Методика поверки «ГСИ. Излучатели в виде модели абсолютно черного тела АЧТ 70/-40/80» (МП ОЦСМ 017196-2017)
УТВЕРЖДАЮ

Государственная система обеспечения единства измерений Излучатели в виде модели абсолютно черного тела АЧТ 70/-40/80 МЕТОДИКА ПОВЕРКИ
ОЦСМ 017196-2017 МП
г. Омск
2017 г.
Настоящая методика поверки распространяется на излучатели в виде модели абсолютно черного тела АЧТ 70/-40/80 (далее по тексту - излучатели) и устанавливает методику их первичной и периодической поверок.
Интервал между поверками - один год.
1 Операции поверки-
1.1 При проведении поверки выполняются операции, приведенные в таблице 1.
Таблица 1 - Операции поверки
Наименование операции |
Номер пункта методики поверки |
Обязательность проведения при поверке | |
первичной |
периодической | ||
Внешний осмотр |
7.1 |
да |
да |
Опробование |
7.2 |
да |
да |
Проверка электрической прочности изоляции |
7.3 |
да |
нет |
Проверка электрического сопротивления изоляции |
7.4 |
да |
нет |
Проверка сопротивления защитного заземления |
7.5 |
да |
нет |
Определение геометрических размеров полости излучателя |
7.6 |
да |
нет |
Определение времени выхода излучателя на режим, определение дрейфа температуры излучателя и времени перехода излучателя с одного режима на другой |
7.7 |
да |
да |
Определение нестабильности поддержания температуры излучателя |
7.8 |
да |
да |
Определение поправки к показаниям излучателя |
7.9 |
да |
да |
Определение абсолютной погрешности воспроизведения радиационной температуры |
7.10 |
да |
да |
1.2 Если при проведении той или иной операции поверки получен отрицательный
результат, поверку прекращают, излучать признается непригодным к дальнейшей эксплуатации, выдается извещение о непригодности, с указанием причин непригодности.
2 Средства поверки-
2.1 При проведении поверки применяют основные и вспомогательные средства поверки, приведенные в таблице 2.
-
2.2 Все средства измерений должны быть исправны, поверены и иметь действующие свидетельства о поверке или оттиск поверительного клейма на корпусе или в технической документации.
-
2.3 Допускается применение аналогичных средств поверки, обеспечивающих определение метрологических характеристик излучателя с требуемой точностью.
Таблица 2 - Основные и вспомогательные средства поверки
Номер пункта методики поверки |
Наименование и тип основного или вспомогательного средства поверки; обозначение нормативного документа, регламентирующего основные технические требования и (или) метрологические и основные технические характеристики средства поверки |
7.3 |
Установка для проверки параметров электрической безопасности GPT-705: |
| |
7.4 |
Мегаомметр Ф4102/1 -1М:
|
7.5 |
Измеритель универсальный прецизионный В7-99:
|
7.6 |
Рулетка измерительная металлическая по ГОСТ 7502-98: |
| |
7.7, 7.8 |
Секундомер механический СОСпр-2б-2-000:
|
7.9, 7.10 |
Рабочий эталон 1-го разряда по ГОСТ 8.558-2009: |
- эталонный пирометр полного или частичного излучения | |
6,7 |
Прибор комбинированный Testo 608-Н1:
|
6,7 |
Барометр-анероид метеорологический БАММ-1:
|
3 Требования к квалификации поверителей
Поверку СИ осуществляют аккредитованные в соответствии с законодательством Российской Федерации об аккредитации в национальной системе аккредитации юридические лица и индивидуальные предприниматели (далее - аккредитованные юридические лица или индивидуальные предприниматели). К проведению поверки допускаются лица, изучившие руководство по эксплуатации на калибраторы, эксплуатационную документацию на средства их поверки и настоящую методику поверки.
4 Требования безопасностиПри поверке соблюдают правила ГОСТ IEC 60519-1-2011 «Безопасность электротермического оборудования. Часть 1. Общие требования» и правила техники безопасности, изложенные в руководстве по эксплуатации на излучатели и средства их поверки.
5 Условия поверки-
5.1 При проведении поверки должны соблюдаться следующие условия измерений:
-
- температура окружающего воздуха, °C от +15 до +25;
-
- относительная влажность окружающего воздуха, % от 20 до 80;
-
- атмосферное давление, кПа (мм рт. ст.) от 84,0 до 106,7 (от 630 до 800);
-
- напряжение питания переменного тока, В от 198 до 242;
-
- частота питания переменного тока, Гц от 49 до 51.
-
5.2 В помещении, в котором проводят поверку, должны отсутствовать:
-
- прямой солнечный свет;
-
- сквозняки;
-
- удары;
-
- вибрации;
-
- внешние электромагнитные поля;
-
- пары кислот, щелочей, а также газы, вызывающие коррозию.
-
6.1 Излучатели, представляемые на поверку, должны иметь в комплекте руководство по эксплуатации.
-
6.2 Излучатели, представляемые на периодическую поверку, должны иметь свидетельство о предыдущей поверке.
-
6.3 Выдержать комплекс в помещении, где проводится поверка в условиях измерений, приведенных в разделе 5.1 настоящей методики, не менее двух часов.
-
6.4 Подготовить к работе основные и вспомогательные средства поверки в соответствии с требованиями их эксплуатационной документации.
-
7 Проведение поверки
-
7.1.1 При проведении внешнего осмотра должно быть установлено следующее:
-
- соответствие комплектности, маркировки требованиям руководства по эксплуатации на излучатель;
-
- соответствие требованиям безопасности, изложенным в руководстве по эксплуатации на излучатель;
-
- отсутствие внешних повреждений поверяемого излучателя, влияющих на метрологические характеристики и выполнение основных функций.
-
7.1.2 Излучатели, не удовлетворяющие вышеперечисленным требованиям, к дальнейшей поверке не допускаются.
-
7.2.1 Излучатель включают в сеть и проверяют его работоспособность в соответствии с руководством по эксплуатации.
-
7.2.2 Излучатели, у которых при опробовании обнаружена неисправность, к дальнейшей поверке не допускаются.
-
7.2.3 Идентификация программного обеспечения: специализированное программное обеспечение блока управления БУ-10 является его неотъемлемой функциональной составляющей. Программное обеспечение записывается на этапе производства предприятием-изготовителем и в процессе эксплуатации недоступно для пользователя. Программное обеспечение следует идентифицировать по наименованию блока управления БУ-10.
-
7.3.1 Проверку электрической прочности изоляции проводить с помощью установки GPT-705 между замкнутыми контактами кабеля сетевого питания и зажимом заземления блока управления БУ-10 при включенном выключателе «СЕТЬ», расположенном на задней панели блока управления БУ -10.
-
7.3.2 Испытательное напряжение подавать (снимать) плавно или равномерно ступенями.
-
7.3.3 Излучатель выдержать под испытательным напряжением 1500 В в течение 1 минуты.
-
7.3.4 Результат проверки считается удовлетворительным, если не произошло пробоя или перекрытия изоляции.
-
7.4.1 Проверку электрического сопротивления изоляции проводить при отключенном электропитании между замкнутыми контактами кабеля сетевого питания и зажимом заземления блока управления БУ-10 при включенном выключателе «СЕТЬ», расположенном на задней панели блока управления БУ-10.
-
7.4.2 Измерение сопротивления проводить с помощью мегаомметра при напряжении 500 В.
-
7.4.3 Результат проверки считается удовлетворительным, если измеренное значение сопротивления изоляции не менее 20 МОм.
-
7.5.1 Проверку значения переходного сопротивления между зажимом заземления и любой частью металлического корпуса блока управления БУ-10 проводить с помощью измерителя универсального.
-
7.5.2 Результат проверки считается удовлетворительным, если переходное сопротивление между зажимом заземления и любой частью металлического корпуса блока управления БУ-10 не более 0,1 Ом.
-
7.6.1 Диаметр выходного отверстия и глубину полости излучателя определяют однократно с помощью рулетки или другого средства измерения линейных размеров, обеспечивающего погрешность измерений не более ± 2 %.
-
7.6.2 Отклонения измеренных значений от приведенных в руководстве по эксплуатации не должны превышать ± 5 %:
-
- диаметр выходного отверстия, мм 70,0±3,5;
-
- глубина полости излучателя, мм 270,0±13,5.
-
7.6.3 Излучатели, не удовлетворяющие вышеперечисленным требованиям, к дальнейшей поверке не допускаются.
-
7.7.1 Время выхода излучателя на стационарный режим на нижнем пределе температурного диапазона определяют, устанавливая на блоке управления БУ-10 значение, соответствующее минус 40 °C. Включают излучатель и выводят его на заданный стационарный режим согласно руководству по эксплуатации. По истечении 90 мин, определить дрейф температуры излучателя.
-
7.7.2 После выхода излучателя на стационарный режим в течение 15 мин через каждые 10-15 с определяют значение температуры по показаниям блока управления БУ-10.
-
7.7.3 Определяют средние арифметические значения температуры по результатам измерений в течение первых пяти минут, вторых пяти минут и третьих пяти минут. Разность средних арифметических значений температуры не должна превышать значения дрейфа температуры ± 0,1 °C.
-
7.7.4 Если максимальная разность средних арифметических значений температуры излучателя превышает значение дрейфа, то излучатель бракуют.
-
7.7.5 Время перехода излучателя с одного стационарного режима на другой определяют, устанавливая на блоке управления БУ-10 значение, соответствующее следующему температурному режиму излучателя (минус 10; плюс 20; плюс 50; плюс 80), и по истечении 25 мин повторяют операции по 7.7.2-7.7.4.
-
7.7.6 Время выхода излучателя на стационарный режим на верхнем пределе температурного диапазона определяют после выключения излучателя из сети и охлаждения до комнатной температуры. Затем на блоке управления БУ-10 устанавливают значение, соответствующее плюс 80 °C. Включают излучатель и по истечении 35 мин повторяют операции по 7.7.:2-7.7.4.
-
7.8.1 Нестабильности поддержания температуры излучателя в стационарном режиме определять в точках минус 40 °C, плюс 20 °Си плюс 80 °C следующим образом:
-
7.8.1.1 Вывести излучатель на требуемый стационарный режим.
-
7.8.1.2 После выхода излучателя на стационарный режим в течение 15 минут через каждые 10-15 секунд определять температуру излучателя по показаниям дисплея БУ-10 с точностью до 0,01 °C.
-
7.8.1.3 Рассчитать среднее арифметическое значение температуры Т, °C, за 15 минут измерений по формуле:
-
(1)
где 7) - i-ый результат измерений температуры, °C;
п - число измерений.
-
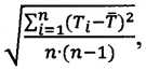
7.8.1.4 Рассчитать среднее квадратическое отклонение (далее по тексту - СКО) текущего значения температуры ST., °C, за 15 минут измерений по формуле:
(2)
7.8.2 Удвоенное значение СКО не должно превышать значения нестабильности поддержания температуры 0,1 °C.
7.8.3 Если удвоенное значение СКО превышает значение нестабильности поддержания температуры, в поверяемом излучателе, по возможности, устраняют неисправность в работе регулятора и вновь проводят операции по 7.8.1-7.8.2. Если полученное удвоенное значение СКО вновь превышает значение нестабильности, то излучатель бракуют.
7.9 Определение поправки к показаниям излучателя-
7.9.1 Поправки к показаниям излучателя определить путем измерения температуры эталонным пирометром l-ro разряда. Регистрировать показания температуры, измеренные эталонным пирометром, и показания температуры на дисплее блока управления БУ-10 излучателя. Измерения повторить пять раз. Вычислить среднее арифметическое значение температуры, измеренное эталонным пирометром и среднее арифметическое значение температуры на дисплее блока управления БУ-10. Поправку определить как разность средних арифметических показаний эталонного пирометра и излучателя.
-
7.9.2 Поправки к показаниям поверяемого излучателя определяют во всем температурном диапазоне от минус 40 до плюс 80 °C через каждые 30 °C. Полученные значения поправок вносятся в свидетельство о поверке излучателя.
-
7.9.3 Если при поверке полученное значение поправки более чем вдвое превышает значение доверительной погрешности излучателя, то излучатель бракуют.
-
7.10.1 По результатам пяти измерений при определении поправки определить доверительные границы случайной погрешности Дсл, °C, по формуле:
Дсл= ср(/эф) ' St, О)
где tpC/эф) ~ коэффициент Стьюдента (при доверительной вероятности 0,95 и числе измерений 5 Ср(/Эф) = 2,776);
Sf - СКО результата измерений, °C.
СКО результата измерений Sf, °C, определяется по формуле:


(4)
где
7\ - i-ый результат измерений температуры по индикатору блока управления БУ-10, °C;
Т - среднее арифметическое значение результатов измерений температуры, °C;
п - число измерений.
7.10.2 Определить доверительные границы неисключенной систематической погрешности
в, °C, по формуле: |
6 = 1,1- д/ДТ2 + ДТ22 + ДТ32, (5) |
где 1,1 - поправочный коэффициент, определяемый принятой доверительной вероятностью и числом m составляющих (При доверительной вероятности Р = 0,95 поправочный коэффициент к принимают равным 1,1), °C;
ATj - составляющая погрешности, обусловленная нестабильностью поддержания температуры (определяемая как удвоенное значение СКО температуры излучателя по 7.8.1.4), °C;
ДТг - составляющая погрешности, обусловленная погрешностью эталонного пирометра, °C;
ДТ3 - составляющая погрешности, обусловленная нестабильностью термометра излучателя за интервал между поверками (ДТ^ = 0,05), °C.
СКО неисключенной систематической погрешности Sg, °C, определяется по формуле:

(6)
-
7.10.3 Определить доверительные границы абсолютной погрешности воспроизведения радиационной температуры Д, °C, по формуле:
Д= к ■ S,
(7)
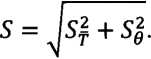
где к - коэффициент соотношения случайной погрешности и неисключенной систематической погрешности;
5- суммарное СКО, °C.
Коэффициент соотношения случайной погрешности и неисключенной систематической погрешности к определяется по формуле:
Дсл+0
(8)
(9)
Суммарное СКО 5 определяется по формуле:

-
7.10.4 Доверительные границы абсолютной погрешности воспроизведения радиационной
температуры не должны превышать:
- для диапазона воспроизводимых температур ниже 0 °C |
±1,0; |
- для диапазона воспроизводимых температур выше 0 °C |
± (l+0,004-tBOCn)- |
-
8.1 Результаты поверки оформляют протоколом поверки произвольной формы.
-
8.2 Положительные результаты первичной или периодической поверки оформляют свидетельством о поверке установленного образца.
-
8.3 При отрицательных результатах первичной поверки излучатель считают непригодным и к эксплуатации не допускают.
-
8.4 При отрицательных результатах периодической поверки излучатель считают непригодным и к эксплуатации не допускают. Свидетельство о поверке аннулируют и выдают извещение о непригодности установленного образца, с указанием причин непригодности.