Методика поверки «ГСИ. ИЗМЕРИТЕЛЬ ТВЕРДОСТИ УЛЬТРАЗВУКОВОЙ УЗИТ-З» (МП 05-261-01)
х?..
УРАЛЬСКИЙ НАУЧНО-ИССЛЕДОВАТЕЛЬСКИЙ ИНСТИТУТ МЕТРОЛОГИИ ГОССТАНДАРТА Р< )ССИИ
(УНИИМ)


ГОСУДАРСТВЕННАЯ СИСТЕМА ОБЕСПЕЧЕНИЯ ЕДИНСТВА ИЗМЕРЕНИЙ
ИЗМЕРИТЕЛЬ ТВЕРДОСТИ У
ЛЬТРАЗВУКОВОЙ УЗИТ-З
МЕТОДИКА ПОВЕРКИ МП 05-2^1-01
л

Екатери
нбург
2001
Предисловие • ..
5^-
-
1 РАЗРАБОТАНА - -
Уральским научно-исследовательским институтом метрологии (УНИИМ)
-
2 ИСПОЛНИТЕЛИ
Малыгин М.А., Маслова Т.И^Ббгданов А. А.

-
3 УТВЕРЖДЕНА^УНИИМВ.
-
4 ВВЕДЕНА ВПЕРВЫЕ

-
1. ОБЛАСТЬ ПРИМЕНЕНИЯ................................................
-
2. НОРМАТИВНЫЕ ССЫЛКИ...............................................
ОПЕРАЦИИ ПОВЕРКИ......................................................
СРЕДСТВА ПОВЕРКИ.......................................................
ТРЕБОВАНИЯ К КВАЛИФИКАЦИИ ПОВЕЛИТЕЛЕЙ И ТЕХНИКЕ БЕЗОПАСНОСТИ......................
УСЛОВИЯ ПОВЕРКИ И ПОДГОТОВКА К ПРОВЕДЕНИЕ ПОВЕРКИ...............................
-
3.
-
4.
-
5.
6.
7.
8. ОФОРМЛЕНИЕ РЕЗУЛЬТАТОВ ПОВЕРКИ ПРИЛОЖЕНИЕ А ФОРМА ПРОТОКОЛА.... ПРИЛОЖЕНИЕ В
ПРИМЕР ЗАПОЛНЕ
НИЯ ПРОТОКОЛА


СВЕРКЕ

Государственная система обеспечен Измеритель твердости ультразвуков Методика поверки.
ия единства измерений, ой УЗИТ 3.
МП 05-261-01
Срок вв дения в действие 2001
1 ОБЛАСТЬ ПРИМЕНЕНИЯНастоящая методика ультразвуковые УЗИТ-З (далее измерения твердости в единицах изделий из конструкционных ст); модулю упругости, и устанавливает методику его первичной и периодической поверок.
Измерители твердости ут.
измерение твердости конструкционных сталей в единица^ HRC и НВ в диапазонах от 20 до 70 и от 80 до 450 соответ
Межповерочный интервал о
измерители твердости >, предназначенные для лля (НВ) на поверхности
распространяется на
по тексту, твердомер) роквелла (HRC) и Брине алей и других материалов, близких к ним по
ьтразвуковые УЗИТ-З
должны обеспечивать
ственно.
>цин год.
В настоящей документы:
ПР 50.2.006-94 ГОСТ 9031-75 •
ГОСТ 8074-82
методике использованы ссылки на следующие нормативные
средств измерений.
ГОСТ 2789-73
ГСИ. Порядок проведения поверки
Меры твердости образцовые. Технические условия. Микроскоп и размеры.
Шероховатость поверхности. Пара обозначени
: ы инструментальные. Типы, основные параметры Технические требования.
иетры, характеристики и
л.
я.
операции, указанные в
При проведении поверки твердомеров выполняют таблице 1.
Таблица 1.
№п/п |
Найменование операции |
--------— Номер пункта методики |
Прове, |
цение операции при | ||
первш повер! |
[НОЙ :е |
периодической поверке | ||||
1. 2 3 |
Внешний осмотр. Опробование. Определение абсолютной погрешности твердомера. |
|
Д Д Д |
1 1 i |
Да Да Да |
-
4.1 При проведении поверки применяют следующие средства поверки: -образцовые меры твердости 2 разряда по ГОСТ 9031 типа МТР и МТБ;
номинальные значения твердости мер типа МТР- (25±5)ед.НКС, (45±5)ед.НКС, (65±5)ед.НЛС; номинальные значения твердости (200±50)НВ, (400±50)ед.НВ;
мер типа МТБ-(100±25)ед.НВ,
-микроскоп типа ММИ-2 по ГОСТ 8074 с увеличением 5х;
-чугунная или стальная плита массой не мзнее 5 кг, толщиной не менее 30мм, двумя параллельными плоскостями площадью не менее 150 см2 и чистотой обработки Ra < 0,32 мкм по ГОСТ 2789, отклонение от плоскостности и прямолинейности не более ЮОмкм.
должны иметь действующие
-
4.2 Указанные в п.4.1 меры твердости
свидетельства о поверке.
5 ТРЕБОВАНИЯ К КВАЛИФИКАЦИИ ПОВЕРИТЕЛЕЙ И ТЕХНИКЕ БЕЗОПАСНОСТИ-
5.1 К проведению операций поверки твердомера допускаются лица, имеющие среднее техническое образование, имеющие право на поверку приборов для измерений твердости, прошедшие курс обучения работе на твердомере и ознакомившиеся с руководством по эксплуатации на прибор.
-
5.2 Твердомер УЗИТ 3 в работе безопасен.
-
6.1 При проведении поверки соблюдают следующие условия: -температура окружающего воздуха, °C -относительная влажность воздуха, % -атмосферное давление, кПа
20±5;
55±25;
100±4; 750±30.
напряжение питающей батареи
мм. рт. ст.
-
6.2 Перед проведением поверки проверяют или внешнего источника питания. Напряжение питания должно быть в пределах от
-
7,5 до 9,0 В.
-
7.1 Внешний осмотр.
-
7.1.1 При проведении внешнего осмотра устанавливают соответствие комплектности твердомера требованиям п. 1.3.1 руководства по эксплуатации на прибор.
-
7.1.2 Твердомер не должен иметь механических повреждений, следов
-
коррозии (на всех частях прибора и датчика).
7.1.3 Если требования п.п.7.1.1,7.1.2 не выполняются, твердомер признается непригодным к применению, дал ьнейшие операции поверки не проводят.
7.2 Опробование.
-
7.2.1 При опробовании твердомера проводят операции согласно п.2.2 руководства по эксплуатации на
-
7.2.2 На образцовой мере (400±50)ед.НВ проводят измерен по эксплуатации.
-
7.2.3 При отсутствии по
прибор.
твердости типа МТБ с :ие твердости согласно п
номинальным значением
.п. 2.3.1-2.3.6 руководства
оказаний твердомер признается непригодным к применению, дальнейшие операции поверки не производят.
7.3 Определение абсолютной погрешности твердомера.
7.3.1 Для установки на плиту образцовой меры твердости на поверхность (циатим, солидол и т.п.). Меру притирают к
плиты наносят тонкую смазку
поверхности плиты таким образом, чтобы она плотно «прилипла». При перемещении меры взаимно контактируемых поверхностей.
7.3.2 На образцовую меру (25±5)ед.НИС наносят пять отпе более Змм и каждый раз регистр
по плите не должно
чувствоваться царапанья
номинальным значением
твердости типа МТР с
Катков, располагая их друг от друга на расстоянии >ируя показания твердомера.
По пяти показаниям определяют среднее арифметическое значение, которое принимают за результат единичного измерения твердости (н,).
Данную операцию повторяют на различных участках меры, равномерно сти, составляя ряд из пяти единичных измерений '
расположенных по ее поверхно<
твердости (Я15...Я,.,...Я5).
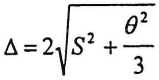
7.3.3 Для ряда единичных измерений твердости вычисляют среднее значение твердости (я), оценку средней квадратической погрешности единичного измерения (s) и систематическую составляющую погрешности (в) по формулам:
(1)
(2)
(3)
где Нном -номинальное значение твердости меры, е,
7.3.4 Вычисляют велич
формуле:
Д-HRC.
ину абсолютной погрешности твердомера по

(4)
-
7.3.5 Повторяют операции п.п.7.3.1-7.3.4 для образцовых мер твердости 2 разряда по ГОСТ 9031 типа МТР, МТБ с номинальными значениями твердости (45±5)ед.НИС, (65±5)ед.Н<С, (100±25)ед.НВ, (200
±5О)ед.НВ, (400±50)ед.НВ. рдомера не должна превышать:
±2,0
±1,5
±1,5
±15
±15
±15
-
7.3.6 Величина абсолютной погрешности тве;
HRC
HRC
HRC
Д.НВ
Д.НВ
мера МТР (25±5) ед.
мера МТР (45±5) ед.
мера МТР (65±5) ед.
мера МТБ (100±25) е,
мера МТБ (200±50) е,
мера МТБ (400±50) ед.НВ
-
7.3.7 Если требования п.7.3.6 не выполняются, твердомер признают непригодным к применению.
8.1 Результаты поверки заносят в протокол поверки, форма которого приведена в рекомендуемом приложении А.
Положительные результаты поверки
измерителя твердости
8.2
ультразвукового УЗИТ-З оформляют согласно ПР 50.2.006 выдачей свидетельства о поверке.
Отрицательш ie результаты пов
оформляют согласно ПР 50.2.006 выдачей извещения о ство о предыдущей поверке аннулируют.
;ерки измерителя твердости
8.3 ультразвукового УЗИТ-З
непригодности, свидетель
Исполнители:

М.А.Малыгин
Т.И.Маслова
А.А.Богданов
Зав.лабораторией 261 Ведущий инженер Ведущий инженер
Пр иложение А (рекомендуемое)
1. Наименование и тип приб Предприятие-изготовител Год изготовления_______
Дата предыдущей поверк^ Поверка производилась « при температуре____°C,
давлении____________мм.рт.ст.
Результаты внешнего осмотра соответствуют, не соответствуют требованиям руководства
Результаты опробования соответствуют, не соответствуют
(ненужное зачеркнуть)
требованиям п.7.2.3 методики поверки.
Результаты определения абсолютной погрешности твердомера
2.
-
3.
-
4.
-
5.
6.
7.
рра_______________
ъ________________
заводской номер
»
влажности
(ненужное зачеркнуть)
по эксплуатации.
(ненужное зачеркнуть)
г.
8.
№ меры |
Номинальное значение меры ea.HRC, ед.НВ |
Номер измерения |
Показания твердбмерг efl.HRC, ед.НВ. |
Результат единичного измерния, ед-HRC, ед.НВ. |
Среднее значение Н ., efl.HRC, ед.НВ |
С |
Оценка СКО 5, fl.HRC, ед.НВ |
Сист.сост. погрешности 6 efl.HRC, ед.НВ |
Абсолютная погреши. Д , ед-HRC, сд-НВ • | ||||
, не соответствует (ненужное зачеркнуть)
-
9. Твердомер соответствует.
I
требованиям руководства по эксплуатации.
-
10. Твердомер годен, не годен к применению
(ненужное зачеркнупъ)
Организация, проводящая поверку
Поверитель
Подпись
(Инициалы, фамилия)
Дата поверки
Оттиск поверочного клейма
(печать)
Приложение В
(рекомендуемое)
Пример заполнения протокола пое
дости ультразвукового УЗИТ-З
-
1. Наименование и ти
-
2. Предприятие-изготовитель НПО «Интроте
-
3. Год изготовления 2000, заводской номер 0 <7
-
4. Дата предыдущей поверки 15 марта 2000г. Поверка производилась «15» марта 2001 г. при температуре 2 давлении 735 мм.рт.ст.
Результаты внешнего осмотра соответствуот, нне-сс (ненужное зачеркнуть) одства по эксплуатации, вания соответствуют, чйу
п прибора Измеритель т:
вердости УЗИТ-З
Рт»
5.
6.
7.
требованиям руков< Результаты опробо
°C. влажности 50%,
(ненужное зачеркну
3 методики поверки.
соответствуют
гть)
требованиям п.7.2
Результаты определения абсолютной погре:
8.
шности твердомера
№ меры |
Номинальное значение меры ea.HRC, ед.НВ |
Ном Изм. |
Показания твердоме ед.НИС. ед.НВ. |
ра. |
Результат единичного нзмерния. ед.НЯС. ед.НВ. |
S3 |
Среднее 1чение Н HRC, ед.НВ |
Оценка CKO S , ед-HRC. ед.НВ |
Сист.сост. погрешности 0 ea.HRC, ед.НВ |
Абсолютная; погреши. Д ед.НВС, едВД | ||||
3394 |
223сд.НВС |
1 |
21.1 |
22,6 |
21,7 |
21,5 |
22.2 |
21,8 |
22 |
.3 |
031 |
0 |
0.6 | |
2 |
21.5 |
21.6 |
22.5 |
23,9 |
22.1 |
223 | ||||||||
3 |
22,1 |
22.6 |
21.6 |
24,2 |
22,5 |
22,6 | ||||||||
4 |
23,9 |
21,4 |
22,2 |
22,3 |
22,7 |
22,5 | ||||||||
5 |
23.5 |
22.8 |
22,0 |
21.2 |
21,5 |
22.2 | ||||||||
3900 |
46,2едНЯС |
1 |
46.5 |
45,6 |
46,9 |
46,6 |
46,2 |
46,4 |
46 |
.5 |
0,19 |
0,3 |
0.5 | |
2 |
45,7 |
46,6 |
46,7 |
46,8 |
45,9 |
46,3 | ||||||||
3 |
46,2 |
47,2 |
46,6 |
45,9 |
46,6 |
46,5 | ||||||||
4 |
47,3 |
46,3 |
45,8 |
46,7 |
46,6 |
46,5 | ||||||||
5 |
46,5 |
46.5 |
47,4 |
47,3 |
46,4 |
46,8 |

-
9. Твердомер соответствует, яе-ееетвететвует-
(ненужное зачеркнуть) требованиям руководства по эксплуатации.
-
10. Твердомер годен
(ненужное зачеркнуть)
.-не годен-к применению
(ненужное зачеркнуть)
Организация, проводящая поверку
Поверитель
Подпись
(Инициалы, фамилия)
Дата поверки
Оттиск поверочного к.
лейма (печать)