Методика поверки «Комплекс автоматизированный измерительно-вычислительный ТМСА 8.0 -12.0 Б 059» (МП 165-16-06)
УТВЕРЖДАЮ
Первый заместитель генерального директора -
заместитель

Инструкция Комплекс автоматизированный измерительно-вычислительный ТМСА 8.0 -12.0 Б 059
Методика поверки
165-16-06 МП
2016 г.
СОДЕРЖАНИЕ
-
8.3.1 Определение относительной погрешности измерений амплитудного распределения
-
8.3.2 Определение относительной погрешности измерений относительных уровней
амплитудных диаграмм направленности
-
8.3.3 Определение относительной погрешности измерений коэффициента усиления антенн.... 14
-
8.3.6 Определение сектора углов восстанавливаемых диаграмм направленности
-
1.1 Настоящая методика поверки (далее - МП) устанавливает методы и средства первичной и периодической поверок комплекса автоматизированного измерительно-вычислительного ТМСА 8.0-12.0 Б 059 (далее - комплекс), заводской № 059, изготовленного обществом с ограниченной ответственностью «Научно-производственное предприятие «ТРИМ СШП Измерительные системы» (ООО «НПП «ТРИМ СШП Измерительные системы»), г. Санкт-Петербург.
-
1.2 Первичная поверка комплекса проводится при вводе его в эксплуатацию и после ремонта. Периодическая поверка комплекса проводится в ходе его эксплуатации и хранения.
-
1.3 Поверка комплекса проводится не реже одного раза в 24 (двадцать четыре) месяца и после каждого ремонта.
При проведении поверки комплекса должны быть выполнены операции, указанные в таблице 1.
Таблица 1 - Операции поверки
Наименование операции |
Пункт МП |
Проведение операций при | |
первичной поверке |
периодической поверке | ||
1 Внешний осмотр |
8.1 |
+ |
+ |
2 Опробование |
8.2 |
+ |
+ |
3 Определение метрологических характеристик |
8.3 |
+ |
+ |
3.1 Определение относительной погрешности измерений амплитудного распределения электромагнитного поля и абсолютной погрешности измерений фазового распределения электромагнитного поля |
8.3.1 |
4" |
4- |
3.2 Определение относительной погрешности измерений относительных уровней амплитудных диаграмм |
8.3.2 |
+ |
- |
3.3 Определение относительной погрешности измерений коэффициента усиления антенны |
8.3.3 |
+ |
- |
3.4 Определение диапазона рабочих частот |
8.3.4 |
+ |
- |
3.5 Определение размеров рабочей области сканирования |
8.3.5 |
+ |
- |
3.6 Определение сектора углов измеряемых диаграмм направленности |
8.3.6 |
+ |
- |
-
3.1 При проведении поверки комплекса должны быть применены средства измерений, указанные в таблице 2.
Таблица 2 - Средства измерений для поверки комплекса
Пункт МП |
Наименование и тип (условное обозначение) основного или вспомогательного средства поверки; обозначение нормативного документа, регламентирующего технические требования, и (или) метрологические и основные технические характеристики средства поверки |
8.3.1 -8.3.4, 8.3.6 |
Аттенюатор ступенчатый программируемый 84908М, диапазон частот от 0 до 50 ГГц, диапазон вводимых ослаблений от 0 до 65 дБ с шагом 5 дБ |
8.3.1 -8.3.4, 8.3.6 |
Набор мер коэффициентов передачи и отражения 85056А, диапазон частот от 45 МГц до 50 ГГц |
8.3.1 -8.3.6 |
Система лазерная координатно-измерительная API OMNITRAC, диапазон измерений расстояний от 0 до 40 м, предел допускаемой погрешности измерений расстояний 25 мкм (для расстояния L<10 м), 2,5L мкм (для L> 10 м) |
8.3.1 -8.3.4, 8.3.6 |
Антенный измерительный комплект АИК 1-40Б, диапазон рабочих частот от 0,9 до 40 ГГц, пределы допускаемой погрешности измерений коэффициента усиления ± 1,2 дБ (для антенн П6-140-х), ± 1,8 дБ (для антенн П6-123) |
-
3.2 Допускается использовать аналогичные средства поверки, которые обеспечат измерения соответствующих параметров с требуемой точностью.
-
3.3 Средства поверки должны быть исправны, поверены и иметь свидетельства о поверке.
-
4.1 Поверка должна осуществляться лицами, аттестованными в качестве поверителей в области радиотехнических измерений и имеющим квалификационную группу электробезопасности не ниже третьей.
-
4.2 Перед проведением поверки поверитель должен предварительно ознакомиться с документом «Комплекс автоматизированный измерительно-вычислительный ТМСА 8.0-12.0 Б 059. Руководство по эксплуатации. ТМСА 059. 012. 00Б РЭ».
-
5.1 При проведении поверки должны быть соблюдены все требования безопасности в соответствии с ГОСТ 12.3.019-80 «ССБТ. Испытания и измерения электрические. Общие требования безопасности», а также требования безопасности, приведённые в эксплуатационной документации на составные элементы комплекса и средства поверки.
-
5.2 Размещение и подключение измерительных приборов разрешается производить только при выключенном питании.
6.1 При проведении поверки комплекса должны соблюдаться условия, приведенные в таблице 3.
Таблица 3 - Условия проведения поверки комплекса
Влияющая величина |
Нормальное значение |
Допускаемое отклонение от нормального значения |
Температура окружающей среды, °C |
20 |
±5 |
Относительная влажность воздуха, % |
от 40 до 80 |
— |
Атмосферное давление, кПа |
от 84 до 106,7 |
— |
Напряжение питающей сети переменного тока, В |
220 |
±22 |
Частота питающей сети, Гц |
50 |
±1 |
-
7.1 Проверить наличие эксплуатационной документации и срок действия свидетельств о поверке на средства поверки.
-
7.2 Подготовить средства поверки к проведению измерений в соответствии с руководствами по их эксплуатации.
-
8 ПРОВЕДЕНИЕ ПОВЕРКИ
-
8.1.1 При проведении внешнего осмотра комплекса проверить:
-
- комплектность и маркировку комплекса;
-
- наружную поверхность элементов комплекса, в том числе управляющих и питающих кабелей;
-
- состояние органов управления;
-
8.1.2 Проверку комплектности комплекса проводить сличением действительной комплектности с данными, приведенными в разделе «Комплект поставки» документа «Комплекс автоматизированный измерительно-вычислительный ТМСА 8.0-12.0 Б 059. Паспорт. ТМСА 059. 012. 00Б ПС» (далее - ПС).
-
8.1.3 Проверку маркировки производить путем внешнего осмотра и сличением с данными, приведенными в ПС.
-
8.1.4 Результаты внешнего осмотра считать положительными, если:
-
- комплектность и маркировка комплекса соответствует ПС;
-
- наружная поверхность комплекса не имеет механических повреждений и других дефектов;
-
- управляющие и питающие кабели не имеют механических и электрических повреждений;
-
- органы управления закреплены прочно и без перекосов, действуют плавно и обеспечивают надежную фиксацию;
-
- все надписи на органах управления и индикации четкие и соответствуют их функциональному назначению.
В противном случае результаты внешнего осмотра считать отрицательными, последующие операции поверки не проводить, комплекс признается непригодным к применению.
8.2 Опробование-
8.2.1 Идентификация программного обеспечения (далее - ПО)
-
8.2.1.1 Включить персональные компьютеры (далее - ПК), для чего:
-
-
- на блоке источника бесперебойного питания нажать кнопку ВКЛ;
-
- нажать на системном блоке ПК кнопку включения;
-
- включить монитор.
После загрузки операционной системы WINDOWS 7 на экране монитора ПК наблюдать иконку программы Vector.
Установить далее на ПК программу, позволяющую определять версию и контрольную сумму файла по алгоритму MD5, например, программу «HashTab».
-
8.2.1.2 Выбрать в папке TRIM файл FrequencyMeas.exe, нажать на правую кнопку мыши на файле и выбрать пункт «Свойства». Открыть вкладку «Хеш-суммы файлов». Наблюдать контрольную сумму файла FrequencyMeas.exe по алгоритму MD5. Открыть вкладку «О программе». Наблюдать значение версии файла FrequencyMeas.exe. Результаты наблюдения зафиксировать в рабочем журнале.
-
8.2.1.3 Повторить операции п. 8.2.1.2 для программ NFCalc.exe и AmrView.exe.
-
8.2.1.4 Сравнить полученные контрольные суммы и версии с их значениями, записанными в ПС. Результат сравнения зафиксировать в рабочем журнале.
-
8.2.1.5 Результаты идентификации ПО считать положительными, если полученные идентификационные данные ПО соответствуют значениям, приведенным в таблице 3.
Таблица 3 - Идентификационные данные ПО
Идентификационные данные (признаки) |
Значение | ||
Идентификационное наименование ПО |
F requency Meas ,ехе |
NFCaIc.exe |
AmrView.exe |
Номер версии (идентификационный номер) ПО |
5.1.0.0 |
3.20.1 |
3.16.60612 |
Цифровой идентификатор ПО (контрольная сумма исполняемого кода) |
9DEC2037710B6AB 99B82F25F1200E053 (алгоритм MD5) |
90F2307A43D11220 7504337B9CCA9F24 (алгоритм MD5) |
FAF113F3C83206EB 863D69624F5D3FC0 (алгоритм MD5) |
В противном случае результаты проверки соответствия ПО считать отрицательными, последующие операции поверки не проводить, комплекс признается непригодным к применению.
8.2.2 Проверка работоспособности
-
8.2.2.1 Подготовить комплекс к работе в соответствии с РЭ.
-
8.2.2.2 Проверить работоспособность аппаратуры комплекса путем проверки отсутствия сообщений об ошибках и неисправностях при загрузке программного продукта для измерений в ближней зоне «.FrequencyMeas».
-
8.2.2.3 Проверить работоспособность всех приводов четырехкоординатного Т-сканера:
-
- при перемещении по оси Ох;
-
- при перемещении по оси Оу;
-
- при перемещении по оси Oz;
-
- при вращении каретки зонда в плоскости поляризации.
-
8.2.2.4 Соединить при помощи перемычки соединитель кабеля «вход антенны-зонда» и соединитель кабеля «выход испытываемой антенны». В соответствии с эксплуатационной документацией подготовить к работе векторный анализатор электрических цепей (далее - анализатор) из состава комплекса, перевести его в режим измерений модуля комплексного коэффициента передачи. Установить следующие настройки анализатора:
-
- полоса анализа от 8 до 12 ГГц;
-
- ширина полосы пропускания 1 МГц;
-
- уровень мощности выходного колебания 0 дБ (мВт).
На экране анализатора наблюдать результат измерений частотной зависимости модуля коэффициента передачи. При этом должны отсутствовать резкие изменения полученной характеристики, свидетельствующие о неудовлетворительном состоянии радиочастотного тракта комплекса.
-
8.2.2.5 Результаты поверки считать положительными, если четырехкоординатный Т-сканер обеспечивает перемещение антенны-зонда по осям Ох, Оу, Oz и в плоскости поляризации, на экране анализатора наблюдается результат измерений частотной зависимости модуля коэффициента передачи без резких изменений, а также отсутствует программная или аппаратная сигнализация о неисправностях комплекса.
В противном случае результаты проверки считать отрицательными, последующие операции поверки не проводить, комплекс признается непригодным к применению.
8.3 Определение метрологических характеристик
-
8.3.1 Определение относительной погрешности измерений амплитудного распределения электромагнитного поля и абсолютной погрешности измерений фазового распределения электромагнитного поля
-
8.3.1.1 Относительную погрешность измерений амплитудного распределения электромагнитного поля 8 дБ, определить по формуле (1):
<УЛ=2О18(1 + Л3в), (1)

+ 52 | |
1 3 J |
(2)

(3)
(4)
где &AI - погрешность измерений модуля комплексного коэффициента передачи анализатором из состава комплекса;
0А2- погрешность измерений, обусловленная неидеальной поляризационной развязкой антенн-зондов из состава комплекса;
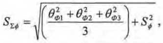
S - среднее квадратическое отклонение результатов измерений амплитудного распределения;
А - результат измерений амплитудного распределения;
А — среднее арифметическое результатов измерений амплитудного распределения;
t - коэффициент Стьюдента для заданного числа реализаций измерений амплитудного распределения.
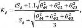
Абсолютную погрешность измерений фазового распределения электромагнитного поля Дф, определить по формуле (5):




-
(5)
-
(6)
(7)
(8)
где вФХ - погрешность измерений фазы комплексного коэффициента передачи анализатором из состава комплекса, рад;
вф2 - погрешность измерений фазы, обусловленная неточностью позиционирования антенны-зонда в плоскости сканирования, рад;
вФг- погрешность измерений фазы, обусловленная случайными перегибами радиочастотного тракта комплекса, рад;
S<p - среднее квадратическое отклонение результатов измерений фазового распределения, рад;
Ф - результат измерений фазового распределения, рад;
(р - среднее арифметическое результатов измерений фазового распределения, рад.
Относительные погрешности измерений амплитудного распределения электромагнитного поля и абсолютные погрешности измерений фазового распределения электромагнитного поля определить при относительных уровнях амплитудного распределения от минус 10 до минус 40 дБ с интервалом 10 дБ при соотношениях сигнал/шум на входе приемного канала анализатора не менее 10 дБ.
Относительные погрешности измерений амплитудного распределения электромагнитного поля и относительные погрешности измерений фазового распределения электромагнитного поля определить на частотах 8; 10; 12 ГГц.
На частотах 8 и 10 ГГц ограничиться формулами (9), (10):
5, =2018(1 + 1.1^=,+^,); (9)
Дф=—1.1Х+9=г+е',. (10)
Я"
Частные составляющие погрешности измерений (слагаемые в выражениях (2), (3), (6), (7)) определить по следующим методикам.
-
8.3.1.2 Относительную погрешность измерений модуля комплексного коэффициента передачи анализатором из состава комплекса определить при помощи аттенюатора 84908М.
В измерительный тракт комплекса внести аттенюатор таким образом, чтобы он соединял разъемы радиочастотных кабелей для подключения испытываемой антенны и антенны-зонда. Ослабление аттенюатора установить равным 0 дБ.
Провести полную двухпортовую калибровку анализатора из состава комплекса в комплекте с штатными радиочастотными кабелями и аттенюатором в диапазоне частот от 8 до 12 ГГц в соответствии с технической документацией на него.
Установить следующие настройки анализатора:
-
- полоса анализа от 8 до 12 ГГц;
-
- ширина полосы пропускания 500 Гц;
-
- режим измерений модуля комплексного коэффициента передачи S21;
-
- количество точек 3601.
Без подачи мощности с порта генератора анализатора провести измерения модуля ком
плексного коэффициента передачи
SY2( f) , дБ. Зафиксировать верхнюю границу АЧХ шума N,
дБ, а также нижний предел измерений модуля коэффициента передачи на уровне (N+10), дБ, что соответствует соотношениям сигнал/шум на входе приемного канала анализатора 10 дБ.
Увеличивая мощность сигнала с порта генератора анализатора, зафиксировать опорный
уровень, при котором обеспечивается условие
512(/)
> (N + 50), дБ.
Изменяя ослабление аттенюатора от 0 до 40 дБ с шагом 10 дБ, провести измерения модуля комплексного коэффициента передачи.
Относительную погрешность измерений модуля комплексного коэффициента передачи на каждой частоте /, указанной в п. 5.1.1, рассчитать как разность (в логарифмических едини
цах) между измеренным значением модуля коэффициента передачи
512Ш
, дБ, и действи
тельным значением ослабления аттенюатора £(/), дБ, записанным в его технической документации (свидетельстве о поверке):
^(/)=S12(Z)-£(/),
(П)
За погрешность 0М для каждого номинала ослабления, соответствующего относительному уровню амплитудного распределения электромагнитного поля М, принять максимальное значение погрешности измерений £?Л1(/) соответствующего номинала ослабления аттенюатора
в установленной полосе частот в линейном масштабе: r
0^ = шах 10
(12)
20 .
Результаты поверки записать в таблицу 4.
Таблица 4 - Результаты оценки погрешности измерений модуля комплексного коэффициента передачи анализатором из состава комплекса
Ослабление аттенюатора L, дБ |
Относительный уровень амплитудного распределения М, дБ |
Погрешность измерений с/ш=10 дБ |
10 |
минус 10 | |
20 |
минус 20 | |
30 |
минус 30 | |
40 |
минус 40 |
-
8.3.1.3 Погрешность измерений, обусловленную неидеальной поляризационной развязкой антенн-зондов из состава комплекса, определить по формуле (13):
0Л2 =(1 + 1Ооши>)2-1, (13)
где кпн - минимальный уровень кроссполяризационной развязки антенн-зондов из состава комплекса, принимаемый равным минус 20 дБ.
-
8.3.1.4 Относительную погрешность измерений фазы комплексного коэффициента передачи векторным анализатором цепей из состава комплекса определить с помощью набора мер коэффициентов передачи и отражения 85056А и аттенюатора 84908М.
В измерительный тракт комплекса внести аттенюатор и меру фазового сдвига из состава набора 85056А таким образом, чтобы они соединяли разъемы радиочастотных кабелей для подключения испытываемой антенны и антенны-зонда. Ослабление аттенюатора установить равным 0 дБ.
Провести полную двухпортовую калибровку анализатора из состава комплекса в комплекте с штатными радиочастотными кабелями, аттенюатором и мерой в диапазоне частот от 8 до 12 ГТц в соответствии с технической документацией на него.
Изменяя ослабление аттенюатора от 0 до 40 дБ с шагом 10 дБ, провести измерения фазы комплексного коэффициента передачи при следующих настройках анализатора:
-
- полоса анализа от 8 до 12 ГГц;
-
- ширина полосы пропускания 500 Гц;
-
- уровень мощности выходного колебания минус 10 дБ (мВт);
-
- режим измерений фазы комплексного коэффициента передачи S21;
-
- количество точек 3601.
Относительную погрешность измерений фазы комплексного коэффициента передачи на каждой частоте /, указанной в п. 5.1.1, рассчитать как разность между измеренным значением
фазы коэффициента передачи arg(Sl 2(/)), рад, и действительным значением установленного фазового сдвига мерыФ<л°(/), рад, записанным в его технической документации:
C’(Z) = arg(S12(Z»-®w(Z), (14)
За погрешность 0Ф1 для каждого номинала относительного уровня фазового распределения электромагнитного поля принять максимальное значение погрешности измерений 0^ (/) соответствующего номинала ослабления аттенюатора в установленной полосе частот: fl<«=inaxfe*’(Z)}. (15)
Результаты поверки записать в таблицу 5.
Таблица 5 - Результаты оценки погрешности измерений фазы комплексного коэффициента передачи анализатором из состава комплекса
Ослабление аттенюатора L, дБ |
Относительный уровень амплитудного распределения М, дБ |
Погрешность измерений с/ш=10 дБ |
10 |
минус 10 | |
20 |
минус 20 | |
30 |
минус 30 | |
40 |
минус 40 |
-
8.3.1.5 Погрешность измерений фазы, обусловленную неточностью позиционирования антенны-зонда в плоскости сканирования, определить с помощью системы лазерной координатно-измерительной API OMNITRAC.
Подготовить комплекс к измерению характеристик антенн в ближней зоне в соответствии с РЭ.
Подготовить систему лазерную координатно-измерительную API OMNITRAC к измерению в соответствии с эксплуатационной документацией на нее.
Оптический отражатель из состава системы лазерной координатно-измерительной API OMNITRAC закрепить на антенну-зонд, установленную на сканере из состава комплекса, в соответствии со схемой, приведенной на рисунке 1.
Я И

1 - антенна-зонд; 2 - оптический отражатель; 3 - система API OMNITRAC; 4 - сканер Рисунок 1 - Схема измерений характеристик позиционирования сканера
С помощью программы ручного управления сканером (рисунок 2) в соответствующей вкладке программного продукта для измерений в ближней зоне «FrequencyMeas» переместить антенну-зонд в крайнее центральное левое положение. Зафиксировать показания API OMNITRAC.
Контроллер движения Приемник Рунов чпрвеление 1 Измерения |
Доступные оси
Г |
X |
g о.оо мм |
у |
0.00 мм | |
гоГ1 |
0.00 град | |
га*12 |
О 00 град |
г-Ручное управление. ОсьХ.-------
Скорость. | 100.000 мм/с
Новая позиция: Г
» I

Рисунок 2 - Меню программы для ручного управления движением сканера
Перемещая антенну-зонд с установленным оптическим отражателем вдоль оси Ох в пределах рабочей зоны сканера с шагом 2т1л/2, где Лти1 - минимальная длина волны, соответствующая верхней границе диапазона рабочих частот комплекса, до срабатывания механического ограничителя, фиксировать показания системы лазерной координатно-измерительной API OMNITRAC.
С помощью программы ручного управления сканером (рисунок 2) в соответствующей вкладке программного продукта для измерений в ближней зоне «FrequencyMeas» переместить антенну-зонд в крайнее центральное нижнее положение. Зафиксировать показания API
OMNITRAC.
Перемещая антенну-зонд с установленным оптическим отражателем вдоль оси Оу в пределах рабочей зоны сканера с шагом 2m)n/2, до срабатывания механического ограничителя, фиксировать показания системы лазерной координатно-измерительной API OMNITRAC.
Рассчитать погрешность позиционирования антенны-зонда как разность между координатами вертикальной плоскости измерений системы лазерной координатно-измерительной API OMNITRAC и измеренными координатами положения антенны-зонда Az, м.
Погрешность измерений фазы Д^(/), рад, обусловленную неточностью позиционирования антенны-зонда в плоскости сканирования, для каждого номинала частоты, указанного в п. 8.3.1.1, оценить по формуле (16):
Ap(Z)=*-Az,
(16)
где к = 2л/2 - волновое число, 1/м;
Л - длина волны, соответствующая частотам, указанным в п. 5.1.1, м.
За погрешность измерений фазы 0Ф2 для каждого номинала частоты, указанного в п.
8.3.1.1, принять среднее квадратическое значение погрешности, определенное по формуле (17):
“У
i=0_______________
(17)
где М - число точек, в которых проводились измерения пространственного положения антенны-зонда.
Размеры рабочей области сканирования по осям Ох и Оу рассчитать как разность между показаниями системы лазерной координатно-измерительной API OMNITRAC в момент срабатывания механического ограничителя сканера и ее показаниями при установке антенны-зонда в крайние положения.
-
8.3.1.6 Погрешность измерений фазы, обусловленную случайными перегибами радиочастотного тракта комплекса определить с помощью набора меры отражения из состава мер коэффициентов передачи и отражения 85056А.
В измерительный тракт комплекса внести меру отражения таким образом, чтобы он замыкал соединитель радиочастотного кабеля для подключения антенны-зонда.
Провести однопортовую калибровку анализатора из состава комплекса в диапазоне частот от 8 до 12 ГГц в соответствии с технической документацией на него.
Провести измерения фазы комплексного коэффициента отражения при следующих настройках анализатора:
-
- полоса анализа от 8 до 12 ГГц;
-
- ширина полосы пропускания 500 Гц;
-
- уровень мощности выходного колебания 10 дБ (мВт);
-
- режим измерений фазы комплексного коэффициента отражения S11.
С помощью программы ручного управления сканером (рисунок 2) в соответствующей вкладке программного продукта для измерений в ближней зоне «NFMeas» переместить антенну-зонд в крайнее нижнее положение.
Перемещая антенну-зонд с установленным оптическим отражателем вдоль оси хОу в пределах рабочей зоны сканера с шагом 20 см, фиксировать показания анализатора.
За оценку погрешности измерений фазы, обусловленную случайными перегибами радиочастотного тракта комплекса, принять разность между максимальным и минимальным значением измеренной фазы комплексного коэффициента отражения на частоте 12 ГГц.
-
8.3.1.7 Оценку среднего квадратического отклонения результатов измерений амплитудного и фазового распределений (АФР) проводить методом прямых измерений с многократными наблюдениями распределения поля, формируемого на плоскости сканирования рупорной антенной П6-140 с коаксиально-волноводным переходом диапазона частот от 8,2 до 12,4 ГГц из состава АИК 1-40Б.
Антенну П6-140 установить на опорно-поворотное устройство в положение, соответствующее вертикальной поляризации, таким образом, чтобы плоскость раскрыва была параллельна плоскости сканирования.
Используя режим ручного или дистанционного управления сканера, установить антенну-зонд соосно с антенной П6-140 в положение, соответствующее вертикальной поляризации.
Расстояние между раскрывами антенны П6-140 и антенны-зонда установить равным в пределах ЗХ, где X - максимальная длина волны измеряемого поддиапазона частот.
Запустить программу измерений в частотной области.
В соответствии с РЭ на комплекс установить полосу частот анализатора от 8 до 12 ГГц, ширину полосы пропускания 100 Гц, шаг перестройки по частоте 2 ГГц, уровень мощности выходного сигнала анализатора 10 дБ (мВт).
Далее установить следующие настройки:
-
- шаг сканирования - не более Х/2;
-
- режим сканирования - непрерывное сканирование без реверса;
-
- поляризация измеряемой антенны — вертикальная;
-
- поляризация зонда - вертикальная;
-
- размеры области сканирования 900 х 400 мм.
Нажать кнопку «НАЧАТЬ ИЗМЕРЕНИЯ».
Измерить АФР не менее 7 раз с интервалом не менее 5 мин (далее по тексту - результаты измерений АФР, полученные в ходе одного сканирования, - реализация).
Запустить программу расчета характеристик антенн по данным в ближнем поле nfcalc.exe, входящую в комплект поставки комплекса. На частоте 12 ГГц рассчитать амплитудные Aj и фазовые ipj распределения, а также среднее квадратическое отклонение результатов измерений амплитудного и фазового распределений по формулам (4) и (8).
-
8.3.1.8 Результаты поверки считать положительными, если значения погрешности измерений амплитудного распределения электромагнитного поля при соотношении сигнал/шум на входе приемного канала анализатора не менее 10 дБ и кроссполяризационной развязке антенны-зонда не менее 20 дБ находятся в следующих пределах для относительных уровней амплитудного распределения:
-
- минус 10 дБ ±0,4 дБ;
-
- минус 20 дБ ±0,5 дБ;
-
- минус 30 дБ ±0,8 дБ;
-
- минус 40 дБ ±1,1 дБ,
а значения погрешности измерений фазового распределения электромагнитного поля при соотношении сигнал/шум на входе приемного канала анализатора не менее 10 дБ находятся в следующих пределах при относительном уровне амплитудного распределения:
-минус 10 дБ |
±5°; |
- минус 20 дБ |
±5°; |
- минус 30 дБ |
±6°; |
- минус 40 дБ |
±7°. |
В противном случае результаты проверки считать отрицательными, последующие операции поверки не проводить, комплекс признается непригодным к применению.
8.3.2 Определение относительной погрешности измерений относительных уровней амплитудных диаграмм направленности-
8.3.2.1 Определение относительной погрешности измерений относительных уровней амплитудных диаграмм направленности (АДН) осуществить методом математического моделирования с учетом результатов, полученных в п. 8.3.1 настоящего документа, путем сравнения невозмущенных амплитудных диаграмм направленности, определенных для антенн с равномерным синфазным распределением токов на апертуре, и тех же диаграмм направленности, но с учетом погрешности измерений амплитудного и фазового распределений (АФР).
-
8.3.2.2 Невозмущенную диаграмму направленности оценить следующим образом.
Размеры плоскости сканирования выбрать из критерия максимального сектора углов восстанавливаемой ДН, равного 60°, по формулам (18), (19):
(18)
(19)
Lx = a + 2Rtg0, Lr =b + 2Rtg(p, где Lx, Ly- размеры плоскости сканирования в соответствующих плоскостях, м; а. Ь - размеры раскрыва в соответствующих плоскостях, м, а = Ь>5Лтах, где 2mai - длина волны, соответствующая частотам 8 и 12 ГГц;
R - измерительное расстояние, R = (3 - 8) Лтах, м;
0, <р- сектор углов восстановленной ДН в соответствующих плоскостях, 0 = <р = 60°.
Интервал дискретизации выбрать равным 0.5Лтах.
Для частоты 8 ГГц пересчитать АФР в раскрыве антенны в АФР на плоскости сканирования по формуле (20):
Л/-1 Л/-1
J(x2.y2)= ЕЕ
л®0 т=0
) .(20) у!(х-х2)г+(у-уг)2 + Я2 *
где J(x2,y2) - АФР на плоскости сканирования;
(х2. ут) — координаты на плоскости сканирования, м; Ао - амплитуда сигнала (Ao = 1 В);
(ро - фаза сигнала (<ро = 0 рад)',
N(M) =
Lx(Lr)
Дх/Aj/
- число шагов сканирования в каждой из плоскостей, где Ах, Ду - шаг ска-
нирования в плоскости X и Y, соответственно.
Рассчитать нормированную амплитудную диаграмму направленности по формуле (21): г- , . I, 2 i
Fi(u,v) = ^l-u -V ---—7.---------!--гт,
(21)
-V
MAX^(J(x2,y2))\y где Ц - модуль комплексной величины;
3 (...) - оператор двумерного дискретного преобразования Фурье;
МАХ - максимальное значение амплитудной диаграммы направленности;
и = sin 0 • cos (р, v = sinO ■ sin (р - угловые координаты.
-
8.3.2.3 Амплитудную диаграмму антенны с учетом погрешности измерений АФР оценить следующим образом.
Значения погрешности измерений амплитудного и фазового распределений для каждого относительного уровня амплитудного распределения М задавать программно с учетом оценки погрешности измерений АФР, полученных в п. 8.3.1, для условия соотношения сигнал/шум 10 дБ:
SA = Norm{0, а2 л) у (22)
кер = Norm(Q,cr * ),
где Norm - генератор случайных величин, распределенных по нормальному закону;
ал - среднее квадратическое отклонение результатов измерений амплитудного распределения
стл = 10™/2,45;
<7^ - среднее квадратическое отклонение результатов измерений фазового распределения ал = Аф/2,45.
Рассчитать амплитудное и фазовое распределения ЭМП на плоскости сканирования с учетом погрешности их измерений по формуле (23):
J* fa > Уг) = |Jfa > У г Ж1 + <W)expG(arg(jfa, у2)) + А ^)). (23)
Аналогичным образом провести расчет «возмущенных» ДИ 7 раз. При каждой последующей реализации воспроизводить новые случайные величины по законам (22).
-
8.3.2.4 Погрешности измерений относительных уровней АДН оценить следующим образом.
Среднее квадратическое отклонение результатов измерений уровней АДН в двух главных сечениях при <р=0 и <р=л/2 рассчитать по формуле (24):

где к - число реализаций моделирования, к =7.
Рассчитать погрешность измерений уровней АДН по формулам (25):
АГ, = ±20 lg(l +2,45<5^).
(25)
Повторить расчеты для частоты 12 ГГц.
-
8.3.2.5 Результаты поверки считать положительными, если значения относительной погрешности измерений относительных уровней амплитудных диаграмм направленности до уровней (при соотношении сигнал/шум на входе приемного канала анализатора не менее 10 дБ, кроссполяризационной развязке антенны-зонда не менее 20 дБ, динамическом диапазоне измеренного амплитудного распределения антенны не менее 40 дБ), не превышают пределов:
±0,4 дБ;
±0,6 дБ;
±1,0 дБ;
±1,4 дБ.
-
- минус 10 дБ
-
- минус 20 дБ
-
- минус 30 дБ
-
- минус 40 дБ
-
В противном случае результаты проверки считать отрицательными, последующие операции поверки не проводить, комплекс признается непригодным к применению.
8.3.3 Определение относительной погрешности измерений коэффициента усилении антенн-
8.3.3.1 Относительную погрешность измерений коэффициента усиления определить расчетным путем при использовании результатов измерений, полученных в п. 8.3.2 настоящей МП.
Относительную погрешность измерений коэффициента усиления 5, дБ, рассчитать по формуле (26):

(26)
где 8i — погрешность измерений АДН до уровней минус 10 дБ;
-
82 - погрешность коэффициента усиления эталонной антенны;
-
83 - погрешность за счет рассогласования.
За погрешность 83 принять максимальное из двух значений, рассчи танных по формулам
(27) и (28):

(27)
где Гэ, Ги, Гк- коэффициенты отражения входов эталонной, испытываемой антенн, входа векторного анализатора цепей из состава комплекса.
Модуль коэффициента отражения связан с коэффициентом стоячей волны по напряжению (КСВН) соотношением (29):

(29)
-
8.3.3.2 При расчетах погрешности за счет рассогласования значение КСВН эталонной антенны, используемой при проведении измерений, не должно превышать 1,2, испытываемой антенны - 2,0, КСВН входа анализатора - 1,2.
-
8.3.3.3 Результаты поверки считать положительными, если значения относительной погрешности измерений коэффициента усиления антенны методом замещения при КСВН испытываемой антенны не более 2 и погрешности измерений коэффициента усиления эталонной антенны, дБ:
0,5 дБ ±0,8 дБ;
0,8 дБ ±1,1 дБ;
-
1,5 дБ ±1,8 дБ;
2,0 дБ ±2,3 дБ.
В противном случае результаты проверки считать отрицательными, последующие операции поверки не проводить, комплекс признается непригодным к применению.
83.4 Определение диапазона рабочих частот-
8.3.4.1 Определение диапазона рабочих частот проводить по результатам определения погрешности измерений амплитудного и фазового распределений.
-
8.3.4.2 Результаты поверки считать положительными, если в диапазоне частот от 8 до 12 ГГц значения относительной погрешности измерений коэффициента усиления находятся в пределах установленных значений (см. п. 8.3.1). В этом случае диапазон частот комплекса составляет от 8 до 12 ГГц.
В противном случае результаты проверки считать отрицательными, последующие операции поверки не проводить, комплекс признается непригодным к применению.
83.5 Определение размеров рабочей области сканирования-
8.3.5.1 Определение размеров рабочей области сканирования осуществить по результатам измерений, выполненных в соответствии с п. 8.3.1.5 настоящей МП.
-
8.3.5.2 Результаты поверки считать положительными, если размеры рабочей области сканирования комплекса (длина х высота) не менее 3,0 х 2,0 м.
В противном случае результаты проверки считать отрицательными, последующие операции поверки не проводить, комплекс признается непригодным к применению.
83.6 Определение сектора углов восстанавливаемых диаграмм направленности-
8.3.6.1 Определение сектора углов восстанавливаемых диаграмм направленности осуществить по результатам определения погрешности измерений по п. 8.3.2.
-
8.3.6.2 Результаты поверки считать положительными и сектор углов восстанавливаемой амплитудной диаграммы направленности в азимутальной и угломестной плоскостях составляет от минус 60° до 60°, если при заданных в п. 8.3.2 условиях моделирования (секторы углов 0 и <р) рассчитанная погрешность измерений уровней АДН не превышает установленных в п. 8.3.2 значений.
В противном случае результаты проверки считать отрицательными и комплекс признается непригодным к применению.
9 ОФОРМЛЕНИЕ РЕЗУЛЬТАТОВ ПОВЕРКИ-
9.1 Комплекс признается годным, если в ходе поверки все результаты поверки положительные.
-
9.2 При положительных результатах поверки оформляют свидетельство о поверке установленной формы.
-
9.3 Если по результатам поверки комплекс признан непригодным к применению, свидетельство о поверке аннулируется и выписывается извещение о непригодности к применению с указанием причин забракования.
Начальник НПО-1 ФГУП «ВНИИФТРИ»

О.В. Каминский
15