Методика поверки «Система управления технологическим и стендовым оборудованием сборочного испытательного корпуса корабельных газотурбинных агрегатов автоматизированная» (МП ИНСИ.425845.000.00 )
УТВЕРЖДАЮ
Инструкция
Система управления технологическим и стендовым оборудованием сборочного испытательного корпуса корабельных газотурбинных агрегатов автоматизированная
Методика поверки
ИНСИ.425845.000.00 МП
2017 г.
СОДЕРЖАНИЕСтр.
Приложение Б - Форма протокола поверки ИК
Приложение В - Список ссылок на нормативно-техническую
Приложение Г - Принятые в документе сокращенные обозначения.....
Приложение Д - Основные MX АСУТСО СИКК
ВВЕДЕНИЕНастоящая методика поверки распространяется на систему управления технологическим и стендовым оборудованием сборочного испытательного корпуса корабельных газотурбинных агрегатов автоматизированную (далее - АСУТСО СИКК) и устанавливает порядок проведения и оформления результатов первичной и периодической поверки.
Интервал между поверками - 1 год.
1 СПОСОБЫ И ОПЕРАЦИИ ПОВЕРКИ-
1.1 МП разработана в соответствии с требованиями: ОСТ 1 01021-93, ГОСТ 8.009-84, ГОСТ Р 8.596-2002, МИ 1317-2004 и ГОСТ 8.022-91.
1.2 Перечень метрологических характеристик, подлежащих определению при поверке, приведен в таблице 1. Таблица 1
|
Наименование MX ИК |
Условное обозначение |
|
Среднее арифметическое значение измеренной величины на z-ой ступени |
Z |
|
Оценка систематической составляющей погрешности |
А„ |
|
Оценка среднего квадратического отклонения измеренной величины на z-ой ступени |
S, (А) |
|
Граница систематической погрешности ИК на z-ой ступени |
0; |
|
Граница суммарной абсолютной погрешности ИК на z-ой ступени |
Д/ |
|
Абсолютная погрешность ИК |
А |
|
Приведенная погрешность ИК |
7 |
Исходными данными для расчета MX ИК являются выходные сигналы ИК, представляемые в виде массивов чисел у1к, полученные при подаче на вход поверяемого ИК входных величин xt, контролируемых по рабочему эталону, где z - индекс номера контрольной точки; к - индекс номера отсчета в контрольной точке.
-
1.3 Нормирование MX.
-
1.3.1 MX ИК определяются ГОСТ Р 8.736-2011.
-
1.4 Нормирование экспериментальных исследований.
-
1.4.1 Количество контрольных точек, линейно распределенных на диапазон измерения, в соответствии с рекомендациями, приведенными в МИ 2440-97 (Приложение 2) и с учетом предварительных исследований АСУТСО СИКК - не менее пяти.
-
1.4.2 Количество измерений в контрольной точке диапазона в соответствии с рекомендациями МИ 2440-97 и с учетом исследований, проведенных на этапе предварительных исследований АСУТСО СИКК - однократное измерение.
-
-
1.5 Операции поверки.
-
1.5.1 При проведении поверки ИК должны быть выполнятся операции приведенные в таблице 2.
-
-
Таблица 2
|
Наименование операции |
Номер пункта методики поверки |
Проведение операции | |
|
первичной поверке (после ремонта) |
периодиче ской поверке | ||
|
1 Внешний осмотр |
6.1 |
да |
да |
|
2 Опробование |
6.3 |
да |
да |
|
3 Проверка контрольной суммы исполняемого кода (цифрового идентификатора) программного обеспечения (ПО) |
6.4 |
да |
да |
|
4 Определение MX АСУТСО СИКК | |||
|
4.5 Определение приведенной (к ВП) погрешности измерений силы постоянного тока Количество ИК -148 |
7.1 |
да |
да |
|
5 Обработка результатов измерений и определение MX АСУТСО СИКК |
8 |
да |
да |
|
6 Оформление результатов поверки |
9 |
да |
да |
2 СРЕДСТВА ПОВЕРКИ
2.1. При проведении поверки используются основные и вспомогательные СИ, приведенные в таблице 3.
Таблица 3
|
Номер пункта МП |
Наименование рабочих эталонов или вспомогательных средств поверки, номер документа, регламентирующего технические требования к рабочим эталонам или вспомогательным средствам. Разряд по государственной поверочной схеме и (или) метрологические и основные технические характеристики |
|
Основное оборудование | |
|
7.1 |
Калибратор многофункциональный MCX-IIR: диапазон воспроизведения силы постоянного тока от 0 до 24 мА; пределы допускаемой абсолютной погрешности воспроизведения силы постоянного тока ± (0,012 % от диапазона + 0,001 мА) |
|
Вспомогательное оборудование | |
|
5.1, 7.1 |
Стационарный одноканальный термогигрометр в щитовом корпусе ИВТМ-7/1-Щ с измерительным преобразователем температуры и влажности ИПВТ-03-04-Б: диапазон измерения влажности от 0 до 99 %, пределы допускаемой погрешности ± 2 %; диапазоны измерения температуры от минус 40 до 120 °C, пределы допускаемой абсолютной погрешности измерения температуры:
|
|
5.1, 7.1 |
Барометр рабочий сетевой БРС-1М-1: диапазон измерения абсолютного давления от 600 до 1100 гПа (от 450 до 825 мм рт. ст.), пределы допускаемой абсолютной погрешности измерений абсолютного давления ± 33 Па (± 0,25 мм рт. ст.) |
2.2 При проведении поверки допускается применять другие СИ, удовлетворяющие по точности и диапазону измерения требованиям настоящей методики.
-
2.5 Рабочие эталоны должны быть внесены в рабочее помещение не менее чем за 12 часов до начала поверки.
-
2.6 Вспомогательные средства поверки должны быть поверены и иметь действующие свидетельства о поверке (знаки поверки).
-
3.1 При проведении поверки необходимо соблюдать требования техники безопасности, предусмотренные «Правилами технической эксплуатации электроустановок потребителей» и «Межотраслевыми правилами по охране труда (Правила безопасности) при эксплуатации электроустановок» ПОТ Р М-016-2001 Р Д 153-34.0-03.150-00, ГОСТ 12.2.007.0-75, ГОСТ 12.1.019-2009, ГОСТ 12.1.038-82, ГОСТ 12.1.030-81, ГОСТ 12.1.004-91 и требования безопасности, указанные в технической документации на применяемые рабочие эталоны и вспомогательное оборудование.
-
3.2 Поверка АСУТСО СИКК должна осуществляться лицами не моложе 18 лет, изучившими её эксплуатационную и нормативно-техническую документацию и аттестованными в качестве поверителей.
-
3.3 Лица, участвующие в поверке АСУТСО СИКК, должны пройти инструктаж и аттестацию на знание правил техники безопасности, пожарной безопасности.
-
4.1 При проведении поверки должны соблюдаться следующие условия:
Условия окружающей среды:
-
- температура окружающего воздуха, °C.....................................................................от 15 до 35;
-
- относительная влажность воздуха при температуре 25 °C, %................................от 30 до 80;
-
- атмосферное давление, кПа......................................................................................от 93 до 107.
Параметры электропитания:
-
- напряжение питания однофазной сети переменного тока, В.........................................220±22;
-
- частота переменного тока, Гц............................................................................................... 50±2.
Примечание - При проведении поверочных работ условия окружающей среды средств поверки (рабочих эталонов) должны соответствовать регламентируемым в их инструкциях по эксплуатации требованиям.
5 ПОДГОТОВКА К ПОВЕРКЕ-
5.1 При подготовке к поверке провести следующие работы:
-
- проверить наличие поверочных клейм, а также свидетельства о поверке на основные и вспомогательные СИ;
-
- проверить целостность электрических цепей ИК;
-
- обеспечить оперативную связь оператора у монитора с оператором, задающим контрольные значения;
-
- включить вентиляцию и освещение;
-
- подготовить к работе все приборы и аппаратуры АСУТСО СИКК согласно руководству по эксплуатации ИНСИ.425845.000.00 РЭ;
-
- включить питание аппаратуры АСУТСО СИКК;
-
- ожидать прогрева аппаратуры не менее 20 минут;
-
- перед началом поверки измерить и занести в протокол поверки условия окружающей среды (температура и влажность воздуха, атмосферное давление).
-
2.3 При поверке должны использоваться средства измерений утвержденных типов.
-
2.4 Используемые при поверке рабочие эталоны должны быть поверены в соответствии с требованиями приказа Минпромторга России от 2 июля 2015 г. № 1815 и иметь действующее свидетельство о поверке (знак поверки).
-
6.1.1 При внешнем осмотре проверить:
-
- комплектность эксплуатационной документации АСУТСО СИКК:
-
- отсутствие механических повреждений;
-
- отсутствие нарушений экранировки линий связи;
-
- отсутствие обугливания и следов коррозии на изоляции внешних токоведущих частей АСУТСО СИКК;
-
- отсутствие неудовлетворительного крепления разъемов;
-
- заземление электронных блоков АСУТСО СИКК.
-
6.1.2 Результаты внешнего осмотра считать положительными, если выполняются вышеперечисленные требования.
-
6.2.1 Выбрать ИК для поверки.
-
6.2.2 Запустить программную утилиту «Метрология» (рисунок I) двойным щелчком левой кнопки мыши по пиктограмме «Метрология» на рабочем столе персонального компьютера I автоматизированного рабочего места операторов (АРМ I).
-
6.2.3 Указать файл конфигурации. Для этого в меню «Файл/Конфигурация» ввести полный сетевой путь к файлу конфигурации АСУТСО СИКК. При нажатии кнопки «Применить» программа загружает данные из указанного файла. При последующих запусках программы имя и путь к файлу конфигурации повторно вводить не требуется.
-
6.2.4 Настроить программу «Метрология» для проведения поверки.
Программа метролог имесжог nctep«v 3.12.2 ____
Файл Настройки
Пользователь;2
Поверка измерительного канала
₽ассчитвте> ■■
Bl.tR
_2Р001
Экранное имя 2Р001
Пин Значение вк.
19994631 2Р001
Ед. изм. мА
|
Н» |
Значение КТ, |
|
1 |
.4 |
|
2 |
8 |
|
3 |
12 |
|
4 |
16 |
|
5 |
20 |
$.001309
11.997538
16.000352
19.994641
Измер. знач,. мА
; ПОМОЩЬ
1.МНМЮЕ-0
Соединение с сервером не установлено
Значение вых.
19.994631
кьдные энвчения
© Кситрольнье
• Знаиеняв пс попнм&гу
|
| N9 |
Значение КТ. |
Погреши. |
И амер. |
I Значение |
Систем. |
ско |
| Неисключ. |
Абс. |
|
мА |
эталона. |
сигнал, |
J по полиному, |
погреши.. |
мА |
погреши., |
погреши., | |
|
мА |
мА |
j мА |
мА |
I мА |
мА | |||
|
i 1 |
4 |
0.003880 |
3.998540 |
3.998540 |
0.001460 |
0.001348 |
0.004560 |
0.005352 |
|
: 2 |
8 |
0.003880 |
8.001180 |
8 001180 |
0.001180 |
0.002514 |
9.004461 |
0 006639 |
|
j з |
12 |
0.003880 |
11.997513 |
11.997513 |
0.002487 |
0.000542 |
0.005069 |
0.005069 |
|
4 |
16 |
0.003880 |
16.000354 |
16.000354 |
0.000354 |
0.000123 |
0.004286 |
0.004286 |
|
5 |
20 |
0.003880 |
19.994631 |
19 994631 |
0.005369 |
0-001315 |
0.007287 |
0.007374 |
|
I N? |
Диапазон |
Форма предел, погрешности |
Допускаемая погрешность |
Погрешность |
Ед. измер погрешности |
Абс. погреши. мА | |
|
1 |
4 .29 |
вп |
0.05 |
0.039369 |
% |
0.007874 | |
Коэфф. Значение
Рисунок 1 - НО поверки
-
6.2.4.1 Открыть окно «Выбор каналов» (рисунок 2) нажав на значок «Каналы» и добавить выбранный ИК (в соответствии с Приложением А) в таблицу «Выбранные каналы» нажав кнопку «Ф».
Выбранные каналы
База каналов
Имя
Экранное имя
Пии
ССД -
3&0Р001
300Р001
300P001
3
39DP002
ЗООРОО2
300P002
3
_300PG03
.ЗООРОТЗ
ЗООРООЗ
3
300P004
300PD04
3O0P0Q4
3
_3(ЮР005
_300P005
300P005
3
ЗООРООБ
300P&06
300P006
3
ЗО&Р&О7
ЗООР1Ю7
300P007
3
_30ОРО08
_300P008
300P008
3
300P009
ЗООРООЭ
ЗООРООЭ
3
300P010
_300Р0Ю
300Р010
3
30СР011
300Р011
300Р011
3
_3(ЮР012
_200Р012
300P012
3
300P0U
3OOPO13
300P013
3 ₽
ЛплпллЛ
',ЛЛЛЛЛ *
*
Поиск
Поле
I
j Имя
.’J
Фильтр

Имя Экранное имя
Пин ССД
Применить
5 \ Отмена

Рисунок 2 - Окно выбора каналов
-
6.2.4.2 В меню «Настройки/Общие» открыть окно «Общие параметры» (рисунок 3) и выполнить следующие действия:
-
- выбрать операцию «Поверка» из выпадающего списка «Операция»;
-
- выбрать «Канал» из выпадающего списка «Объект»;
-
- установить значение частоты выборки в поле «Частота выборки, Гц», равное «100»;
-
- задать число наблюдений значения сигнала в контрольной точке в поле «Размер
выборки», равное «50».

Общ/е пграме-эы
Файл паролей
Рисунок 3 - Окно ввода общих параметров
C:\mypassfile
Открыть
|
Частота выборки, Гц |
Размер выборки | ||
|
100 |
50 | ||
|
Операций |
Объект | ||
|
■ Поверка |
?Канал |
zJ | |
-
6.2.4.3 Настроить параметры измерений в окне «Параметры измерений» (рисунок 4) выбрав в меню «Настройки/Измерения»:
-
- убедиться в отсутствии выбора в ячейке «Циклы»;
-
- ввести значения контрольных точек сигнала с рабочего эталона, подаваемого на вход поверяемого ИК. Ввод возможен как вручную (при нажатии кнопки «Добавить»), так и автоматически с равными интервалами в заданном диапазоне. Во втором случае вводится значения начальной и конечной точки диапазона измерений данного ИК в соответствии с таблицей Д.1 и задается число контрольных точек. После чего нажимается кнопка «Рассчитать».
_ _ 1 Д*2 л
Параметры измерении
Контрольные точки. мА
|
№ |
|Значение |
|
И |
4 |
|
2 |
8 |
|
3 |
12 |
|
4 |
16 |
|
5 |
20 |
Г Циклы
Начальная точка диапазона. мА
4.90900
Конечная точка диапазона. мА
Число точек
5
|
Дооавить L-W |
Очистить |
S |
Рассчитать | ||
Применить I;
Помошь
Отмена
Рисунок 4 - Окно параметров измерений
-
6.2.4.4 Занести параметры рабочего эталона в меню «Настройки/Эталоны». В поле «Выбранные эталоны» отображается перечень файлов с описаниями рабочих эталонов, применяемых в зависимости от выполняемых работ. Для добавления нового СП нажимается кнопка «Добавить» и выбирается соответствующий файл. Для удаления из списка нажать кнопку «Удалить». Для создания файла описания нового эталонного средства или редактирования имеющегося нажать кнопку «Редактор эталонов». Где вводятся следующие параметры:
-
- «Название» - название рабочего эталона в произвольной форме;
-
- «Заводской №» - заводской номер эталонного СИ;
-
- «Поверен до (дата)» - дата очередной поверки рабочего эталона;
-
- «Физическая величина» - наименование физической величины, которую воспроизводит рабочий эталон (напряжение, ток, сопротивление и т.д.);
-
- «Единица измерения» - единица измерения воспроизводимой физической величины;
-
- «Постоянная составляющая погрешности» - неизменяемая часть погрешности рабочего эталона;
-
- «Погрешность ИЗ» - погрешность от измеренной величины (в процентах);
-
- «Шаг установки» - величина минимального дискретного изменения устанавливаемого значения на эталонном средстве;
-
- «Минимальное значение», «Максимальное значение» - пределы установки сигнала на рабочем эталоне.
Нажать кнопку «Сохранить», после чего введённые параметры эталона сохраняются в соответствующем файле.
Примечание - Значения погрешности эталона берется из паспорта СИ. которое используется как рабочий эталон при поверке ИК. В случае если у рабочего эталона нормируется только одна из погрешностей, в оставшемся поле задать «0».
-
6.2.4.5 В меню «Настройки/Расчеты» открыть окно «Параметры расчетов» (рисунок 5) и для каждой контрольной точки указан, метод определения погрешности ИК от BII.
Пвраметри! расчетов
0.05
Помошь
\ Сингулярное разложение
I
|
Контрольная точка |
Форма предст. погрешности ] | |
|
4 | ||
|
8 |
вп | |
|
12 |
вп | |
|
16 |
вл | |
|
20 |
вп | |
Л опус ка ема-я пог ре юность
Диапазон
Применить:
Рисунок 5 - Окно параметров расчетов
-
6.2.4.6 Задать пределы допускаемой погрешности ИК в соответствии с приложением Д в колонке «Допускаемая погрешность» в окне «Параметры расчетов».
-
6.2.5 Включить рабочий эталон в режиме воспроизведения диапазона измеряемого ИК.
-
6.2.6 Запустить поверку, нажав кнопку «Пуск». В этом случае отображается окно со значением первой контрольной точки (рисунок 6).
Установка контрольной точки
Значение контрольной точки. мА
4



Рисунок 6 - Окно с указанием устанавливаемой контрольной точки
-
6.2.7 Установить соответствующее значение эталонного сигнала на входах ИК. Текущее измеренное значение в этом случае отображается в колонке «Значение вх.» в таблице основного окна программы.
-
6.2.8 Записать значение. Для этого нажать кнопку «Записать». В этом случае текущие значения ИК регистрируются в памяти и будут использованы для дальнейших расчетов. Далее отображается окно с очередной контрольной точкой, которая отрабатывается аналогичным образом. Процедура измерений и записи повторяется до тех пор, пока не будут пройдены все контрольные точки.
-
6.2.9 Нажать кнопку «Готово» и просмотреть результаты измерений. По окончании измерений зарегистрированные данные подвергаются обработке и расчету составляющих погрешностей. Результаты вычислений выводятся в таблице основного окна программы.
-
6.2.10 Для формирования протоколов поверки после ее проведения на главном окне нажать кнопку «Протоколы». После этого в папке, заданной в поле «Папка для сохранения протоколов», автоматически создаются по 2 файла на каждый поверяемый ПК. Первый файл формата «XLS» содержит сведения об ПК, эталонах, условиях поверки, результатов вычислений погрешностей. Второй файл формата «ТХТ» содержит в себе исходные измеренные данные без обработки.
Опробование производится в целях проверки работоспособности и правильности функционирования ИК.
Работы по данному пункту выполнять для всех ИК.
-
6.3.1 Выбрать ИК для опробования.
-
6.3.2 Запустить программную утилиту «Метрология» двойным щелчком левой кнопки мыши по пиктограмме «Метрология» на рабочем столе АРМ1.
-
6.3.3 Настроить программу «Метрология» для проведения контроля согласно руководству оператора ИНСИ.425845.000.00 РО.
-
6.3.4 В меню «Настройки/Общие»:
-
- выбрать операцию «Контроль» из выпадающего списка «Операция»;
-
- выбрать требуемый объект контроля из выпадающего списка «Объект»;
-
- установить значение частоты выборки в поле «Частота выборки, Гц», равное «100»;
-
- задать число наблюдений значения сигнала в контрольной точке в поле «Размер выборки», равное «50».
-
6.3.5 Убедиться в отсутствии выбора в ячейке «Циклы» в меню «Настройки/Измерения».
-
6.3.6 Ввести значения начальной и конечной точки диапазона измерений проверяемого ИК в соответствии с таблицей Д.1 и установить значение «2» в поле «Число точек» в меню «Настройки/Измерения».
-
6.3.7 Повторить действия по подпунктам 6.2.4.4...6.2.4.6.
-
6.3.8 Подать на вход ИК с помощью рабочих эталонов минимальное и максимальное контрольное значение диапазона эталонного сигнала.
-
6.3.9 Выполнить измерения согласно пунктам 6.2.6...6.2.9 и убедиться в правильности функционирования ИК.
-
6.3.10 Проверку работоспособности считать положительной, если полученные значения измеряемых параметров ИК соответствуют значениям, характерным для этих режимов работы.
-
6.4.1 Идентификацию ПО АСУТСО СИКК осуществлять путем проверки идентификационных данных (признаков) программных компонентов ПО, отнесенных к метрологически значимым.
-
6.4.2 Для проверки контрольной суммы исполняемого кода (цифрового идентификатора) ПО необходимо:
-
- запустить программную утилиту «Проверка подлиности метрологически значимой части ПО» двойным щелчком левой кнопки мыши по пиктограмме «Проверка подлиности» на рабочем столе АРМ1. Должен появится видеокадр «Проверка подлиности метрологически значимой части ПО», с таблицей файлов отнесенных к метрологически значимым.
-
6.4.3 На видеокадре «Проверка подлиности метрологически значимой части ПО» перечислены:
-
- наименование модулей ПО;
-
- имя файла;
-
- номер версии ПО;
-
- данные о контрольных суммах метрологически значимой части ПО АСУТСО СИКК, занесенные туда ранее из раздела 3 формуляра ИНСИ.425845.000.00 ФО;
-
- рассчитанные по алгоритму MD5 контрольные суммы исполняемых файлов метрологически значимой части ПО (абсолютные пути к файлам также хранятся в конфигурации АСУТСОСИКК);
-
- результаты сравнения рассчитанных контрольных суммах метрологически значимой части ПО с контрольными суммами, занесенными из формуляра для каждого проверяемого файла.
Вид окна «Проверка подлинности метрологически значимой части ПО» в случае успешной проверки подлинности представлен на рисунке 7 - все строки таблицы окна и строковый индикатор «Результат проверки» имеют зеленый фон.
. Лротерм псллгчности мегреяомчес** значимой 'части ПС J.0.1
Рисунок 7 - Вид окна «Проверка подлинности метрологически значимой части ПО» в случае успешной проверки подлинности
В случае, если посчитанная контрольная сумма указанного файла не совпадет- с указанной в конфигурации/формуляре, или же сам файл будет недоступен для подсчета контрольной суммы по указанному пути, то в столбце «Результат сравнения» соответствующей строки таблицы отобразится сообщение об этом, а сама строка будет выделена красным фоном.
-
6.4.4 Результаты проверки считать положительными, если при проверке контрольной суммы исполняемого кода, значения рассчитанной контрольной суммы совпадают со значениями, приведенными в разделе 3 формуляра ИНСИ.425845.000.00 ФО.
-
7.5.1 Подготовка к поверке ИК.
-
7.5.1.1 Провести внешний осмотр АСУТСО СИКК согласно пункту 6.1.
-
7.5.1.2 Выбрать ИК по таблице А.1 приложения А.
-
7.5.1.3 Открыть дверцы шкафа ПЛК топливной системы, шкафа Г1ЛК стенда 15 МВт, шкафа ПЛК стенда 40 МВт (шкаф аналоговых сигналов), заднюю дверцу шкафа главного ПЛК.
-
7.5.1.4 Подготовить к работе эталонное средство (калибратор многофункциональный МСХ-I1R) согласно документации на него. Собрать схему определения MX ИК в соответствии с рисунком 1. для чего подключить эталонное средство к клеммам в соответствии с таблицей АЛ Приложения А.
-
1 - Калибратор многофункциональный MCX-IIR (рабочий эталон);
-
2 - Клемма;
-
3 - Модуль ввода аналоговых сигналов SM331;
-
4 - Контроллер программируемый SIMATIC S7-300;
-
5 -ПЭВМ
Рисунок 1 - Функциональная схема поверки ИК силы постоянного тока
-
7.5.1.5 Провести опробование (проверку работоспособности) ИК согласно пункту 6.3.
-
7.5.2 Проведение поверки ИК.
-
7.5.2.1 Выполнить действия согласно пункту 6.2. В программе «Метрология» задать следующие параметры:
-
- установить пять контрольных точек, линейно распределенных на диапазон измерения в поле «Число точек»;
-
- для каждой контрольной точки указать метод определения погрешности от верхнего предела измерений, нажав на кнопку «ВП»;
-
- задать значение допускаемой погрешности ИК в колонке «Допускаемая погрешность» в соответствии с таблицей Д. 1.
-
7.5.3 Включить калибратор MCX-IIR в режиме воспроизведения силы постоянного тока и на вход ИК подавать сигналы следующих значений: сила постоянного тока в диапазоне от 4 до 20 мА.
-
7.5.4 Результаты поверки считать положительными, если значение приведенной (к ВП) погрешности измерений силы постоянного тока находятся в допускаемых пределах согласно таблицы Д.1 Приложения Д. В противном случае ИК бракуется и направляется на ремонт. После ремонта ИК подлежит внеочередной поверке в соответствии с данной МП.
-
7.5.5 После проведения поверки ИК закрыть дверцы шкафа ПЛК топливной системы, шкафа ПЛК стенда 15 МВт, шкафа ПЛК стенда 40 МВт (шкаф аналоговых сигналов), заднюю дверцу шкафа главного ПЛК.
-
7.5.6 По результатам поверки ИК оформить протокол, к протоколу приложить копию свидетельства поверки калибратора многофункционального MCX-IIR.
-
8.1 Измеренные массивы значений zjk обрабатываются с помощью встроенных в программное обеспечение алгоритмов следующим образом:
-
8.1.1 Вычисляется среднее значение результатов измерений измеренной величины на каждой z-той ступени:
-
-
т
где т - количество точек в выборке (zn=50).
-
8.1.2 Определяется индивидуальная преобразования в виде степенного полинома:
х, = а0 +a}zi + ... + anz" , (2)
где ао'аг-ап _ коэффициенты аппроксимирующей функции преобразования.
-
8.1.3 Вычисляется среднее значение результатов измерений измеренной величины с учетом функции преобразования на каждой z-той ступени:
У< =----
т
ал...а,
(1)
(3)
Ун ~ + Z7.Z, + ... + 6Z„Z,
где *■ в 1 / п i
8.1.4 Для каждой z-той ступени вычисляется оценка систематической составляющей
А .
погрешности С1 :
А<.-> =У,-*/
9 0
8.1.5. Определяются границы систематических погрешностей ' измеренной величины: = А а + A ci , (5)
(4)
где АС1 - пределы допускаемой абсолютной погрешности рабочего эталона.
-
8.1.6 Вычисляется оценка среднего квадратического отклонения измеренной величины
5ДА°) „ . .
'v 7 на каждой z-тои ступени:
~у>У
к_________________
т~Х . (6)
-
8.1.7 Оцениваются границы суммарной абсолютной погрешности А' измеренной
величины на каждой z-той ступени следующим образом:


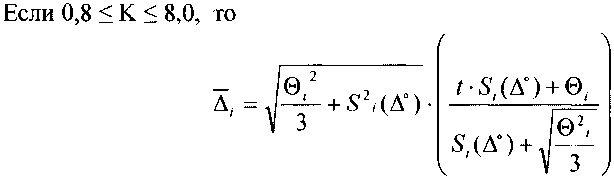
8.1.7.3 Определяется

8.1.7.3 Если К > 8, то Л' “0' Если К <0,8, то Л' = rS<(A°)
-
(7)
-
(8)
(9)

(Ю)
где / - коэффициент Стьюдента, который определяется при доверительной вероятности Р=0.95 для числа степеней свободы т~] в соответствии с ГОСТ Р 8.736-2011 (приложение В).
8.1.8 Определяется погрешность ИК А как максимальное значение суммарной абсолютной погрешности:
А = max А
-
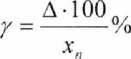
8.1.9 Вычисляется приведенная погрешность / ИК

(12)
где хп - нормирующее значение, которое зависит от выбранного метода определения погрешности.
9 ОФОРМЛЕНИЕ РЕЗУЛЬТАТОВ ПОВЕРКИ-
9.1 При поверке вести протокол по форме Приложения Б.
-
9.2 Результаты поверки оформляются в соответствии с приказом Минпромторга России № 1815 от 02.07.2015 г. При положительных результатах поверки выдается свидетельство о поверке. При отрицательных результатах поверки система к применению не допускается и на неё выдается извещение о непригодности с указанием причин забракования.
Главный метролог ООО «КИА»
В.В. Супрунюк
Таблица А.1 - ИК силы постоянного тока
|
№ п/п |
Обозначение ИК в базе ПО «Метрология» |
Пин |
Контакты подключения |
|
1 |
100Р001 |
100Р001 |
Шкаф главного ПЛК/138(+) 139(-) |
|
2 |
100Р002 |
100Р002 |
Шкаф главного ПЛК/140(+) 141(-) |
|
Л |
100Р003 |
100Р003 |
Шкаф главного ПЛК/142(+) 143(-) |
|
4 |
100Р004 |
100Р004 |
Шкаф главного ПЛК/144(+) 145(-) |
|
5 |
100Р005 |
100Р005 |
Шкаф главного ПЛК/146(+) 147(-) |
|
6 |
100Р006 |
100Р006 |
Шкаф главного ПЛК/148(+) 149(-) |
|
7 |
100Р007 |
100Р007 |
Шкаф главного ПЛК/150(+) 151(-) |
|
8 |
100Р008 |
100Р008 |
Шкаф главного ПЛК/152(+) 153(-) |
|
9 |
100Р009 |
100Р009 |
Шкаф главного ПЛК/154(+) 155(-) |
|
10 |
100Р010 |
100Р010 |
Шкаф главного ПЛК/156(+) 157(-) |
|
11 |
100Р011 |
100Р011 |
Шкаф главного ПЛК/158(+) 159(-) |
|
12 |
100Р012 |
100Р012 |
Шкаф главного ПЛК/160(+) 161(-) |
|
13 |
100Р013 |
100Р013 |
Шкаф главного ПЛК/162(+) 163(-) |
|
14 |
100Р014 |
100Р014 |
Шкаф главного ПЛК/164(+) 165(-) |
|
15 |
100Р015 |
100Р015 |
Шкаф главного ПЛК/166(+) 167(-) |
|
16 |
100Р016 |
100Р016 |
Шкаф главного ПЛК/168(+) 169(-) |
|
17 |
200Р001 |
200Р001 |
Шкаф ПЛК топливной системы/165(+) 166(-) |
|
18 |
200Р002 |
200Р002 |
Шкаф ПЛК топливной системы/167(+) 168(-) |
|
19 |
200Р003 |
200Р003 |
Шкаф ПЛК топливной системы/169(+) 170(-) |
|
20 |
200Р004 |
200Р004 |
Шкаф ПЛК топливной системы/171(+) 172(-) |
|
21 |
200Р005 |
200Р005 |
Шкаф ПЛК топливной системы/173(+) 174(-) |
|
22 |
200Р006 |
200Р006 |
Шкаф ПЛК топливной системы/175(+) 176(-) |
|
23 |
200Р007 |
200Р007 |
Шкаф ПЛК топливной системы/177(+) 178(-) |
|
24 |
200Р008 |
200Р008 |
Шкаф ПЛК топливной системы/179(+) 180(-) |
|
25 |
200Р009 |
200Р009 |
Шкаф ПЛК топливной системы/181(+) 182(-) |
|
26 |
200Р010 |
200Р010 |
Шкаф ПЛК топливной системы/183(+) 184(-) |
|
27 |
200Р011 |
200Р011 |
Шкаф ПЛК топливной системы/185(+) 186(-) |
|
28 |
200Р012 |
200Р012 |
Шкаф ПЛК топливной системы/187(+) 188(-) |
|
29 |
200Р013 |
200Р013 |
Шкаф ПЛК топливной системы/189(+) 190(-) |
|
30 |
200Р014 |
200Р014 |
Шкаф ПЛК топливной системы/191(+) 192(-) |
|
31 |
200Р015 |
200Р015 |
Шкаф ПЛК топливной системы/193(+) 194(-) |
|
32 |
200Р016 |
200Р016 |
Шкаф ПЛК топливной системы/195(+) 196(-) |
|
33 |
200Р017 |
200Р017 |
Шкаф ПЛК топливной системы/197(+) 198(-) |
|
34 |
200Р018 |
200Р018 |
Шкаф ПЛК топливной системы/199(+) 200(-) |
|
35 |
200Р019 |
200Р019 |
Шкаф ПЛК топливной системы/201(+) 202(-) |
|
36 |
200Р020 |
200Р020 |
Шкаф ПЛК топливной системы/203(+) 204(-) |
|
37 |
200Р021 |
200Р021 |
Шкаф ПЛК топливной системы/205(+) 206(-) |
|
38 |
200Р022 |
200Р022 |
Шкаф ПЛК топливной системы/207(+) 208(-) |
|
39 |
200Р023 |
200Р023 |
Шкаф ПЛК топливной системы/209(+) 210(-) |
|
40 |
200Р024 |
200Р024 |
Шкаф ПЛК топливной системы/211(+) 212(-) |
|
41 |
200Р025 |
200Р025 |
Шкаф ПЛК топливной системы/11(+) 12(-) |
|
42 |
200Р026 |
200Р026 |
Шкаф ПЛ К топливной системы/14(+) 15(-) |
|
43 |
200Р027 |
200Р027 |
Шкаф ПЛК топливной системы/17(+) 18(-) |
|
44 |
200Р028 |
200Р028 |
Шкаф ПЛК топливной системы/20(+) 21(-) |
|
45 |
300Р001 |
300Р001 |
Шкаф ПЛК стенда 15 МВт/197(+) 198(-) |
|
46 |
300Р002 |
300Р002 |
Шкаф ПЛК стенда 15 МВт/199(+) 200(-) |
|
47 |
ЗООРООЗ |
ЗООРООЗ |
Шкаф ПЛК стенда 15 МВт/201(+) 202(-) |
|
48 |
300Р004 |
300Р004 |
Шкаф ПЛК стенда 15 МВт/203(+) 204(-) |
|
49 |
300Р005 |
300Р005 |
Шкаф ПЛК стенда 15 МВт/205(+) 206(-) |
|
50 |
300Р006 |
300Р006 |
Шкаф ПЛК стенда 15 МВт/207(+) 208(-) |
|
51 |
300Р007 |
300Р007 |
Шкаф ПЛК стенда 15 МВт/209(+) 210(-) |
|
52 |
300Р008 |
300Р008 |
Шкаф ПЛК стенда 15 МВт/211(+) 212(-) |
|
53 |
300Р009 |
300Р009 |
Шкаф ПЛК стенда 15 МВт/213(+) 214(-) |
|
54 |
300Р010 |
300Р010 |
Шкаф ПЛК стенда 15 МВт/215(+) 216(-) |
|
55 |
300Р011 |
300Р011 |
Шкаф ПЛК стенда 15 МВт/217(+) 218(-) |
|
56 |
300Р012 |
300Р012 |
Шкаф ПЛК стенда 15 МВт/219(+) 220(-) |
|
57 |
300Р013 |
300Р013 |
Шкаф ПЛК стенда 15 МВт/221(+) 222(-) |
|
58 |
300Р014 |
300Р014 |
Шкаф ПЛК стенда 15 МВт/223(+) 224(-) |
|
59 |
300Р015 |
300Р015 |
Шкаф ПЛК стенда 15 МВт/225(+) 226(-) |
|
60 |
300Р016 |
300Р016 |
Шкаф ПЛК стенда 15 МВт/227(+) 228(-) |
|
61 |
300Р017 |
300Р017 |
Шкаф ПЛК стенда 15 МВт/229(+) 230(-) |
|
62 |
300Р018 |
300Р018 |
Шкаф ПЛК стенда 15 МВт/231(+) 232(-) |
|
63 |
300Р019 |
300Р019 |
Шкаф ПЛК стенда 15 МВт/233(+) 234(-) |
|
64 |
300Р020 |
300Р020 |
Шкаф ПЛК стенда 15 МВт/235(+) 236(-) |
|
65 |
300Р021 |
300Р021 |
Шкаф ПЛК стенда 15 МВт/237(+) 238(-) |
|
66 |
300Р022 |
300Р022 |
Шкаф ПЛК стенда 15 МВт/239(+) 240(-) |
|
67 |
300Р023 |
300Р023 |
Шкаф ПЛК стенда 15 МВт/241(+) 242(-) |
|
68 |
300Р024 |
300Р024 |
Шкаф ПЛК стенда 15 МВт/243(+) 244(-) |
|
69 |
300Р025 |
300Р025 |
Шкаф ПЛК стенда 15 МВт/245(+) 246(-) |
|
70 |
300Р026 |
300Р026 |
Шкаф ПЛК стенда 15 МВт/247(+) 248(-) |
|
71 |
300Р027 |
300Р027 |
Шкаф ПЛК стенда 15 МВт/249(+) 250(-) |
|
72 |
300Р028 |
300Р028 |
Шкаф ПЛК стенда 15 МВт/251(+) 252(-) |
|
73 |
300Р029 |
300Р029 |
Шкаф ПЛК стенда 15 МВт/253(+) 254(-) |
|
74 |
ЗООРОЗО |
ЗООРОЗО |
Шкаф ПЛК стенда 15 МВт/255(+) 256(-) |
|
75 |
ЗООРОЗ 1 |
ЗООРОЗ 1 |
Шкаф ПЛК стенда 15 МВт/257(+) 258(-) |
|
76 |
300Р032 |
300Р032 |
Шкаф ПЛК стенда 15 МВт/259(+) 260(-) |
|
77 |
ЗООРОЗЗ |
ЗООРОЗЗ |
Шкаф ПЛК стенда 15 МВт/11(+) 12(-) |
|
78 |
300Р034 |
300Р034 |
Шкаф ПЛК стенда 15 МВт/14(+) 15(-) |
|
79 |
300Р035 |
300Р035 |
Шкаф ПЛК стенда 15 МВт/17(+) 18(-) |
|
80 |
300Р036 |
300Р036 |
Шкаф ПЛК стенда 15 МВт/20(+) 21(-) |
|
81 |
400Р001 |
400Р001 |
Шкаф ПЛК стенда 40 МВт (шкаф аналоговых сигналов)/325(+) 326(-) |
|
82 |
400Р002 |
400Р002 |
Шкаф ПЛК стенда 40 МВт (шкаф аналоговых сигналов)/327(+) 328(-) |
|
83 |
400Р003 |
400Р003 |
Шкаф ПЛК стенда 40 МВт (шкаф аналоговых сигналов)/329(+) ЗЗО(-) |
|
84 |
400Р004 |
400Р004 |
Шкаф ПЛК стенда 40 МВт (шкаф аналоговых сигналов)/331(+) 332(-) |
|
85 |
400Р005 |
400Р005 |
Шкаф ПЛК стенда 40 МВт (шкаф аналоговых сигналов)/333(+) 334(-) |
|
86 |
400Р006 |
400Р006 |
Шкаф ПЛК стенда 40 МВт (шкаф аналоговых сигналов)/335(+) 336(-) |
|
87 |
400Р007 |
400Р007 |
Шкаф ПЛК стенда 40 МВт (шкаф аналоговых сигналов)/337(+) 338(-) |
|
88 |
400Р008 |
400Р008 |
Шкаф ПЛК стенда 40 МВт (шкаф аналоговых сигналов)/339(+) 340(-) |
|
89 |
400Р009 |
400Р009 |
Шкаф ПЛК стенда 40 МВт (шкаф аналоговых сигналов)/341(+) 342(-) |
|
90 |
400Р010 |
400Р010 |
Шкаф ПЛК стенда 40 МВт (шкаф аналоговых сигналов)/343(+) 344(-) |
|
91 |
400Р011 |
400Р011 |
Шкаф ПЛК стенда 40 МВт (шкаф аналоговых сигналов)/344(+) 346(-) |
|
92 |
400Р012 |
400Р012 |
Шкаф ПЛК стенда 40 МВт (шкаф аналоговых сигналов)/347(+) 348(-) |
|
93 |
400Р013 |
400Р013 |
Шкаф ПЛК стенда 40 МВт (шкаф аналоговых сигналов)/349(+) 350(-) |
|
94 |
400Р014 |
400Р014 |
Шкаф ПЛК стенда 40 МВт (шкаф аналоговых сигналов)/351(+) 352(-) |
|
95 |
400Р015 |
400Р015 |
Шкаф ПЛК стенда 40 МВт (шкаф аналоговых сигналов)/353(+) 354(-) |
|
96 |
400Р016 |
400Р016 |
Шкаф ПЛК стенда 40 МВт (шкаф аналоговых сигналов)/355(+) 356(-) |
|
97 |
400Р017 |
400Р017 |
Шкаф ПЛК стенда 40 МВт (шкаф аналоговых сигналов)/357(+) 358(-) |
|
98 |
400Р018 |
400Р018 |
Шкаф ПЛК стенда 40 МВт (шкаф аналоговых сигналов)/359(+) 360(-) |
|
99 |
400Р019 |
400Р019 |
Шкаф ПЛК стенда 40 МВт (шкаф аналоговых сигналов)/361(+) 362(-) |
|
100 |
400Р020 |
400Р020 |
Шкаф ПЛК стенда 40 МВт (шкаф аналоговых сигналов)/363(+) 364(-) |
|
101 |
400Р021 |
400Р021 |
Шкаф ПЛК стенда 40 МВт (шкаф аналоговых сигналов)/365(+) 366(-) |
|
102 |
400Р022 |
400Р022 |
Шкаф ПЛК стенда 40 МВт (шкаф аналоговых сигналов)/367(+) 368(-) |
|
103 |
400Р023 |
400Р023 |
Шкаф ПЛК стенда 40 МВт (шкаф аналоговых сигналов)/369(+) 370(-) |
|
104 |
400Р024 |
400Р024 |
Шкаф ПЛК стенда 40 МВт (шкаф аналоговых сигналов)/371(+) 372(-) |
|
105 |
400Р025 |
400Р025 |
Шкаф ПЛК стенда 40 МВт (шкаф аналоговых сигналов)/373(+) 374(-) |
|
106 |
400Р026 |
400Р026 |
Шкаф ПЛК стенда 40 МВт (шкаф аналоговых сигналов)/375(+) 376(-) |
|
107 |
400Р027 |
400Р027 |
Шкаф ПЛК стенда 40 МВт (шкаф аналоговых сигналов)/377(+) 378(-) |
|
108 |
400Р028 |
400Р028 |
Шкаф ПЛК стенда 40 МВт (шкаф аналоговых сигналов)/379(+) 380(-) |
|
109 |
400Р029 |
400Р029 |
Шкаф ПЛК стенда 40 МВт (шкаф аналоговых сигналов)/381(+) 382(-) |
|
110 |
400Р030 |
400Р030 |
Шкаф ПЛК стенда 40 МВт (шкаф аналоговых сигналов)/383(+) 384(-) |
|
111 |
400Р031 |
400Р031 |
Шкаф ПЛК стенда 40 МВт (шкаф аналоговых сигналов)/385(+) 386(-) |
|
112 |
400Р032 |
400Р032 |
Шкаф ПЛК стенда 40 МВт (шкаф аналоговых сигналов)/387(+) 3 88(-) |
|
ИЗ |
400Р033 |
400Р033 |
Шкаф ПЛК стенда 40 МВт (шкаф аналоговых сигналов)/389(+) 390(-) |
|
114 |
400Р034 |
400Р034 |
Шкаф ПЛК стенда 40 МВт (шкаф аналоговых сигналов)/391(+) 392(-) |
|
115 |
400Р035 |
400Р035 |
Шкаф ПЛК стенда 40 МВт (шкаф аналоговых сигналов)/393 (+) 394(-) |
|
116 |
400Р036 |
400Р036 |
Шкаф ПЛК стенда 40 МВт (шкаф аналоговых сигналов)/395(+) 396(-) |
|
117 |
400Р037 |
400Р037 |
Шкаф ПЛК стенда 40 МВт (шкаф аналоговых сигналов)/397(+) 398(-) |
|
118 |
400Р038 |
400Р038 |
Шкаф ПЛК стенда 40 МВт (шкаф аналоговых сигналов)/399(+) 400(-) |
|
119 |
400Р039 |
400Р039 |
Шкаф ПЛК стенда 40 МВт (шкаф аналоговых сигналов)/401(+) 402(-) |
|
120 |
400Р040 |
400Р040 |
Шкаф ПЛК стенда 40 МВт (шкаф аналоговых сигналов)/403(+) 404(-) |
|
121 |
400Р041 |
400Р041 |
Шкаф ПЛК стенда 40 МВт (шкаф аналоговых сигналов)/405(+) 406(-) |
|
122 |
400Р042 |
400Р042 |
Шкаф ПЛК стенда 40 МВт (шкаф аналоговых сигналов)/407(+) 408(-) |
|
123 |
400Р043 |
400Р043 |
Шкаф ПЛК стенда 40 МВт (шкаф аналоговых сигналов)/409(+) 410(-) |
|
124 |
400Р044 |
400Р044 |
Шкаф ПЛК стенда 40 МВт (шкаф аналоговых сигналов)/411(+) 412(-) |
|
125 |
400Р045 |
400Р045 |
Шкаф ПЛК стенда 40 МВт (шкаф аналоговых сигналов)/413(+) 414(-) |
|
126 |
400Р046 |
400Р046 |
Шкаф ПЛК стенда 40 МВт (шкаф аналоговых сигналов)/415(+) 416(-) |
|
127 |
400Р047 |
400Р047 |
Шкаф ПЛК стенда 40 МВт (шкаф аналоговых сигналов)/417(+) 418(-) |
|
128 |
400Р048 |
400Р048 |
Шкаф ПЛК стенда 40 МВт (шкаф аналоговых сигналов)/419(+) 420(-) |
|
129 |
400Р049 |
400Р049 |
Шкаф ПЛК стенда 40 МВт (шкаф аналоговых сигналов)/421(+) 422(-) |
|
130 |
400Р050 |
400Р050 |
Шкаф ПЛК стенда 40 МВт (шкаф аналоговых сигналов)/423(+) 424(-) |
|
131 |
400Р051 |
400Р051 |
Шкаф ПЛК стенда 40 МВт (шкаф аналоговых сигналов)/425(+) 426(-) |
|
132 |
400Р052 |
400Р052 |
Шкаф ПЛК стенда 40 МВт (шкаф аналоговых сигналов)/427(+) 428(-) |
|
133 |
400Р053 |
400Р053 |
Шкаф ПЛК стенда 40 МВт (шкаф аналоговых сигналов)/429(+) 430(-) |
|
134 |
400Р054 |
400Р054 |
Шкаф ПЛК стенда 40 МВт (шкаф аналоговых сигналов)/431 (+) 432(-) |
|
135 |
400Р055 |
400Р055 |
Шкаф ПЛК стенда 40 МВт (шкаф аналоговых сигналов)/433(+) 434(-) |
|
136 |
400Р056 |
400Р056 |
Шкаф ПЛК стенда 40 МВт (шкаф аналоговых сигналов)/435(+) 436(-) |
|
137 |
400Р057 |
400Р057 |
Шкаф ПЛК стенда 40 МВт (шкаф аналоговых сигналов)/437(+) 43 8(-) |
|
138 |
400Р058 |
400Р058 |
Шкаф ПЛК стенда 40 МВт (шкаф аналоговых сигналов)/439(+) 440(-) |
|
139 |
400Р059 |
400Р059 |
Шкаф ПЛК стенда 40 МВт (шкаф аналоговых сигналов)/441(+) 442(-) |
|
140 |
400Р060 |
400Р060 |
Шкаф ПЛК стенда 40 МВт (шкаф аналоговых сигналов)/443(+) 444(-) |
|
141 |
400Р061 |
400Р061 |
Шкаф ПЛК стенда 40 МВт (шкаф аналоговых сигналов)/445(+) 446(-) |
|
142 |
400Р062 |
400Р062 |
Шкаф ПЛК стенда 40 МВт (шкаф аналоговых сигналов)/447(+) 448(-) |
|
143 |
400Р063 |
400Р063 |
Шкаф ПЛК стенда 40 МВт (шкаф аналоговых сигналов)/449(+) 450(-) |
|
144 |
400Р064 |
400Р064 |
Шкаф ПЛК стенда 40 МВт (шкаф аналоговых сигналов)/451(+) 452(-) |
|
145 |
400Р065 |
400Р065 |
Шкаф ПЛК стенда 40 МВт (шкаф аналоговых сигналов)/11(+) 12(-) |
|
146 |
400Р066 |
400Р066 |
Шкаф ПЛК стенда 40 МВт (шкаф аналоговых сигналов)/14(+) 15(-) |
|
147 |
400Р067 |
400Р067 |
Шкаф ПЛК стенда 40 МВт (шкаф аналоговых сигналов)/17(+) 18(-) |
|
148 |
400Р068 |
400Р068 |
Шкаф ПЛК стенда 40 МВт (шкаф аналоговых сигналов)/20(+) 21(-) |
ПРОТОКОЛ поверки измерительного канала.....
Система управления технологическим и стендовым оборудованием сборочного испытательного корпуса корабельных газотурбинных агрегатов автоматизированная (Методика поверки ИНСИ.425845.000.00 МП)
1 Вид поверки:..................................................................................................
2 Дата поверки:.................................................................................................
3 Средства поверки
3.1 Рабочий эталон:
|
Наименование |
Пределы i (в единицах изме |
ззмерений рений параметра) |
Шаг установки |
Погрешность |
|
нижний |
верхний | |||
3.2 Вспомогательные средства: ...............................................................................
4 Условия поверки:
|
Температура окружающего воздуха. °C | |
|
Относительная влажность воздуха, % | |
|
Атмосферное давление, мм рт. ст. |
5 Результаты экспериментальных исследований
5.1 Внешний осмотр:...........................................................................................
5.2 Результаты опробования:.................................................................................
6. Результаты метрологических исследований
6.1 Условия исследования:
|
Число ступеней измерений (контрольных точек) | |
|
Число измерений в контрольной точке | |
|
Число циклов измерений |
6.2 Составляющие погрешности:
|
Номер ступени |
Задаваемые эталонные сигналы на входе ИК, в ед. изм. |
Средние значения измеренных сигналов, в ед. изм. |
Систематичес кая погрешность, в ед. изм. |
Оценка среднего квадратического отклонения, в ед. изм. |
Сумма неисключенной систематической погрешности, в ед. изм. |
Абсолютная погрешность, в ед. изм. |
6.3 Погрешность ИК:
|
Абсолютная погрешность измерений, в ед. изм. | |
|
Приведенная (к ВП) погрешность измерений. % | |
|
Пределы допускаемой погрешности измерений, % |
7 Вывод:
Приведенная (к ВП) погрешность ИК ...................., находится в пределах ± .......... %,
допускаемых согласно методики поверки системы управления технологическим и стендовым оборудованием сборочного испытательного корпуса корабельных газотурбинных агрегатов автоматизированной.
Дата очередной поверки:........................................
Поверитель________________________
(подпись)
(дата)
(Ф.И.О.)
СПИСОК ССЫЛОК НА НОРМАТИВНО-ТЕХНИЧЕСКУЮ ДОКУМЕНТАЦИЮ
ОСТ 1 01021-93 «Стенды испытательные авиационные газотрубных двигателей. Общие требования».
ПР 50.2.006-94 «ГСП. Порядок проведения поверки средств измерений».
ГОСТ 8.009-84 «ГСП. Нормируемые метрологические характеристики средств измерений».
МИ 2440-97 «ГСИ. Методы экспериментального определения и контроля характеристик погрешности измерительных каналов измерительных систем и измерительных комплексов».
ГОСТ Р 8.596-2002 «ГСИ. Метрологическое обеспечение измерительных систем. Основные положения».
МИ 1317-2004 «ГСИ. Результаты и характеристики погрешностей измерений. Формы представления. Способы использования при испытаниях образцов продукции и контроля их параметров».
ГОСТ Р 8.736-2011 «ГСИ. Измерения прямые многократные. Методы обработки результатов измерений. Основные положения».
«Правила технической эксплуатации электроустановок потребителей»
ПОТ Р М-016-2001, РД 153-34.0-03.150-00 «Межотраслевые правила по охране труда (правила безопасности) при эксплуатации электроустановок».
ГОСТ 12.1.019-2009 «ССБТ. Электробезопасность. Общие требования и номенклатура видов защиты».
ГОСТ 12.1.038-82 «ССБТ. Электробезопасность. Предельно допустимые значения напряжений прикосновения и токов».
ГОСТ 12.1.030-81 «ССБТ Электробезопасность. Защитное заземление, зануление».
ГОСТ 12.2.007.0-75 «ССБТ. Изделия электротехнические. Общие требования безопасности».
ГОСТ 12.1.004-91 «ССБТ. Пожарная безопасность. Общие требования».
ГОСТ 8.022-91 «ГСИ. Государственный первичный эталон и государственная поверочная схема для средств измерений силы постоянного электрического тока в диапазоне 1 • 10'16 + 30 А».
Приложение Г (рекомендуемое) ПРИНЯТЫЕ В ДОКУМЕНТЕ СОКРАЩЕННЫЕ ОБОЗНАЧЕНИЯВП - верхний предел диапазона измерений;
АСУТСО СИКК - система управления технологическим и стендовым оборудованием сборочного испытательного корпуса корабельных газотурбинных агрегатов автоматизированная;
ИК - измерительный канал;
МП - методика поверки;
MX - метрологические характеристики;
ПО - программное обеспечение;
СИ - средство измерений.
Приложение Д (обязательное) Основные MX АСУТСО СИККТаблица Д.1 - Метрологические характеристики
|
Наименование измеряемого параметра |
Диапазон измерений |
Пределы допускаемой погрешности измерений |
Количество ПК |
|
Сила постоянного тока, 100р001- 100р016, 200р001- 200р024, ЗООрООЬ 300р032, 400р001- 400р064 |
от 4 до 20 мА |
±0,05 % от ВП |
136 |
|
Сила постоянного тока. 200р025-200Р028, ЗООрОЗЗ- ЗООрОЗб, 400р065-400р068 |
от 4 до 20 мА |
±0.3 % от ВП |
12 |
