Методика поверки «ГСИ. Система измерительная отделения приема, хранения, передачи натра едкого (каустической соды), серной кислоты цеха СНЕВ ООО «Саратоворгсинтез»» (МП 0411/1-311229-2016)

Регистрационный номер записи в реестре аккредитованных лиц RA.RU.311229

Государственная система обеспечения единства измерений
Система измерительная отделения приема, хранения, передачи натра едкого (каустической соды), серной кислоты цеха СНЕВ ООО «Саратоворгсинтез»
МЕТОДИКА ПОВЕРКИ
МП 0411/1-311229-2016
г. Казань
2016
СОДЕРЖАНИЕ
-
1 Введение
-
4 Требования техники безопасности и требования к квалификации поверителей 4
-
1.1 Настоящая методика поверки распространяется на систему измерительную отделения приема, хранения, передачи натра едкого (каустической соды), серной кислоты цеха СНЕВ ООО «Саратоворгсинтез», изготовленную и принадлежащую ООО «Саратоворгсинтез», г. Саратов, и устанавливает методику первичной поверки до ввода в эксплуатацию и после ремонта, а также методику периодической поверки в процессе эксплуатации.
-
1.2 Система измерительная отделения приема, хранения, передачи натра едкого (каустической соды), серной кислоты цеха СНЕВ ООО «Саратоворгсинтез» (далее - ИС) предназначена для измерений параметров технологического процесса в реальном масштабе времени (температуры, давления, расхода, уровня и водородного показателя).
-
1.3 Принцип действия ИС основан на непрерывном измерении, преобразовании и обработке при помощи комплекса измерительно-вычислительного CENTUM модели VP (регистрационный номер 21532-14) (далее - CENTUM VP) входных аналоговых унифицированных электрических сигналов силы постоянного тока от 4 до 20 мА, поступающих по измерительным каналам (далее - ИК) от первичных и промежуточных измерительных преобразователей (далее - ИП).
-
1.4 Сбор информации о состоянии технологического процесса осуществляется посредством аналоговых и дискретных сигналов, поступающих по соответствующим ИК.
-
1.5 Поверка ИС проводится поэлементно:
-
- поверка первичных ИП, входящих в состав ИС, осуществляется в соответствии с их методиками поверки;
-
- вторичную («электрическую») часть ИС поверяют на месте эксплуатации ИС в соответствии с настоящей методикой поверки;
-
- метрологические характеристики ИК ИС определяют расчетным методом в соответствии с настоящей методикой поверки.
-
1.6 Первичные ИП и ИК ИС, входящие в сферу государственного регулирования обеспечения единства измерений в соответствии с законом Российской Федерации «Об обеспечении единства измерений» от 26 июня 2008 года № 102-ФЗ, подлежат поверке в соответствии с установленным интервалом между поверками.
-
1.7 Первичные ИП и ИК ИС, применяемые вне сферы государственного регулирования обеспечения единства измерений, подлежат калибровке в соответствии с межкалибровочным интервалом, установленным в организации.
-
1.8 Допускается проведение поверки отдельных ИК из состава ИС в соответствии с заявлением владельца ИС с обязательным указанием в свидетельстве о поверке информации об объеме проведенной поверки.
-
1.9 Интервал между поверками первичных ИП, входящих в состав ИС, - в соответствии с описаниями типа на эти средства измерений (далее - СИ).
-
1.10 Интервал между поверками ИС - 2 года.
При проведении поверки должны быть выполнены операции, приведенные в таблице 2.1.
Таблица 2.1 - Операции поверки
|
№ п/п |
Наименование операции |
Номер пункта методики поверки |
|
1 |
Проверка технической документации |
7.1 |
|
2 |
Внешний осмотр |
7.2 |
|
3 |
Опробование |
7.3 |
|
4 |
Определение метрологических характеристик |
7.4 |
|
5 |
Оформление результатов поверки |
8 |
|
Примечание - Допускается проводить поверку только задействованных ИК ИС. | ||
3.1 При проведении поверки ИС применяют эталоны и СИ, приведенные в таблице 3.1.
Таблица 3.1 - Основные эталоны и СИ
|
Номер пункта методики |
Наименование и тип основного и вспомогательного средства поверки и метрологические и основные технические характеристики средства поверки |
|
5 |
Барометр-анероид М-67 с пределами измерений от 610 до 790 мм рт.ст., погрешность измерений ±0,8 мм рт.ст., по ТУ 2504-1797-75 |
|
5 |
Психрометр аспирационный М34, пределы измерений влажности от 10 до 100 %, погрешность измерений ±5 % |
|
5 |
Термометр ртутный стеклянный ТЛ-4 (№ 2) с пределами измерений от 0 до +55 °C по ГОСТ 28498-90. Цена деления шкалы 0,1 °C |
|
7.4 |
Калибратор многофункциональный MC5-R-IS (далее - калибратор): диапазон воспроизведения силы постоянного тока от 0 до 25 мА, пределы допускаемой основной погрешности воспроизведения ±(0,02 % показания + 1 мкА) |
-
3.2 Допускается применение аналогичных средств поверки, обеспечивающих определение метрологических характеристик ИС с требуемой точностью.
-
3.3 Все применяемые эталоны должны быть аттестованы; СИ должны иметь действующий знак поверки и (или) свидетельство о поверке, и (или) запись в паспорте (формуляре) СИ, заверенной подписью поверителя и знаком поверки.
-
4.1 При проведении поверки должны соблюдаться следующие требования:
-
- корпуса применяемых СИ должны быть заземлены в соответствии с их эксплуатационной документацией;
-
- ко всем используемым СИ должен быть обеспечен свободный доступ для заземления, настройки и измерений;
-
- работы по соединению вспомогательных устройств должны выполняться до подключения к сети питания;
-
- обеспечивающие безопасность труда, производственную санитарию и охрану окружающей среды;
-
- предусмотренные «Правилами технической эксплуатации электроустановок потребителей» и эксплуатационной документацией оборудования, его компонентов и применяемых средств поверки.
-
4.2 К работе по поверке должны допускаться лица:
-
- достигшие 18-летнего возраста;
-
- прошедшие инструктаж по технике безопасности в установленном порядке;
-
- изучившие эксплуатационную документацию на ИС, СИ, входящие в состав ИС, и средства поверки.
При проведении поверки должны соблюдаться следующие условия:
|
(20±5) от 30 до 80 от 84,0 до 106,7 |
Перед проведением поверки выполняют следующие подготовительные операции:
-
- проверяют заземление СИ, работающих под напряжением;
-
- эталонные СИ и вторичную («электрическую») часть ИС устанавливают в рабочее положение с соблюдением указаний эксплуатационной документации;
-
- эталонные СИ и вторичную («электрическую») часть ИС выдерживают при температуре, указанной в разделе 5, не менее трех часов, если время их выдержки не указано в эксплуатационной документации;
-
- осуществляют соединение и подготовку к проведению измерений эталонных СИ и ИС в соответствии с требованиями эксплуатационной документации.
-
7 ПРОВЕДЕНИЕ ПОВЕРКИ
-
7.1.1 При проведении проверки технической документации проверяют:
-
- наличие руководства по эксплуатации на ИС;
-
- наличие паспорта на ИС;
-
- наличие паспортов (формуляров) СИ, входящих в состав ИС;
-
- наличие у СИ, входящих в состав ИС, действующего знака поверки и (или) свидетельства о поверке, и (или) записи в паспорте (формуляре) СИ, заверенной подписью поверителя и знаком поверки;
-
- наличие свидетельства о предыдущей поверке ИС (при периодической поверке).
-
7.1.2 Результаты проверки считают положительными при наличии всей технической документации по пункту 7.1.1.
-
7.2.1 При проведении внешнего осмотра ИС контролируют выполнение требований технической документации к монтажу СИ, измерительно-вычислительных и связующих компонентов ИС.
-
7.2.2 При проведении внешнего осмотра ИС устанавливают состав и комплектность ИС. Проверку выполняют на основании сведений, содержащихся в паспорте на ИС.
-
7.2.3 Результаты проверки считают положительными, если монтаж СИ, измерительновычислительных и связующих компонентов ИС, внешний вид и комплектность ИС соответствуют требованиям технической документации.
-
7.3 Опробование
-
7.3.1.1 Подлинность программного обеспечения (далее - ПО) ИС проверяют сравнением идентификационных данных ПО ИС с соответствующими идентификационными данными, зафиксированными при испытаниях в целях утверждения типа и отраженными в описании типа ИС.
-
7.3.1.2 Проверку идентификационных данных ПО ИС проводят следующим способом:
1) Из System View в меню [Help] выбрать [Version Information...]. Откроется окно Software Configuration Viewer, в котором содержится информация о наименовании и текущей версии ПО Centum VP.
2) Полученные идентификационные данные сравнить с исходными, представленными в таблице 7.1.
Таблица 7.1 - Идентификационные данные ПО
|
Идентификационные данные (признаки) |
Значение |
|
Идентификационное наименование ПО |
CENTUM VP |
|
Номер версии (идентификационный номер) ПО |
не ниже 5.4.0.44 |
|
Цифровой идентификатор ПО |
не используется |
|
Алгоритм вычисления цифрового идентификатора ПО |
-
7.3.1.3 Проверяют возможность несанкционированного доступа к ПО ИС и наличие авторизации (введение пароля), возможность обхода авторизации, проверка реакции ПО ИС на неоднократный ввод неправильного пароля.
-
7.3.1.4 Результаты опробования считают положительными, если идентификационные данные ПО ИС совпадают с идентификационными данными, которые приведены в таблице 7.1. исключается возможность несанкционированного доступа к ПО ИС и обеспечивается авторизация.
-
7.3.2.1 Приводят ИС в рабочее состояние в соответствии с эксплуатационной документацией. Проверяют прохождение сигналов калибратора, имитирующих входные сигналы ИС. Проверяют на мониторе операторской станции управления ИС показания по регистрируемым в соответствии с конфигурацией ИС параметрам технологического процесса.
-
7.3.2.2 Результаты опробования считают положительными, если при увеличении и уменьшении значения входного сигнала ИС соответствующим образом изменяются значения измеряемой величины на мониторе операторской станции управления.
Примечание - Допускается проводить проверку работоспособности ИС одновременно с определением метрологических характеристик по пункту 7.4 данной методики поверки.
7.4 Определение метрологических характеристик 7.4.1 Определение основной приведенной погрешности преобразования входного аналогового сигнала силы постоянного тока (от 4 до 20 мА) в значение измеряемого параметра-
7.4.1.1 Отключают первичный ИП ИК и к соответствующему каналу подключают калибратор, установленный в режим имитации сигналов силы постоянного тока (от 4 до 20 мА), в соответствии с инструкцией по эксплуатации.
-
7.4.1.2 С помощью калибратора устанавливают электрический сигнал силы постоянного тока, соответствующий значениям измеряемого параметра. В качестве реперных точек принимают точки 4; 8; 12; 16; 20 мА.
-
7.4.1.3 Считывают значения входного сигнала с монитора операторской станции управления и в каждой реперной точке рассчитывают основную приведенную погрешность преобразования входного аналогового сигнала силы постоянного тока (от 4 до 20 мА) в значение измеряемого параметра увп, %, по формуле
= '"‘У-100. (1)
где
1inax Aniin
1 - значение тока, соответствующее показанию измеряемого параметра ИС в /-ой
реперной точке, мА;
I - показание калибратора в /-ой реперной точке, мА;
I - максимальное значение границы диапазона аналогового сигнала силы
max 1
постоянного тока (от 4 до 20 мА), мА;
I - минимальное значение границы диапазона аналогового сигнала силы постоянного тока (от 4 до 20 мА), мА.
-
7.4.1.4 Если показания ИС можно просмотреть только в единицах измеряемой величины,
то при линейной функции преобразования значение тока 1щм, мА, рассчитывают по формуле
изм
^max I min

min


(2)
где
max
mm
максимальное значение измеряемого параметра, соответствующее максимальному значению границы диапазона аналогового сигнала силы постоянного тока (от 4 до 20 мА), в абсолютных единицах измерений;
минимальное значение измеряемого параметра, соответствующее минимальному значению границы диапазона аналогового сигнала силы постоянного тока (от 4 до 20 мА), в абсолютных единицах измерений;
X ) ~ значение измеряемого параметра, соответствующее задаваемому аналоговому
сигналу силы постоянного тока (от 4 до 20 мА), в абсолютных единицах измерений. Считывают с монитора операторской станции управления.
-
7.4.1.5 Результаты поверки считают положительными, если рассчитанная основная приведенная погрешность преобразования входного аналогового сигнала силы постоянного тока (от 4 до 20 мА) в значение измеряемого параметра не выходит за пределы, указанные в приложении А настоящей методики поверки.
-
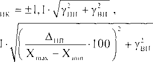
7.4.2.1 Основную приведенную погрешность ИК уик , %, рассчитывают по формулам:

(3)
(4)
где у - пределы основной приведенной погрешности первичного ИП ИК (в
соответствии с описанием типа данного ИП), %;
Д - основная абсолютная погрешность первичного ИП ИК, в абсолютных
единицах измерений.
-
7.4.2.2 Основную относительную погрешность ИК 5И|<, %, рассчитывают по формуле


где § - основная относительная погрешность первичного ИП ИК (в соответствии с
описанием типа данного ИП), %.
-
7.4.2.3 Основную абсолютную погрешность ИК Дик, в абсолютных единицах измерений, рассчитывают по формуле

(6)
-
7.4.2.4 Результаты поверки считают положительными, если рассчитанные основные погрешности ИК ИС не выходят за пределы, указанные в приложении А настоящей методики поверки.
-
8.1 При положительных результатах поверки оформляют свидетельство о поверке ИС в соответствии с Приказом Министерства промышленности и торговли Российской Федерации от 2 июля 2015 г. № 1815 «Об утверждении Порядка проведения поверки средств измерений, требования к знаку поверки и содержанию свидетельства о поверке».
-
8.2 Отрицательные результаты поверки ИС оформляют в соответствии с Приказом Министерства промышленности и торговли Российской Федерации от 2 июля 2015 г. № 1815 «Об утверждении Порядка проведения поверки средств измерений, требования к знаку поверки и содержанию свидетельства о поверке». При этом выписывается извещение о непригодности к применению ИС с указанием причин непригодности.
(обязательное)
Метрологические характеристики ИК ИС
Таблица А.1 - Метрологические характеристики ИК ИС
|
Метрологические характеристики ИК ИС |
Метрологические характеристики измерительных компонентов ИК ИС | |||||
|
Первичный ИП |
Вторичный ИП | |||||
|
Наименование ИК ИС |
Диапазоны измерений |
Пределы допускаемой основной погрешности |
Тип (выходной сигнал) |
Пределы допускаемой основной погрешности |
Типа модуля ввода/вывода |
Пределы допускаемой основной погрешности |
|
ИК темпера-туры |
от -40 до +40 °C |
±0.29 °C |
ТСП 65 (НСХ PtlOO) |
±(0,15+0,002 |t[) °C |
AAI143 |
±0,1 % диапазона преобразования |
|
Rosemount 248 (от 4 до 20 мА) |
±0,1 % диапазона измерений | |||||
|
от -40 до +50 °C |
±0,31 °C |
ТСП 65 (НСХ PtlOO) |
±(0,15+0,002 |t|) °C | |||
|
Rosemount 248 (от 4 до 20 мА) |
±0,1 % диапазона измерений | |||||
|
от -50 до +100 °C |
±0,46 °C |
ТСП 65 (НСХ PtlOO) |
±(0,15+0,002-(t() °C | |||
|
Rosemount 248 (от 4 до 20 мА) |
±0,1 % диапазона измерений | |||||
|
от 0 до +100 °C |
±0,42 °C |
ТСП 65 (НСХ PtlOO) |
±(0,15+0,002 |t|) °C | |||
|
Rosemount 248 (от 4 до 20 мА) |
±0,1 % диапазона измерений | |||||
|
от 0 до +300 °C |
±0,95 °C |
ТСП 65 (НСХ PtlOO) |
±(0,15+0,002 |t|) °C | |||
|
Rosemount 248 (от 4 до 20 мА) |
±0,1 % диапазона измерений | |||||
|
от -50 до +150 °C |
±0,6 °C |
ТСМУ 0104 (от 4 до 20 мА) |
±0,25 % диапазона измерений | |||
|
Метрологические характеристики ИК ИС |
Метрологические характеристики измерительных компонентов ИК ИС | |||||
|
Первичный ИИ |
Вторичный ИИ | |||||
|
Наименование ИК ИС |
Диапазоны измерений |
Пределы допускаемой основной погрешности |
Тип (выходной сигнал) |
Пределы допускаемой основной погрешности |
Типа модуля ввода/вывода |
Пределы допускаемой основной погрешности |
|
ИК давления |
от 0 до 100 мм вод.ст.; от 0 до 4000 мм вод.ст. |
±0,14% диапазона измерений |
2051С (от 4 до 20 мА) |
±0,075 % диапазона измерений |
AAI143 |
±0,1 % диапазона преобразования |
|
от 0 до 0.6 МПа; от 0 до 1 МПа; от 0 до 1,6 МПа; от 0 до 3 МПа |
±0,16 % диапазона измерений |
2088 (от 4 до 20 мА) |
±0,1 % диапазона измерений | |||
|
от 0 до 20 кгс/см2 |
±0,25 % диапазона измерений |
EJA 530 (от 4 до 20 мА) |
±0,2 % диапазона измерений | |||
|
ИК уровня |
от 0 до 1000 мм (от 0 до 100 %) |
±16,6 мм (в диапазоне измерений от 0 до 400 мм); ±3,5 мм (в диапазоне измерений от 400 до 1000 мм) |
5402 (от 4 до 20 мА) |
±15 мм (в диапазоне измерений от 0 до 400 мм); ±3 мм (в диапазоне измерений от 400 до 1000 мм) |
AAI143 |
±0,1 % диапазона преобразования |
|
от 0 до 1200 мм (от 0 до 100 %) |
±16,6 мм (в диапазоне измерений от 0 до 400 мм); ±3,6 мм (в диапазоне измерений от 400 до 1200 мм) |
5402 (от 4 до 20 мА) |
±15 мм (в диапазоне измерений от 0 до 400 мм); ±3 мм (в диапазоне измерений от 400 до 1200 мм) | |||
|
Метрологические характеристики ИК ИС |
Метрологические характеристики измерительных компонентов ИК ИС | |||||
|
Первичный ИИ |
Вторичный ИГ1 | |||||
|
Наименование ИК ИС |
Диапазоны измерений |
Пределы допускаемой основной погрешности |
Тип (выходной сигнал) |
Пределы допускаемой основной погрешности |
Типа модуля ввода/вывода |
Пределы допускаемой основной погрешности |
|
ИК уровня |
от 0 до 3300 мм (от 0 до 100 %) |
±16,9 мм (в диапазоне измерений от 0 до 400 мм); ±5,0 мм (в диапазоне измерений от 400 до 3300 мм) |
5402 (от 4 до 20 мА) |
± 15 мм (в диапазоне измерений от 0 до 400 мм); ±3 мм (в диапазоне измерений от 400 до 3300 мм) |
AAI143 |
±0,1 % диапазона преобразования |
|
от 0 до 8760 мм (от 0 до 100 %) |
±19,2 мм (в диапазоне измерений от 0 до 400 мм); ±10,2 мм (в диапазоне измерений от 400 до 8760 мм) |
5402 (от 4 до 20 мА) |
±15 мм (в диапазоне измерений от 0 до 400 мм); ±3 мм (в диапазоне измерений от 400 до 8760 мм) | |||
|
от 0 до 1820 мм (от 0 до 100 %) |
±3 мм |
VEGAPULS 62 (от 4 до 20 мА) |
±2 мм | |||
|
от 0 до 100 % |
±9,1 мм11 |
VEGAPULS 62 (от 4 до 20 мА) |
±2 мм | |||
|
ИК водородного показателя |
от 0 до 20 pH |
±0,12 pH |
FLXA21 (от 4 до 20 мА) |
±0,1 pH |
AAI143 |
±0,1 % диапазона преобразования |
|
Метрологические характеристики ИК ИС |
Метрологические характеристики измерительных компонентов ИК ИС | |||||
|
Первичный ИП |
Вторичный ИГ1 | |||||
|
Наименование ИК ИС |
Диапазоны измерений |
Пределы допускаемой основной погрешности |
Тип (выходной сигнал) |
Пределы допускаемой основной погрешности |
Типа модуля ввода/вывода |
Пределы допускаемой основной погрешности |
|
ИК массового расхода |
от 0 до 60 кг/ч |
см. примечание 3 |
Micro Motion CMF 1700 (от 4 до 20 мА) |
±0.35 % измеряемой величины |
AAI143 |
±0.1 % диапазона преобразования |
|
от 0 до 1500 кг/ч |
см. примечание 3 |
8711 (от 4 до 20 мА) |
±0,5 % измеряемой величины | |||
|
от 0 до 18300 кг/ч |
см. примечание 3 |
Micro Motion F 2700 (от 4 до 20 мА) |
±0,2 % измеряемой величины | |||
|
от 0 до 92000 кг/ч |
см. примечание 3 |
Micro Motion F 2700 (от 4 до 20 мА) |
±0,1 % измеряемой величины | |||
|
от 0 до 3 т/ч |
см. примечание 3 |
YEWFLO DY (от 4 до 20 мА) |
±1,0 % измеряемой величины для газа и пара при V <35 м/с; ±1,5 % измеряемой величины для газа и пара при 35 м/с< V <80 м/с | |||
|
ИК объемного расхода |
от 0 до 50 м3/ч |
см. примечание 3 |
8800DF (от 4 до 20 мА) |
±(0,65 % измеряемой величины + 0,025 % диапазона преобразования2*) |
AAI143 |
±0,1 % диапазона преобразования |
|
от 0 до 28 м3/ч |
±1,8 % диапазона измерений |
RAMC (от 4 до 20 мА) |
±1,6 % диапазона измерений | |||
|
Метрологические характеристики ИК ИС |
Метрологические характеристики измерительных компонентов ИК ИС | |||||
|
Первичный ИП |
Вторичный ИП | |||||
|
Наименование ИК ИС |
Диапазоны измерений |
Пределы допускаемой основной погрешности |
Тип (выходной сигнал) |
Пределы допускаемой основной погрешности |
Типа модуля ввода/вывода |
Пределы допускаемой основной погрешности |
|
ИК объемного расхода |
от 0 до 250 м3/ч |
см. примечание 3 |
YEWFLO DY (от 4 до 20 мА) |
±1,0 % измеряемой величины для газа и пара при V <35 м/с; ±1,5 % измеряемой величины для газа и пара при 35 м/с< V <80 м/с |
AAI143 |
±0,1 % диапазона преобразования |
|
от 0 до 25 м3/ч |
см. примечание 3 |
ADMAG AXF (от 4 до 20 мА) |
±0,2 % измеряемой величины | |||
|
ИК силы постоянного тока |
от 4 до 20 мА |
±0,1 % диапазона измерений |
- |
- |
AAI143 |
±0,1 % диапазона преобразования |
|
Пределы допускаемой основной погрешности ИК нормированы для диапазона измерений первичного ИП от 0 до 8000 мм. В случае перенастройки диапазона измерений первичного ИП пределы допускаемой основной погрешности ИК следует определять согласно примечанию 3. 2) Пределы допускаемой основной приведенной погрешности преобразования расхода в токовый выходной сигнал. Примечания
5ик=±М ’ где 5ПП - пределы допускаемой основной относительной погрешности первичного ИП ИК, %; уви - пределы допускаемой основной приведенной погрешности вторичного ИП ИК, %; Xnm - максимальное значение диапазона измерений ИК, в абсолютных единицах измерений; X 1шл - минимальное значение диапазона измерений ИК, в абсолютных единицах измерений; Хи11 - измеренное значение, в абсолютных единицах измерений. | ||||||
|
Метрологические характеристики ИК ИС |
Метрологические характеристики измерительных компонентов ИК ИС | |||||
|
Первичный ИП |
Вторичный ИП | |||||
|
Наименование ИК ИС |
Диапазоны измерений |
Пределы допускаемой основной погрешности |
Тип (выходной сигнал) |
Пределы допускаемой основной погрешности |
Типа модуля ввода/вывода |
Пределы допускаемой основной погрешности |
|
5 Для расчета погрешности ИК в условиях эксплуатации:
Пределы допускаемых значений погрешности Аси измерительного компонента ИК в условиях эксплуатации вычисляют по формуле Аси =±^Ао+ЁЛ> ’ где д^ - пределы допускаемых значений основной погрешности измерительного компонента; п - число учитываемых влияющих факторов; д - пределы допускаемой дополнительной погрешности измерительного компонента от /-го влияющего фактора в условиях эксплуатации при общем числе п 1 учитываемых влияющих факторов. Для каждого ИК рассчитывают границы, в которых с вероятностью равной 0,95 должна находится его погрешность Аик , в условиях эксплуатации по формуле л»к=±|-'■ где АСИ| - пределы допускаемых значений погрешности Аси /-го измерительного компонента ИК в условиях эксплуатации; ]< - количество измерительных компонентов ИК. | ||||||
13 из 13
