Методика поверки «ГСИ. КОМПЛЕКСЫ АППАРАТНО-ПРОГРАММНЫЕ «КОЛИБРИ»» (РТ-МП-4194-441-2017)
ФЕДЕРАЛЬНОЕ АГЕНТСТВО ПО ТЕХНИЧЕСКОМУ РЕГУЛИРОВАНИЮ И МЕТРОЛОГИИ

ФЕДЕРАЛЬНОЕ БЮДЖЕТНОЕ УЧРЕЖДЕНИЕ «ГОСУДАРСТВЕННЫЙ РЕГИОНАЛЬНЫЙ ЦЕНТР СТАНДАРТИЗАЦИИ,
МЕТРОЛОГИИ И ИСПЫТАНИЙ В Г. МОСКВЕ»
(ФБУ «РОСТЕСТ - МОСКВА»)
УТВЕРЖДАЮ
Заместитель генерального директора

Государственная система обеспечения единства измерений
КОМПЛЕКСЫ АППАРАТНО-ПРОГРАММНЫЕ «КОЛИБРИ»
Методика поверки
РТ-МП-4194-441-2017 г. Москва
2017 г.
лист № 2 Всего листов 8 Настоящая методика поверки распространяется на комплексы аппаратно-программные «Колибри» (далее по тексту - комплексы), изготовленных ООО «Орлан» г. Москва, и устанавливает порядок и объём их первичной и периодической поверки. Интервал между поверками - 2 года.
Перед проведением поверки необходимо ознакомиться с указаниями, изложенными в руководстве по эксплуатации на комплексы.
1 ОПЕРАЦИИ ПОВЕРКИПри проведении поверки комплексов должны выполняться операции, указанные в таблице 1.
Таблица 1 - Операции, выполняемые при поверке
|
Наименование операции |
Номер пункта методик и |
Проведение операции при поверке | |
|
первичной |
периодичес кой | ||
|
Внешний осмотр |
6.1 |
да |
да |
|
Опробование |
6.2 |
да |
да |
|
Определение метрологических характеристик |
6.3 |
да |
да |
|
Определение абсолютной погрешности (по уровню вероятности 0,95) определения координат при работе по сигналам ГЛОНАСС (код СТ), GPS код (С/А) в частотном диапазоне L1 |
6.3.1 |
да |
да |
|
Определение абсолютной погрешности привязки выходного сигнала 1 Гц (1PPS), выдаваемого комплексом, к шкале времени UTC(SU) |
6.3.2 |
да |
да |
|
Определение амплитуды выходного сигнала 1 Гц (1PPS) |
6.3.3 |
да |
да |
|
Определение абсолютной погрешности измерения . средней скорости движения ТС в зоне контроля |
6.3.4 |
да |
да |
При проведении поверки комплексов должны применяться средства поверки, указанные в таблице 2.
Таблица 2 - Применяемые средства поверки
|
Номер пункта методики |
Наименование и тип основного или вспомогательного средства поверки, требуемые технические и метрологические характеристики средства поверки |
|
1 |
2 |
|
6.3.1 |
Имитатор сигналов СН-3803М: пределы допускаемого среднего квадратического отклонения (СКО) случайной составляющей погрешности формирования беззапросной дальности до НКА КНС ГЛОНАСС и GPS
|
Продолжение таблицы 2
|
1 |
2 |
|
6.3.2 |
Частотомер универсальный CNT-90XL: - пределы допускаемой относительной погрешности измерения частоты 2-Ю’7 |
|
6.3.3 |
Осциллограф MSO6104A
К откл от 2 мВ/дел до 5 В/дел (1Мом) |
|
6.3.2 |
Приёмник временной синхронизации NV08C-CSM-N24M: - пределы допускаемой абсолютной погрешности привязки метки времени (1PPS), относительно шкалы времени UTC(SU) ±100 нс |
Примечание:
-
- применяемые при поверке средства измерений должны быть поверены и иметь действующие свидетельства о поверке;
-
- допускается применение иных средств измерений, обеспечивающих определение метрологических характеристик поверяемых комплексов с требуемой точностью.
-
3.1 При проведении поверки комплексов необходимо соблюдать «Правила технической эксплуатации электроустановок потребителей», «Правила техники безопасности при эксплуатации электроустановок потребителей» и правила охраны труда.
-
3.2 К проведению поверки допускаются лица, прошедшие инструктаж по технике безопасности на рабочем месте, освоившие работу с комплексами и применяемыми средствами поверки и изучившие настоящую методику.
-
3.3 На рабочем месте должны быть приняты меры по обеспечению защиты от воздействия статического электричества.
-
3.4 Для исключения сбоев в работе, измерения необходимо производить при отсутствии резких перепадов напряжения питания сети, вызываемых включением и выключением мощных потребителей электроэнергии и мощных импульсных помех.
При проведении поверки должны быть соблюдены следующие условия:
|
20 ±5; 65 ± 15; 100 ±4 (750 + 30); 220 ±22; 50 ±0,5. |
5 ПОДГОТОВКА К ПОВЕРКЕ
Подготовку комплексов и оборудования, перечисленного в таблице 2, проводят в соответствии с требованиями, изложенными в соответствующих эксплуатационных документах.
Убедиться в выполнении условий проведения поверки.
Выдержать средства поверки во включенном состоянии в течение времени, указанного в их руководствах по эксплуатации.
6 ПРОВЕДЕНИЕ ПОВЕРКИ
6.1 Внешний осмотрПри внешнем осмотре убедиться в:
-
- комплектности комплексов в соответствии с «Руководством по эксплуатации»;
~ отсутствии механических повреждений, влияющих на работоспособность комплексов;
-
- чистоте гнезд, разъемов и клемм;
-
- исправности соединительных проводов и кабелей;
-
- целостности лакокрасочного покрытия и четкости маркировки;
-
- отсутствии внутри корпуса незакрепленных предметов.
Результаты внешнего осмотра считать положительными, если комплекс удовлетворяет вышеперечисленным требованиям, комплектность полная. Комплексы, имеющие дефекты, к поверке не допускаются.
6.2 ОпробованиеПровести опробование работы комплексов для оценки их исправности.
С этой целью, испытуемый комплекс разместить в месте, обеспечивающем устойчивый прием сигналов навигационных спутников.
Проверки и измерения параметров комплекса проводят после включения питания и загрузки программного обеспечения, но не ранее, чем через 15 мин.
Для проведения процедуры опробования комплекса, его необходимо подключить при помощи штатного внешнего блока питания (БП) к сети.
К персональному компьютеру (ПК) комплекс подключается при помощи интерфейсного кабеля, входящего в комплект поставки.
На ПК запустить предустановленное системное программное обеспечение (ПО) «Колибри. АРМ оператора» и убедиться в наличии изображения с камеры с надписью, содержащей фрагмент «ERR_SYNC» или «ОК» в диалоговом окне ПО.
Во время установления связи со спутниками и определения местонахождения, на экране ПК будут отображаться меняющиеся значения текущих координат, дата, время и другая служебная информация
После установления связи со спутниками в поле состояние отображается символ «ОК» и значения текущих координат, что свидетельствует о наличии навигационного решения.
Результаты поверки считать удовлетворительными, если комплекс после выполнения условий приёма формирует навигационное решение.
-
6.3 Определение метрологических характеристик
-
6.3.1 Определение абсолютной погрешности (по уровню вероятности 0,95) определения координат при работе по сигналам ГЛОНАСС (код СТ), GPS код (С/А) в частотном диапазоне L1
Для определения абсолютной погрешности (по уровню вероятности 0,95) определения координат при работе по сигналам ГЛОНАСС (код СТ), GPS код (С/А) в частотном диапазоне L1, необходимо собрать схему поверки в соответствии с рисунком 1.
г |
; Экранированная камера ;
Рисунок 1. Схема измерений
Включить и прогреть (не менее 30 мин) все приборы.
Подключить комплекс при помощи штатного внешнего блока питания (БП) к сети и при помощи интерфейсного кабеля, входящего в комплект поставки, к персональному компьютеру.
На ПК запустить предустановленное системное программное обеспечение «Колибри. АРМ оператора» и убедиться в наличии изображения с камеры с надписью, содержащей фрагмент «ГОТОВ» или «ОК» в диалоговом окне ПО.
Подготовить имитатор к работе в соответствии с ТД на него.
Подключить навигационные сигналы ГЛОНАСС и GPS, формируемые имитатором сигналов к входу антенны, для создания навигационного поля.
Запустить сценарий имитации с параметрами, приведенными в таблице 3, при этом контролировать, чтобы значение геометрического фактора ухудшения не превышало 4.
Таблица 3 , Параметры сценария имитации
|
Формируемые спутниковые навигационные сигналы |
ГЛОНАСС (код СТ) и GPS (код С/А без SA) в частотном диапазоне L1 |
|
Продолжительность |
60 мин |
|
Количество каналов: ГЛОНАСС |
8 |
|
GPS |
8 |
|
Параметры среды распространения навигационных сигналов: тропосфера |
отсутствует |
|
ионосфера |
присутствует |
|
Координаты в системе координат WGS-84 (стоянка): - широта |
60°00'000000 N |
|
- долгота |
030°00'000000 Е |
|
- высота, м |
100,00 |
|
- высота геоида, м |
18,00 |
|
Продолжительность стоянки |
60 мин |
Убедиться в получении комплексом навигационных данных с достоверным статусом, для чего удостовериться, что в окне ПО «Колибри. АРМ оператора» в строке «СОСТОЯНИЕ» имеется в наличии сообщение «ОК», в строке «КООРДИНАТЫ» - значения координат, формируемых имитатором, а в строке «ДАТА/ВРЕМЯ» отображается текущее время по шкале UTC.
В ходе работы программное обеспечение «Колибри. АРМ оператора» записывает файл с данными активного комплекса в текстовом формате в папку «data».
Осуществить запись сообщений с частотой 1 сообщение в 1 с в абсолютном режиме работы аппаратуры в течение 60 минут.
По результатам измерений определить систематическую составляющую погрешности определения координат в плане (широты и долготы) по формулам (1), (2), например, для координаты В (широты):


где:
Вист - истинное значение координаты В
B(j) - значение координаты В в j-ый момент времени,с;
N ~ количество измерений.
Аналогичным образом определить систематическую составляющую погрешности определения координаты L (долготы).
Определить среднее квадратическое отклонение (СКО) случайной составляющей погрешности определения координат по формуле (3), например, для координаты В (широты):

Аналогичным образом определить СКО случайной составляющей погрешности определения координаты L (долготы).
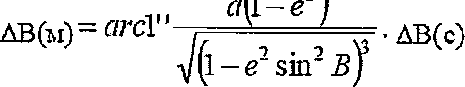
Перевести значения погрешностей определения координат в плане (широты и долготы) из секунд в метры по формулам (4) - (5):
- для широты:



- для долготы:


лист № 7 Всего листов 8 где
а - большая полуось эллипсоида, м;
е - первый эксцентриситет эллипсоида;
1" = 0,000004848136811095359933 радиан (arc 1”).
Для приближенных расчетов можно применять следующие формулы:
АВ(м)=30,92*АВ(с); AL(m)=30,92*AL(c)*cosB.
Определить погрешность (по уровню вероятности 0,95) определения координат в плане по формулам (6)-(7):
ПБ = dB(M) ± 2 • ав(м), (б)
Пь = dL(M) ± 2 • . (7)
Результат поверки считать положительным, если абсолютная погрешность (по уровню вероятности 0,95) определения координат при работе по сигналам ГЛОНАСС (код СТ), GPS код (С/А) в частотном диапазоне L1, не превышает ± 5 м.
6.3.2 Определение абсолютной погрешности привязки выходного сигнала 1 Гц (1PPS), выдаваемого комплексом к шкале времени UTC(SU)Для определения абсолютной погрешности привязки выходного сигнала 1PPS, выдаваемого комплексом относительно шкалы времени UTC(SU), необходимо собрать схему, представленную на рисунке 4, расположив комплекс и приёмник временной синхронизации NV08C-CSM-N24M в месте, обеспечивающем устойчивый приём сигналов навигационных спутников.
ГЛОНАСС/GPS
«Колибри»
АНТ
CNT-90XL
Вход В
ВходА
1PPS
ипит.
ГЛОНАСС/GPS
V
NV08C-CSM-N24M
А АНТ
1PPS -
Рисунок 4. Схема измерений
После получения навигационного' решения произвести настройку CNT-90XL в соответствии с руководством пользователя.
Установить режим измерения интервалов, фронты входа «А» и «В» положительные, сопротивление входа «А» 50 Ом и входа «В» 1М0м, установить ручной режим порога срабатывания по половинному значению амплитуды импульса.
Соединить кабелем контакты выходного разъёма сигнала метки времени «1PPS» испытуемого комплекса (в соответствии с Руководством по эксплуатации) с входом «В» частотомера CNT-90XL.
На вход «А» частотомера CNT-90XL подать сигнал «1PPS» с выхода приёмника временной синхронизации NV08C-CSM-N24M.
Настроить приёмник на выдачу шкалы времени (ШВ), синхронизированной с
системной ШВ UTC(SU).
В случае если результаты измерений близки к 1 с, то следует поменять входы CNT-90XL и знак погрешности.
В процессе измерений на дисплее частотомера индицируются результаты ежесекундных сличений шкалы времени, формируемой испытуемым комплексом и шкалой времени приёмника NV08C-CSM-N24M., синхронизированной со шкалой времени UTS(SU).
Установить на частотомере CNT-90XL количество измерений 3600, что соответствует 60 минутному циклу.
В результате измерений за указанный интервал времени и расчётов, формируется среднеарифметическое значение абсолютного отклонения шкалы времени, вырабатываемой испытуемым комплексом от шкалы времени UTC(SU).

(1)
Значение абсолютной погрешности привязки выходного сигнала 1 Гц (1PPS), выдаваемого комплексом к шкале времени UTC(SU), определяется по формуле 2.
ДТ = - У75(5У)
(2)
Результаты поверки считать положительными, если значения абсолютной погрешности привязки выходного сигнала 1 Гц (1PPS) к шкале времени UTC(SU) для представленных комплексов не превышают значения ± 1мс.
6.3.3 Определение амплитуды выходного сигнала 1 Гц (1PPS)Определение амплитуды выходного сигнала 1 Гц (1PPS) проводится при работе комплекса в штатном режиме - после получения навигационного решения и запуска синхронизации шкалы времени.
Измерение указанных параметров сигнала 1PPS производится осциллографом MSO6104A на контактах «1PPS» выходного разъёма комплекса.
Результаты поверки считать положительными, если измеренные значения амплитуды выходного сигнала «1PPS» соответствуют значениям не менее 2 В.
6.3.4 Определение абсолютной погрешности измерения средней скорости движения ТС в зоне контроляРезультаты поверки считать положительными при условии выполнения пунктов 6.3.1 и 6.3.2 настоящей методики поверки.
7 ОФОРМЛЕНИЕ РЕЗУЛЬТАТОВ ПОВЕРКИ-
7.1 При положительных результатах поверки выдается свидетельство о поверке в соответствии с приказом Министерства промышленности и торговли Российской Федерации №1815 от 02.07.2015. Знак поверки наносится на свидетельство о поверке.
-
7.2 При отрицательных результатах поверки оформляют извещение о непригодности установленного образца. Результаты предыдущей поверки аннулируются (аннулируется свидетельство о поверке).
Начальник лаборатории № 441
ФБУ «Ростест-Москва»
Заместитель начальника лаборатории № 441
ФБУ «Ростест-Москва»
Баринов
Н.В. Голышак
