Методика поверки «ГСИ. СИСТЕМА ИЗМЕРЕНИЙ КОЛИЧЕСТВА И ПОКАЗАТЕЛЕЙ КАЧЕСТВА НЕФТИ № 18 ПСП ЛПДС «ЮРГАМЫШ»» (МП 0518-14-2016)
Федеральное государственное унитарное предприятие «Всероссийский научно - исследовательский институт расходометрии» (ФГУП «ВНИИР»)
УТВЕРЖДАЮ
Заместитель директора

ИНСТРУКЦИЯ
Государственная система обеспечения единства измерений
СИСТЕМА ИЗМЕРЕНИЙ КОЛИЧЕСТВА И ПОКАЗАТЕЛЕЙ КАЧЕСТВА НЕФТИ № 18 ПСП ЛПДС «ЮРГАМЫШ»
Методика поверки
МП 0518-14-2016
Начальник НИО-14
______1 'г,' Р.Н. Груздев
Тел. отдела: +7 (843) 299-70-52
Казань
2016
Федеральное государственное унитарное предприятие «Всероссийский научно - исследовательский институт расходометрии» (ФГУП «ВНИИР»)
УТВЕРЖДАЮ
Заместитель директора

Тайбинский
ИНСТРУКЦИЯ
Государственная система обеспечения единства измерений
СИСТЕМА ИЗМЕРЕНИЙ КОЛИЧЕСТВА И ПОКАЗАТЕЛЕЙ КАЧЕСТВА НЕФТИ № 18 ПСП ЛПДС «ЮРГАМЫШ»
Методика поверки
МП 0518-14-2016
Начальник НИО-14
_____Р.Н. Груздев
Тел. отдела: +7 (843) 299-70-52
Казань
2016
РАЗРАБОТАНА
ФГУП «ВНИИР»
ИСПОЛНИТЕЛИ
УТВЕРЖДЕНА
Груздев Р.Н., Загидуллин Р.И.
ФГУП «ВНИИР»
Настоящая инструкция распространяется на систему измерений количества и показателей качества нефти № 18 ПСП ЛИДС «Юргамыш» (далее - система) и устанавливает методику первичной (до ввода в эксплуатацию и после ремонта) и периодической (в процессе эксплуатации) поверки.
Интервал между поверками системы - 12 месяцев.
Интервал между поверками (калибровками) средств измерений (СИ) из состава системы:
-
- преобразователи расхода жидкости ультразвуковые DFX-MM (далее - УПР), преобразователи давления измерительные SITRANS Р типа 7MF (DSIII), термопреобразователи сопротивления платиновые серии TR, преобразователи измерительные серии iTEMP модели ТМТ82, преобразователи плотности жидкости измерительные модели 7835, преобразователи плотности и вязкости жидкости измерительные модели 7829, влагомеры нефти поточные УДВН-1пм, расходомер-счетчик ультразвуковой OPTISONIC 3400, комплекс измерительно-вычислительный ИМЦ-07 (далее - ИВК), контроллер программируемый логический PLC Modicon серии Modicon Quantum, манометры МП - не реже 12 месяцев;
-
- термометры ртутные стеклянные лабораторные ТЛ-4 - не реже 36 месяцев.
При проведении поверки выполняют операции, приведенные в таблице 1.
Таблица 1 - Операции поверки
Наименование операции |
Номер пункта документа по поверке |
Проведение операции при | |
первичной поверке |
периодической поверке | ||
Проверка комплектности технической документации |
6.1 |
Да |
Нет |
Подтверждение соответствия программного обеспечения системы |
6.2 |
Да |
Да |
Внешний осмотр |
6.3 |
Да |
Да |
Опробование |
6.4 |
Да |
Да |
Определение метрологических характеристик |
6.5 |
Да |
Да |
-
2.1 Рабочий эталон 1 или 2 разряда по ГОСТ 8.510-2002 «ГСП. Государственная поверочная схема для средств измерений объема и массы жидкости».
-
2.2 Средства поверки, указанные в нормативных документах (НД) на методики поверки СИ, входящих в состав системы, приведенных в таблице 4 настоящей инструкции.
-
2.3 Допускается применять другие аналогичные по назначению средства поверки СИ утвержденных типов, если их метрологические характеристики не уступают указанным в данной инструкции.
-
3.1 При проведении поверки соблюдают требования, определяемые:
- в области охраны труда - Трудовым кодексом Российской Федерации;
-
- в области промышленной безопасности - Федеральными нормами и правилами в области промышленной безопасности «Правила безопасности в нефтяной и газовой промышленности» (приказ Ростехнадзора от 12 марта 2013 г. № 101 «Об утверждении Федеральных норм и правил в области промышленной безопасности «Правила безопасности в нефтяной и газовой промышленности»), Руководством по безопасности «Рекомендации по устройству и безопасной эксплуатации технологических трубопроводов» (приказ № 784 от 27 декабря 2012 г. «Об утверждении Руководства по безопасности «Рекомендации по устройству и безопасной эксплуатации технологических трубопроводов»), а также другими действующими отраслевыми НД;
-
- в области пожарной безопасности - Федеральным законом Российской Федерации от 22 июля 2008 г. № 123-ФЗ «Технический регламент о требованиях пожарной безопасности», Постановлением Правительства Российской Федерации от 25 апреля 2012 г. № 390 «О противопожарном режиме» (вместе с «Правилами противопожарного режима в Российской Федерации»), СНиП 21.01-97 (с изм. № 1, 2) «Пожарная безопасность зданий и сооружений»;
-
- в области соблюдения правильной и безопасной эксплуатации электроустановок -Правилами технической эксплуатации электроустановок потребителей;
-
- в области охраны окружающей среды - Федеральным законом Российской Федерации от 10 января 2002 г. № 7-ФЗ (ред. 12 марта 2014 г.) «Об охране окружающей среды» и другими действующими законодательными актами на территории РФ.
-
3.2 В соответствии с классификацией помещений и наружных установок по взрывопожарной и пожарной опасности согласно Свода правил СП 12.13130.2009 «Определение категории помещений, зданий и наружных установок по взрывопожарной и пожарной опасности» помещение блок-бокса блока измерений показателей качества нефти (далее - БИК) относится к категории А, площадка блока измерительных линий (БИЛ) и узла подключения передвижной поверочной установки (ПУ) - Ан, операторная - Д, по классу взрывоопасных зон согласно Правилам устройства электроустановок - помещение блок-бокса БИК относится к классу В-1а, площадка БИЛ и узла подключения передвижной ПУ -В-1г, согласно ГОСТ 30852.9-2002 (МЭК 60079-10:1995) «Электрооборудование взрывозащищенное. Часть 10. Классификация взрывоопасных зон» система относится к классу 2. В соответствии с ГОСТ 30852.11-2002 (МЭК 60079-12:1978) «Электрооборудование взрывозащищенное. Часть 12. Классификация смесей газов и паров с воздухом по безопасным экспериментальным максимальным зазорам и минимальным воспламеняющим токам» нефть относится к категории взрывоопасносной смеси - ПА. В соответствии с ГОСТ 30852.5-2002 (МЭК 60079-4:1975) Электрооборудование взрывозащищенное. Часть 4. Метод определения температуры самовоспламенения» нефть относится к группе взрывоопасной смеси ТЗ.
-
3.3 Площадка системы должна содержаться в чистоте без следов нефти и должна быть оборудована первичными средствами пожаротушения согласно Правил противопожарного режима в Российской Федерации.
-
3.4 СИ и вспомогательные устройства, применяемые при выполнении измерений, должны иметь взрывозащищенное исполнение в соответствии с требованиями ГОСТ 30852.0-2002 «Электрооборудование взрывозащищённое. Часть 0. Общие требования».
-
3.5 Вторичную аппаратуру и щиты управления относят к действующим электроустановкам с напряжением до 1000 В, на которые распространяются Правила технической эксплуатации электроустановок потребителей, Правила устройства электроустановок.
-
3.6 В целях безопасной эксплуатации и технического обслуживания системы разрабатываются инструкция по эксплуатации системы, инструкции по видам работ, регламент взаимоотношений между диспетчерскими службами принимающей и сдающей сторон.
Условия поверки
При проведении поверки соблюдают условия в соответствии с требованиями НД на методики поверки СИ, входящих в состав системы.
Характеристики системы и параметры измеряемой среды при проведении поверки должны соответствовать требованиям, приведенным в таблице 2.
Соответствие параметров измеряемой среды, указанных в таблице 2, проверяют по
данным актов приема-сдачи нефти.
Таблица 2 - Характеристики системы и параметры измеряемой среды
Наименование характеристики |
Значение характеристики |
Количество измерительных линий, шт. |
6 (три рабочие, две резервные, одна контрольная) |
Диапазон измерений расхода нефти, м3/ч |
от 4624 до 12387 |
Параметры измеряемой среды: | |
Измеряемая среда |
нефть, соответствующая требованиям ГОСТ Р 51858-2002 «Нефть. Общие технические условия» |
Диапазон давления нефти, МПа |
от 0,22 до 1,57 |
Диапазон температуры нефти, °C |
от 10,0 до 29,5 |
Диапазон плотности нефти при рабочих условиях, кг/м3 |
от 856,0 до 885,0 |
Диапазон вязкости нефти кинематической в рабочем диапазоне температуры, сСт |
от 8 до 35 |
Массовая доля воды, %, не более |
0,5 |
Массовая доля механических примесей, %, не более |
0,05 |
Массовая концентрация хлористых солей, мг/дм3, не более |
100 |
Давление насыщенных паров нефти, кПа (мм рт.ст.), не более |
66,7(500) |
Массовая доля сероводорода, млн'1 (ppm), не более |
20 |
Массовая доля парафина, %, не более |
6 |
Массовая доля серы, %, не более |
1,8 |
Содержание свободного газа |
не допускается |
Режим работы системы |
непрерывный, автоматизированный |
Окончание таблицы 2 Характеристики системы и параметры измеряемой среды
Наименование характеристики |
Значение характеристики |
Параметры электрического питания:
|
220+22, 380+38 50+1 |
Условия эксплуатации:
|
от -40 до +40 от +15 до +25 |
При подготовке к поверке проводят работы в соответствии с инструкцией по эксплуатации системы и НД на методики поверки СИ, входящих в состав системы.
5 Проведение поверки-
6.1 Проверка комплектности технической документации
Проверяют наличие действующих свидетельств о поверке и эксплуатационнотехнической документации на СИ, входящие в состав системы.
-
6.2 Подтверждение соответствия программного обеспечения (ПО) системы
-
6.2.1 Проверяют соответствие идентификационных данных ПО системы сведениям, приведенным в описании типа на систему.
При проведении проверки идентификационных данных ПО проверяют соответствие номера версии и идентификационного наименования ПО, указанного в описании типа.
Для просмотра идентификационных данных ПО комплексов измерительновычислительных ИМЦ-07 необходимо выбрать меню «Основные параметры» —*■ «Просмотр» —> «О программе».
Для просмотра идентификационных данных ПО «Форвард» необходимо выбрать меню «О программе».
Таблица 3 - Идентификационные данные ПО
Идентификационные данные (признаки) |
Значения | |||
ПО «ФОРВАРД» |
ПО ИМЦ-07 | |||
Идентификационное наименование ПО |
ArmA.dll |
ArmMX.dll |
ArmF.dll |
EMC07.exe |
Номер версии (идентификационный номер ПО) |
4.0.0.1 |
4.0.0.1 |
4.0.0.1 |
РХ.7000.01.01 |
Цифровой идентификатор ПО |
8B71AF71 |
30747EDB |
F8F39210 |
7A70F3CC |
Результаты проверки считаются удовлетворительными, если показания средств измерений устойчивые, значения параметров лежат в установленном пределе и в списке внештатных ситуаций отсутствуют информация о сбоях системы, а идентификационные данные ПО соответствуют приведенным в таблице 3.
6.3 Внешний осмотр
При внешнем осмотре должно быть установлено соответствие системы следующим требованиям:
-
- комплектность системы должна соответствовать технической документации;
-
- на компонентах системы не должно быть механических повреждений и дефектов покрытия, ухудшающих внешний вид и препятствующих их применению;
-
- надписи и обозначения на компонентах системы должны быть четкими и соответствовать технической документации.
-
6.4 Опробование
-
6.4.1 Опробование проводят в соответствии с НД на методику поверку СИ, входящих в состав системы.
-
6.4.2 Проверяют действие и взаимодействие компонентов системы в соответствии с инструкцией по эксплуатации системы, возможность получения отчета.
-
6.4.3 Проверяют герметичность системы.
На элементах и компонентах системы не должно быть следов протечек нефти.
-
6.5 Определение метрологических характеристик
-
6.5.1 Определение метрологических характеристик СИ, входящих в состав системы, проводят в соответствии с НД, приведенными в таблице 4, или в описании типа на
соответствующий тип СИ, с учетом требований, предъявляемых к системе. Таблица 4 - СИ и методики их поверки
Наименование СИ |
НД |
УПР |
МИ 3265-2010 «Рекомендация. ГСИ. Ультразвуковые преобразователи расхода. Методика поверки на месте эксплуатации» МИ 3287-2010 «Рекомендация. ГСИ. Преобразователи объемного расхода. Методика поверки» |
Преобразователи давления измерительные SITRANS Р типа 7MF (DSIII) |
МП 45743-10 «Преобразователи давления измерительные SITRANS Р серии 7MF (модификации DSIII, DSIII РА, DSIII FF, РЗОО, Р300РА, РЗОО FF, Compact, MPS, Р250, Р280). Методика поверки» |
Т ермопреобразователи сопротивления платиновые серии TR |
МП 49519-12 «Термопреобразователи сопротивления платиновые серии TR, TST. Методика поверки» |
Преобразователи измерительные серии iTEMP модели ТМТ82 |
МП 50138-12 «Преобразователи измерительные серии iTEMP модели ТМТ80, ТМТ82, ТМТ111. Методика поверки» |
Преобразователи плотности жидкости измерительные модели 7835 (далее - ПП) |
МИ 2816-2012 «Рекомендация. ГСИ. Преобразователи плотности поточные. Методика поверки на месте эксплуатации» МИ 3240-2012 «Рекомендация. ГСИ. Преобразователи плотности жидкости поточные. Методика поверки» |
Окончание таблицы 4 - СИ и методики их поверки
Наименование СИ |
нд |
Преобразователи плотности и вязкости жидкости измерительные модели 7829 |
МИ 3001-2006 «Рекомендация. ГСИ. Преобразователи плотности и вязкости жидкости поточные моделей 7827 и 7829 фирмы «Solatron Mobrey Limited». Методика поверки в динамическом режиме» МИ 3119-2008 «Преобразователи плотности и вязкости жидкости измерительные модели 7827 и 7829. Методика поверки на месте эксплуатации» МИ 3302-2010 «Преобразователи плотности и вязкости жидкости измерительные модели 7827 и 7829.Методика поверки» |
Влагомеры нефти поточные УДВН-1пм |
МИ 2366-2005 «Рекомендация. ГСИ. Влагомеры нефти типа УДВН. Методика поверки» |
Комплексы измерительно-вычислительные ИМЦ-07 (далее - ИВК) |
МИ 3395-2013 «Рекомендация. ГСИ. Комплексы измерительно-вычислительные ИМЦ-07. Методика поверки» |
Контроллер программируемый логический PLC Modicon серии Modicon Quantum |
МП-2203-0076-2007 «Контроллеры программируемые логические PLC Modicon. Методика поверки» |
Манометры МП |
МП 59554-14 «Манометры МП, НП, ЭКИ и ЭКМ, вакуумметры ВП, ТП, ЭКТ и ЭКВ, мановакуумметры МВП, ТИП, ЭКТН и ЭКМВ, дифманометры ДП и ЭКД показывающие и сигнализирующие» |
Термометры ртутные стеклянные лабораторные ТЛ-4 |
ГОСТ 8.279-78 «ГСИ. Термометры стеклянные жидкостные рабочие. Методика поверки» |
Расходомер-счетчик ультразвуковой OPTISONIC 3400 |
МП РТ 1849-2014 «Расходомеры-счетчики ультразвуковые OPTISONIC 3400. Методика поверки» |
Расходомер-счетчик ультразвуковой OPTISONIC 3400, установленный в БИК, преобразователи давления измерительные SITRANS Р типа 7MF (DSIII), предназначенные для измерений разности давления допускается калибровать не реже одного раза в год. При отсутствии методики калибровки калибровку проводят по методике поверки.
Все операции, связанные с подготовкой и проведением поверки, выполняют в соответствии с НД на методики поверки, приведенными в таблице 4.
-
6.5.2 Определение относительной погрешности системы при измерении массы брутто нефти.
Относительную погрешность системы при измерении массы брутто нефти 8М,., %, в соответствии с ГОСТ Р 8.595-2004 «ГСП. Масса нефти и нефтепродуктов. Общие требования к методикам выполнения измерений» при косвенном методе динамических измерений и 8
измерении объема нефти с применением УПР и плотности нефти с применением ПП, ареометра или лабораторного плотномера при приведении результатов измерений объема и плотности нефти к стандартным условиям вычисляют по формуле
8Мб = ±1,1 х+ О2х(Д2+/?2хЮ4хДГ2) + /?2хЮ4хДГ2 + Д2 , (1)
где 8V - относительная погрешность измерений объема нефти, %. За 8V принимают относительную погрешность УПР.
G - коэффициент, вычисляемый по формуле
с=1 + 2х£хГ
1 + 2х^х7;
где Р - коэффициент объемного расширения нефти, 1/°С (приложение А ГОСТ Р 8.595);
Tp,Tv - температура нефти на момент поверки при измерениях плотности и объема нефти соответственно,°C;
8р - пределы допускаемой относительной погрешности измерений плотности нефти с применением ПП или ареометра, %, вычисляют по формуле
8р=^-*100 (3)
Р min
где Ар - пределы допускаемой абсолютной погрешности ПП или ареометра, кг/м3;
Ртт ~ нижний предел рабочего диапазона плотности нефти, кг/м3;
ДГ , АТ,. - абсолютные погрешности измерений температуры Тр.Т,., °C;
8Ы - пределы допускаемой относительной погрешности преобразования входных электрических сигналов ИВК в значения массы брутто нефти, %.
Поверку УПР на месте эксплуатации в рабочем диапазоне измерений объемного расхода выполняют в автоматизированном режиме с применением установки поверочной трубопоршневой двунаправленной (далее - ТПУ).
Значения относительных и абсолютных погрешностей составляющих формулы (1) подтверждают свидетельствами об утверждении типа СИ и действующими свидетельствами о поверке.
Относительная погрешность системы при измерении массы брутто нефти не должна превышать ± 0,25 %.
-
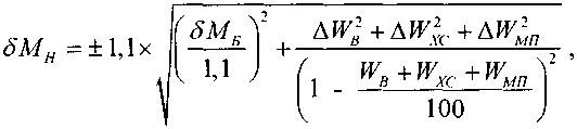
6.5.3 Определение относительной погрешности системы при измерении массы нетто нефти.
Относительную погрешность системы при измерении массы нетто нефти 8МН, %,
вычисляют по формуле

(4)
где AJV„ - абсолютная погрешность измерений массовой доли воды в лаборатории, %, вычисляют по формуле (7);
А1ТШ - абсолютная погрешность измерений массовой доли механических примесей в нефти, %;
AWXC ~ абсолютная погрешность измерений массовой доли хлористых солей в нефти, %,
вычисляемая по формуле
ЫГК =0,1х^К-,
(5)
Рн
где А(рхс - абсолютная погрешность измерений массовой концентрации хлористых солей в нефти, мг/дм3;
рх - плотность нефти при условиях измерений <рхс , кг/м3.
WB - массовая доля воды в нефти, определенная в лаборатории, %;
WMn - массовая доля механических примесей в нефти, %, определенная в лаборатории;
Wxc - массовая доля хлористых солей в нефти, %, определенная в лаборатории и
вычисляемая по формуле
(6)
в нефти, мг/дм , определенная в
V/ = о 1 х ~хс-vv ХС V, 1 А
Рн
где <рхс - массовая концентрация хлористых солей лаборатории.
Абсолютную погрешность измерений массовой доли воды, массовой концентрации хлористых солей и массовой доли механических примесей в нефти определяют в соответствии с ГОСТ Р 8.580-2001 «ГСП. Определение и применение показателей точности методов испытаний нефтепродуктов».
Для доверительной вероятности Р = 0,95 и двух измерений соответствующего показателя качества нефти абсолютную погрешность его измерений вычисляют по формуле
V2
(7)
где R и г - воспроизводимость и сходимость метода определения соответствующего показателя качества нефти, значения которых приведены в ГОСТ 2477-65 «Нефть и нефтепродукты. Метод определения содержания воды», ГОСТ 21534-76 «Нефть. Методы определения содержания хлористых солей», ГОСТ 6370-83 «Нефть, нефтепродукты и присадки. Метод определения механических примесей».
Воспроизводимость R метода определения концентрации хлористых солей по ГОСТ 21534 принимают равной удвоенному значению сходимости г.
Относительная погрешность измерений массы нетто нефти не должна превышать ± 0,35 %.
-
6.5.4 Если на СИ, входящее в состав СИКН, имеются действующие свидетельства о поверке, то определение метрологических характеристик СИКН проводят по результатам их поверки.
Оформление результатов поверки
-
6.6 При положительных результатах поверки оформляют свидетельство о поверке системы по форме Приложения 1 к Порядку проведения поверки средств измерений, требований к знаку поверки и содержанию свидетельства о поверке, утвержденному приказом Минпромторга России от 2 июля 2015 г. № 1815.
На оборотной стороне свидетельства о поверке системы указывают диапазон измерений объемного расхода и пределы допускаемой относительной погрешности измерений массы (брутто, нетто) нефти.
-
6.7 При отрицательных результатах поверки систему к эксплуатации не допускают, свидетельство о поверке аннулируют и выдают извещение о непригодности по форме Приложения 2 к Порядку проведения поверки средств измерений, требованиям к знаку поверки и содержанию свидетельства о поверке, утвержденному приказом Минпромторга России от 2 июля 2015 г. № 1815.
11