Методика поверки «ПРИБОР ДЛЯ ИЗМЕРЕНИЯ И АНАЛИЗА ВИБРАЦИИ МНОГОКАНАЛЬНЫЙ СЕРИИ «АТЛАНТ-ХХ»» (МП 4277-088-12025123-2016 )
УТВЕРЖДАЮ
УТВЕРЖДАЮ
Заместитель директора по производственной метрологии ФГУП «ВНИИМС»
Директор
ООО ПВФ «Вибро-Центр»

Д.В. Германенко
201 г.

Методика проверки
4277-088-12025123-2016 МП
г. Пермь
2016
Настоящая методика проверки распространяется на приборы для измерения и анализа вибрации многоканальные «Атлант-ХХ» (далее по тексту - приборы).
Интервал между поверками - 1 год
1 ОПЕРАЦИИ ПОВЕРКИ
-
1.1 При проведении поверки должны выполняться операции, указанные в таблице 1.
Таблица 1 - Операции, проводимые при поверке
Наименование операции |
Номер пункта МП |
Обязательность проведения операции при проверках | |
первичной |
периодической | ||
Внешний осмотр |
7.1 |
да |
да |
Опробование |
7.2 |
да |
да |
Определение основной относительной погрешности в рабочем диапазоне амплитуд |
7.3 |
да |
да |
Определение неравномерности АЧХ |
7.4 |
да |
да |
-
1.2 Допускается проводить поверку для тех диапазонов измерения и характеристик вибрации, которые требуются при эксплуатации.
2 СРЕДСТВА ПОВЕРКИ
-
2.1 При проведении поверки должны применяться средства, указанные в таблице 2. Возможно применение средств измерений и оборудования других типов, имеющих аналогичные основные характеристики.
Таблица 2 - Применяемые средства измерений
Номер пункта поверки |
Наименование и тип основного и вспомогательного средства поверки, обозначение документа, регламентирующего технические требования и (или) метрологические и основные технические характеристики |
7.2 |
Установка поверочная 2 -го разряда по ГОСТ Р 8.800-2012. |
7.3 |
Установка поверочная 2 -го разряда по ГОСТ Р 8.800-2012. |
7.4 |
Установка поверочная 2 -го разряда по ГОСТ Р 8.800-2012. |
Допускается применение аналогичных средств поверки, обеспечивающих определение метрологических характеристик поверяемых СИ с требуемой точностью.
3 ТРЕБОВАНИЯ К КВАЛИФИКАЦИИ ПОВЕРИТЕЛЕЙ
-
3.1 К поверке допускаются лица, аттестованные по месту работы в соответствии с правилами ПР 50.2.012-94, прошедшие обучение и имеющие свидетельство (удостоверение) и аттестат поверителя.
4 ТРЕБОВАНИЯ БЕЗОПАСНОСТИ
При проведении поверки должны быть соблюдены следующие требования безопасности:
-
- при обслуживании, испытаниях приборов следует соблюдать «Правила устройства
электроустановок», «Правила технической эксплуатации электроустановок потребителей», утвержденные Госэнергонадзором;
-
- к работе с аппаратурой должны допускаться лица не моложе 18 лет, прошедшие
инструктаж и обучение безопасным методам труда, проверку знаний правил безопасности труда и пожарной безопасности;
-
- лица, допущенные к работе, должны проходить ежегодную проверку знаний по
технике безопасности.
5 УСЛОВИЯ ПРОВЕДЕНИЯ ПОВЕРКИ И ПОДГОТОВКА К НЕЙ
При проведении поверки должны соблюдаться следующие условия:
-
- температура окружающего воздуха плюс (20±5) °C;
-
- относительная влажность от 30 до 80 %;
-
- атмосферное давление от 84 до 106,7 кПа
Подготовка к проверке приборов и контрольной аппаратуры должна соответствовать требованиям эксплуатационной документации на них.
6 ПОДГОТОВКА К ПРОВЕДЕНИЮ ПОВЕРКИ
-
6.1 Средства поверки подготавливают к работе согласно указаниям, приведенным в соответствующих эксплуатационных документах.
-
6.2 До проведения поверки поверителю надлежит ознакомиться с эксплуатационной документацией на приборы и входящих в комплект компонентов.
7 ПОРЯДОК ПРОВЕДЕНИЯ ПОВЕРКИ
-
7.1 Внешний осмотр. При проведении внешнего осмотра должно быть установлено соответствие поверяемого прибора следующим требованиям:
-
- прибор должен быть укомплектован в соответствии с листом комплектации;
-
- должны отсутствовать дефекты и повреждения, влияющие на работу прибора или ухудшающие внешний вид.
-
7.2 Опробование. Производится согласно паспорту на прибор.
При опробовании прибора необходимо произвести следующие операции:
-
- подключить к прибору датчики из комплекта поставки в соответствии с паспортом прибора;
-
- подключить прибор к персональному компьютеру (ПК);
С помощью ярлыка "Atlant” на Рабочем столе или в Главном меню запустите программу

Привязка объекта и создание конфигурации прибора
Привязка объекта делается один раз перед началом поверки.
В окне “Работа с архивом информации” кликните левой кнопкой мыши (ЛКМ) на “Atlant”.
Затем правой кнопкой мыши (ПКМ) вызовите меню и выберите “Привязка предприятия”

Введите “Наименование предприятия” и нажмите кнопку Ок
[Atlant

Встаньте на предприятие (“vc”) и нажмите ПКМ. Выберите пункт “Привязка агрегата”

тр сигналов тр информации
-|п|х| | |||||
Файл Она Помощь |
ш --- -1 ® | te ’ |
d |
"J г |
ig ■ 1 | |
9 Ресурс питания : 100 % |
| .- • - .»-ж О | |
♦ - |
♦ • |
г л |
Jnlx
с архивом
Исправить наименование предприятия Дл-*+4ое примечэьме
агрегата
ГОеязка цеха
новьй файл марирута

Отметить
Сбросить все пометки
Выберите
-
1 Свободный формат
-
2 Свободный формат-09
-
3 Введите "Технологический индекс” агрегата
Нажмите кнопку Ок
Группы оборудования
w Atlant
A VC
Турбоагрегаты
Насосы с алектроприводом Насосы с турбоприводом Л
I формат-03
[Свободный формат-06
Свободный формат-09
iJi«?PQO-<a мпрессоры Подшипники качения
Свободный формат
Свободный формат-12 ^а^одный формат-15 Сео'. _д.и11| ф1|) uni ill Свободный формат-21 Свободный формагг-24 Свободный формэт-27
Паспорт
В Новый
у ] + Добавить
✓
ок
X Отмена |
? Помощь
Встаньте на агрегат (“vc”) и по ГПСМ выберите меню “Новый файл конфигурации прибора”

Файл Окна Помощь
Л-1 -1 «*! ? »’1 |
Я L • |
J®]r • -| |
‘1 I Г г |
Я «| * - | |
9 Ресурс питания : 100 % |
• - |
- Ч L |
I Работа с архивом ^формации
Sr О- 5 I 0’1»’

Гросмотр каскада сыналов
Момлторигг агрегата кХторт отналов
Экспертиза система “Диана" Построение тренда замеров

Создать файл конфыурзцрм из шаблона новые характермстки насоса
Уд&гитъ агрегат
Отметить
Сбросить все пометки
1
2
-
3
-
4
Наименование - Поверка1
Регистрируемый параметр - Виброускорение
Шаг -0.1; Число отсчётов - 8192
В нижнем списке заполняем список каналов - кликните ЛКМ по строке 1В
[конфигурация гуибора_______________
Файд хранения

ic Частота: шаг
1.221
[3906.25
|32ОО
✓ |
ОК |
X |
Отмена |
7 |
Помощь |
’« Л©
Число линий в спектре
Pl Датчики
чЯШаблон

i Всс^Отм
$ Стереть
I 1 Цикл

I 1 Ц.+ Отм
Отметьте “Включить в регистрацию”
Датчик - номер датчика из Свидетельства о поверке для данного Номер канала - канал прибора Атлант
Нажмите кнопку Ок
канала
;?м»,ям..мч
дамдивяи
Виртуальный прибор
Наименование [Поверка!
Параметры регистрации
Регистрируемый параметр | Сигнал
Параметры временного сигнала
Тил [Регистрация
.fkf


Шаг
Параметры для 1В
X|F21
Длительность выборки
Число отсчетов
Дополнительные параметр Тип запуска
Датчик 134908
Задержка запуска
Канал запуска
Номер цикла чтения F1
Номер канала [1

от уоо.ня
1?1 Датчики
(^Шаблон
Примечание
I--------------------------------------------

✓
ОК
✓ ОК
Протокол включения датчь ЧИСЛО ЦИКЛО1

X Отмена
X Отмена
*? Помощь
3 Стереть
♦ 1Ц.+ Отм
♦ Все*Отм
Далее кликните ЛКМ на строку “1П”
^Конфигурация гуибора
XJ
Виртуальный прибор
Наименование (Поверка!
Параметры регистрации
Регистрируемый параметр |Сигнал
Параметры временного сигнала
Файл хранения
3 |з161020
Jkf

Шаг
| (Виброускоренис
Параметры спектра
Длительность выборки
l°J |
Частота: шаг |
|1Л21 | ||
|г19 1 |
з«« |
Д® |
|3?Э6.25 |
Число линий в спектре
8192
Число отсчетов
_ | |||||
Дополнительные параметры регистрации |
■ ■ | ||||
Тип запуска |
(Свободный |
3 |
Тип усреднения |
(без усреднения |
3 |
Задержка запуска |
I О.СООСО С |
Число усреднений |
к 3 | ||
Канал запуска |
1Канал 1 |
3 |
Порог запуска (200 |
от уровня |
Шаблон


К*!
Аналогично заполните параметры для канала 2
Параметры для 1П
R Включить в регистрацию

Примечание

X Отмена
Заполните строки для всех 8 каналов Нажмите кнопку “ОК
? Помощь

Тип [Регистрация
X Отмена
*7 Помощь
S) Датчики
Шаблон
d
Параметры регистрации —-—
Регистрируемый параметр |Сигнал
Виртуальный прибор
Наименование |Поверка1
____ Файл хранения
Конфигурация приЬО|
|з161020

ж | |виброускорсние
Параметры временного |
:игнала |
Параметры спектра | |
Шаг |
|о_1 -I мс |
Частота: шаг |
3 Гч |
Длительность выборки |
|8ИД -| ис |
До |
13906.25 Н Гц |
Число отсчетов |
|8192 -| |
Число линий в спектре |
|3200 J |
Дополнительные параметры регистрации | |||||
Тип запуска |
Свободный |
d |
Тип усреднения |
[без усреднения |
d |
Задержка запуска |
0.00000 с |
Число усреднений |
I1 d | ||
Канал запуска |
Канол 1 |
d |
Порог запуска |200 |
от уровня |
Протокол включения датчиков

Выберите ЛКМ конфигурацию “Поверка 1”
Вызовите ПКМ меню и выберите “Создать такой-же файл конфигурации прибора”
.JOj-Xj
? ш»
2 Ресурс питания : 100 'Л

<1
о Atlant
- A vc

Поверка!
просмотр информации
Начать чтение замера

раеить Файл конфигурации
лл конфигурац>

Сбросить все пометки
Исправьте наименование на “Поверка2” Регистрируемый параметр - на виброскорость Нажмите кнопку “ОК”


Файл хранения
31610200
ие Поверка2
X Отмена
7 Помощь
w А
- А
Шаг
Длительность выборки
Датчики
|3192
Число отсчетов
Шаблон
Наимсно
конфигурация прибора
Виртуальный
Параметры per и
Регистрируемый параметр |Сигнал Параметры временного сигнала

Дополнительные параметры регистрации Тип запуска | Свободный
Задержка запуска
Канал запуска
| Свободный
| О.ССООО с
|Канал 1
Число усреднений
Порог запуска |200
^1 Тип усреднения



3 Стереть | |
1 Цикл | |
♦ |
Все |
1Ц.+ Отм | |
♦ |
Все+Отм |
Выберите ещё раз пункт “Создать такой-же файл конфигурации прибора”

Файл
гг > | ®| м |
-1 ф |
.=s |
■ |
fe 1 | |||
2 Ресурс питания : 100 % |
>1 ♦ ■* ♦ |
- |
?• * • | ||||
Il Работа с архивом информации |
jpjxl |




® Atlant

Поверка!
Просмотр информации
Начать чтение замера
файл конфигурации

Файл конфигурации прибора
" -у.-’’; '
Сбросить все пометки
Исправьте наименование на “ПоверкаЗ” Регистрируемый параметр - на виброперемещение Нажмите кнопку “ОК”
[конфигурация прибора
- Виртуальный
Наймем

Параметры р
Регистрируемый параметр {Сигнал
Параметры временного сигнала
Шаг
Тип


X Отмена
7 Помощь
Длительность выборки
мс
| мс
До
Число отсчетов
Число линий в спектре
Дополнительные параметры регистрации | |||||
Тип запуска |
{Свободный |
Тип усреднения |
[Без усреднения |
d | |
Задержка запуска |
I 0ЛОСОН с |
Число усреднений |
k d | ||
Какал запуска |
|Кгмал 1 |
d |
Порог запуска |2С0 |
/J% от уоовня |
Ci, Шаблон

Протокол включения датчиков
Число циклов измерений в полком замере |1
Вкл/Откл |
(датчик |
|Цикл |
1 Канал Примечание |
---Id | |
Отмстч. |
Откл |
1 | |||
1В |
Вкл |
34908 |
1 |
1 | |
1П |
Вкл |
41740 |
1 |
2 | |
10 |
Вкл |
41781 |
1 |
3 | |
2В |
Вкл |
41792 |
1 |
4 |
- |
в |
Стереть |
♦ |
1 Цикл |
♦ |
Все |
♦ |
1 Ц->Отм |
♦ |
Все*Отм |
Будут созданы 3 файла конфигурации прибора для измерения Виброускорения, Виброскорости и Виброперемещения

Этот подготовительный этап привязки делается один раз.
При следующей поверке при наличии файлов конфигурации его пропускают.
При опробовании необходимо подключить датчик к прибору, установить датчик на вибрационную установку. Включив установку, плавно повышать в рабочем диапазоне частот уровень вибрации в диапазоне от 5 до 100 мм/с для виброскорости, от 50 до 500 мкм для виброперемещения и от 5 до 80 м/с2 для виброускорения. Убедиться в соответствии паспортных параметров измеренным на установке, что является критерием исправности прибора.
На этом проверка правильности функционирования прибора (опробование) закончена.
7.3 Определение основной относительной погрешности
Поверка Виброускорения для Канала 1
Установите соответствующий датчик на вибростенд, подключите его к каналу 1 прибора.
Определение основной относительной погрешности канала измерения виброускорения проводят на частоте 79,6 Гц и при пиковом значении виброускорения: 5; 10; 20; 40; 60 и 80м/с2. Допускается производить определение основной относительной погрешности измерения виброускорения при значениях, необходимых для эксплуатации.
Значения основной относительной погрешности определяют по формуле:

(3)
где А - значения виброускорения, задаваемые на вибрационной установке, м/с";
А, - значения виброускорения, определяемые по показанию на экране ПК, м/с2. Полученные значения не должны превышать:
-
- в диапазоне измерения от 5 до 10 м/с2-±10 %;
-
- в диапазоне измерения от 10 до 80 м/с2 — ±5 %.
Результаты занести в таблицу протокола (рекомендуемая форма протокола приведена в приложении А).
Выберите ЛКМ конфигурацию “Поверка!”, ПКМ - меню, “Начать чтение замера”

Появится окно со списком каналов и датчиков.
Нажмите кнопку “Начать чтение”


•У Запись
X Отмена
*7 Помощь
Канал |
|Точка |
1 Датч и к |
(Примечание |
1 |
1В |
34908 | |
2 |
1П |
41740 |
0 |
3 |
10 |
41781 | |
4 |
2В |
41792 | |
S |
2П |
41805 | |
6 |
20 |
41826 | |
7 |
ЗВ |
41829 | |
8 |
ЗП |
41838 |
Появятся графики измеряемых сигналов

Значение Амплитуды (Пик) виброускорения можно увидеть в правом нижнем окне во втором столбце.
Полезно обращать внимание на значение частоты синусоиды в левом верхнем углу окна.


Нажмите кнопку “Отмена” в левом окне.
В следующем окне также нажмите “Отмена”
I
Л Чтение сигн... X

X Отмена
0.08667
I
0.06
[Чтение сигналов+места установки датчиков в i
Тип сигнала
Сигнал
С Спектр
•2
Виброскоростъ
Вибролеремешекие

“ Показывать на экране | ||
Начать чтение |
<• Графические окна | |
✓ |
Тип и место установки датчиков в данном цикле регистрации
-
I Канал |точка I Датчик (примечание
1 |зП |33876

“Отменить чтение датчиков” - Да


Вы действительно хотите отменить чтение датчиков ?

Поверка Виброскорости для Канала 1
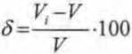
Определение основной относительной погрешности канала измерения виброскорости проводится на частоте 79,6 Гц и при значениях СКЗ виброскорости: 5; 10; 20; 40; 60 и 100мм/с. Допускается производить определение основной относительной погрешности измерения виброскорости при значениях, необходимых для эксплуатации. Значение основной относительной погрешности канала измерения виброскорости определяют по формуле:

(2)
где V - значение виброскорости, задаваемое на вибрационной установке, мм/с; Vj - значение виброскорости, определяемое по показанию на экране ПК, мм/с. Полученные значения не должны превышать:
-
- в диапазоне измерения от 5 до 10 мм/с -±10%;
-
- в диапазоне измерения от 10 до 100 мм/с - ±5 %.
Для поверки виброскорости выберите ЛКМ файл конфигурации “Поверка2”, по ПКМ выберите пункт “Начать чтение замера”.


по Каналу 1
Поверка Виброперемещения для Канала 1
На вибрационной установке задаются колебания с частотой 79,6 Гц и при значениях виброперемещения (размах): 50; 100; 200; 300 и 500 мкм.
Значение основной относительной погрешности канала измерения виброперемещения определяют по формуле:
(1)
5=^£.1ОО
5
где: S - размах виброперемещения, задаваемого вибрационной установкой, мкм;
Si - размах виброперемещения, который определяется по показанию на экране ПК, мкм.
Полученные значения не должны превышать:
-
- в диапазоне измерения от 50 до 100 мкм - ±10 %;
-
- в диапазоне измерения от 100 до 500 мкм — ±5 %.
Для поверки виброперемещения выберите ЛКМ файл конфигурации “ПоверкаЗ”, по ПКМ выберите пункт “Начать чтение замера”.

w Atlant
S ■ A vc
з к
& Пов^ркз 1
= Й vc
& Пов^ркз 1

TLv-.W.LU.I'.i.iu.ir.w 11Л1Я'
Создать такой-** фАг- гоонфг г<х>хм
Удалпь фЛг прибора
Сбросить ис* пометки
Ц| Atlant
Файл О>и пхщь

? Ресурс ro.r.wa: 100% I • I Д, [


В правом нижнем окне показывается значение Размаха (Пик-Пик) виброперемещения по Каналу 1

Поверка для остальных Каналов
Остальные каналы поверяются аналогично.
Установите соответствующий датчик на вибростенд, подключите его к каналу 2 прибора.
Выберите Л КМ конфигурацию “По верка 1”, ПКМ - меню. “Начать чтение замера” -wo Ijr fl| (Г гр Jmil I tl и Св tn II lllll Л II 1П 1| 1ГГ1 >11
' *
08127
08127
f
-о 1366 L о X-1eSe
0 16 0.24 0.32 0.4 0 4S 0 56 0 64
Y«-0 &4S9 м'с2

7.4 Определение неравномерности амплитудно-частотной характеристики (АЧХ) прибора проводится по каждому каналу в отдельности. Установив частоту 79,6 Гц, изменением величины входного сигнала добиваются получения на экране значения амплитуды равного 10м/с2 для виброускорения, 10 мм/с для виброскорости, 100 мкм для виброперемещения. Затем, сохраняя установленный уровень вибрации, изменяют частоту в соответствии с таблицей 3 и определяют показания по амплитуде временного сигнала на экране ПК. Допускается производить определение неравномерности амплитудно-частотной характеристики в диапазоне частот, необходимом для эксплуатации.
Результаты занести в таблицу протокола (рекомендуемая форма протокола приведена в приложении А).
Значения неравномерности вычисляют по формуле:
(4)
.100,
D6
где D, - значение характеристики вибрации, определяемое по показанию на экране ПК, (м/с2; мм/с или мкм);
De - значение характеристики вибрации, полученное по показанию на экране ПК на базовой частоте 79,6 Гц.
Полученные значения неравномерности АЧХ не должны превышать, указанных в таблице 3.
Таблица 3
F, Гц |
10 |
20 |
45 |
79,6 |
160 |
200 |
320 |
640 |
1000 |
V, мм/с |
10,0±1 |
10,0±2,5 |
10,0±1 |
10,0 |
10,0±1 |
- |
10,0±1 |
10,0±1 |
10,0±1 |
А, м/с2 |
10,0±1 |
10,0±2,5 |
10,0±1 |
10,0 |
10,0±1 |
- |
10,0±1 |
10,0±1 |
10,0±1 |
S, мкм |
100±10 |
100±10 |
100±10 |
100 |
100±10 |
100±10 |
- |
- |
- |
6 |
±10% |
±10% |
±10% |
±10% |
±10% |
±10% |
±10% |
±10% |
8 ОФОРМЛЕНИЕ РЕЗУЛЬТАТОВ ПОВЕРКИ
-
8.1 На приборы, признанные годными при поверке, выдают свидетельство о поверке по форме, установленной Приказом Минпромторга № 1815 от 02 июля 2015 года.
-
8.2 Приборы, не удовлетворяющие требованиям настоящей методики, к применению не допускают и выдают извещение о непригодности с указанием причин по форме, установленной Приказом Минпромторга № 1815 от 02 июля 2015 года.
-
8.3 Отметка о проведении поверки и заключение о пригодности прибора к применению оформляется в паспорте в установленном порядке.
Запрещается выпуск в обращение и применение прибора, прошедшего проверку работоспособности с отрицательным результатом. При этом в обязательном порядке осуществляется погашение клейм и выдается извещение о непригодности прибора к применению с записью в нем параметров, по которым он не соответствует паспорту.
/ Начальник отдела 204
ФГУП «вниимс»
Начальник лаборатории 204/3
ФГУП «ВНИИМС»
Испытатель

А.Е. Рачковский

А.Г. Волченко
Ю.С. Дикарева
Приложение А
(Рекомендуемое)
Протокол поверки прибора для измерения и анализа вибрации многоканальные «Атлант-ХХ»Дата поверки________________________
Условия поверки:
Температура окружающего воздуха_____________°C
Относительная влажность____________________%
Атмосферное давление______________________мм рт. ст.
Средства поверки:
Поверочная виброустановка: |
Дата последней |
Дата следующей |
поверки |
поверки |
Нормативный документ на поверку:____________________________________________________
Порядковый номер прибора_____________ Год выпуска_______________________
Тип и порядковый номер датчика. Канал 1: ___________________________________________
Канал 2:
Канал 3: ________________________________________________
Канал 4: ________________________________________________
Канал 5:___
Канал 6: ___
Канал 7: __________________________________________________
Канал 8: _ _______
-
1 Внешний осмотр
годен, не годен
-
2 Опробование__
годен, не годен
3 Определение основной погрешности при измерении виброперемещения (размах),
виброускорения (пик) и виброскорости (пик) в соответствии с методикой поверки
Параметр |
Контрольные значения |
Единица измерени | |||||
1 |
2 |
3 | |||||
Виброскорость |
5 |
10 |
20 |
40 |
60 |
100 |
мм/с |
Канал 1 Показания |
мм/с | ||||||
Погрешность |
% | ||||||
Канал 2 Показания |
мм/с | ||||||
Погрешность |
% | ||||||
Канал 3 Показания |
мм/с | ||||||
Погрешность |
% | ||||||
Канал 4 Показания |
мм/с | ||||||
Погрешность |
% | ||||||
Канал 5 Показания |
мм/с | ||||||
Погрешность |
% | ||||||
Канал 6 Показания |
мм/с | ||||||
Погрешность |
% | ||||||
Канал 7 Показания |
мм/с | ||||||
Погрешность |
% | ||||||
Канал 8 Показания |
мм/с | ||||||
Погрешность |
% | ||||||
Предел допуска |
±10 |
±5 |
±5 |
±5 |
±5 |
±5 |
% |
1 |
2 |
3 | |||||
Виброускорение |
5 |
10 |
20 |
40 |
60 |
80 |
м/с2 |
Канал 1 Показания |
м/с2 | ||||||
Погрешность |
% | ||||||
Канал 2 Показания |
м/с2 | ||||||
Погрешность |
% | ||||||
Канал 3 Показания |
м/с2 | ||||||
Погрешность |
% | ||||||
Канал 4 Показания |
м/с2 | ||||||
Погрешность |
% | ||||||
Канал 5 Показания |
м/с2 | ||||||
Погрешность |
% | ||||||
Канал 6 Показания |
м/с2 | ||||||
Погрешность |
% | ||||||
Канал 7 Показания |
м/с2 | ||||||
Погрешность |
% | ||||||
Канал 8 Показания |
м/с2 | ||||||
Погрешность |
% | ||||||
Предельная погрешность |
±10 |
±5 |
±5 |
±5 |
±5 |
±5 |
% |
1 |
2 |
3 | ||||
Виброперемещени е |
50 |
100 |
200 |
300 |
500 |
мкм |
Канал 1 Показания |
мкм | |||||
Погрешность |
% | |||||
Канал 2 Показания |
мкм | |||||
Погрешность |
% | |||||
Канал 3 Показания |
мкм | |||||
Погрешность |
% | |||||
Канал 4 Показания |
мкм | |||||
Погрешность |
% | |||||
Канал 5 Показания |
мкм | |||||
Погрешность |
% | |||||
Канал 6 Показания |
мкм | |||||
Погрешность |
% | |||||
Канал 7 Показания |
мкм | |||||
Погрешность |
% | |||||
Канал 8 Показания |
мкм | |||||
Погрешность |
% | |||||
Предельная погрешность |
±10 |
±5 |
±5 |
±5 |
±5 |
% |
4 Определение неравномерности амплитудно-частотной характеристики измерения виброскорости, виброперемещения и виброускорения в соответствии с методикой поверки
F, Гц |
10 |
20 |
45 |
79,6 |
160 |
320 |
640 |
1000 |
Ед. изм. |
Виброскорость канал 1 |
мм/с | ||||||||
Погрешность |
- |
% | |||||||
Виброскорость канал 2 |
мм/с | ||||||||
Погрешность |
- |
% | |||||||
Виброскорость канал 3 |
мм/с | ||||||||
Погрешность |
- |
% | |||||||
Виброскорость канал 4 |
мм/с | ||||||||
Погрешность |
- |
% | |||||||
Виброскорость канал 5 |
мм/с | ||||||||
Погрешность |
- |
% | |||||||
Виброскорость канал 6 |
мм/с | ||||||||
Погрешность |
- |
% | |||||||
Виброскорость канал 7 |
мм/с | ||||||||
Погрешность |
- |
% | |||||||
Виброскорость канал 8 |
мм/с | ||||||||
Погрешность |
- |
% | |||||||
Предельная погрешность |
±10 |
±10 |
±10 |
- |
±10 |
±10 |
±10 |
±10 |
% |
ЕГц |
10 |
20 |
45 |
79,6 |
160 |
320 |
640 |
1000 |
Ед. изм. |
Виброускор. канал 1 |
м/с2 | ||||||||
Погрешность |
- |
% | |||||||
Виброускор. канал 2 |
м/с2 | ||||||||
Погрешность |
- |
% | |||||||
Виброускор. канал 3 |
м/с2 | ||||||||
Погрешность |
- |
% | |||||||
Виброускор. канал 4 |
м/с2 | ||||||||
Погрешность |
- |
% | |||||||
Виброускор. канал 5 |
м/с2 | ||||||||
Погрешность |
- |
% | |||||||
Виброускор. канал 6 |
м/с2 | ||||||||
Погрешность |
- |
% | |||||||
Виброускор. канал 7 |
м/с2 | ||||||||
Погрешность |
- |
% | |||||||
Виброускор. канал 8 |
м/с2 | ||||||||
Погрешность |
- |
% | |||||||
Предельная погрешность |
±10 |
±10 |
±10 |
- |
±10 |
±10 |
±10 |
±10 |
% |
F, Гц |
10 |
20 |
45 |
79,6 |
160 |
200 |
Ед. изм. |
Виброперем. канал 1 |
мкм | ||||||
Погрешность |
- |
% | |||||
Виброперем. канал 2 |
мкм | ||||||
Погрешность |
- |
% | |||||
Виброперем. канал 3 |
мкм | ||||||
Погрешность |
- |
% | |||||
Виброперем. канал 4 |
мкм | ||||||
Погрешность |
- |
% | |||||
Виброперем. канал 5 |
мкм | ||||||
Погрешность |
- |
% | |||||
Виброперем. канал 6 |
мкм | ||||||
Погрешность |
- |
% | |||||
Виброперем. канал 7 |
мкм | ||||||
Погрешность |
- |
% | |||||
Виброперем. канал 8 |
мкм | ||||||
Погрешность |
- |
% | |||||
Предельная погрешность |
±10 |
±10 |
±10 |
- |
±10 |
±10 |
мкм |
Заключение:
По результатам проведенной поверки прибор для измерения и анализа вибрации
многоканальный «Атлант-ХХ» зав. № _____________ соответствует (не соответствует)
метрологическим характеристикам.
Поверитель:____________________________/________________________________I
33