014 (водород - азот) | |||
|
От 0 до 5 % |
Лзот |
- |
О.ч.. сорт 1-й по ГОСТ 9293-74 | ||
|
2.5 % об.д. ± 5 % отн. |
±(-0,046Х+1,523) % отн. |
ГСО 10259-2013 (водород - азот) | |||
|
4.76 % об.д. ± 5 % отн. |
±1 %отн. |
ГСО 10531-2014 (водород - азот) | |||
|
От Одо 10% |
Лзот |
- |
О.ч.. сорт 1-й по ГОСТ 9293-74 | ||
|
5 % об.д. ± 5 % отн. 1 |
±(-0.046X4.523) % отн. |
ГСО 10259-2013 (водород - азот) | |||
|
9.5 % об.д. ± 5 % отн. |
±1 % отн. |
ГСО 10531-2014 (водород - азот) | |||
|
О г 0 до 20 % |
Азот |
- |
О.ч.. сорт 1-й по ГОСТ 9293-74 | ||
|
10 % об.д. ± 5 % отн. |
19 % об.д. ± 5 % отн. |
±(-0.046Х+1.523) % огн. - - - |
ГСО 10259-2013 (водород - азот) | ||
|
От 0 до 60 % |
Лзот |
О.ч.. сорт 1-й по ГОС Г 9293-74 | |||
|
30 % об.д. ± 5 % отн. |
57 % об.д. ± 5 % отн. |
±(-0.008X^0.76) % отн. |
ГСО 10259-2013 (водород - азот) | ||
|
Диапазон измерений объемной доли определяемого компонента |
Номинальное значение объемной доли определяемого компонента в ГС и пределы допускаемого отклонения |
Пределы допускаемой погрешности |
Помер ГС по реестру-ГСО или источник ГС | ||
|
ГС № 1 |
ГС № 2 |
ГС № 3 | |||
|
От 0 до 100 % |
Азот |
- |
О.ч.. сорт 1-й по ГОСТ 9293-74 | ||
|
50 % об.д. ± 5 % отн. |
±(-0.008Х+0,76) % отн. |
ГСО 10259-2013 (водород - азот) | |||
|
97 % об.д. ± 1.5 % отн. |
±(-0.0037Х+0,459) % отн. |
ГСО 10259-2013 (водород - азот) | |||
|
Ог 50 до 100 % |
52.5 % об.д ± 5 % отн. |
±(-0.008Х+0.76) % отн. |
ГСО 10259-2013 (водород - азот) | ||
|
75 % об.д. ± 1.5 % отн. |
97 % об.д. ± 1.5% отн. |
±(-0.0037Х+0.459) % отн. |
ГСО 10259-2013 (водород - азот) | ||
|
От 60 до 100% |
63 % об.д ± 5 % отн. |
±(-0.008Х±0.76) % отн. |
ГСО 10259-2013 (водород - азот) | ||
|
80 % об.д. ± 1.5 % отн. |
97 % об.д. ± 1.5 % отн. |
±(-0.0037Х±0.459) % отн. |
ГСО 10259-2013 (водород - азот) | ||
|
От 80 до 100% |
81.2 % об.д. ± 1.5 % отн |
90 % об.д. ± 1.5% отн. |
±(-0.0037Х+0.459) % отн. |
ГСО 10259-2013 (водород - азот) | |
|
99 % об.д. ± 0.5 % отн. |
±0.1 %отн. |
ГСО 10259-2013 (водород - азот) | |||
|
Оз 90 до 100% |
91.4 % об.д. ± 1.5 % отн |
95 % об.д. ± 1.5 % огн. |
±(-0,003 7Х+0.459) % отн. |
ГСО 10259-2013 (водород - азо г) | |
|
99.5 % об.д. ± 0.5 % отн. |
±0.1 %отн. |
ГСО 10259-2013 (водород - азог) | |||
|
Диапазон измерении объемной доли определяемого компонента |
Номинальное значение объемной доли определяемого компонента в Г'С и пределы допускаемого отклонения |
11ределы допускаемой погрешности |
Номер ГС по реестру ГСО или источник ГС | ||
|
ГС № 1 |
ГС № 2 |
ГС № 3 | |||
|
От 95 до 100 % |
95,5 % об.д. ± 0.5 % огн. |
97.5 % об.д. ± 0.5 % отн. |
±0.04 % отн. |
ГСО 10530-2014 (водород - азот) | |
|
99.75 % об.д. ± 0.05 % отн. |
±0.02% отн. |
ГСО 10531-2014 (водород - азот) | |||
|
Водород в воздухе | |||||
|
От 0 до 1 % |
ИНГ - воздух |
■■ |
Марка Б по ТУ 6-21-5 82 | ||
|
0.5 % об.д. ± 10 % огн. |
±(-2.5Х+2.75) % отн. |
ГСО 10325-2013 (водород - воздух) | |||
|
0.95 % об.д. ± 5 % отн. |
±1.5 % отн. |
ГСО 10325-2013 (водород - воздух) | |||
|
От 0 до 2 % |
ИНГ - воздух |
- |
Марка Б по ТУ 6-21-5 82 | ||
|
1 % об.д. ± 5 % отн. |
1.9 % об.д. ± 5 % отн. |
±1.5 % отн. |
ГСО 10325-2013 (водород - воздух) | ||
|
От 0 до 3 % |
Азот |
- |
О.Ч., сорт 1-й по ГОСТ 9293-74 | ||
|
1.5 % об.д. ± 5 % отн. |
±(-0.046Х± 1.523) % отн. |
ГСО 10259-2013 (водород - азот) | |||
|
2.85 % об.д. ± 5 % отн. |
±1 % отн. |
ГСО 10531-2014 (водород - азот) | |||
|
Гелий в воздухе | |||||
|
01 0 до 5 % |
ИНГ - воздух |
Марка Б но ТУ 6-21-5 82 | |||
|
2.5 % об.д. ± 5 % отн. |
4.75 % об.д. - 5 % отн. |
-(-().046Х+1.523) % отн. |
ГСО 10324-2013 (гелий - воздух) | ||
|
Диапазон измерений объемной доли определяемого компонента |
Поминальное значение объемной доли определяемого компонента в ГС и пределы допускаемого отклонения |
Пределы допускаемой погрешности |
Помер ГС по реестру I CO или источник ГС | ||
|
ГС № 1 |
ГС № 2 |
ГС № 3 | |||
|
От 95 до 100% |
95.5 % об.д. ± 0.5 % отн. |
97.5 % об.д. ± 0.5 % отн. |
±0.1 % отн. |
ГСО 10531-2014 (гелий - воздух) | |
|
99.75 % об.д. ± 0.05 % отн. |
±0.02 % отн. |
1'СО 10531-2014 (гелий - воздух) | |||
|
От Одо 10% |
ИНГ - воздух |
- |
Марка Б по ТУ 6-21-5 82 | ||
|
5.0 % об.д. ± 5 % огн. |
9.5 % об.д. ± 5 % огн. |
±(-0,046Х+1.523) % отн. |
ГСО 10324-2013 (гелий - воздух) | ||
|
От 90 до 100% |
91.4 % об.д. ± 1.5 % отн. |
95 % об.д. ± 1.5 % отн. |
±(-0.0037Х+0.459) % отн. |
ГСО 10531-2014 (гелий - воздух) | |
|
99.5 % об.д. ± 0.5 % отн. |
±0.1 %отн. |
ГСО 10324-2013 (гелий - воздух) | |||
|
Азот в гелии | |||||
|
От 0 до 20 % |
Гелий |
- |
Марка Б по ТУ 0271 135-31323949-2005 | ||
|
10 % об.д. ± 5 % отн. |
19 % об.д. ± 1.5 % отн. |
±(-0.046X4-1,523) % отн. |
10254-2013 (азот - гелий) | ||
|
От 80 до 100% |
81.2 % об.д. ± 5 % отн. |
90 % об.д. ± 1.5 % отн. |
±(-0.0037Х+0.459) % отн. |
10254-2013 (азот - гелий) | |
|
99 % об.д. ± 0.5 % огн. |
±0.10 % огн. |
10254-2013 (азог - гелий) | |||
|
Oi Одо 40% |
Гелий |
- |
Марка Б по ТУ 0271 135-31323949-2005 | ||
|
20 % об.д. ± 5 % отн. |
±(-0.046X^1.523) % отн. |
10254-2013 (азот - гелий) | |||
|
38 % об.д. * 5 % отн. |
±(-0.008Х+0.76) % отн. |
10254-2013 (азот - ге лий ) | |||
|
Диапазон измерений объемной доли определяемого компонента |
Номинальное значение объемной доли определяемо! о компонента в ГС и пределы допускаемого отклонения |
11ределы допускаемой погрешности |
Номер ГС по реестру ГСО или источник ГС | ||
|
ГС № 1 |
ГС №2 |
ГС№3 | |||
|
От 60 до 100 % |
63 % об.д. ± 5 % отн. |
±(-0.008Х+0.76) % отн. |
10254-2013 (азог - гелий) | ||
|
80 % об.д. ± 1.5 % отн. |
±(-0.0037Х+0.459) % отн. |
10254-2013 (азот - гелий) | |||
|
98 % об.д. ± 0.5 % отн. |
±0.10 % отн. |
10254-2013 (азот - гелий) | |||
|
Аргон в водороде | |||||
|
От 97 до 100 % |
97.4 % об.д. ± 0.5 % отн |
98.5 % об.д. ± 0.5 % отн. |
±0.04 % отн. |
ГСО 10530-2014 (аргон - водород) | |
|
99.9 % об.д. ± 0.05 % отн. |
±0.02 % отн. |
ГСО 10531-2014 (аргон - водород) | |||
|
Меган - азот | |||||
|
От 0 до 100 % |
Азот |
- |
О.ч.. сорт 1-й по ГОСТ 9293-74 | ||
|
50 % об.д. ± 5 % отн. |
±(-0.008Х+0.76) % отн. |
ГСО 10256-2013 (метан - азот) | |||
|
95 % об.д. ± 1.5 % отн. |
±( -0.003 7Х+0.459) % отн. |
ГСО 10256-2013 (меган - азот) | |||
|
Диоксид углерода - азот | |||||
|
От Одо 10% |
Азот |
|Г*' |
О.ч.. сорт 1-й по ГОСТ 9293-74 | ||
|
5 % об.д. + 5 % отн. |
9.5 % об д - 5 % отн. |
±(-0,046Х+1.523) % отн. |
ГСО 10241-2013 (диоксид углерода - азот) | ||
|
От 0 до 20 % |
Азот |
О.ч., сорт 1-й по ГОСТ 9293-74 | |||
|
10 % об.д. ± 5 % отн. |
19 % об.д. ± 5 % отн. |
±(-0.046X^1.523) %1 отн. |
ГСО 10241-2013 (диоксид углерода - азот) | ||
|
Диапазон измерений объемной доли определяемою компонента |
11оминальное значение объемной доли определяемого компонента в ГС и пределы допускаемого отклонения |
11ределы допускаемой погрешности |
Номер ГС по реестру ГСО или источник ГС | ||
|
ГС № 1 |
ГС № 2 |
ГС № 3 | |||
|
От 0 до 30 % |
Азот |
- |
О.ч.. сорт 1-й по ГОСТ 9293-74 | ||
|
15 % об.д. ± 5 % огн. |
±(-0.046Х+1.523) % отн. |
ГСО 10241-2013 (диоксид углерода - азот) | |||
|
28.5 % об.д. ± 5 % отн. |
±(-0.008Х+0.76) % отн. |
ГСО 10241-2013 (диоксид углерода - азот) | |||
|
От 0 до 40 % |
Азот |
- |
О.ч.. сорт 1-й по ГОСТ 9293-74 | ||
|
20 % об.д. ± 5 % огн. |
±(-0.046Х+1.523) % отн. |
ГСО 10241-2013 (диоксид углерода - азот) | |||
|
38 % об.д. ± 5 % отн. |
±(-0.008Х+0.76) % отн. |
ГСО 10241-2013 (диоксид углерода - азот) | |||
|
От 0 до 50 % |
Азот |
• |
О.ч.. сорт 1-й по ГОСТ 9293-74 | ||
|
25 % об.д. ± 5 % огн. |
47.6 % об.д. ± 5 % отн. |
±(-0.008Х+0.76) % отн. |
ГСО 10241-2013 (диоксид углерода - азот) | ||
|
От 0 до 60 % |
Азот |
- |
О.ч.. сорт 1-й по ГОСТ 9293-74 | ||
|
30 % об.д. ± 5 % огн. |
57 % об.д. ± 5 % отн. |
±(-0.008Х+0,76) % отн. |
ГСО 10241-2013 (диоксид углерода - азот) | ||
|
От 50 до 100 % |
52.5 % об.д. ± 5 % отн |
х(-0.008Х-0.76) % отн. |
ГСО 10241-2013 (диоксид \ глерода - азот) | ||
|
75 % об.д. ±1.5 % о 1 н. |
±(-0.003 7Х-0.459) % отн. |
ГСО 10241-2013 (диоксид углерода - азот) | |||
|
97.5 % об.д. ± 0.5 % отн. |
±0.10% огн. |
ГСО 10241-2013 (диоксид углерода - азо т) | |||
|
Диапазон измерений объемной доли определяемого компонента |
- - Номинальное значение объемной доли определяемого компонента в ГС и пределы допускаемого отклонения |
Пределы допускаемой погрешности |
Номер ГС по реестр) ГСО или источник ГС | ||
|
ГС № 1 |
ГС № 2 |
ГС № 3 | |||
|
1[римечания:
| |||||
Приложение Б
(обязательное)
Схема подачи Г'С на газоанализаторы АГ0012
.5

-
1 -баллон с ГС:
-
2 редукторе вентилем точной регулировки;
-
3 вентиль точной регулировки;
-
4 индикатор расхода (ротаметр);
-
5 поверяемый газоанализатор;
-
6 - измерительный прибор (вольтметр ци<| ровой).
Рисунок Б.1 Рекомендуемая схема подачи 1С из баллонов под давлением на вход газоанализатора
Приложение В
(обязательное)
Метрологические характеристики газоанализаторов
Таблица В.1 - Диапазоны измерений, пределы допускаемой основной погрешносзи газоанализаторов и состав анализируемой среды
|
Определяемый компо нент |
Диапазон измерений объемной доли определяемого компонента, % |
11ределы допускаемой основной приведенной погрешности *.% |
Состав анализируемой среды |
|
Кислород (О?) |
От 0 до 1 |
±10.0 |
Кислород - водород |
|
От 0 до 2 |
±5.0 | ||
|
Водород (Нз) |
От 0 до 2 |
±4.0 |
Водород - кислород |
|
От 0 до 1 |
±5.0 |
Водород - азот | |
|
От 0 до 2 |
±4.0 | ||
|
От 0 до 3 |
±2.5 | ||
|
От 0 до 5 |
±2.0 | ||
|
От Одо 10 | |||
|
От 0 до 20 | |||
|
От 0 до 60 | |||
|
От 0 до 100 | |||
|
От 50 до 100 | |||
|
От 60 до 100 | |||
|
От 80 до 100 | |||
|
От 90 до 100 |
±2.5 | ||
|
От 95 до 100 | |||
|
От 0 до 1 |
±10.0 |
Воздух рабочей зоны | |
|
От 0 до 2 |
±4.0 | ||
|
От 0 до 3 |
±2.5 | ||
|
Гелий (Не) |
О г 0 до 5 |
±4.0 | |
|
От 95 до 100 | |||
|
От 0 до 10 |
±2.5 | ||
|
От 90 до 100 | |||
|
Азот (N2) |
От 0 до 20 |
±4.0 |
Азот - гелий |
|
От 80 до 100 | |||
|
От 0 до 40 |
±2.5 | ||
|
От 60 до 100 | |||
|
Аргон (Аг) |
От 97 до 100 |
±3.0 |
Аргон - водород |
|
'Метан (С1Н) |
От 0 до 100 |
±2.5 |
Метан - азот |
|
Диоксид углерода (С’Оз) |
От 0 до 10 |
±2.5 |
Диоксид углерода - азо1 |
|
От 0 до 20 | |||
|
От 0 до 30 | |||
|
От 0 до 40 |
+2.0 | ||
|
От 0 до 50 | |||
|
От 0 до 60 | |||
|
От 50 до 100 | |||
|
Примечания:
0.01 % об. д„ свыше 99.99 об.д. - 0.1 % об.д. | |||
11риложениеГ
(рекомендуемое)
Форма протокола поверки
ПРОТОКОЛ ПОВЕРКИ
№_________________ от___
I пт СИ)
-
1) Заводской номер СИ______________________________________________________________________
-
2) Принадлежит______________________________________________________________________
-
3) Наименование изготовителя____________________________________________________________
-
4) Дата выпуска_________________________________________________________________________
-
5) Наименование нормативного документа но поверке_______________________________________
-
6) Наименование, обозначение, заводские номера применяемых средств поверки/ номера паспортов ГС________________________________________________________________________________
-
7) Вид поверки (первичная, периодическая)
(нужное подчеркнуть)
-
8) Условия поверки:
-
- температура окружающей среды____________________________________________________
-
- относительная влажность окружающей среды__________________________________________
-
- атмосферное давление_________________________________________________________________
-
9) Результаты проведения поверки
Внешний осмотр__________________________________________________________________
Он робован ие___________________________________________________________________________
Подтверждение соответствия программного обеспечения____________________________
Определение метрологических характеристик
Определение основной погрешности газоанализаторов
|
11омср ГС (точка поверки) |
Состав ГС' |
Действительное значение объемной доли кислорода в i-ой ГС.% |
Измеренное значение объемной доли кислорода при подаче i-ой ГС. % |
Значение приведенной погрешности, полученное при поверке. % |
Определение времени установления выходного сигнала______________________________________
Определение вариации показаний_______________________________________________________
Вывод:______________________________________________________________________________
Заключение_______________________________. зав. №______________________________________
(тип СИ)
соответствуез предъявляемым требованиям и признано годным (не годным) для эксплуатации.
ФИО и подпись поверителя_________________________________________________________
Выдано свидетельство о поверке_____________________от _
(Выдано извещение о непригодности_____________________ог___)
18
Допускается использование стандартных образцов состава газовых смесей (ГС), нс указанных в Приложении А. при выполнении следующих условий:
-номинальное значение и пределы допускаемого отклонения содержания определяемого компонента в ГС должны соответствовать указанному для соответствующей ГС из Приложения А:
-отношение погрешности, с которой устанавливается содержание компонента в ГС к пределу допускаемой основной погрешности поверяемого газоанализатора, должно быть нс более I 3.
