Методика поверки «Тахеометры электронные Spectra Precision Focus 35» (МП АПМ 33-16)
УТВЕРЖДАЮ Генеральный директор прогресс - М»

А. С. Никитин
«15» июня 2016 г.
г. Москва
2016 г.
Настоящая методика поверки распространяется на тахеометры электронные Spectra Precision Focus 35 (далее - тахеометры), производства «Trimble Inc.», США, и устанавливают методику их первичной и периодической поверки.
Интервал между поверками - 1 год.
1 Операции поверки
При проведении поверки должны выполняться операции, указанные в таблице 1. Таблица 1
|
№ п/п |
Наименование операции |
№ пункта доку-мента по поверке |
Проведение операций при | |
|
первичной поверки |
периодической поверке | |||
|
1 |
Внешний осмотр |
7.1 |
Да |
Да |
|
2 |
Опробование, проверка работоспособности функциональных режимов, идентификация программного обеспечения |
7.2 |
Да |
Да |
|
3 |
Определение метрологических характеристик |
7.3 |
- |
- |
|
3.1 |
Определение абсолютной и средней квадратической погрешностей измерений расстояний |
7.3.1 |
Да |
Да |
|
3.2 |
Определение абсолютной и средней квадратической погрешностей измерений угла |
7.3.2 |
Да |
Да |
2 Средства поверки
При проведении поверки должны применяться эталоны и вспомогательные средства поверки, приведенные в таблице 2.
Таблица 2
|
№ пункта документа по поверке |
Наименование эталонов, вспомогательных средств поверки и их основные метрологические и технические характеристики |
|
7.3.1 |
Фазовый светодальномер (тахеометр электронный) 1-го разряда по ГОСТ Р 8.750-2011 |
|
7.3.2 |
Стенд универсальный коллиматорный ВЕГА УКС (per. № 44753-16) |
|
Примечание - Допускается применять другие средства поверки, обеспечивающие определение метрологических характеристик с точностью, удовлетворяющей требованиям настоящей методики. | |
К проведению поверки допускаются лица, изучившие эксплуатационные документы, имеющие достаточные знания и опыт работы с тахеометрами.
4 Требования безопасностиПри проведении поверки, меры безопасности должны соответствовать требованиям по технике безопасности согласно эксплуатационной документации, правилам по технике безопасности, действующие на месте проведения поверки и требованиям МЭК-825 «Радиационная безопасность лазерной продукции, классификация оборудования, требования и руководство для потребителей», а также правилам по технике безопасности при производстве топографогеодезических работ ПТБ-88.
5 Условия поверки-
5.1 Поверка тахеометров может быть проведена в полевых или лабораторных условиях.
При проведении поверки в лабораторных условиях должны соблюдаться следующие нормальные условия измерений:
-
- температура окружающей среды, °C (20±5)
-
- относительная влажность воздуха, %, не более 80
-
- атмосферное давление, мм рт. ст. (кПа) 630...800
(84,0... 106,7)
-
- изменение температуры окружающей среды во время поверки, °С/ч, не более 2
Полевые измерения (измерения на открытом воздухе) должны проводиться при отсутствии осадков, порывов ветра и при температуре окружающей среды от минус 20 до плюс 50 °C.
6 Подготовка к поверкеПеред проведением поверки должны быть выполнены следующие подготовительные работы:
-
- проверить наличие действующих свидетельств о поверке на средства измерений;
-
- тахеометр и средства поверки привести в рабочее состояние в соответствии с их эксплуатационной документацией;
-
- тахеометр и средства поверки должны быть выдержаны при нормальных условиях не менее 1 ч.
-
7 Проведение поверки
При внешнем осмотре должно быть установлено соответствие тахеометра следующим требованиям:
, - отсутствие коррозии, механических повреждений и других дефектов, влияющих на экс
плуатационные и метрологические характеристики тахеометра;
-
- наличие маркировки и комплектность согласно требованиям эксплуатационной документации на тахеометр;
Если перечисленные требования не выполняются, тахеометр признают непригодным к применению, дальнейшие операции поверки не производятся.
7.2 Опробование, проверка работоспособности функциональных режимов, идентификация программного обеспечения-
7.2.1 При опробовании должно быть установлено соответствие тахеометра следующим требованиям:
-
- отсутствие качки и смещений неподвижно соединенных деталей и элементов;
-
- плавность и равномерность движения подвижных частей;
-
- правильность взаимодействия с комплектом принадлежностей;
-
- работоспособность всех функциональных режимов и узлов;
-
- дискретность отсчета измерений углов и расстояний должны соответствовать эксплуатационной документации.
-
7.2.2 Проверка идентификационных данных программного обеспечения (далее - ПО) «Focus 35 Firmware» производится при включении тахеометра.
Проверка идентификационных данных ПО «Spectra Precision Survey Pro» производится через интерфейс пользователя путем выбора в стартовом меню «Survey Pro» раздел «Файл», затем «О программе».
В появившемся диалоговом окне будут отображены наименование и версия ПО.
Данные, полученные по результатам идентификации ПО, должны соответствовать таб
лице 3.
Таблица 3
|
Идентификационное наименование ПО |
Focus 35 Firmware |
Spectra Precision Survey Pro |
|
Номер версии (идентификационный номер ПО), не ниже |
1.5.9 |
6.0.1 |
Если перечисленные требования не выполняются, тахеометр признают непригодным к применению, дальнейшие операции поверки не производят.
7.3 Определение метрологических характеристик
7.3.1 Определение абсолютной и средней квадратической погрешностей измерений расстоянийАбсолютная погрешность измерений и СКП измерений расстояний определяется путем сличения с эталонным тахеометром 1-го разряда по ГОСТ Р 8.750-2011.
Необходимо провести многократно, не менее 10 раз, измерения не менее 3 значений расстояний, действительные длины которых расположены в заявляемом диапазоне измерений расстояний поверяемого тахеометра и определены с помощью эталонного тахеометра 1-го разряда по ГОСТ Р 8.750-2011.
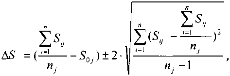
Абсолютная погрешность измерений (при доверительной вероятности 0,95) расстояний определяется по формуле:

(1)
где AS - абсолютная погрешность измерений j-ro расстояния, мм;
Soj - эталонное (действительное) значение j-ro расстояния, полученное по эталонному тахеометру;
S i j - полученное значение j-ro расстояния i-м приемом по поверяемому тахеометру;
rij - число приемов измерений j-ro расстояния.
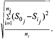
Средняя квадратическая погрешность измерений каждой линии вычисляется по формуле:
ms,

(2)
где ms - средняя квадратическая погрешность измерения j-ro расстояния.
Значение абсолютной погрешности (при доверительной вероятности 0,95) и средней квадратической погрешности измерений расстояний должны соответствовать значениям, приведённым в Приложении к настоящей методике поверки.
Если требование п.7.3.1, не выполняется, тахеометр признают непригодным к применению, дальнейшие операции поверки не производят.
7.3.2 Определение абсолютной и средней квадратической погрешностей измерений углаАбсолютная погрешность и СКП измерений углов определяется на эталонном коллиматором стенде путем многократных измерений (не менее четырех циклов измерений, состоящих из измерений в положении «Круг право» (КП) и «Круг лево» (КЛ) горизонтального угла (90±30)° и вертикального угла (более ±20°).
Абсолютная погрешность измерений (при доверительной вероятности 0,95) горизонтального и вертикального углов вычисляется по формуле:
где Av; - абсолютная погрешность измерений горизонтального (вертикального) угла,
Voj - значение горизонтального (вертикального) угла по эталонному коллиматорному стенду, взятое из свидетельства о поверке на него,
V,7 - значение горизонтального (вертикального) угла, по поверяемому тахеометру,
п - число измерений.
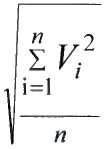
Средняя квадратическая погрешность измерений горизонтального и вертикального углов вычисляется по формуле:

(4)
где mvi - средняя квадратическая погрешность измерений горизонтального (вертикального) угла,
Vi - разность между измеренным поверяемым тахеометром значением i-ro горизонтального (вертикального) угла и значением i-ro горизонтального (вертикального) угла по эталонному коллиматорному стенду, взятому из свидетельства о поверке на него,
п - число измерений.
Значения абсолютной погрешности (при доверительной вероятности 0,95) и средней квадратической погрешности измерений углов не должны превышать значений, указанных в Приложении к настоящей методике поверки.
Если требование п.7.3.2, не выполняется, тахеометр признают непригодным к применению, дальнейшие операции поверки не производят.
8 Оформление результатов поверки-
8.1 Результаты поверки оформляются протоколом, составленным в виде сводной таблицы результатов поверки по каждому пункту раздела 7 настоящей методики поверки.
-
8.2 При положительных результатах поверки, тахеометр признается годным к применению и на него выдается свидетельство о поверке установленной формы. Знак поверки наносится на свидетельство о поверке в виде наклейки и (или) поверительного клейма.
-
8.3 При отрицательных результатах поверки, тахеометр признается непригодным к применению и на него выдается извещение о непригодности установленной формы с указанием основных причин.
Руководитель отдела ООО «Автопрогресс - М»
В. А. Лапшинов
Приложение (обязательное)
Метрологические и технические характеристики
|
Наименование характеристики |
Значение | |||
|
Модификация |
Spectra Precision Focus 35 1” |
Spectra Precision Focus 35 2" |
Spectra Precision Focus 35 3" |
Spectra Precision Focus 35 5" |
|
Границы допускаемой абсолютной погрешности измерений углов (при доверительной вероятности 0,95), " |
±2 |
±4 |
±6 |
±10 |
|
Допускаемая средняя квадратическая погрешность измерений углов, " |
1 |
2 |
3 |
5 |
|
Границы допускаемой абсолютной погрешности измерений расстояний (при доверительной вероятности 0,95), мм:
|
±2-(2+2-10'6-D) ±2-(3+2-10'6-D) где D - измеряемое расстояние, мм | |||
|
Допускаемая средняя квадратическая погрешность измерений расстояний, мм:
|
2+2-10'6-D 3+2-10'6-D где D - измеряемое расстояние, мм | |||
