Методика поверки «Сканеры лазерные VZ-400, VZ-400i, VZ-1000, VZ-2000» (Код не указан!)
УТВЕРЖДАЮ
директор

Никитин
2016 г.
Сканеры лазерные
VZ-400, VZ-4001, VZ-1000, VZ-2000
Методика поверки
г. Москва, 2016 г.
Настоящая методика поверки распространяется на сканеры лазерные VZ-400. VZ-4001. VZ-1000. VZ-2000 (далее - сканеры), производства «RIEGL Laser Measurement Systems GmbH». Австрия и устанавливает методику их первичной и периодической поверки.
Интервал между поверками - 1 год.
2. Операции поверкиПри проведении поверки должны выполняться операции, указанные в таблице 1.
Таблица 1.
№№ пункта |
Наименование операции |
Проведение операций при | |
первичной поверке |
периодической поверке | ||
8.1. |
Внешний осмотр |
Да |
Да |
8.2. |
Опробование, проверка работоспособности функциональных режимов, идентификация программного обеспечения |
Да |
Да |
8.3. |
Определение диапазона измерений расстояний, абсолютной погрешности и среднего квадратического отклонения измерений расстояний |
Да |
Да |
3. Средства поверки
При проведении поверки должны применяться эталоны, приведённые в таблице 2. Таблица 2.
№ пункта документа по поверке |
Наименование эталонов и их основные метрологические и технические характеристики |
8.1. |
Эталоны не применяются |
8.2. | |
8.3. |
Фазовый светодальномер (тахеометр электронный) 1 разряда по ГОСТ Р 8.750-2011 |
Допускается применять другие средства поверки, обеспечивающие определение метрологических характеристик с точностью, удовлетворяющей требованиям настоящей методики поверки.
4. Требования к квалификации поверителейК проведению поверки допускаются лица, изучившие эксплуатационные документы на сканеры, имеющие достаточные знания и опыт работы с ними.
5. Требования безопасностиПри проведении поверки, меры безопасности должны соответствовать требованиям по технике безопасности согласно эксплуатационной документации на сканеры, поверочное оборудование. правилам по технике безопасности, которые действуют на месте проведения поверки и правилам но технике безопасности при производстве топографо-геодезических работ ПТБ-88 (Утверждены коллегией ГУ ГК при СМ СССР 09.02.1989 г.. № 2/21).
6. Условия проведения поверкиПри проведении поверки в лаборатории должны соблюдаться следующие нормальные условия измерений:
-
- температура окружающей среды, °C.................................................... (20±5)
-
- относительная влажность воздуха. %................................................... не более 80
-
- атмосферное давление. кПа (мм рг.ст.).............................................84.0... 106,7 (630...800)
-
- изменение температуры окружающей среды во время измерений, °С/ч ....не более 2
Полевые измерения (измерения на открытом воздухе) должны проводиться при отсутствии осадков, порывов ветра, защите сканера от прямых солнечных лучей и температуре окружающего воздуха от минус 20 до плюс 40 °C.
7. Подготовка к поверкеПеред проведением поверки должны быть выполнены следующие подготовительные работы:
-
- проверить наличие действующих свидетельств о поверке на средства поверки;
-
- сканер и средства поверки привести в рабочее состояние в соответствии с их эксплуатационной документацией;
-
8. Проведение поверки
При внешнем осмотре должно быть установлено соответствие сканера следующим требованиям:
-
- отсутствие коррозии, механических повреждений и других дефектов, влияющих на эксплуатационные и метрологические характеристики сканера;
-
- наличие маркировки и комплектности согласно требованиям эксплуатационной документации на сканер;
Если требование п.8.1, не выполняется, сканер признают непригодным к применению, дальнейшие операции поверки не производят.
8.2. Опробование, проверка работоспособности функциональных режимов, идентификации программного обеспечения-
8.2.1. При опробовании должно быть установлено соответствие сканера следующим требованиям:
-
- отсутствие качки и смещений неподвижно соединенных деталей и элементов;
-
- плавность и равномерность движения подвижных частей;
-
- правильность взаимодействия с комплектом принадлежностей;
-
- работоспособность всех функциональных режимов и узлов.
-
8.2.2. Проверку идентификационных данных программного обеспечения (далее - ПО) проводить следующими образами:
Включить компьютер и запустить ПО «RiSCAN PRO». Идентификационные данные программного обеспечения появятся в верхнем левом углу после загрузки ПО.
Включить сканер в соответствии с руководством по эксплуатации. В меню программы выбрать вкладку <<Settings»->«System»->«Version & type info». В появившемся диалоговом окне отобразится наименование и версия ПО.
Данные, полученные по результатам идентификации ПО, должны соответствовать табли
це 3.
Таблица 3
Идентификационное наименование ПО |
RiSCAN PRO |
Firmware |
Номер версии (идентификационный номер ПО), не ниже |
2.1.2 |
5.2.0 |
Если требование п.8.2, не выполняется, сканер признают непригодным к применению, дальнейшие операции поверки не производят.
8.3. Определение диапазона измерений расстояний, абсолютной погрешности и среднего квадратического отклонения измерений расстоянийАбсолютная погрешность и среднее квадратическое отклонение измерений расстояний определяется путем многократного (не менее 10) измерения не менее 3 контрольных расстояний (базисов), действительные длины которых равномерно расположены в заявленном диапазоне измерений расстояний.
Определение абсолютной погрешности и среднего квадратического отклонения измерений расстояний проводить в следующей последовательности:
-
- разместить в зоне проведения испытаний штатив для установки сканера;
-
- разместить на штативе эталонный тахеометр;
-
- разместить в зоне проведения испытания штатив для установки мишени. Штатив необходимо установить на расстоянии близком (но не более) к верхнему пределу измерений расстояний сканера.
-
- установить на него квадратный щит-мишень белого (с коэффициентом отражения не менее 80%) или серого (с коэффициентом отражения не менее 10%) цвета. При помощи уровня убедиться в том. что щиг-мишень установлен в вертикальной плоскости. Располагать щит-мишень следует к штативу сканера таким образом, чтобы плоскость щита-мишени была перпендикулярна направлению на штатив:
-
- разместить в геометрическом центре щита-мишени отражательную призму;
-
- включить эталонный тахеометр, перевести его в отражательный режим измерений расстоя-
-
- измерить эталонным тахеометром расстояние до призмы на щите-мишени. Результат занести в протокол;
-
- выключить и демонтировать со штатива эталонный! тахеометр. Убрать призму с мишени;
-
- установить на штатив поверяемый сканер таким образом, чтобы сканируемый щит-мишень оказался в первой четверти углового поля сканирования горизонтальной плоскости сканера;
-
- запустить процедуру сканирования четверти углового поля сканирования в горизонтальной плоскости. Дождаться окончания сканирования щита-мишени;
-
- сохранить данные, полученные при сканировании;
-
- повторить вышеописанные операции по сканированию щита-мишени нс менее 10 раз;
Операции провести для всех диапазонов измерений расстояний с учётом частот сканирования поверяемого сканера.
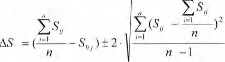
Абсолютная погрешность измерений (при доверительной вероятности 0.95) вычисляется как сумма систематической и случайной погрешности и определяется по формуле:

где Д5 - абсолютная погрешность измерений расстояний, мм;
- эталонное (действительное) значение j-oro расстояния, мм;
5, - измеренное значение j-oro расстояния i-м приемом, мм;
п - число приемов измерений j-oro расстояния.
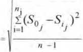
Допускаемое среднее квадартическое отклонение измерений расстояний определяется по формуле:

ms „ „
где ■ - среднее квадартическое отклонение измерении расстоянии, мм.
Значения диапазона измерений расстояний, абсолютной погрешности и СКО измерений расстояний не должны превышать значений, указанных в Приложении к настоящей методике поверки.
Если требование п.8.3, не выполняется, сканер признают непригодным к применению, дальнейшие операции поверки не производят.
9. Оформление результатов поверки-
9.1. Результаты поверки оформляются протоколом, составленным в виде сводной таблицы результатов поверки по каждому пункту раздела 8 настоящей методики поверки.
-
9.2. При положительных результатах поверки сканер признают годным к применению и па него выдается свидетельство о поверке установленной формы. Знак поверки наносится на свидетельство о поверке в виде наклейки и / или доверительного клейма.
-
9.3. При отрицательных результатах поверки сканер признают непригодным к примене
нию и на него выдается извещение о непригодности установленной формы с указанием основных причин.
Руководитель отдела ООО «Автопрогресс-М»

В.А. Лапшинов
ПРИЛОЖЕНИЕ (обязательное)
Наименование характеристики |
Значение | |||
Модификация |
VZ-400 |
VZ-400i |
VZ-1000 |
VZ-2000 |
Диапазон измерений расстояний, м: для отражающих поверхностей с коэффициентом отражения от 0.2 до 0.9 (в соответствии с ГОСТ 8.557-2007) - при частоте сканирования 50 кГц |
от 2.5 до 1050 | |||
- при частоте сканирования 70 кГц |
- |
- |
от 1.5 до 560 |
- |
- при частоте сканирования 100 кГц |
от 1,5 до 280 |
от 1.5 до 400 |
от 1.5 до 470 |
от 2.5 до 930 |
- при частоте сканирования 150 кГц |
- |
- |
от 1.5 до 380 |
- |
- при частоте сканирования 300 кГц |
от 1,5 до 160 |
от 1.5 до 230 |
от 1.5 до 270 |
от 2.5 до 500 |
- при частоте сканирования 550 кГц |
- |
- |
- |
от 2.5 до 370 |
- при частоте сканирования 600 кГц |
- |
от 1.5 до 160 |
- |
- |
- при частоте сканирования 1000 кГц |
- |
- |
- |
от 2,5 до 280 |
- при частоте сканирования 1200 кГц для отражающих поверхностей с коэффициентом отраже- |
• |
от 1.5 до 120 |
• |
* |
ния 0.9 и выше (в соответствии с ГОСТ 8.557-2007) - при частоте сканирования 50 кГц |
от 2.5 до 2050 | |||
- при частоте сканирования 70 кГц |
- |
- |
от 1.5 до 1200 |
- |
- при частоте сканирования 100 кГц |
от 1,5 до 600 |
от 1.5 до 800 |
от 1.5 до 1000 |
от 2,5 до 1800 |
- при частоте сканирования 150 кГц |
- |
- |
от 1.5 до 800 |
- |
- при частоте сканирования 300 кГц |
от 1,5 до 350 |
от 1,5 до 480 |
от 1.5 до 450 |
от 2.5 до 1000 |
- при частоте сканирования 550 кГц |
- |
- |
- |
от 2,5 до 750 |
- при частоте сканирования 600 кГц |
- |
от 1.5 до 350 |
- |
- |
- при частоте сканирования 1000 кГц |
- |
- |
- |
от 2.5 до 580 |
- при частоте сканирования 1200 кГц |
- |
от 1.5 до 250 |
- |
- |
Границы допускаемой абсолютной погрешности измерений | ||||
расстояний (при доверительной вероятности 0.95). мм |
±2 (5+10 lO^ D) |
±2(8+10 |
■10'6D) | |
где 1) - измеряемое расстояние, мм | ||||
Допускаемое среднее квадратическое отклонение измере- | ||||
ний расстояний, мм |
3+10 10 -D |
5+1010 D | ||
где D - измеряемое расстояние, мм |