Руководство по эксплуатации «АНАЛИЗАТОР РАСТВОРЕННОГО ВОДОРОДА МАРК-509» (РЭ ВР50.00.000)
42 1522
УТВЕРЖ
Ю
«

. В. Киселев
2016 г.
АНАЛИЗАТОР РАСТВОРЕННОГО ВОДОРОДА МАРК-509
Руководство по эксплуатации
ВР50.00.000РЭ
СОГЛАСОВАНО
Зам. гл. конструктора

К. Е. Крюков
Главный^анезруктор ООО «ВЗОР»
л |
А. К. Родионов | |
ТУ 1 |
« ОУ »_______________2016 г.
« ОУ у> ОО______2016 г.
Зам. гл. конструктора

___А. С. Конашов
2016 г.
г. Нижний Новгород 2016 г.
СОДЕРЖАНИЕ
-
-
2.8 Градуировка анализатора по ГСО-ПГС с известной объемной долей
водорода либо по раствору с известным значением КРВ (по водороду)
ПРИЛОЖЕНИЕ А. Методика поверки
ПРИЛОЖЕНИЕ Б. Растворимость водорода
в дистиллированной воде, находящейся в равновесии с водяным паром, в зависимости от температуры
ПРИЛОЖЕНИЕ В. Сведения об электролите
ПРИЛОЖЕНИЕ Г. Перечень принятых сокращений
Руководство предназначено для изучения технических характеристик анализатора растворенного водорода МАРК-509 (далее - анализатор) и правил его эксплуатации.
Анализатор соответствует требованиям технических условий ТУ 4215030-39232169-2008, комплекта конструкторской документации ВР50.00.000, а также ГОСТ 22729-84 «Анализаторы жидкостей ГСП. Общие технические условия».
-
1 ВНИМАНИЕ: К работе с анализатором допускается персонал, изучивший настоящее руководство по эксплуатации, правила работы с химическими растворами и имеющий допуск к работе с электроустройствами до 1000 В!
-
2 ВНИМАНИЕ: Конструкции датчика водородного ДВ-509 и блока преобразовательного содержат стекло. Их необходимо оберегать от ударов!
-
3 ВНИМАНИЕ: В изделии используется пленочная клавиатура. ИЗБЕГАТЬ НАЖАТИЯ КНОПОК ОСТРЫМИ ПРЕДМЕТАМИ!
-
4 ВНИМАНИЕ: ЗАПРЕЩАЕТСЯ эксплуатировать анализатор при отсутствии заземления!
1 ОПИСАНИЕ И РАБОТА
-
1.1 Назначение изделия
-
1.1.1 Наименование и обозначение изделия
Обозначение анализатора при его заказе и в документации другой продукции, в которой он может быть применен, включает:
МАРК-509 / X / X
Наименование анализатора
Исполнение анализатора по способу монтажа блока преобразовательного: щитовой (без знака);
настенный - «1».
Исполнение анализатора по номинальному напряжению
питающей сети переменного тока:
220 В (без знака);
36 В — «36»,
Пример обозначения анализатора при его заказе и в документации другой продукции, в которой он может быть применен:
Анализатор с блоком преобразовательным щитового исполнения с напряжением питания 220 В:
Анализатор растворенного водорода МАРК-509
ТУ 4215-030-39232169-2008.
Анализатор с блоком преобразовательным настенного исполнения с напряжением питания 220 В:
Анализатор растворенного водорода МАРК-509/1
ТУ 4215-030-39232169-2008.
Анализатор с блоком преобразовательным щитового исполнения с напряжением питания 36 В:
Анализатор растворенного водорода МАРК-509/36
ТУ 4215-030-39232169-2008.
Анализатор с блоком преобразовательным настенного исполнения с напряжением питания 36 В:
Анализатор растворенного водорода МАРК-509/1/36
ТУ 4215-030-39232169-2008.
-
1.1.2 Анализатор предназначен для измерения массовой концентрации растворенного в воде водорода и температуры водных сред.
-
1.1.3 Область применения - контроль содержания растворенного водорода на объектах тепловой и атомной энергетики, а также в других областях, где требуется непрерывный контроль растворенного водорода.
-
1.1.4 Тип анализатора:
-
- амперометрический;
-
- с внешним поляризующим напряжением;
-
- с двумя каналами измерений;
-
- с жидкокристаллическим графическим индикатором;
-
- непрерывного действия;
-
- с проточно-погружными датчиками;
-
- с автоматической коррекцией температурной характеристики;
-
- с автоматической коррекцией атмосферного давления при градуировке;
-
- со встроенным датчиком атмосферного давления;
-
- с преобразованием результатов измерений в унифицированный электрический выходной сигнал постоянного тока и обменом информацией по интерфейсу RS-485.
1.2 Основные параметры
-
1.2.1 Вид климатического исполнения анализатора - УХЛ 4 по ГОСТ 15150-69, но при этом температура окружающего воздуха при эксплуатации должна быть от плюс 5 до плюс 50 °C.
-
1.2.2 По устойчивости к воздействиям температуры и влажности группа исполнения анализатора по ГОСТ Р 52931-2008 - В4.
-
1.2.3 По устойчивости к механическим воздействиям группа исполнения анализатора по ГОСТ Р 52931-2008 ~ L1.
-
1.2.4 По устойчивости к воздействию атмосферного давления исполнение анализатора по ГОСТ Р 52931-2008 - Р1.
-
1.2.5 Параметры анализируемой среды:
-
- температура, °C....................................................от 0 до плюс 70;
-
- давление, МПа.............................................................................0
(равно атмосферному давлению);
-
- pH.............................................................................от 4 до 12.
-
1.2.6 Рабочие условия эксплуатации
-
1.2.6.1 Температура окружающего воздуха,°C.......от плюс 5 до плюс 50.
-
1.2.6.2 Относительная влажность окружающего воздуха при температуре
плюс 35 °C и более низких температурах без конденсации влаги, %, не более...................................................................................................................80.
-
1.2.6.3 Атмосферное давление, кПа (мм рт. ст.)..............от 84,0 до 106,7
(от 630 до 800).
-
1.2.7 Градуировка анализатора производится по эталонной водородной среде.
-
1.2.8 Электрическое питание анализатора осуществляется от сети переменного тока напряжением 220 либо 36 В (в зависимости от исполнения) при частоте (50 ± 1) Гц, с допускаемым отклонением напряжения питания от минус 15 до плюс 10 %.
-
1.2.9 Потребляемая мощность при номинальном значении напряжения
питания, В-А, не более...................................................................................10.
-
1.2.10 Время прогрева и установления теплового равновесия, ч, не более..............................................................................................0,5.
-
1.2.11 Анализатор сохраняет свои характеристики в пределах норм, установленных в технических условиях на анализатор, после замены сменных элементов датчика водородного ДВ-509 и градуировки.
-
1.2.12 Габаритные размеры и масса узлов анализатора соответствуют значениям, приведенным в таблице 1.1.
Таблица 1.1
Исполнение анализатора |
Наименование узлов |
Габаритные размеры, мм, не более |
Масса, кг, не более |
МАРК-509, МАРК-509/36 |
Блок преобразовательный щитового исполнения (без кабеля) |
252x146x100 |
2,60 |
МАРК-509/1, МАРК-509/1/36 |
Блок преобразовательный настенного исполнения (без кабеля) |
266x170x95 | |
МАРК-509, МАРК-509/36, МАРК-509/1, МАРК-509/1/36 |
Датчик водородный ДВ-509 (без кабеля) |
030x135 |
0,10 |
-
1.2.13 Показатели надежности:
-
- средняя наработка на отказ, ч, не менее................................40000;
-
- среднее время восстановления работоспособности, ч, не более
-
1.2.14 Степень защиты узлов анализатора, обеспечиваемая оболочкой по ГОСТ 14254-96, соответствует:
-
1.3 Технические характеристики
-
1.3.1 Диапазон измерений массовой концентрации растворенного в воде
водорода (в дальнейшем КРВ), мкг/дм3...................................от 0 до 2000.
-
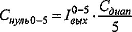
1.3.2 Функция преобразования измеренного значения КРВ, мкг/дм3 в унифицированный электрический выходной сигнал постоянного тока (далее выходной ток) 1вых, мА, соответствует выражениям:
-
- для выходного тока в диапазоне от 4 до 20 мА на нагрузке, не превышающей 500 Ом
диап
-
- для выходного тока в диапазоне от 0 до 5 мА на нагрузке, не превышающей 2 кОм
диап
где С - измеренное значение КРВ, мкг/дм3;
Сдиап - значение верхнего предела запрограммированного диапазона измерений КРВ по токовому выходу, соответствующее 5 мА для выходного тока в диапазоне от 0 до 5 мА и 20 мА для выходного тока в диапазоне от 4 до 20 мА, мкг/дм3.
-
1.3.3 Пределы допускаемой основной абсолютной погрешности анализатора при измерении КРВ при температуре анализируемой среды (20,0 ± 0,2) °C и температуре окружающего воздуха (20 ± 5) °C, мкг/дм3:
-
- по индикатору....................................................± (3,0 + 0,04С);
-
- по токовому выходу...........................± [(3,0 + 0,002Caww) + 0,04С|.
-
1.3.4 Пределы допускаемой дополнительной абсолютной погрешности
анализатора при измерении КРВ по индикатору и по токовому выходу, обусловленной изменением температуры анализируемой среды, на каждые ± 5 °C от нормальной (20,0 ± 0,2) °C в пределах рабочего диапазона температур от 0 до плюс 70 °C, мкг/дм3.................................................± (0,3 + 0,015 С).
-
1.3.5 Пределы допускаемой дополнительной абсолютной погрешности анализатора при измерении КРВ, обусловленной изменением температуры окружающего воздуха, на каждые ± 10 °C от нормальной (20 ± 5) °C в пределах рабочего диапазона температур от плюс 5 до плюс 50 °C, мкг/дм3:
-
- по индикатору...................................................± (0,4 + 0,002С);
-
- по токовому выходу...........................± [(0,4 + 0,002Са„я„) + 0,002С].
-
1.3.6 Диапазон измерений температуры анализируемой среды,
°C..............................................................................от 0 до плюс 70.
-
1.3.7 Пределы допускаемой основной абсолютной погрешности анализа
тора при измерении температуры анализируемой среды при температуре окружающего воздуха (20 ± 5) °C, °C.....................................................±0,3.
-
1.3.8 Пределы допускаемой дополнительной абсолютной погрешности
анализатора при измерении температуры анализируемой среды, обусловленной изменением температуры окружающего воздуха, на каждые ± 10 °C от нормальной (20 ± 5) °C в пределах рабочего диапазона температур от плюс 5 до плюс 50 °C, °C...........................................................................±0,1.
-
1.3.9 Время установления показаний анализатора при измерении КРВ,
-
1.3.10 Время установления показаний анализатора при измерении КРВ,
-
1.3.13 Нестабильность показаний анализатора за время 8 ч, мкг/дм3, не более:
-
- по индикатору......................................................± (1,5 + 0,02С);
-
- по токовому выходу.............................± [(1,5 + 0,001 Сдиап) + 0,02С].
-
1.3.14 Состояние выхода измеренного значения КРВ за пределы запрограммированного диапазона измерений либо температуры за пределы диапазона измерений сопровождается:
-
- включением индикатора «ПЕРЕГРУЗКА»;
-
- звуковым сигналом;
-
- замыканием «сухих» контактов реле;
-
- миганием на экране индикатора надписи «КРВ» либо «°C».
-
1.3.15 Состояние выхода измеренного значения КРВ за нижнюю или верхнюю уставку сопровождается:
-
- появлением на экране индикатора одного из символов «ЕЕ» либо «СЕ»;
-
- замыканием «сухих» контактов реле.
-
1.3.16 Анализатор осуществляет обмен информацией по интерфейсу RS-485.
-
1.4 Состав изделия
Состав анализатора приведен в таблице 1.2.
Таблица 1.2
Наименование |
Исполнение МАРК- | |||
509 |
509/1 |
509/36 |
509/1/36 | |
Блок преобразовательный щитового исполнения |
• |
о |
• |
о |
Блок преобразовательный настенного исполнения |
о |
• |
о |
• |
Датчик водородный ДВ-509 |
• |
• |
• |
• |
Комплект монтажных частей ВР37.03.000 |
• |
• |
• |
• |
Комплект монтажных частей ВР49.06.000 |
• |
о |
• |
о |
Условные обозначения: • - входит в состав; о — не входит в состав.
-
1.5 Устройство и принцип работы
-
1.5.1 Общие сведения об анализаторе
Внешний вид анализатора исполнения МАРК-509 представлен на рисунке 1.1.
Анализатор представляет собой двухканальный стационарный измерительный прибор, состоящий из следующих основных частей:
-
- блока преобразовательного (настенного или щитового исполнения);
-
- датчиков водородных ДВ-509.
Датчики водородные ДВ-509 (в дальнейшем датчики), могут быть удалены от блока преобразовательного на расстояние до 5 м либо до 100 м с помощью вставки кабельной BK409/509.L.
Измеренные значения КРВ и температуры выводятся на отсчетное устройство - цифровой жидкокристаллический индикатор (в дальнейшем - индикатор). При этом возможны режимы индикации первого либо второго канала, либо режим одновременной индикации двух каналов измерения.
По каждому каналу измерений в анализаторе имеется выходной ток в диапазонах от 0 до 5 мА либо от 4 до 20 мА. Установка выходного тока производиться отдельно для каждого канала.

МАРК-509
МАРК
КАНАЛ
Кабель сетевой Ь = 1,5М
АНАЛИЗАТОР РАСТВОРЕННОГО
с
Дополнительно к выходным токам в диапазонах от 0 до 5 мА либо от 4 до 20 мА в меню анализатора предусмотрена возможность установки по каждому каналу выходного тока в диапазоне от 0 до 20 мА.
Датчики - проточно-погружные.
Каждый датчик оснащен микросхемой энергонезависимой памяти, в которой изначально записаны параметры термодатчика, запоминаются вводимые с блока преобразовательного значения длины кабельной вставки, а также параметры градуировки.
Градуировка анализатора производится по эталонной водородной среде 100 % влажности.
Установка «нуля» анализатора производится по безводородной («нулевой») среде - по воздуху.
Для учета атмосферного давления при градуировке анализатора по водородной среде используется встроенный датчик атмосферного давления.
В каждом канале в анализаторе предусмотрены две свободно программируемые уставки. При выходе измеренного значения КРВ за пределы уставок замыкаются «сухие» контакты реле. При выходе за верхнюю уставку на экране индикатора появляется символ « £ », при выходе за нижнюю уставку - символ «(х ».
-
1.5.2 Принцип измерения водорода
Для измерений содержания растворенного в воде водорода в анализаторе используется амперометрический датчик, работающий по принципу полярографической ячейки закрытого типа.
Электроды погружены в раствор электролита, который отделен от контролируемой среды мембраной, проницаемой для водорода, но непроницаемой для жидкости и паров воды. Водород из анализируемой среды диффундирует через мембрану в тонкий слой электролита между анодом и мембраной и вступает в электрохимическую реакцию на поверхности анода, который поляризуется внешним напряжением, приложенным между электродами. При этом в датчике вырабатывается сигнал постоянного тока, который при фиксированной температуре пропорционален концентрации растворенного водорода в анализируемой среде.
Чувствительность датчиков (коэффициент пропорциональности) возрастает с повышением температуры контролируемой среды. Для компенсации этой зависимости в анализаторе применяется автоматическая температурная коррекция с использованием термодатчика, размещенного в одном корпусе с датчиком водорода.
В качестве термодатчика используется транзистор, включенный как диод в прямом направлении, питаемый стабильным постоянным током. Напряжение на р-n переходе линейно меняется с изменением температуры. Это напряжение поступает через коммутатор на вход АЦП.
АЦП преобразует сигналы с датчиков водорода и температуры в коды, поступающие на микроконтроллер.
Микроконтроллер производит обработку полученных кодов и выводит информацию на жидкокристаллический графический индикатор.
-
1.5.3 Составные части анализатора
-
1.5.3.1 Блок преобразовательный
Блок преобразовательный производит преобразование сигналов КРВ и температуры от датчиков, измерение атмосферного давления, индикацию результатов измерений КРВ и температуры, преобразование результатов измерений в выходной ток, управление «сухими» контактами реле и обмен информацией по интерфейсу RS-485.
Блок преобразовательный осуществляет отображение результатов измерений с разрешающей способностью в соответствии с таблицей 1.3.
Таблица 1.3
Индицируемый параметр |
Единица измерений |
Участок диапазона индикации |
Разрешающая способность |
КРВ |
мкг/дм3 |
от - 99,9 до 199,9 от 200 до 9999 |
0,1 1 |
мг/дм3 |
от 1,000 до 1,999 от 2,00 до 19,99 от 20,0 до 99,9 |
0,001 0,01 0,1 | |
Температура |
°C |
от - 5 до 99,9 |
0,1 |
Питание pH-метра осуществляется от сети переменного тока 220 В, 50 Гц либо 36 В, 50 Гц (в зависимости от исполнения).
Внешний вид блока преобразовательного (на примере блока преобразовательного щитового исполнения) показан на рисунках 1.2 и 1.3.
Экран индикатора
ООО‘ВЗОР*
МАРК-509
МАРК J|lgl
I КАНАЛ’
МЕНЮ
Кнопка
ВКЛ/вЫКЛ^ подсветки экрана индикатора
Кабель сетевой,
L-h5M
Кнопки для Кнопка для перемещения
курсора
в меню
Кнопка для изменения ^да и работы режима в меню
индикации
Переклюете® «СЕТЬ»
12-^преобразовав *
Рисунок 1-*
МаркиРовоЧНаЯ табличка
Уголок
х крепления
220В 50Гц
10 ВА
ТОКОВЫЙ ВЫХОД
R&485
В.ЗМП МХХХ20ХХГ.
АИАПИЗМОР МАРК-509 растворенного I______вОДОРОЦА
ТУ 4215^50-39232169-2008
ДАТЧИКА
Клемма заземления
ДЛЯ ,й шипового
.^^преобра^^ рисуНОК Г J
мсИОли—<«“дС30дМ?
На передней панели блока преобразовательного расположены:
-
- экран индикатора, предназначенный для индикации измеренного значения КРВ и температуры, режимов работы анализатора, а также для работы с экранными меню;
-
- кнопка « » для отключения и включения подсветки экрана индика
тора;
-
- кнопки «Ф», «,vF» для передвижения по строкам меню в режиме контроля и изменения параметров и для изменения параметров настройки;
-
- кнопка «КАНАЛ» для изменения режима индикации (канала А, канала В либо обоих каналов), а также для некоторых операций в режиме МЕНЮ;
-
- кнопка « вВОд » Для входа в меню (включения режима контроля и изменения параметров) и подтверждения выбранных при программировании величин и режимов работы;
-
- переключатель «СЕТЬ» для включения и выключения питания анализатора;
-
- световой индикатор «СЕТЬ», зеленого цвета, для индикации включения питания анализатора;
-
- световой индикатор «ПЕРЕГРУЗКА», красного цвета, для индикации состояния перегрузки запрограммированного диапазона измерений или выхода измеренного значения температуры за пределы диапазона.
На задней панели блока преобразовательного щитового исполнения в соответствии с рисунком 1.3 (на примере исполнения анализатора МАРК-509) и на нижней панели блока преобразовательного настенного исполнения в соответствии с рисунком 1.4 (на примере исполнения анализатора МАРК-509/1) расположены:
-
- два разъема «ДАТЧИК А» и «ДАТЧИК В» канала А и канала В для подключения датчиков водородных к блоку преобразовательному;
-
- разъем «ТОКОВЫЙ ВЫХОД, СИГНАЛИЗАЦИЯ, RS-485» для подключения регистрирующих и исполнительных устройств и для обмена информацией по интерфейсу RS-485;
-
- клемма « @ » для подключения защитного заземления к блоку преобразовательному;
-
- герметичный кабельный ввод сетевого кабеля «~220 В 50 Гц 10 В-А» либо «~36 В 50 Гц 10 В-A» (в зависимости от исполнения).
__
Ns XXX 20XXr
ТУ 4215-030 <19232169-2008
ДАТЧИКА
ДАТЧИКИ
Клемма заземления
Уголок крепления
Кабель сетевой, l=i<7m

С с
тлЛП'
Рисунок 1.4
Бяок преобразованный н
-
1.5.3.2 Датчик водородный ДВ-509
На рисунке 1.5а изображен датчик в собранном виде.
На рисунке 1.56 изображена конструкция датчика.
Платиновый анод впаян в торец стеклянной трубки-держателя электродов, серебряный катод намотан поверх трубки. Трубка-держатель и экранированный кабель герметично вмонтированы во внутренний корпус. Последний вставлен в основной корпус и затянут гайкой с уплотнительным кольцом.
На трубке-держателе капроновыми нитками укреплена тефлоновая пленка, обеспечивающая фиксированный зазор между анодом и мембраной.
Мембранный узел состоит из втулки-короны и вставленной в нее мембраны с приклеенным резиновым кольцом. Мембранный узел установлен на основном корпусе и затянут накидной гайкой.
На основном корпусе размещена также диафрагма, предназначенная для выравнивания давления снаружи и внутри датчика. Бандажи из лески укрепляют диафрагму на основном корпусе и герметизируют внутреннее пространство датчика, заполненное электролитом. Для заливки электролита предназначены отверстия в основном корпусе, закрываемые в рабочем положении силиконовым кольцом.
Защитный колпак предназначен для предохранения диафрагмы от повреждений и выполняет декоративные функции.
Подключение датчика к разъемам «ДАТЧИК А» и «ДАТЧИК В» блока преобразовательного производится с помощью розетки PC 1 ОТВ, установленной на конце кабеля соединительного.
Подсоединение кабельной вставки, поставляемой по согласованию с заказчиком, производится при помощи розетки и вилки РС4ТВ, установленных на вставке, и ответных разъемов, установленных на кабеле соединительном датчика.
а-Датчик водородный в сборе
Гайка Втулка Корпус накидная КОрона ОСНОВНой
Диафрагма

Бандаж из лески
Кольцо силиконовое
Кольцо резиновое в сборе с мембраной
Анод „ Корпус платиновый внутренний
Колпак защитный
Гайка с лысками
Кольцо резиновое 012-016-25

Кабель соединительный

Катод серебряный
б - Конструкция датчика водородного
Рисунок L5
1.6 Маркировка
-
1.6.1 Маркировка, нанесенная на составные части анализатора, соответствует ГОСТ 26828-86.
-
1.6.2 Блок преобразовательный
-
1.6.2.1 На передней панели блока преобразовательного нанесены:
-
- наименование анализатора и товарный знак;
-
- наименование страны-изготовителя.
-
1.6.2.2 На задней панели блока преобразовательного щитового исполнения и на нижней поверхности блока преобразовательного настенного исполнения укреплена табличка содержащая:
-
- товарный знак и наименование предприятия-изготовителя;
-
- единый знак обращения продукции на рынке государств-членов ТС;
-
- знак утверждения типа;
-
- наименование и условное обозначение анализатора;
-
- заводской номер анализатора и год выпуска;
-
- регистрационный номер в Государственном реестре средств измерений;
-
- интервал между поверками;
-
- номинальное значение напряжения электрического питания;
-
- условное обозначение рода электрического тока и номинальная частота переменного тока;
-
- символ « @ », обозначающий клемму защитного заземления.
-
1.6.2.3 На боковой поверхности блока преобразовательного щитового исполнения и на нижней поверхности блока преобразовательного настенного исполнения укреплена гарантийная пломба.
-
1.6.3 Датчик водородный ДВ-509
На кабеле датчика укреплена табличка, на которой нанесены:
- наименование датчика;
~ заводской номер.
-
1.6.4 Вставка кабельная BK409/509.L
На вставке кабельной BK409/509.L укреплены таблички, на которых нанесены:
-
- заводской номер датчика водородного ДВ-509;
-
- длина вставки кабельной BK409/509.L в метрах.
-
1.6.5 Транспортная маркировка
-
1.6.5.1 На транспортной таре (коробке) наклеена этикетка, содержащая наименование и условное обозначение анализатора, дату упаковки, товарный знак, телефоны, адрес и наименование предприятия-изготовителя.
-
1.6.5.2 На транспортной таре (коробке) нанесены манипуляционные знаки: «Хрупкое. Осторожно», «Беречь от влаги», «Верх» и «Пределы температуры» по ГОСТ 14192-96.
1.7 Упаковка
-
1.7.1 Упаковка обеспечивает сохраняемость анализатора при транспортировании и хранении.
-
1.7.2 По защите анализатора от климатических факторов внешней среды упаковка имеет категорию КУ-1 по ГОСТ 23170-78.
-
1.7.3 Упаковка соответствует требованиям ГОСТ 9.014-78 для группы изделий III:
-
- вариант временной противокоррозионной защиты ВЗ-0;
-
- вариант внутренней упаковки ВУ-4.
-
1.7.4 В отдельные полиэтиленовые пакеты укладываются:
-
- блок преобразовательный;
-
- датчик водородный ДВ-509;
-
- комплект запасных частей для датчика;
-
- комплект инструмента и принадлежностей;
-
- комплекты монтажных частей;
-
- руководство по эксплуатации, паспорт и упаковочная ведомость.
-
1.7.5 Упаковка вставок кабельных BK409/509.L соответствует требованиям ГОСТ 18690-2012.
-
1.7.6 Составные части анализатора укладываются в картонную коробку с последующей ее заклейкой полимерной липкой лентой.
-
1.7.7 Свободное пространство в коробке заполняется амортизационным материалом.
-
1.7.8 Срок сохраняемости до переупаковывания равен сроку службы анализатора.
-
1.7.9 Переупаковывание анализатора проводиться в случае обнаружения дефектов упаковки при осмотрах в процессе хранения или по истечении срока сохраняемости до переупаковывания.
-
1.7.10 По согласованию с заказчиком допускается применять другие виды консервации и упаковки.
■г
2 ИСПОЛЬЗОВАНИЕ ПО НАЗНАЧЕНИЮ
-
2.1 Эксплуатационные ограничения
-
2.1.1 Оберегать от ударов блок преобразовательный и датчик, так как в их конструкции использованы хрупкие материалы.
-
2.1.2 Датчик рассчитан на работу в диапазоне температур от 0 до плюс 70 °C. Кратковременно (до 15 мин) он выдерживает температуру до 100 °C, однако длительный перегрев может вызвать деформацию корпуса датчика и выход его из строя.
-
2.2 Указание мер безопасности
-
2.2.1 Блок преобразовательный должен быть установлен в месте, не затрудняющем отключение анализатора от сети питания.
-
2.2.2 При работе должны соблюдаться требования техники безопасности:
-
-
-
- при работе с электроустановками - по ГОСТ 12.1.019-2009 и ГОСТ 12.2.007.0-75;
-
- при работе с ГСО-ПГС - правила работы с баллонами с ПГС под давлением;
-
- при работе с химическими реактивами - по ГОСТ 12.1.007-76 и ГОСТ 12.4.021-75.
-
2.2.3 Запрещается эксплуатировать анализатор при снятых крышках корпуса блока преобразовательного, а также при отсутствии заземления блока преобразовательного.
-
2.2.4 Электрические цепи, осуществляющие подключение к разъему «ТОКОВЫЙ ВЫХОД, СИГНАЛИЗАЦИЯ, RS-485», должны быть выполнены экранированным кабелем либо проводами, расположенными в проводящих кабельных желобах или в кабелегонах.
Соединения датчиков с блоком преобразовательным выполнены экранированным кабелем.
-
2.3 Подготовка анализатора к работе
-
2.3.1 Получение анализатора
-
При получении анализатора следует вскрыть упаковку, проверить комплектность и убедиться в сохранности упакованных изделий.
После пребывания анализатора на холодном воздухе необходимо выдержать его при комнатной температуре не менее 2 ч, после чего можно приступить к подготовке анализатора к работе.
-
2.3.2 Подготовка блока преобразовательного
2.3.2.1 Установка блока преобразовательного
Установить блок преобразовательный в месте, не затрудняющем отключение анализатора от сети питания.
Расположение и размер отверстий для крепления блока преобразовательного щитового исполнения в щите - в соответствии с рисунком 2.1.

Блок преобразовательный анализатора щитового исполнения установить с внутренней стороны щита. Накладку, входящую в комплект поставки анализатора щитового исполнения, установить с лицевой стороны щита в соответствии с рисунком 2.2.
Для крепления блока преобразовательного на щите (толщиной до 3 мм) можно воспользоваться винтами М5*8 с гайками, входящими в комплект поставки.

Гайка М5
Блок преобразовательный щитового исполнения
Щит с отверстиями для крепления
Винт
М5*8 Накладка
Рисунок 2.2
Расположение и размер отверстий для крепления блока преобразовательного настенного исполнения на вертикальной поверхности - в соответствии с рисунком 2.3,
Конструкция блока преобразовательного настенного исполнения позволяет осуществлять крепление блока на различных вертикальных поверхностях, поэтому крепеж в комплект поставки не входит.
Заземлить корпус блока преобразовательного медным проводом желто-зеленого цвета сечением не менее 0,75 мм2, подключаемым к клемме заземления.
Подвести сетевое питание (в зависимости от исполнения анализатора):
а) ~ 220 В, 50 Гц с помощью подключения вилки к штепсельной розетке с заземляющим контактом;
б) ~36В,50Гцс помощью подключения к контактам сетевого кабеля:
-
- провод красного цвета - фаза;
-
- провод синего цвета - нулевой провод;
-
- провод желто-зеленого цвета - заземление.
-
2.3.2.2 Внешние подключения блока преобразовательного
ВНИМАНИЕ: Подключение внешних устройств к блоку преобразовательному производить при отключенном питании внешних устройств и блока преобразовательного!
Внешние подключения к блоку преобразовательному производить к разъему «ТОКОВЫЙ ВЫХОД, СИГНАЛИЗАЦИЯ, RS-485» с использованием розетки РС19ТВ с кожухом, входящей в комплект монтажных частей.
Для внешнего подключения к блоку преобразовательному: ~
-
- снять пластмассовую заглушку с разъема «ТОКОВЫЙ ВЫХОД, СИГНАЛИЗАЦИЯ, RS-485»;
-
- разобрать розетку РС19ТВ в соответствии с рисунком 2.4а;
-
- припаять контакты в соответствии с рисунком 2.46 и таблицей 2.1.
Кожух Гайка
а — Конструкция розетки РС19ТВ с кожухом
б — Розетка РС19ТВ
(вид со стороны пайки контактов)
Рисунок 2.4
Таблица 2,1
Конт. |
Выходной сигнал |
Цепь |
Внешнее подключение |
1 |
Реле «перегрузка» |
Канал А |
Исполнительное устройство |
2 | |||
7 |
Реле «уставка» | ||
8 | |||
12 | |||
13 | |||
3 |
Реле «перегрузка» |
Канал В | |
4 | |||
16 |
Реле «уставка» | ||
17 | |||
18 | |||
19 | |||
5 |
Выходной ток |
Канал А (+) |
Регистрирующее устройство, компьютер |
6 |
Канал А (-) | ||
9 |
Канал В (+) | ||
6 |
Канал В (-) | ||
11 |
Порт RS-485 |
SG (сигнальная земля) | |
14 |
DAT+ (Данные +) | ||
15 |
DAT- (Данные -) |
В диапазоне от 4 до 20 мА нагрузка не должна превышать 500 Ом, в диапазоне от 0 до 5 мА - 2 кОм.
Замыкание «сухих» контактов реле «перегрузка» и реле «уставка» происходит в соответствии с таблицей 2.2.
Таблица 2.2
Контролируемый параметр |
Канал |
Значение контролируемого параметра |
Номера контактов, розетки РС19ТВ, между которыми замыкается цепь | ||
Измеренное значение КРВ |
А |
выход за пределы диапазона измерений |
1 2 |
^3 | |
Измеренное значение температуры, °C | |||||
Измеренное значение КРВ |
В |
выход за пределы диапазона измерений |
| ||
Измеренное значение температуры, °C | |||||
Измеренное значение КРВ |
А |
менее значения уставки MIN |
| ||
более значения уставки МАХ |
12 13 | ||||
В |
менее значения уставки MIN |
16 17 |
-^1 | ||
более значения уставки МАХ |
18 19 |
Изменение параметров уставок производится в соответствии с п. 2.6.3.
Максимальный коммутируемый ток 150 мА при постоянном или переменном напряжении 36 В.
2.3.3 Подготовка водородного датчика ДВ-509
2.3.3.1 Общие сведения
-
1 ВНИМАНИЕ: Подсоединение датчиков к блоку преобразовательному и отсоединение их следует производить при отключенном приборе!
-
2 ВНИМАНИЕ: Градуировку следует проводить при подключенной кабельной вставке, если она входит в комплект поставки!
Датчик в комплекте анализатора поставляется без электролита. При получении его необходимо заполнить электролитом из комплекта поставки в соответствии с п. 2.3.3.2.
Подключить датчик к разъему «ДАТЧИК А» или «ДАТЧИК В» блока преобразовательного, предварительно сняв с соответствующего разъема пластмассовую заглушку.
Погрузить датчик мембраной вниз на 24 ч в дистиллированную воду.
Блок преобразовательный можно не включать в сеть.
Перед проведением всех типов градуировки датчик должен быть подключен к анализатору не менее 24 ч, так как при отключении датчика скорость реакции его на водород заметно уменьшается.
Если заменена мембрана либо тефлоновая пленка, перед проведением градуировки также следует выдержать датчик в дистиллированной воде не менее 24 ч для стабилизации натяжения мембраны и тефлоновой пленки.
Выполнить проверку «нуля» анализатора по среде с нулевым содержанием водорода (по воздуху) в соответствии с п. 2.3.4.
Если после проведения градуировки в канале А подключить отградуированный датчик к каналу В, проводить новую градуировку не требуется.
Аналогичным образом следует провести градуировку второго датчика по воздуху и по водороду, если в комплект поставки входят два датчика.
После градуировки анализатор готов к работе.
-
2.3.3.2 Заливка электролита
-
1 ВНИМАНИЕ: В СОСТАВ ЭЛЕКТРОЛИТА ВХОДИТ КИСЛОТА! Соблюдать меры безопасности, приведенные в приложении В!
-
2 ВНИМАНИЕ: НЕ ДОПУСКАТЬ переполнения датчика электролитом (выпячивания диафрагмы)!
Для выполнения этой операции в соответствии с рисунком 2.5 следует:
-
- отвернуть гайку накидную, снять ее и смочить изнутри мембрану и резиновое кольцо электролитом;
-
- навернуть до упора гайку накидную, обеспечивающую прижим мембраны к платиновому аноду;
-
- отвернуть колпак защитный;
-
- сместить защитный колпак с корпуса датчика на соединительный кабель;
-
- открыть заливочные отверстия, сдвинув кольцо силиконовое;
-
- с помощью шприца через одно из отверстий на корпусе датчика залить 4 см3 электролита. Для лучшего проникания электролита к электродам можно несколько раз встряхнуть датчик;
-
- сдвинуть силиконовое кольцо таким образом, чтобы оно перекрыло оба заливочных отверстия;
-
- навернуть защитный колпак.
2.3.4 Проверка «нуля» анализатора по среде с нулевым содержанием водорода (по воздуху)
2.3.4,1 Общие сведения
Проверка «нуля» анализатора осуществляется в среде с нулевым содержанием водорода. В качестве такой среды можно использовать естественную атмосферу (воздух), так как содержание водорода в ней близко к нулю.
Проверка «нуля» анализатора, позволяющая определить время реакции датчика и его способность уходить в «нуль», является основной из его оперативных проверок.
Проверку «нуля» анализатора по воздуху проводят:
-
- при получении нового датчика (после заливки электролита);
-
- после замены мембранного узла;
-
- после замены тефлоновой пленки;
-
- при появлении сомнений в показаниях анализатора;
-
- после длительного перерыва в работе анализатора.
Рисунок 2.5 - Заливка (добавление) электролита
-
2.3.4.2 Проверка «нуля» анализатора
Для проверки по воздуху следует:
-
- извлечь датчик из дистиллированной воды;
-
- удалить капли воды с мембраны и обсушить датчик чистой тканью или
фильтровальной бумагой; I
-
- расположить датчик на воздухе под углом в 15-30° к горизонтали в соответствии с рисунком 2.6;
-
- включить анализатор;
-
- зафиксировать показания анализатора через 40 мин.
Если показания индикатора находятся в пределах ± 1 мкг/дм3, следует перейти к операции градуировки в соответствии с п. 2.8.
Если показания индикатора находятся в пределах ± 3 мкг/дм3, следует провести установку «нуля» анализатора в соответствии с п. 2.7.
Если показания анализатора на воздухе выходят за пределы ± 3 мкг/дм3, следует обратиться к п. 2,12.

Рисунок 2.6- Расположение датчика водородного ДВ-509 в среде с нулевым содержанием водорода (на воздухе)
-
2.3.4.3 Подготовка водородного датчика ДВ-509 к измерениям
Для проведения измерений погружным способом в лабораторных условиях:
-
- залить анализируемую среду в подходящий сосуд;
-
- погрузить датчик полностью в сосуд с анализируемой средой.
Для проведения измерений проточным способом при скорости потока:
-
- от 0,07 до 5,00 дм3/мин датчик установить в соответствии с руководством по эксплуатации на модуль стабилизации водного потока МС-402М (МС-402/1М) ВР13.00.000РЭ (рисунок 2.7а);
-
- от 0,07 до 0,60 дм3/мин датчик установить в соответствии с этикеткой на кювету проточную ВР11.03.000ЭТ (рисунок 2.76);
-
- от 0,08 до 5,00 дм3/мин датчик установить в соответствии с руководством по эксплуатации на гидропанель ГП-409 ВР37.04.100РЭ (рисунок 2.8) либо на гидропанель ГП-409С ВР37.62.000РЭ.
Примечание - Гидропанели ГП-409 ВР37.04.100, ГП-409С ВРЗ7.62.000, а так же модуль стабилизации водного потока МС-402М ВР13.00.000 и кювета проточная ВР11.03.000 поставляются по отдельной заявке.
Датчик водородный
ДВ-509

Модуль стабилизации водного потока МС-402М ВР13.00.000
а
Рисунок 2.7
Кювета проточная
ВР 11.03.000
Датчик водородный
ДВ-509




Датчик водородный
ДВ-509
Рисунок 2,8 — Гидропанель ГП-409 с установленным датчиком водородным ДВ-509
-
2.4 Включение анализатора
Для включения анализатора перевести переключатель «СЕТЬ» в положение « I », при этом должен загореться световой индикатор «СЕТЬ» зеленого цвета. Включение анализатора так же сопровождается звуковым сигналом.
На экране индикатора на несколько секунд появится экран-заставка в соответствии с рисунком 2.9.
Далее анализатор перейдет в режим измерений.
Рисунок 2.9
-
2.5 Экраны измерений
Анализатор имеет следующие экраны режима измерений:
-
- экран режима измерений одного канала (А или В) в соответствии с рисунком 2.10;
-
- экран режима измерений двух каналов (А и В) в соответствии с рисунком 2.11, если подключены два датчика.
g ДИАП
КРВ
0
ДИАП
КРВ
2000
90.9
мкг дмг
ДИАП
2000
22.5 °C
мкг
КРВ
1531
Дм
43.1 °C
Рисунок 2.11
Рисунок 2.10
Примечание - Численные значения параметров на рисунках 2.10 и 2.11 могу быть другими.
Переход от одного экранного меню к другому производится последовательным нажатием кнопки «КАНАЛ».
На экранах индицируются названия каналов (А или В), значения диапазона измерений по токовому выходу для каждого канала и измеренные значения КРВ и температуры.
-
2.6 Экраны режима контроля и изменения параметров настройки
-
2.6.1 Общие сведения о работе сМЕНЮ
Контроль и изменение параметров анализатора производятся с помощью
экранных меню.
Вход в режим МЕНЮ из режима измерений производится нажатием
кнопки «
МЕНЮ ввод ”
Анализатор имеет три экранных меню:
-
- МЕНЮ [А];
-
- МЕНЮ [В];
-
- МЕНЮ [А] [В].
Экранное меню МЕНЮ [А] или МЕНЮ [В] отображает состояние индивидуальных параметров канала в соответствии с рисунком 2.12.
Экранное меню МЕНЮ [А] [В] отображает и позволяет изменять параметры анализатора общие для обоих каналов. Экран в соответствии с рисунком 2.13.
|д| МЕНЮ
► ГРАДУИРОВКА НАСТРОЙКА ПАРАМЕТРЫ ДАТЧИК ТОК. ВЫХОД: 0-5 мА
ВЫХОД
МЕНЮ
ПАРОЛЬ: |
ОТКЛ |
СЕТЕВОЙ АДРЕС: |
00 |
ЗВУК: |
ВКЛ |
ПО И КОНТР.СУММЫ | |
ТЕМПЕРАТУРА БП: |
33 °C |
► ВЫХОД
Рисунок 2.12
Рисунок 2.13
Выделение необходимого пункта меню производится маркером «►». Перемещение маркера « ► » вверх и вниз по экрану — кнопками «{?»,«{}».
Переход от одного экранного меню к другому производится последовательным нажатием кнопки «КАНАЛ».
Для выхода из экранов МЕНЮ следует установить маркер на строку ВЫХОД и нажать кнопку « ».
ввод
-
2.6.2 Порядок набора числовых значений в МЕНЮ [А], МЕНЮ [В] и МЕНЮ [А] [В]
Анализатор позволяет при необходимости изменять числовые значения в строках меню либо вводить новые. Это относится, например, к изменению значения программируемого диапазона измерений по токовому выходу, значений уставок и прочим.
Перемещение по строке влево осуществляется кнопкой «КАНАЛ», т-г u МЕНЮ
».
Перемещение по строке вправо осуществляется кнопкой <<'ВВОд' Увеличение либо уменьшение цифры - кнопками «{?», «Ф».
Для ввода либо изменения числового значения нужно:
-
- установить маркер «>»на эту строку;
-
- нажать кнопку « ». Будет мигать первая цифра;
ВВОД
-
- кнопками « Ф», «Ф» установить значение первой цифры;
-
- нажать кнопку «р™». Будет мигать вторая цифра;
ВВОД
-
- кнопками « ^», «<ь> установить значение второй цифры;
-
- нажать кнопку Установить остальные цифры.
После установки всех цифр и единиц измерений (когда не будет мигать ни одна цифра) нужно кнопками «{}*», «'{/’’» установить маркер «►» на другую строку и установить, если требуется, второе значение.
После установки всех цифр и единиц измерений (когда не будет мигать ни одна цифра) нужно кнопками «Ф», «Ф» установить маркер «►»на строку ВЫХОД и нажать кнопку « ВВдд
-
2.6.3 Работа с экранным меню МЕНЮ [А] и МЕНЮ [В]
МЕНЮ
ГРАДУИРОВКА
НАСТРОЙКА
ПАРАМЕТРЫ
ДАТЧИК
ТОК. ВЫХОД: 0-5 мА
► ВЫХОД
Рисунок 2.14
Вход в необходимый пункт меню производится установкой маркера «►»
на нужную строку и нажатием на кнопку
в»
ввод
► ГРАДУИРОВКА - пункт меню предназначен для перехода в подменю ГРАДУИРОВКА (пп. 2.7, 2.8). Экран - в соответствии с рисунком 2.15.
|д| ГРАДУИРОВКА ВОДОРОД мкг/дм3 ВОДОРОД % об.
► ВОЗДУХ
ВЫХОД
Рисунок 2.15
► НАСТРОЙКА - пункт меню предназначен для изменения значения верхнего предела программируемого диапазона измерений по токовому выходу и для просмотра и изменения минимального и максимального значения уставок.

НАСТРОЙКА
ДИАП: 2000 мкг/дм3
УСТАВКИ:
М I N: 1.0 мкг/дм3
МАХ: 110.0 мкг/дм3
► ВЫХОД
Экран - в соответствии с рисунком 2.16.
Рисунок 2.16
Можно установить значения:
-
- в строке ДИАПАЗОН - от 10 до 2000 мкг/дм3;
-
- в строке уставки МIN - от 0 до 1999 мкг/дм3;
~ в строке уставки МАХ - от 1 до 2000 мкг/дм3;
После установки необходимых значений установить маркер «►» на строку ВЫХОД и нажать кнопку << >h
Введенное значение уставки МАХ должно быть больше значения уставки
о
MIN на величину не менее 1 мкг/дм .
МЕНЮЧЧ
ВВОД "
После установки необходимых значений нажать кнопку «
На индикаторе анализатора появится экран подтверждения в соответствии с рисунком 2.17.
Кнопками «Ф», «’О’» установить маркер «►» на строку ДА и нажать кнопку «МЕН1Р».
J ввод
ЗАПОМНИТЬ ?
ДА
► НЕТ
Рисунок 2.17
Анализатор перейдет в режим МЕНЮ, запомнив установленные значения верхнего предела программируемого диапазона измерений по токовому выходу и новые значения уставок.
► ПАРАМЕТРЫ - пункт меню предназначен для просмотра параметров термоканала, для ввода значения длины кабельной вставки.
Экран - в соответствии с рисунком 2.18.

ПАРАМЕТРЫ
► ТЕРМОКАНАЛ
УДЛИН. КАБЕЛЯ: 00 м ПРОВЕРКА
ВЫХОД
Рисунок 2.18
ТЕРМОКАНАЛ - пункт подменю предназначен для просмотра занесенных в энергонезависимую память микросхемы датчика параметров термодатчика - смещения, мВ, и крутизны, мВ/°С.
|д| ТЕРМОКАНАЛ | |
СМЕЩЕНИЕ: |
621.91 мВ |
КРУТИЗНА: |
2.201 мВ/°С |
► ВЫХОД |
Экран подменю - в соответствии с рисунком 2.19.
Рисунок 2.19
Примечание - Численные значения смещения и крутизны могут быть другими.
Информация о параметрах термодатчика является служебной и используется только при регулировке анализатора предприятием-изготовителем.
«УДЛИН. КАБЕЛЯ» - пункт подменю предназначен для ввода значения длины кабельной вставки. Подключить кабельную вставку и ввести значение длины подключенной кабельной вставки в метрах (как при установке программируемого диапазона измерения). В случае, когда кабельная вставка не используется или при ее отключении, значение «УДЛИН. КАБЕЛЯ» должно быть равным нулю.
Диапазон значений длины подключенной кабельной вставки от 5 до 95 м.
Примечание - Если в комплект поставки входит кабельная вставка, анализатор поставляется с введенным в микросхему энергонезависимой памяти датчика значением длины кабельной вставки. При подключении датчика к любому каналу в показаниях будет учитываться введенное ранее значение длины кабельной вставки. Дополнительного введения в память анализатора значения длины кабельной вставки не требуется.
ПРОВЕРКА - служебный пункт подменю, предназначенный для просмотра параметров канала анализатора.
ПРОВЕРКА
Н2 : 020.7 мкг/дм3 ТОК : 1.33Е-0.1 мкА t : 25.0 °C
Р : 101.3 кПа
► ВЫХОД
Экран - в соответствии с рисунком 2.20.
Рисунок 2.20
На экране индицируются:
-
- показания анализатора по КРВ;
-
- ток датчика (в инженерном формате);
-
- измеренное значение температуры;
-
- измеренное значение атмосферного давления.
► ДАТЧИК - пункт меню предназначен для перехода в режим контроля параметров датчика.
0 ДАТЧИК
ТОК ГРАД.: 3.00 мкА
СМЕЩЕНИЕ: 2.3 мкг/дм3
► ВЫХОД
Экран - в соответствии с рисунком 2.21.
Рисунок 2.21
Примечание - Численные значения «ТОК ГРАД.» и «СМЕЩЕНИЕ» могут быть другими.
На экране появятся занесенные в микросхему энергонезависимой памяти параметры датчика:
-
- ток датчика в мкА, измеренный при градуировке по эталонной водородной среде, приведенный к среде с объемной долейводорода 100 %, температуре 20 °C и к нормальному атмосферному давлению 101,325 кПа («ТОК ГРАД.»);
-
- показания анализатора в мкг/дм3 при нахождении датчика в «нулевой» среде в момент градуировки («СМЕЩЕНИЕ»).
Параметры исправного датчика должны находиться в пределах:
-
- «ТОК ГРАД.» - от 1,4 до 10 мкА;
-
- «СМЕЩЕНИЕ» - от минус 3 до плюс 3 мкг/дм3.
-
2.6.4 Работа с экранным МЕНЮ [А] [В]
МЕНЮ
ПАРОЛЬ: |
ОТКЛ |
СЕТЕВОЙ АДРЕС: |
00 |
ЗВУК: |
ВКЛ |
ПО И КОНТР.СУММЫ | |
ТЕМПЕРАТУРА БП: |
33 °C |
► ВЫХОД
Рисунок 2.22
► ПАРОЛЬ - пункт меню предназначен для ограничения доступа к изменению параметров анализатора.
Если пароль выключен «ПАРОЛЬ: ОТКЛ», то переход из режима измерений в режим МЕНЮ происходит без запроса пароля.
Если пароль включен «ПАРОЛЬ: ВКЛ», то при переходе из режима измерений в режим МЕНЮ анализатор запросит ввести пароль (число «12»).
Появится экран в соответствии с рисунком 2.23.
На экране будет мигать первая цифра, которую необходимо ввести.
ВВЕДИТЕ ПАРОЛЬ:
Кнопками «zuk», «Ф» установить значение первой цифры пароля «1» и нажать кнопку « »• На экране начнет
мигать вторая цифра.
Рисунок 2.23
Кнопками «Ф», «’О'» установить значение второй цифры пароля «2» и нажать кнопку «МЕНЮ».
J ввод
Если пароль введен правильно, появится экран МЕНЮ.
ВВЕДИТЕ ПАРОЛЬ:
Если введен неверный пароль, то появится экран в соответствии с рисунком 2.24 и анализатор перейдет в режим измерений.
11
НЕВЕРНЫЙ ПАРОЛЬ !
Рисунок 2.24
-
► СЕТЕВОЙ АДРЕС - пункт меню предназначен для установки сетевого адреса анализатора при работе нескольких приборов, объединенных в сеть, по интерфейсу RS-485. Сетевой адрес служит для идентификации данного анализатора в сети и может принимать значения от «00» до «99». При работе вне сети сетевой адрес значения не имеет.
-
► ЗВУК - пункт меню предназначен для отключения в случае необходимости звукового сигнала аварийной сигнализации анализатора при превышении измеренным значением КРВ верхнего предела запрограммированного диапазона измерений.
-
► ПО И КОНТР.СУММЫ - пункт меню предназначен для идентификации данных программного обеспечения: обозначения, номера версии и прочих сведений о программном обеспечении.
Примечание-В целях предотвращения несанкционированных настройки и вмешательства, приводящим к искажению результатов измерений, предусмотрен только просмотр данных программного обеспечения.
-
► ТЕМПЕРАТУРА БП - пункт меню предназначен для индикации температуры внутри корпуса блока преобразовательного.
2.7 Установка «нуля» анализатора
Установка «нуля» анализатора по воздуху позволяет выставить нулевые показания анализатора.
Установку «нуля» анализатора по воздуху проводят, если после проверки «нуля» анализатора по воздуху показания индикатора находятся в пределах ± 3 мкг/дм3.
Для установки «нуля» анализатора следует:
-
1 Кнопкой «-•_,„ » перейти в МЕНЮ [А], если датчик подключен к
□ВОД
разъему «ДАТЧИК А», или МЕНЮ [В], если датчик подключен к разъему «ДАТЧИК В»;
-
2 Установить маркер на строку ГРАДУИРОВКА и нажать кнопку
« », анализатор перейдет в меню ГРАДУИРОВКА. Появится экран в со
ответствии с рисунком 2.25.
ГРАДУИРОВКА
ВОДОРОД мкг/дм3 ВОДОРОД % об.
► ВОЗДУХ
ВЫХОД
Рисунок 2.25
-
3 При установленном на строку ВОЗДУХ курсоре нажать кнопку « »• Появится экран в соответствии с рисунком 2.26.
И ГРАДУИРОВКА
Ш ПО ВОЗДУХУ
мкг
ДМ3
О МИНУТ 23.7 °C НАЖМИТЕ КЛАВИШУ ВВОД
Рисунок 2.26
-
4 В левом нижнем углу экрана будет индицироваться время с момента включения режима градуировки по воздуху. Показания анализатора по КРВ должны снижаться и через 40 мин не должны выходить за пределы ± 3,0 мкг/дм3.
-
5 Не ранее, чем через 40 мин, на-МЕНЮ
|д] ДАТЧИК
ТОК ГРАД.: 4.7 мкА
СМЕЩЕНИЕ: 2.9 мкг/дм3
► ВЫХОД
жать кнопку « ВВОд »> анализатор выполнит градуировку по воздуху. Экран индикатора примет вид в соответствии с рисунком 2.27.
Рисунок 2.27
-
6 Нажать кнопку « МЕНЮ » появится J ВВОД
экран в соответствии с рисунком 2.28.
ЗАПОМНИТЬ ?
ДА
► НЕТ
Рисунок 2.28
1 Установить маркер на строку ДА МЕНЮ
и нажать кнопку « », появится экран
ВВЕДИТЕ ДАТУ
ДЦ.ММ.ГТ
►; 26.03.08
I—
в соответствии с рисунком 2.29.
ВЫХОД
Рисунок 2.29
т? ист МЕНЮ
Если установить маркер на строку НЕТ и нажать кнопку « ВВОд »> новые параметры градуировки не будут запомнены, и анализатор перейдет в режим измерения.
8 Ввести дату проведения градуировки, установить маркер на строку
МЕНЮ ввод
ВЫХОД и нажать кнопку «
», анализатор перейдет в режим измерения с
установленными «нулевыми» показаниями.
2.8 Градуировка анализатора по ГСО-ПГС с известной объемной долей водорода либо по раствору с известным значением КРВ (по водороду)
-
2.8.1 Общие сведения
Градуировка анализатора по ГСО-ПГС с известной объемной долей во дорода либо по раствору с известным значением КРВ проводится:
-
- при получении нового датчика (после заливки электролита);
-
- после замены мембранного узла;
-
- после замены тефлоновой пленки;
-
- при появлении сомнений в показаниях анализатора;
-
- ежеквартально.
Для уменьшения погрешности измерения градуировку анализатора рекомендуется проводить по ГСО-ПГС либо по раствору с известным значением КРВ с содержанием водорода, близким к измеряемым значениям.
Для уменьшения дополнительной погрешности анализатора, обусловленной изменением температуры анализируемой среды, температура датчика при градуировке по водороду должна быть близка к температуре анализируемой среды.
Удобнее всего проводить градуировку по водороду при комнатной температуре по ГСО-ПГС с объемной долей водорода от 40 до 100 %.
Перевести переключатель «СЕТЬ» на передней панели блока преобразовательного во включенное положение.
Включить режим измерений того канала, к которому подключен датчик (например, к каналу А). Установить диапазон измерений КРВ равным 2000 мкг/дм3.
-
2.8.2 Проведение градуировки по ГСО-ПГС
Для проведения градуировки по ГСО-ПГС собрать установку в соответствии с рисунком 2.30.
В сосуд залить дистиллированную воду комнатной температуры.
Установить на датчик насадку из прозрачной трубки (например, поливинилхлоридной), выступающей от конца датчика на 30-35 мм. Внутренний диаметр трубки выбирается такой, чтобы посадка на корпус датчика была с натягом (наружный диаметр корпуса датчика 16 мм).
ВНИМАНИЕ: Насадка НЕ ДОЛЖНА ДЕФОРМИРОВАТЬ КОРПУС датчика и оставлять на датчике механические повреждения!
В сосуде установить:
-
- датчик с насадкой под углом 60-70° к горизонтальной поверхности;
-
- изогнутую капиллярную трубку, соединенную с выходом баллона с ПГС;
-
- выдержать датчик с насадкой в сосуде с водой не менее 30 мин;
-
- с помощью капиллярной трубки подвести к мембране датчика ПГС от баллона. Установить ротаметром такую скорость подачи ПГС, чтобы каждые 3-5 с обновлялся воздушный пузырь. Дождаться установившихся показаний;
-
- перейти кп. 2.8.4.
\
Капиллярная Ротаметр трубка
Насадка на датчик
Кабель
соединительный
Датчик водородный
ДВ-509

Баллон с ПГС
Сосуд с дистиллированной водой
Рисунок 2.30 — Градуировка анализатора по ГСО-ПГС
-
2.8.3 Градуировка анализатора по раствору с известным значением КРВ
Для градуировки анализатора по раствору с известным значением КРВ требуется наличие, например, эталонного анализатора растворенного водорода. В этом случае следует провести одновременное измерение КРВ одного и того же раствора эталонным анализатором и анализатором МАРК-509. Дождаться установившихся показаний обоих анализаторов и провести градуировку анализатора МАРК-509. Перейти к п. 2.8.4.
-
2.8.4 Порядок операций градуировки по водороду
Для градуировки по водороду следует:
1 Кнопкой » перейти в МЕНЮ [А] или МЕНЮ [В].
2 Установить маркер на строку
ГРАДУИРОВКА и
МЕНЮ
«-^од»> анализат°Р
нажать
перейдет
кнопку
в меню
ГРАДУИРОВКА. Появится экран в соответствии с рисунком 2.31.
Рисунок 2.31
3 Установить курсор на строку «ВОДОРОД мкг/дм » (при градуировке по раствору с известным значением КРВ) либо на строку «ВОДОРОД % об.» (при градуировке по ГСО-ПГС) и нажать кнопку « ддод >>• Появится экран в соответствии с рисунком 2.32 либо 2.33.
|д| ГРАДУИРОВКА
206.6
101.3 кПа
мкг/дм3
25.0 °C
► ПРОДОЛЖИТЬ
Рисунок 2.32
Рисунок 2.33
4 Нажать кнопку «^|^». Появится экран в соответствии с рисунком 2.34 либо 2.35.
|д| ГРАДУИРОВКА
\ I /
"206.6 мкг/дм3
101.3 кШ' 25.0’С
► ВВЕДИТЕ ЗНАЧЕНИЕ
► ВВЕДИТЕ ЗНАЧЕНИЕ
Рисунок 2.34
Рисунок 2.35
-
5 Ввести поразрядно значение КРВ:
-
- при градуировке по раствору с известным содержанием КРВ ввести это значение (например, показания эталонного анализатора);
-
- при градуировке по ГСО-ПГС ввести значение концентрации водорода в ПГС в % об.;
-
6 После установки всех цифр нажать кнопку « »■ Появится экран в
соответствии с рисунком 2.36 либо 2.37 с индикацией КРВ в мкг/дм3 либо в % об.
7 Нажать кнопку « ». Анали-
J ввод
затор выйдет из режима градуировки по водороду и перейдет в режим просмотра параметров датчика. Экран индикатора примет вид в соответствии с рисунком 2.38.
ДАТЧИК
ТОК ГРАД.:
4.7
СМЕЩЕНИЕ: 2.9
мкА
мкг/дм3
, ГРАДУИРОВКА 0 |
г-. ГРАДУИРОВКА 0 | |
203-5 мкг/дм3 |
13.00 %об | |
101.3 кПа 22.3 °C |
101.3 кПа 22.3 °C | |
► ВЫХОД |
► ВЫХОД |
Рисунок 2.36
Рисунок 2.37
► ВЫХОД
Рисунок 2.38
Нажать кнопку «
МЕНЮ ВВОД
» еще раз,
экран индикатора примет вид в соответствии с рисунком 2.39.
ЗАПОМНИТЬ ?
ДА
► НЕТ
Рисунок 2,39
-
9 Установить маркер на строку ДА и нажать кнопку « ввод ».Появится экран в соответствии с рисунком 2.29.
-
10 Ввести дату проведения градуировки, установить маркер на строку
ВЫХОД и нажать кнопку анализатор перейдет в режим измерений.
ВВОД
И Если установить маркер на строку НЕТ и нажать кнопку « в|од анализатор перейдет в режим измерения со старыми градуировочными коэффициентами.
В случае появления экранов предупреждений обратиться к п. 2.12 либо МЕНЮ - ~
нажать кнопку « ВВОд » и анализатор перейдет в режим измерении со старыми градуировочными коэффициентами.
-
2.8.5 Контроль параметров анализатора
Перед проведением измерений следует проконтролировать установленные параметры и скорректировать их в случае необходимости:
а) для каждого меню канала МЕНЮ [А] и МЕНЮ [В] в соответствии с п. 2.6.3:
~ диапазон токового выхода;
-
- диапазон измерений (НАСТРОЙКА); ■
-
- уставки (НАСТРОЙКА);
-
- значение длины кабельной вставки ВК409/509 (УДЛИН. КАБЕЛЯ), если она входит в комплект поставки и подключена к датчику;
б) для общего меню каналов МЕНЮ [А] [В] в соответствии с п. 2.6.4:
-
- ПАРОЛЬ;
-
- СЕТЕВОЙ АДРЕС (при работе в сети);
-
- ЗВУК.
Далее перейти к п. 2.9.
2.9 Проведение измерений
-
2.9.1 Проведение измерений в лабораторных условиях
Обеспечить движение анализируемой среды относительно мембраны датчика со скоростью не менее 5 см/с. Для этого рекомендуется использовать магнитную мешалку.
Снять установившиеся показания анализатора.
-
2.9.2 Проведение измерений с использованием модуля стабилизации водного потока МС-402М (МС-402/1М) или кюветы проточной
Проверить все соединения. Должна быть обеспечена полная герметичность пробоотборной линии, исключающая проникание постороннего воздуха.
Подать анализируемую среду. Проконтролировать, чтобы в потоке среды и на мембране датчика отсутствовали пузырьки воздуха.
Застой пузырьков воздуха в изгибах трубок, на мембране датчика либо в колене водоподводящей магистрали может существенно исказить результаты измерений. Одним из признаков наличия воздушных пузырьков является то, что показания анализатора не устанавливаются и медленно и непрерывно падают. Подобное падение показаний анализатора может продолжаться в течение 1-2 ч.
Если используется кювета проточная, для сброса пузырьков с мембраны необходимо осторожно встряхнуть кювету с датчиком.
Для устранения пузырьков в магистрали пробоотборника рекомендуется на 10-20 с резко увеличить поток, затем вернуться к нормальному потоку.
ВНИМАНИЕ: На время увеличения потока необходимо вынуть датчик из кюветы проточной, предварительно отсоединив от кюветы сливную трубку и ослабив гайку кюветы!
Большая скорость потока анализируемой среды может вызвать нестабильность показаний анализатора. При очень больших потоках возможно механическое повреждение мембраны датчика.
При непрерывных измерениях необходимо исключать возможность перегрева датчика (выше 50 °C).
Снять установившиеся показания анализатора.
-
2.9.3 Проведение измерений с использованием гидропанелей ГП-409 и ГП-409С
Подать анализируемую среду.
Проверить все соединения. Должна быть обеспечена полная герметичность пробоотборной линии.
Установить необходимый поток анализируемой среды через гидропанель. •
Снять установившиеся показания анализатора.
-
2.9.4 Завершение работы с анализатором
-
2.9.4.1 При кратковременном перерыве в работе следует перевести переключатель «СЕТЬ» в выключенное положение и отключить анализатор от сети переменного тока (при необходимости).
Примечание-В кювете проточной можно транспортировать и хранить датчик в перерыве между измерениями. Для этого, не сливая из кюветы воду, соединить входной и выходной штуцера кюветы трубкой ПВХ СТ-18 или замкнуть между собой трубки с помощью переходника 8/9-10/11/12.
-
2.9.4.2 При длительном перерыве в работе следует:
-
- перекрыть подачу анализируемой среды;
-
- отключить анализатор от сети переменного тока;
-
- отсоединить датчик водородный от блока преобразовательного;
-
- отвернуть на один оборот гайку накидную;
-
- удалить электролит из датчика водородного с помощью шприца;
-
- поместить датчик в сосуд с глицерином дистиллированным ГОСТ 6824-96, высота глицерина в сосуде должна быть 50-60 мм.
2.10 Экраны предупреждений

ДИАП
1000 мкг дм*
Экран предупреждения в соответствии с рисунком 2.41 появится при превышении измеренным значением температуры анализируемой среды значения 70 °C.
КРВ
/
Рисунок 2.41
Экран предупреждения в соответствии с рисунком 2.42 появится при превышении по каналу А измеренным значением КРВ верхнего предела программируемого диапазона измерений по токовому выходу и при превышении по каналу В измеренным значением температуры 70 °C.
/
900 |
мкг | |
-КРВ — |
909 |
дм |
/1 х |
22.5 °C | |
ДИАП |
2000 |
мг |
КРВ |
1.531 |
ДМ \ I 73.1 ОС, |
/
--------^-^4
Рисунок 2.42
Экран предупреждения в соответствии с рисунком 2.43 появится, если изме-реннное значение КРВ выходит за нижнюю уставку.
Рисунок 2.43
Экран предупреждения в соответствии с рисунком 2.44 появится, если изме-реннное значение КРВ выходит за верхнюю уставку.
g ДИАП 1000 мкг
909
22.5 °C
Рисунок 2.44
Экран предупреждения в соответствии с рисунком 2.45 появится, если измеренное значение КРВ по каналу А выходит за нижнюю уставку, по каналу В - за верхнюю уставку.
1000 |
мкг |
409 |
ДМ9" |
22.5 °C | |
2000 |
мкг |
1231 |
дм9" |
23.1 °C |
Рисунок 2.45
Экран предупреждения в соответствии с рисунком 2.46 появится, если напряжение встроенного элемента питания CR2032, установленного на плате внутри блока преобразовательного, менее 2,2 В. Следует заменить элемент.
й-ИИАП
ТА
КРВ
Рисунок 2.46
Примечание - Численные значения КРВ и температуры на экранах предупреждений анализатора могут быть другими.
2.11 Экраны неисправностей
При появлении экранов в соответствии с рисунками 2.47-2.51 следует обратиться к п. 2.12.
ВНИМАНИЕ!
ДАТЧИК НЕ
ПОДКЛЮЧЕН !
Рисунок 2.47

32.5 °C
ВНИМАНИЕ!
ПЛАТА УСИЛИТЕЛЯ
НЕ ОТВЕЧАЕТ !! !
Рисунок 2.48
§ ВНИМАНИЕ!
ТОК ДАТЧИКА
< 1 мкА
ПРОВЕРЬТЕ ДАТЧИК!
Рисунок 2,49 Рисунок 2.50
ВНИМАНИЕ!
ТОК ДАТЧИКА
> 10 мкА
ПРОВЕРЬТЕ ДАТЧИК!
Рисунок 2.51
2.12 Возможные неисправности и методы их устранения
-
2.12.1 Характерные неисправности анализатора и методы их устранения приведены в таблице 2.3.
Таблица 2.3
Неисправность |
Вероятная причина |
Методы устранения |
1 Анализатор не включается |
Вышли из строя сетевые предохранители |
Раздел 4. Ремонт в заводских условиях |
Продолжение таблицы 2.3
Неисправность |
Вероятная причина |
Методы устранения |
2 Показания на воздухе выходят за пределы ± 3 мкг/дм3. |
Разрыв, проколы мембраны |
п. 3.3.3.3 Заменить мембранный узел |
Повреждение диафрагмы датчика |
п. 3.3.3.2 Заменить диафрагму | |
Разрыв тефлоновой пленки |
п. 3.3.3.4 Заменить тефлоновую пленку | |
3 Резкое изменение и повышенная нестабильность показаний анализатора при проведении измерений |
Велика скорость потока воды через кювету проточную. |
Установить скорость потока воды через кювету проточную от 0,07 до 0,60 дм3/мин. |
Поток воды нестабилен |
Установить стабильный поток | |
4 Слишком длительное время реагирования на изменение концентрации водорода |
Долгое время прибор стоял с разряженным встроенным элементом питания CR2032 |
п. 3.3.4.2 Заменить встроенный элемент питания |
Загрязнена мембрана |
п. 3.3.1.2 Очистить мембрану | |
Вытянулась мембрана |
п. 3.3.3.3 Заменить мембранный узел | |
Переполнение датчика электролитом (выпячивание диафрагмы) |
Слить излишек электролита | |
5 В калибраторе К-501 не образуется пузырь водорода (во время проведения проверки) |
Износ уплотнительного кольца |
п. 3.3.4.1 Заменить уплотнительное кольцо |
-
2.12.2 Неисправности, выводимые на экран индикатора анализатора, и методы их устранения приведены в таблице 2.4.
Таблица 2.4
Неисправность |
Вероятная причина |
Методы устранения |
1 «ВНИМАНИЕ! ДАТЧИК НЕ ПОДКЛЮЧЕН!» |
Датчик не подключен к каналу А (В) |
Подключить кабель к разъему «ДАТЧИК А» или «ДАТЧИК В» блока преобразова тельного |
Неисправность кабеля |
Раздел 4. Ремонт в заводских условиях | |
2 «ВНИМАНИЕ! ПЛАТА УСИЛИТЕЛЯ НЕ ОТВЕЧАЕТ!» |
Неисправность платы усилителя и (или) платы индикации |
Раздел 4. Ремонт в заводских условиях |
3 «ТОК ДАТЧИКА > 10 мкА» |
Разрыв тефлоновой пленки |
п. 3.3.3.4 Заменить тефлоновую пленку |
4 «ТОК ДАТЧИКА < 1 мкА» |
Датчик находится не в среде водорода |
Поместить датчик в водородную среду |
Вытек электролит |
п. 3.3.3.1 Залить (добавить) электролит | |
Загрязнена мембрана |
п. 3.3.1.3 Очистить мембрану | |
Высохла мембрана |
Выдержать датчик в дистиллированной воде в течение 1-2 суток | |
5 Мигающая буква «П» |
Сбой в памяти датчика |
Проверить контакт в разъеме. Отключить и снова включить анализатор. |
6 Мигающий знак « "4" » |
Напряжение встроенного элемента питания CR2032, установленного на плате внутри блока преобразовательного, менее 2,2 В |
п. 3.3.4.2 Заменить встроенный элемент питания |
Примечание — Вышедшие из строя изделия с ограниченным ресурсом (мембранный узел, диафрагма, тефлоновая пленка и т.д) подлежат замене из комплектов запасных частей датчика.
При выявлении неуказанных неисправностей или невозможности устранения неисправности своими силами следует обратиться в ООО «ВЗОР».
ВНИМАНИЕ: Замена встроенного элемента питания CR2032 в период гарантийного срока производится в заводских условиях!
-
2.12,3 Установка начальных параметров датчика
-
2.12.3.1 Режим установки начальных параметров датчика
Для перехода в режим установки начальных параметров датчика нужно:
-
- включить экран измерений нужного канала;
-
- отключить питание анализатора;
-
- нажать кнопку «ф» и, удерживая ее, включить питание анализатора.
Появится экран в соответствии с рисунком 2.52.
|д| УСТАНОВКА
НАМ. ПАРАМЕТРОВ ДАТЧИКА ТОК ГРАД. СМЕЩЕНИЕ ПРОГРАММИРОВАНИЕ ДАТЧИКА
► ВЫХОД
Если маркер «►» установлен на строке ВЫХОД, то при нажатии кнопки МЕНЮ -
« ВВОД » анализат0Р перейдет в режим измерения.
Рисунок 2.52
В анализаторе предусмотрены:
-
- установка крутизны, соответствующей начальным параметрам датчика (ТОК ГРАД.);
-
- установка нулевого смещения (СМЕЩЕНИЕ).
Эти операции позволяют начинать градуировку всегда из начальных условий. Использовать их рекомендуется при возникновении сомнений в правильности исполнения анализатором режимов градуировки;
- установка всех начальных параметров датчика, в том числе параметров термоканала (ПРОГРАММИРОВАНИЕ ДАТЧИКА).
Эта операция является служебной при работе с анализатором не используется!
-
2.12.3.2 Установка начальной крутизны
Установить маркер «►» на строку «ТОК ГРАД.» и нажать кнопку « в1од~>Х Появится экран в соответствии с рисунком 2.53.
1д| УСТАНОВКА
ТОК ГРАД. 4.00 мкА
ТОК ГРАД.: Х.ХХ мкА
ВЫПОЛНИТЬ
► ВЫХОД
Рисунок 2.53
Установить маркер «►» на строку ВЫПОЛНИТЬ и нажать кнопку «МЕНЮ». Появится экран в соответствии с ввод
IT1 УСТАНОВКА
ТОК ГРАД. 4.00 мкА
ТОК ГРАД.: 4.00 мкА
ВЫПОЛНИТЬ ► ВЫХОД
рисунком 2.54.
Рисунок 2.54
Нажать кнопку « »• Появится экран в соответствии с рисунком 2.52.
Средняя крутизна, соответствующая току датчика 4 мкА, установлена.
-
2.12.3.3 Установка нулевого смещения
Установить маркер «►» на строку СМЕЩЕНИЕ и нажать кнопку ввод
Появится экран в соответствии с рисунком 2.55.
ГТ] УСТАНОВКА
СМЕЩЕНИЯ 0.0 мкА
СМЕЩЕНИЕ : Х.Х мкА
ВЫПОЛНИТЬ ► ВЫХОД
Рисунок 2.55
Установить маркер «►» на строку ВЫПОЛНИТЬ и нажать кнопку ^ввод >>‘ И°явится экРан в соответствии с рисунком 2.56.
IT] УСТАНОВКА
СМЕЩЕНИЯ 0.0 мкА
СМЕЩЕНИЕ : 0.0 мкА
ВЫПОЛНИТЬ ► ВЫХОД
Рисунок 2.56
Нажать кнопку « ». Появится экран в соответствии с рисунком 2.52.
ВВОД
Нулевое смещение установлено.
3 ТЕХНИЧЕСКОЕ ОБСЛУЖИВАНИЕ
-
3.1 Общие указания
-
3.1.1 Все виды технического обслуживания (далее ТО) выполняются квалифицированным оперативным персоналом имеющим допуск к работе с электроустройствами до 1000 В, изучивший настоящее руководство по эксплуатации и меры безопасности при работе с:
-
-
- химическими реактивами;
-
- сосудами под давлением.
-
3.1.2 Техническое обслуживание анализатора проводится в процессе работы и во время перерывов между сменами.
-
3.1.3 Техническое обслуживание для анализатора, находящегося в эксплуатации, включает в себя операции нерегламентированного и регламентированного обслуживания.
-
3.1.4 В состав нерегламентированного ТО входят:
-
- эксплуатационный уход;
-
- содержание анализатора в исправном состоянии (таблицы 2.3,2.4);
-
- своевременная замена изношенных узлов и деталей.
Все обнаруженные при нерегламентированном ТО неисправности в работе анализатора должны быть устранены силами оперативного персонала.
3.1.5 Регламентированное ТО реализуется в форме плановых ТО, объем и периодичность которых приведены в таблице 3.1.
Таблица 3,1
№ пп. РЭ |
Наименование работы |
Периодичность технического обслуживания | ||
еженедельно |
один раз в 3 мес. |
ежегодно | ||
3.3.1 |
Чистка составных частей анализатора |
$ |
+ |
• + |
2.8 |
Градуировка анализатора |
* |
+ |
+ |
3.3.2 |
Проверка анализатора с использованием калибратора К-501 |
* |
* |
* |
Замена расходных материалов: | ||||
3.3.3.1 |
-замена (доливка) электролита; |
* |
+ |
+ |
3.3.3.2 |
-замена диафрагмы; |
* |
* |
* |
З.З.З.З |
- замена мембранного узла; |
* |
* |
* |
3.3.3.4 |
-замена тефлоновой пленки. |
* |
* |
* |
Продолжение таблицы 3.1
№ пп. РЭ |
Наименование работы |
Периодичность технического обслуживания | ||
еженедельно |
один раз в 3 мес. |
ежегодно | ||
Замена изделий с ограниченным ресурсом: | ||||
3.3.4.1 |
- замена уплотнительных и силиконовых колец; |
* |
* |
* |
3.3.4.2 |
- замена встроенного элемента питания. |
* |
* |
* |
Условные обозначения:
«+» - техническое обслуживание проводят;
«*» - техническое обслуживание проводят при необходимости,
Обнаруженные при плановом ТО дефекты узлов и деталей, которые при дальнейшей эксплуатации анализатора могут нарушить его работоспособность, должны быть устранены.
-
3.2 Меры безопасности
Перед техническим обслуживанием следует:
-
- перекрыть подачу анализируемой среды;
-
- выключить анализатор (перевести переключатель «СЕТЬ» в положение « О ») и отключить анализатор от сети переменного тока;
-
- извлечь датчик водородный ДВ-509 из кюветы проточной, гидропанели либо модуля стабилизации водного потока.
-
3.3 Порядок технического обслуживания
-
3.3.1 Чистка составных частей анализатора
-
ВНИМАНИЕ: НЕ ДОПУСКАТЬ попадания моющих средств и воды на разъемы составных частей анализатора!
-
3.3.1.1 Чистку наружной поверхности блока преобразовательного и датчика, в случае загрязнения производить с использованием мягких моющих средств с последующей промывкой дистиллированной водой.
Примечание-В качестве мягкого моющего средства можно использовать мыльный раствор: 40-50 г стружки мыла по ГОСТ 28546-2002 растворить в 300-400 см3 горячей воды.
-
3.3.1.2 Для очистки мембраны датчика ее можно протереть мягкой тканью, смоченной в спирте. Можно также погрузить датчик мембраной в слабый раствор (2 %) серной кислоты на время около 1 ч, после чего промыть его в проточной воде.
-
3.3,2 Проверка анализатора с использованием калибратора
-
1 ВНИМАНИЕ: Конструкция калибратора содержит стекло. Его необходимо ОБЕРЕГАТЬ ОТ УДАРОВ!
-
2 ВНИМАНИЕ: Не прилагать чрезмерных усилий при закручивании гайки калибратора во избежание выхода из строя датчика!
Для оперативной проверки анализатора можно использовать калибратор К-501, поставляемый по отдельной заявке.
Правила эксплуатации калибратора К-501 - в соответствии с этикеткой ВР14.03.000ЭТ.
Для проведения проверки следует:
-
- ослабить гайку;
-
- установить датчик анализатора в калибратор до упора в соответствии с рисунком 3.1, не повредив уплотнительного кольца;
-
- завернуть гайку;
-
- калибратор установить в сосуд вместимостью от 0,5 до 1 дм3;
-
- заполнить сосуд с калибратором раствором щелочи NaOH концентрации 4 г/дм3 до уровня, указанного на рисунке 3.1;
-
- соединить калибратор с батарейным отсеком (после чего должно наблюдаться выделение газа);
-
- через 1 ч визуально проконтролировать наличие пузыря водорода в нижней полости калибратора;
-
- отключить калибратор от батарейного отсека;
-
- в соответствии с п. 2.8.4 перейти в режим градуировки анализатора по водороду и проверить значение объемной доли водорода на экране индикатора анализатора (рисунок 2.31).
Датчик водородный ДВ-509
Гайка калибратора -Калибратор
Уровень заполнения раствором щелочи NaOH (от 40 до 50 мм)
Нижняя полость Кольцо
калибратора уплотнительное
Сосуд вместимостью от 0,5 до 1,0 дм3
Рисунок 3.1 -Проверка анализатора с калибратором К-501 (вид с разрезом)
Если в результате проверки анализатора значение объемной доли водорода на экране индикатора анализатора выходит за пределы (90 ± 5) % следует провести градуировку анализатора по ГСО-ПГС или по раствору с известным значением КРВ.
-
3.3.3 Замена расходных материалов
3.3.3.1 Замена электролита
Замена электролита требуется при его загрязнении при нарушении герметичности мембраны или диафрагмы. Соответствующим признаком является нестабильность показаний анализатора, большая величина показаний при помещении датчика на воздух.
Для замены следует:
- отвернуть защитный колпак в соответствии с рисунком 3.2;


Рисунок 3.2 - Замена электролита
-
- сдвинуть силиконовое кольцо, освободив два заливочных отверстия;
-
- повернуть датчик мембранным узлом вверх;
-
- шприцом откачать старый электролит через одно из заливочных отверстий;
-
- залить новый электролит, как описано в п. 2.3.4.2.
-
3.3.3.2 Замена диафрагмы
Нарушение герметичности диафрагмы может привести к вытеканию либо загрязнению электролита.
Отвернуть защитный колпак в соответствии с рисунком 3.2 и осмотреть диафрагму (рисунок 3.3).

Корпус Бандаж из лески
основной
Рисунок 3.3 -Диафрагма (колпак защитный условно не показан)
При наличии на ней видимых механических повреждений (трещины, отверстия) ее необходимо заменить на новую из комплекта ЗИП.
Крепление диафрагмы при замене ее производится с помощью бандажа из лески.
Для этого следует в соответствии с рисунком 3.4:
-
- снять поврежденную диафрагму;
-
- надеть новую из комплекта ЗИП и аккуратно расправить, чтобы она легла на силиконовые кольца-уплотнители;
Кольцо
Диафрагма Леска
Рисунок 3.4- Замена диафрагмы
-
- сложить конец лески вдвое и положить вдоль диафрагмы в соответствии с рисунком 3 Аа;
-
- намотать 5-6 витков поверх петли в месте расположения силиконового кольца, затем конец лески продеть в петлю диафрагмы;
-
- потянув за концы лески, сдвинуть получившийся узел под витки лески диафрагмы в соответствии с рисунком 3.46;
-
- обрезать излишки лески диафрагмы;
-
- аналогичным образом закрепить диафрагму в месте расположения второго силиконового кольца.
После замены диафрагмы навернуть защитный колпак.
-
3.3.3.3 Замена мембранного узла
Замена мембранного узла потребуется при его механическом повреждении (трещинах, вытягивании). Признаками этого являются нестабильность показаний анализатора, большие показания на воздухе, большое время реагирования при измерении концентрации водорода.
Для замены мембранного узла следует (рисунок 3.5):
- повернуть датчик мембранным узлом вверх для того, чтобы исключить выливание электролита при его разборке;
-
- отвернуть гайку накидную;
-
- вынуть из гайки накидной старый мембранный узел в сборе (втулка-корона с резиновым кольцом и мембраной);
-
- установить в накидную гайку новый мембранный узел из комплекта ЗИП, смочить изнутри мембрану и резиновое кольцо электролитом, навернуть гайку на корпус датчика до упора;
-
- залить электролит при необходимости в соответствии с п. 2.3.4.2.
Датчик водородный
Мембранный узел в сборе
Гайка накидная
Рисунок 3.5 - Замена мембранного узла
После замены мембранного узла погрузить датчик в дистиллированную воду на время не менее 8 ч, после чего выполнить операции, указанные в пп. 2.3.5, 2.8.
-
3.3.3.4 Замена тефлоновой пленки
Замена тефлоновой пленки требуется при обнаружении на ней видимых дефектов (разрывов, отверстий), либо в том случае, когда замена мембранного узла или диафрагмы не привела к нормальной работе датчика.
Для замены тефлоновой пленки следует (рисунок 3.6):
-
- отвернуть защитный колпак;
-
- вывернуть гайку с лысками;
-
- осторожно вынуть пинцетом резиновое кольцо;
-
- осторожно извлечь внутренний корпус датчика водородного;
-
- слить электролит из основного корпуса датчика водородного.
Снять старую тефлоновую пленку. Осмотреть электроды датчика. Платиновый анод, впаянный в стеклянную трубку, должен быть темного (черного) цвета. Серебряный катод, намотанный поверх трубки, должен быть серого цвета.
Взять новую тефлоновую пленку из комплекта ЗИП и наложить ее на плоскость анода, не сдвигая ее по поверхности электрода, так как специально нанесенное на анод покрытие черного цвета легко повредить.
ВНИМАНИЕ: При повреждении покрытия требуется ремонт в заводских условиях! ДАЛЬНЕЙШАЯ РАБОТА С АНАЛИЗАТОРОМ НЕВОЗМОЖНА!
Края пленки прижать к боковой поверхности стеклянной трубки, и, удерживая их рукой, намотать 5-6 витков капроновых ниток и завязать 2-3 узла. Пленка должна быть плотно прижата к аноду.
ВНИМАНИЕ: НАЛИЧИЕ РАЗРЫВОВ И ОТВЕРСТИЙ НА ТЕФЛОНОВОЙ ПЛЕНКЕ НЕДОПУСТИМО!
Сборка датчика осуществляется следующим образом:
-
- вставить в основной корпус внутренний корпус;
-
- установить резиновое кольцо;
-
- завернуть гайку;
-
- залить электролит в соответствии с п. 2.3.4.2;
-
- навернуть защитный колпак.
После переборки необходимо выдержать датчик в воде при включенном анализаторе не менее 24 ч, после чего выполнить операции, указанные в пп. 2.3.5, 2.8.
Корпус внутренний
Кабель ~ соедините®®®
Колья0 Гайка с резинов°е каМЙ

Пленка тефлоновая
Колпак защитный
Корпус^ ОСНОВНОЙ.
Платиновый анод
Нитки капроновые
Серебряный катод
^лооо‘00'05яа

рисунок 3.6
Заменатеф^ой^
-
3.3.4 Замена изделий с ограниченным ресурсом
-
3.3.4.1 Замена уплотнительных и силиконовых колец
Типоразмер колец уплотнительных приведен в таблице 3.2.
Таблица 3.2
Составная часть анализатора |
Кольцо резиновое уплотнительное | ||
Наименование |
Обозначение |
типоразмер по ГОСТ 9833-73 |
количество, шт. |
Датчик водородный ДВ-509 |
ВР50.02.000 |
012-016-25 |
1 |
ВР50.02.000-01 | |||
Калибратор К-501 |
ВР14.03.000 |
018-022-25 |
1 |
Размер применяемых в конструкции датчика водородного ДВ-509 колец силиконовых приведен в таблице 3.3.
Таблица 3.3
Материал |
Размер |
Количество, шт. |
Трубка силиконовая |
0внугр.12х1,5; L = 6 мм |
3 |
Замену уплотнительных и силиконовых колец производить в случае их повреждения.
-
3.3.4.2 Замена встроенного элемента питания
-
1 ВНИМАНИЕ: Замена встроенного элемента питания CR2032 в период гарантийного срока производится в заводских условиях!
-
2 ВНИМАНИЕ: Для замены следует использовать элемент питания аналогичного типа!
При появлении в левом верхнем углу экрана знака «"р» следует произвести замену встроенного элемента питания CR2032, расположенного на плате усилителя внутри блока преобразовательного в правом нижнем углу.
Для этого следует:
-
- снять переднюю крышку корпуса блока преобразовательного, отвернув шесть винтов крепления;
-
- извлечь элемент питания из держателя;
-
- заменить элемент питания новым, соблюдая полярность.
-
4 ТЕКУЩИЙ РЕМОНТ
4.1 Общие сведения
Текущий ремонт, а также гарантийный ремонт, осуществляются в ООО «ВЗОР». "
Для этого следует подготовить анализатор, упаковать и отправить его предприятию-изготовителю для осуществления ремонта.
Примечание-В случае гарантийного ремонта с анализатором отправляется оригинал рекламации, в остальных случаях - заявка на проведение ремонта.
-
4.2 Подготовка блока преобразовательного
Для этого следует:
-
- отключить блок преобразовательный от сети переменного тока;
-
- отсоединить от разъемов блока преобразовательного:
-
• датчики водородные ДВ-509;
-
• регистрирующие и сигнализирующие устройства.
-
- отсоединить заземляющий проводник от клеммы заземления « (J) » блока преобразовательного;
-
- закрыть разъемы блока преобразовательного заглушками;
- очистить и высушить.
-
4.3 Подготовка датчика водородного ДВ-509
Для этого следует:
-
- отсоединить вставку кабельную ВК409/509 (при ее наличии) и закрыть ее разъемы заглушками;
-
- удалить электролит из датчика с помощью шприца;
-
- отвернуть на один оборот гайку накидную;
-
- отвернуть защитный колпак;
-
- вывернуть гайку с лысками;
-
- осторожно вынуть пинцетом резиновое кольцо;
-
- осторожно извлечь внутренний корпус датчика водородного;
-
- слить электролит из основного корпуса датчика водородного;
-
- промыть детали дистиллированной водой, затем ацетоном по ГОСТ 2603-79, после чего высушить и собрать датчик.
ВНИМАНИЕ: ТЕФЛОНОВУЮ ПЛЕНКУ НЕ СНИМАТЬ!
-
4.4 Упаковка анализатора
Для этого следует:
-
- уложить составные части анализатора в герметичные полиэтиленовые пакеты (допускается использовать пакет с замком типа «Молния»);
-
- уложить эксплуатационную документацию (руководство по эксплуатации ВР50.00.000РЭ и паспорт ВР50.00.000ПС) в отдельный герметичный полиэтиленовый пакет;
-
- поместить составные части анализатора с эксплуатационной документацией в картонную коробку;
-
- заклеить картонную коробку полимерной липкой лентой;
-
- нанести маркировку по ГОСТ 14192-96 и манипуляционные знаки «Хрупкое. Осторожно», «Беречь от влаги», «Верх», «Пределы температуры».
-
5 ТРАНСПОРТИРОВАНИЕ
Транспортирование анализаторов производить в упаковке предприятия-изготовителя в закрытом железнодорожном или автомобильном транспорте в условиях хранения 5 по ГОСТ 15150-69 при температурах от минус 30 до плюс 50 °C по правилам и нормам, действующим на каждом виде транспорта.
-
6 ХРАНЕНИЕ
Хранение анализаторов производится в упаковке предприятия-изготовителя в условиях хранения 1 по ГОСТ 15150-69.
В помещениях для хранения не должно быть пыли, паров кислот и щелочи, агрессивных газов и других вредных примесей, вызывающих коррозию.
Место хранения должно быть чистым, прохладным, сухим, вентилируемым и защищенным от атмосферных осадков.
ПРИЛОЖЕНИЕ A
(обязательное)

АНАЛИЗАТОР РАСТВОРЕННОГО ВОДОРОДА МАРК-509
Методика поверки
СОГЛАСОВАНО
Директор ООО «ВЗОР»

_ Е.В. Киселев
ООО « ВЗОР»
А. К. Родионов
г. Нижний Новгород 2017 г.
А. 1 Область применения
Настоящая методика распространяется на анализатор растворенного водорода МАРК-509 (далее анализатор) с маркировочной табличкой, содержащей регистрационный номер в Государственном реестре средств измерений и интервал между поверками.
Настоящая методика устанавливает методы и средства первичной и периодической поверок анализатора, предназначенного для измерений массовой концентрации растворенного в воде водорода (КРВ) и температуры водных сред.
Интервал между поверками - 2 года.
А.2 Используемые нормативные документы
ГОСТ 8.652-2016 ГСИ. Государственная поверочная схема для средств измерений массовой концентрации растворенных в воде газов (кислорода, водорода).
РМГ 51-2002 ГСИ. Документы на методики поверки средств измерений. Основные положения».
А.З Метрологические характеристики, проверяемые при поверке
Пределы допускаемой основной абсолютной погрешности анализатора при измерении КРВ при температуре анализируемой среды (20,0 ± 0,2) °C и температуре окружающего воздуха (20 ± 5) °C должны быть, мкг/дм3:
-
- по индикатору.....................................................± (3,0 + 0,04С);
-
- по токовому выходу............................± [(3,0 + 0,002Сй«й«) + 0,04С],
где С - измеренное значение КРВ.
Сдиап ~ значение верхнего предела запрограммированного диапазона измерений КРВ по токовому выходу, соответствующее 5 мА для выходного тока в диапазоне от 0 до 5 мА и 20 мА для выходного тока в диапазоне от 4 до 20 мА, мкг/дм3.
Пределы допускаемой основной абсолютной погрешности анализатора при измерении температуры анализируемой среды при температуре окружающего воздуха (20 ± 5) °C должны быть, °C..........................................+ 0,3.
А.4 Операции поверки
При проведении поверки должны выполняться операции, указанные в таблице А.4.1.
Таблица А,4,1
Наименование операции |
Номера пп. методики |
Необходимость проведения операции при | |
первичной поверке |
периодической поверке | ||
1 Внешний осмотр |
А.10.1 |
+ |
+ |
2 Опробование |
А.10.2 |
+ |
+ |
3 Проверка «нуля» анализатора |
А.10.3 |
+ |
+ |
4 Определение основной абсолютной погрешности анализатора при измерении КРВ по индикатору и по токовому выходу |
А.10.4 |
+ |
+ |
5 Определение основной абсолютной погрешности анализатора при измерении температуры анализируемой среды |
А.10.5 |
+ |
+ |
Примечания
-
1 Знак «+» означает, что операцию проводят.
-
2 При получении отрицательного результата любой из операций поверка прекращается, анализатор бракуется.
А.5 Средства поверки
Средства измерения, реактивы, материалы, применяемые при поверке, указаны в таблице А.5.1.
Таблица А. 5.1
Номер пункта методики поверки |
Наименование и тип основного или вспомогательного средства поверки; обозначение нормативного документа, регламентирующего технические требования и (или) метрологические и основные технические характеристики средства поверки |
А.8 |
Гигрометр психрометрический типа ВИТ-1 Диапазон измерения относительной влажности воздуха от 20 до 90 %. Абсолютная погрешность измерения ± 7 %. |
А.8, А.10.4 |
Барометр-анероид БАММ-1 Диапазон измеряемого давления от 80 до 106 кПа. Предел допускаемой основной абсолютной погрешности ± 0,2 кПа |
А.10.3, А.10.4 |
Мультиметр цифровой АРРА-305 Используемый предел измерения переменного напряжения 400 В; основная абсолютная погрешность измерения, В: ± (0,007Х + 0,05), где X - измеренное, значение переменного напряжения, В. Используемый предел измерения силы постоянного тока 40 мА; основная абсолютная погрешность измерения, мА: ±(0,002Х + 0,004), где X - измеренное значение силы постоянного тока, мА |
А.10.4 |
Водородно-азотная поверочная газовая смесь (ПГС) ГСО 10651-2015,1 разряда. Диапазон, объемная доля водорода:
|
А.10.4, А.10.5 |
Термометр лабораторный электронный ЛТ-300 Диапазон измерения от минус 50 до плюс 300 °C, погрешность измерения ± 0,05 °C |
А.10.3, А.10.4, А.10.5 |
Секундомер механический СОСпр-2б-2-ОЮ Емкость шкалы: 60 с; 60 мин. Класс точности - второй. |
А.10.4, А.10.5 |
Термостат жидкостный ТЖ-ТС-01/26 Диапазон регулирования температуры от 10 до 100 °C. Погрешность поддержания температуры не более ±0,1 °C. |
А.10.4 |
Ротаметр РМ-А-0,063 ГУЗ ГОСТ 13045-81 |
А.10.3 |
Стакан цилиндрический СЦ-1 ГОСТ 23932-90 |
А.10.3 А.10.4 А.10.5 |
Вода дистиллированная ГОСТ 6709-72 (удельная электрическая проводимость не более 5 мкСм/см) |
Примечания
-
1 Допускается применение других средств измерений, не приведенных в перечне, обеспечивающих определение метрологических характеристик с необходимой точностью.
-
2 Для измерений температуры допускается применение других средств измерений с погрешностью измерения не хуже ±0,1 °C.
Средства измерений должны быть поверены и иметь действующие свидетельства о поверке или знаки поверки.
Испытательное оборудование должно иметь отметки, подтверждающие его годность в соответствии с требованиями их технической документации.
А.6 Требования к квалификации поверителей
К проведению поверки анализаторов допускаются лица, аттестованные в качестве поверителей в области измерения физико-химического состава и свойств веществ, имеющие высшее или среднетехническое образование, опыт работы в химических лабораториях не менее года, владеющие техникой потенциометрических и амперометрических измерений и изучившие настоящую методику поверки.
А.7 Требования безопасности
ВНИМАНИЕ: ЗАПРЕЩАЕТСЯ работа с анализатором при снятых крышках корпуса блока преобразовательного!
А.7.1 При проведении поверки соблюдают правила техники безопасности:
-
- при работе с электроустановками - по ГОСТ 12.1.019-2009 и ГОСТ 12.2.007.0-75;
-
- при работе с химическими реактивами - по ГОСТ 12.1.007-76 и ГОСТ 12.4.021-75.
А.7.2 Должны соблюдаться правила работы с баллонами с ПГС под давлением.
А.7.3 Помещение, в котором осуществляется поверка, должно соответствовать требованиям пожарной безопасности по ГОСТ 12.1,004-91 и иметь средства пожаротушения по ГОСТ 12.4.009-83.
А.7.4 Исполнители должны быть проинструктированы о мерах безопасности, которые должны соблюдаться при работе с приборами, в соответствии с инструкциями, прилагаемыми к приборам. Обучение работающих лиц правилам безопасности труда проводят по ГОСТ 12.0.004-90.
А.8 Условия поверки
А.8.1 Поверка должна проводиться в следующих условиях:
-
- температура окружающего воздуха, °C................................(20 ± 5);
-
- относительная влажность воздуха, %, не более...........................80;
-
- атмосферное давление, кПа.................................от 84,0 до 106,7;
- питание - от сети переменного тока частотой (50,0 ± 1) Гц и напряжением (220 ± 4,4) В либо (36 ± 1) В.
А.8.2 Вибрация, тряска, удары, влияющие на работу анализатора, не допускаются.
А.9 Подготовка к поверке
А.9.1 Перед проведением поверки:
-
- подготавливают к работе анализатор в соответствии с п. 2.3 руководства по эксплуатации ВР50.00.000РЭ;
-
- проводят градуировку анализатора по ГСО-ПГС в соответствии с ■ п. 2.8 руководства по эксплуатации ВР50.00.000РЭ.
А.9.2 Верхний предел программируемого диапазона измерений устанавливают равным 2000 мкг/дм3, значение нижнего предела уставки - равным 0 мкг/дм3, значение верхнего предела уставки - равным 2000 мкг/дм3.
А.9.3 Средства измерений и испытательное оборудование подготавливают к работе в соответствии с их эксплуатационной документацией.
А.9.4 Поверочные газовые смеси, хранившиеся при температуре ниже плюс 15 °C, должны быть выдержаны перед использованием в течение 24 ч в помещении с температурой воздуха (20 ± 5) °C.
А. 10 Проведение поверки
А. 10.1 Внешний осмотр
При проведении внешнего осмотра анализатора проверяют:
-
- отсутствие механических повреждений датчика водородного ДВ-509, блока преобразовательного, разъемов, кнопок, соединительных кабелей;
-
- состояние лакокрасочных покрытий, четкость маркировки;
-
- правильность маркировки, в том числе регистрационный номер в Государственном реестре средств измерений и интервал между поверками.
Анализатор, имеющий дефекты, затрудняющие эксплуатацию, к дальнейшей поверке не допускают.
А. 10.2 Опробование
А. 10.2.1 Проверка функционирования анализатора в различных режимах работы
Датчик водородный ДВ-509 (в дальнейшем - датчик) размещают на воздухе и включают анализатор.
Проверяют работоспособность кнопок « », «КАНАЛ», «МЕНЮ ф»
' ' ВВОД
и «Ф».
Результат проверки считают удовлетворительным, если:
-
- подсвечивается клавиша «СЕТЬ»;
-
- кнопкой «;ф-» осуществляется включение и отключение подсветки экрана индикатора;
-
- при нажатии кнопки «КАНАЛ» изменяется режим индикации (индикация показаний КРВ и температуры первого, второго либо обоих каналов);
-
- при нажатии кнопки «МЕНЮ» анализатОр переходит из режима изме-
ВВОД
рений в режим контроля и изменения параметров (вход в меню);
-
- кнопками «'и'», «’О'» осуществляется перемещение по строкам меню.
Анализатор, имеющий дефекты, затрудняющие эксплуатацию, к дальнейшей поверке не допускают.
А. 10.2.2 Проверка соответствия программного обеспечения (ПО)
Переходят к пункту экранного меню МЕНЮ [А] [В] «ПО И КОНТР.СУММЫ» анализатора и проверяют соответствие ПО тому, которое было зафиксировано при испытаниях в целях утверждения типа анализатора.
Для этого фиксируют идентификационное обозначение ПО и цифровые идентификаторы ПО (контрольные суммы исполняемого кода), которые должны соответствовать таблице А. 10.1.
Таблица А, 10,1
Идентификационные данные (признаки) |
Значение |
Идентификационное наименование ПО: | |
- для платы индикации |
5091.430.01.05 |
- для платы усилителя |
509U.430.01.09 |
Номер версии (идентификационный номер) ПО: - для платы индикации |
...............................................61.05.............................................. |
- для платы усилителя |
01.09 |
Цифровой идентификатор ПО: | |
- для платы индикации |
0xD45C9710 |
- для платы усилителя . |
0x03F3016B |
Результаты проверки считают удовлетворительными, если приведенные идентификационное обозначение, идентификатор метрологически значимой части ПО, идентификаторы ПО (контрольные суммы исполняемого кода в шестнадцатеричной системе) соответствуют установленным по индикатору анализатора требованиям.
А. 10.3 Проверка «нуля» анализатора
А. 10.3.1 Подготовка к измерениям
Для проверки «нуля» анализатора используют среду с нулевым содержанием водорода (атмосферный воздух).
Помещают датчик в сосуд с дистиллированной водой.
Подсоединяют мультиметр АРРА-305, включенный в режим измерения тока, к разъему «ТОКОВЫЙ ВЫХОД, СИГНАЛИЗАЦИЯ, RS-485» блока преобразовательного в соответствии с рисунком А. 10.1.

Мультиметр •^АРРА-305
Розетка РС19ТВ
(вид со стороны пайки контактов)
Канал А | |
5(+) |
б(-) |
Канал В | |
9(+) |
б(-) |
q12o11o10o9 о о
mA сот

Розетка
РС19ТВ
К разъему «ТОКОВЫЙ ВЫХОД, СИГНАЛИЗАЦИЯ, RS-485» блока преобразовательного

3 о2
о 7 о 6 о 5 о 4
□16 о15о14о13
19 о18 о17
Рисунок А. 10.1
А. 10.3.2 Выполнение измерений
Включают анализатор.
Извлекают датчик водородный из сосуда с дистиллированной водой и помещают датчик на воздухе под углом 15-30° к горизонтали в соответствии с рисунком А. 10.2, одновременно включают секундомер.
Розетка
PCI ОТВ'

Рисунок А. 10,2
К разъему «ДАТЧИК А» или «ДАТЧИК В» блока преобразовательного
Фиксируют показания анализатора Снуль, мкг/дм3, через 40 мин.
С помощью мультиметра АРРА-305 одновременно фиксируют выходные токи блока преобразовательного /gb^° и 1вых’ мА, в диапазонах от 4 до 20 мА и от 0 до 5 мА соответственно.
А. 10.3.3 Обработка результатов
Рассчитывают значения КРВ при нахождении датчика в среде с нулевым содержанием водорода Снуль 4_2о и Снуль 0-5, мкг/дм3, для измеренных значений ^вых0 и 1вйх’ мА,по формулам:
- для выходного тока в диапазоне от 4 до 20 мА



(АД)
- для выходного тока в диапазоне от 0 до 5 мА

(А.2)
где Сдиап — значение верхнего предела запрограммированного диапазона измерений КРВ по токовому выходу, мкг/дм3.
Результат проверки считают удовлетворительным, если выполняются условия:
- 3,0<С„яь <3,0;
- (3,0 + 0,002Сдкя„) <С^ь4-2о,о-5 <3,0 + 0,002C^.
Проводят аналогичные измерения для второго канала, если в комплект анализатора входят два датчика.
А. 10.4 Определение основной абсолютной погрешности анализатора при измерении КРВ по индикатору и по токовому выходу
В соответствии с ГОСТ 22729-84 основную абсолютную погрешность анализатора при измерении КРВ определяют в трех точках диапазона измерений, расположенных на начальном (0-20 % от диапазона), среднем (45-55 % от диапазона) и конечном (80-100 % от диапазона) участках диапазона измерений.
Для проверки используют дистиллированную воду с удельной электрической проводимостью не более 5 мкСм/см, а также поверочные газовые смеси (ПГС).
Объемные доли водорода в ПГС и в воздухе, массовые концентрации растворенного водорода в мг/дм3, создаваемые этими ПГС, приведены в таблице А.10.1.
Таблица А.10.1 | |||
№ точки |
Параметры водородно-азотной ПГС |
Массовая концентрация водорода при t = 20°С, мг/дм3 |
Участок диапазона измерений |
1 |
ПГС№ 1 с объемной долей водорода от 10,0 до 19,0 % |
160-304 |
начальный |
2 |
ПГС №2 с объемной долей водорода от 58,0 до 69,0 % |
927-1103 |
средний |
3 |
ПГС№3 с объемной долей водорода от 97,0 до 99,0 % |
1551-1583 |
конечный |
А. 10.4.1 Определение основной абсолютной погрешности анализатора в точке № 3
А. 10,4.1.1 Подготовка к измерениям
Для проверки погрешности в указанной точке используют ПГС № 3 в соответствии с таблицей А. 10.1.
Собирают установку в соответствии с рисунком А. 10.3.
р К разъему «ДАТЧИК А»
ргили «ДАТЧИК В» rUlUlD Ч-1 _ -
блока преобразовательного
Термометр лабораторный электронный ЛТ-300
Капиллярная Ротаметр


1
Рисунок А. 10.3
Подсоединяют мультиметр АРРА-305, включенный в режим измерения тока, к разъему «ТОКОВЫЙ ВЫХОД, СИГНАЛИЗАЦИЯ, RS-485» блока преобразовательного в соответствии с рисунком А. 10.1.
Заливают в термостат дистиллированную воду.
В термостате устанавливают:
-
- датчик водородный под углом 60-70° к горизонтальной поверхности;
-
- термометр лабораторный электронный ЛТ-300;
-
- изогнутую капиллярную трубку, соединенную с выходом баллона с
пгс.
Включают термостат.
С помощью термостата доводят температуру воды в сосуде до значения (20,0 ± 0,2) °C и поддерживают ее с отклонением от установившегося значения ± 0,2 °C.
Опускают конец капиллярной трубки в термостат.
С помощью капиллярной трубки подводят к мембране датчика ПГС. Ротаметром устанавливают небольшую скорость подачи ПГС, таким образом, чтобы воздушный пузырь внутри насадки обновлялся не чаще, чем каждые 3-5 с.
А. 10.4.1.2 Выполнение измерений
Фиксируют атмосферное давление Ратм, кПа (мм рт. ст.), по барометру.
Убирают капиллярную трубку от мембраны датчика на 2-3 мин, затем снова подводят ПГС к мембране.
Фиксируют установившиеся показания анализатора по КРВ С, мкг/дм3, (ориентировочно через 10-15 мин).
С помощью мультиметра АРРА-305 одновременно фиксируют выходные токи блока преобразовательного 1д~™ и 1^, мА, в диапазонах от 4 до 20 мА и от 0 до 5 мА соответственно.
Проводят аналогичные измерения для второго канала, если в комплект анализатора входят два датчика.
А. 10.4.1.3 Обработка результатов
Рассчитывают для всех значений С, мкг/дм3, основную абсолютную погрешность измерений КРВ по индикатору АС, мкг/дм3, по формуле
ДС = С_ .Ск (20), (А.З)
Р 100 2
норм
где РНОрм ~ нормальное атмосферное давление, равное 101,325 кПа (760 мм рт. ст.);
Ратм - атмосферное давление, кПа (мм рт. ст.); ^пгс ~ объемная доля водорода в ПГС, %;
Сн2 (20) - растворимость водорода в воде при температуре 20 °C, взятая из таблицы Б.1 и равная 1599 мкг/дм3.
Примечание - При расчете значения АС значения Рапш и Рнорм должны быть выражены в одинаковых единицах измерения.
Рассчитывают значения при измерении КРВ по токовому выходу при нахождении датчика в среде ПГС С4.20 и Со.5, мкг/дм3, для измеренных значений -СТ и -О мА, по формулам:
-
- для выходного тока в диапазоне от 4 до 20 мА
С4_м=(См-4)-%; (А.4)
16
-
- для выходного тока в диапазоне от 0 до 5 мА
СМ=С-^, (А.5)
где Сдиап ~ значение верхнего предела запрограммированного диапазона измерений КРВ по токовому выходу, мкг/дм3.
Рассчитывают для всех значений основную абсолютную погрешность измерений КРВ по токовому выходу ДС4-20; о-5> мкг/дм3, по формуле
-|=- ■ • Сн2 (20). (А.6)
норм 1UV
Результат проверки считают удовлетворительным, если выполняются условия:
- (3,0 + 0,04С) < АС < 3,0+0,04С;
-[(3,0+0,002Са„ап)+0,04С4-2О;о-5] ДС4-20;0-5 (3,О+О,ОО2Са„ая)+О,О4С4-2о:о-5-
Если значения абсолютной погрешности при измерении КРВ по ищтикя-тору АС, мкг/дм3, и по токовому выходу АС4.20;0-5, мкг/дм3, выходят за допускаемые пределы, то повторно проводят:
-
- градуировку анализатора по ГСО-ПГС в соответствии с п. 2.8 руководства по эксплуатации ВР50.00.000РЭ;
- операции по пп. А. 10.4.1.2 и А. 10.4.1.3.
При получении отрицательного результата проверки вторично анализатор бракуют.
А. 10.4.2 Определение основной абсолютной погрешности анализатора в точке № 2
Для проверки погрешности в указанной точке используют ПГС № 2 в соответствии с таблицей А. 10.1.
Подготовка к измерениям аналогична приведенной в п. А. 10.4.1.1.
Измерения выполняют в соответствии с п. А. 10.4.1.2.
Расчет и анализ основной абсолютной погрешности анализатора проводят в соответствии с п. А. 10.4.1.3.
А. 10.4.3 Определение погрешностей анализатора в точке № 1
Для проверки погрешности в указанной точке используют ПГС № 1 в соответствии с таблицей А. 10.1.
Подготовка к измерениям аналогична приведенной в п. А. 10.4.1.1.
Измерения выполняют в соответствии с п. А. 10.4.1.2.
Расчет и анализ основной абсолютной погрешности анализатора проводят в соответствии с п. А. 10.4.1.3.
А. 10.5 Определение основной абсолютной погрешности анализатора при измерении температуры анализируемой среды
А.10.5.1 Подготовка к измерениям
Собирают установку в соответствии с рисунком А. 10.4. Заливают в термостат дистиллированную воду.

Рисунок А. 10,4
В термостате устанавливают датчик и термометр лабораторный электронный ЛТ-300. Датчик погружают в воду полностью.
Включают термостат.
С помощью термостата доводят температуру воды до значения (25,0 ± 1,0) °C и поддерживают ее с отклонением от установившегося значения ±0,1 °C.
А. 10.5.2 Выполнение измерений
Через 20 мин фиксируют показания анализатора по температуре °C, а также показания термометра лабораторного электронного ЛТ-300 t3i °C.
Проводят аналогичные измерения для второго канала, если в комплект анализатора входят два датчика водородных.
А.10.5.3 Обработка результатов
Результат проверки считают удовлетворительным, если для каждого значения температуры воды
- 0,3 < - t3m < 0,3.
А. 11 Оформление результатов поверки
А. 11.1 Результаты поверки оформляют в виде протокола произвольной формы.
А.11.2 Положительные результаты поверки удостоверяют свидетельством о поверке и (или) записью в паспорте на анализатор и знаком поверки в соответствии с Приказом Минпромторга России от 02 июля 2015 г. № 1815. Знак поверки наносится на свидетельство о поверке и (или) паспорт, и на блок преобразовательный.
А. 11.3 Если по результатам поверки анализатор признают непригодным к применению, свидетельство о поверке аннулируют и выписывают извещение о непригодности к применению в соответствии с Приказом Минпромторга России от 02 июля 2015 г. № 1815.
ПРИЛОЖЕНИЕ Б
(справочное)
Растворимость водорода в дистиллированной воде, находящейся в равновесии с водяным паром, в зависимости от температуры
Ратм~Ю 1,325 кПа
Таблица Б. I______________________________________________________мкг/дм3
t°c |
0 |
0,1 |
0,2 |
0,3 |
0.4 |
0,5 |
0,6 |
0.7 |
0,8 |
0,9 |
0 |
1922 |
1920 |
1918 |
1916 |
1914 |
1913 |
1911 |
1909 |
1907 |
1905 |
1 |
1904 |
1902 |
1900 |
1898 |
1896 |
1895 |
1893 |
1891 |
1889 |
1888 |
2 |
1886 |
1884 |
1882 |
1880 |
1879 |
1877 |
1875 |
1873 |
1872 |
1870 |
3 |
1868 |
1866 |
1865 |
1863 |
1861 |
1859 |
1857 |
1856 |
1854 |
1852 |
4 |
1851 |
1849 |
1847 |
1845 |
1844 |
1842 |
1840 |
1838 |
1837 |
1835 |
5 |
1833 |
1831 |
1830 |
1828 |
1826 |
1825 |
1823 |
1821 |
1819 |
1818 |
6 |
1816 |
1814 |
1813 |
1811 |
1809 |
1807 |
1806 |
1804 |
1802 |
1801 |
7 |
1799 |
1797 |
1796 |
1794 |
1792 |
1791 |
1789 |
1787 |
1785 |
1784 |
8 |
1782 |
1780 |
1779 |
1777 |
1775 |
1774 |
1772 |
1771 |
1769 |
1767 |
9 |
1766 |
1764 |
1762 |
1761 |
1759 |
1757 |
1756 |
1754 |
1752 |
1751 |
10 |
1749 |
1748 |
1746 |
1744 |
1743 |
1741 |
1739 |
1738 |
1736 |
1735 |
11 |
1733 |
1731 |
1730 |
1728 |
1727 |
1725 |
1723 |
1722 |
1720 |
1719 |
12 |
1717 |
1716 |
1714 |
1712 |
1711 |
1709 |
1708 |
1706 |
1705 |
1703 |
13 |
1701 |
1700 |
1698 |
1697 |
1695 |
1694 |
1692 |
1691 |
1689 |
1688 |
14 |
1686 |
1685 |
1683 |
1681 |
1680 |
1678 |
1677 |
1675 |
1674 |
1672 |
15 |
1671 |
1669 |
1668 |
1666 |
1665 |
1663 |
1662 |
1660 |
1659 |
1657 |
16 |
1656 |
1654 |
1653 |
1651 |
1650 |
1659 |
1647 |
1646 |
1644 |
1643 |
17 |
1641 |
1640 |
1638 |
1637 |
1635 |
1634 |
1633 |
1631 |
1630 |
1628 |
18 |
1627 |
1625 |
1624 |
1623 |
1621 |
1620 |
1618 |
1617 |
1615 |
1614 |
19 |
1613 |
1611 |
1610 |
1608 |
1607 |
1606 |
1604 |
1603 |
1601 |
1600 |
20 |
1599 |
1597 |
1596 |
1594 |
1593 |
1591 |
1590 |
1588 |
1587 |
1585 |
21 |
1584 |
1582 |
1581 |
1579 |
1578 |
1576 |
1575 |
1573 |
1572 |
1571 |
22 |
1569 |
1568 |
1566 |
1565 |
1563 |
1562 |
1561 |
1559 |
1558 |
1556 |
23 |
1555 |
1554 |
1552 |
1551 |
1550 |
1548 |
1547 |
1545 |
1544 |
1543 |
24 |
1541 |
1540 |
1539 |
1537 |
1536 |
1535 |
1533 |
1532 |
1531 |
1530 |
25 |
1528 |
1527 |
1526 |
1524 |
1523 |
1522 |
1521 |
1519 |
1518 |
1517 |
26 |
1515 |
1514 |
1513 |
1512 |
1511 |
1509 |
1508 |
1507 |
1506 |
1504 |
27 |
1503 |
1502 |
1501 |
1500 |
1498 |
1497 |
1496 |
1495 |
1494 |
1492 |
28 |
1491 |
1490 |
1489 |
1488 |
1486 |
1485 |
1484 |
1483 |
1482 |
1481 |
29 |
1480 |
1478 |
1477 |
1476 |
1475 |
1474 |
1473 |
1472 |
1470 |
1469 |
30 |
1468 |
1467 |
1466 |
1465 |
1464 |
1463 |
1462 |
1460 |
1459 |
1458 |
31 |
1457 |
1456 |
1455 |
1454 |
1453 |
1452 |
1451 |
1450 |
1449 |
1448 |
32 |
1446 |
1445 |
1444 |
1443 |
1442 |
1441 |
1440 |
1439 |
1438 |
1437 |
33 |
1436 |
1435 |
1434 |
1433 |
1432 |
1421 |
1420 |
1419 |
1418 |
1417 |
34 |
1426 |
1425 |
1424 |
1423 |
1422 |
1421 |
1420 |
1419 |
1418 |
1417 |
35 |
1416 |
1415 |
1414 |
1413 |
1412 |
" 1411 |
1410 |
1409 |
1408 |
1407 |
36 |
1406 |
1405 |
1404 |
1403 |
1402 |
1401 |
1400 |
1399 |
1398 |
1397 |
37 |
1396 |
1395 |
1394 |
1393 |
1392 |
1391 |
1390 |
1389 |
1388 |
1387 |
38 |
1386 |
1385 |
1384 |
1383 |
1382 |
1382 |
1381 |
1380 |
1379 |
1378 |
39 |
1377 |
1376 |
1375 |
1374 |
1373 |
1372 |
1371 |
1370 |
1369 |
1368 |
Продолжение таблицы Б. 1 _________________________________ мкг/дм3
t°c |
0 |
0,1 |
0,2 |
о.з |
0,4 |
0,5 |
0,6 |
0,7 |
0,8 |
0.9 |
40 |
1367 |
1366 |
1365 |
1364 |
1364 |
1363 |
1362 |
1361 |
1360 |
1359 |
41 |
1358 |
1357 |
1356 |
1355 |
1354 |
1353 |
1352 |
1351 |
1350 |
1349 |
42 |
1349 |
1348 |
1347 |
1346 |
1345 |
1344 |
1343 |
1342 |
1341 |
1340 |
43 |
1339 |
1338 |
1337 |
1336 |
1335 |
1334 |
1333 |
1333 |
1332 |
1331 |
44 |
1330 |
1329 |
1328 |
1327 |
1326 |
1325 |
1324 |
1323 |
1322 |
1321 |
45 |
1320 |
1319 |
1318 |
1317 |
1316 |
1316 |
1315 |
1314 |
1313 |
1312 |
46 |
1311 |
1310 |
1309 |
1308 |
1307 |
1306 |
1305 |
1304 |
1303 |
1302 |
47 |
1301 |
1300 |
1299 |
1298 |
1297 |
1296 |
1295 |
1294 |
1293 |
1292 |
48 |
1291 |
1290 |
1289 |
1288 |
1287 |
1286 |
1285 |
1284 |
1283 |
1282 |
49 |
1281 |
1280 |
1279 |
1278 |
1277 |
1276 |
1275 |
1274 |
1273 |
1272 |
50 |
1271 |
1270 |
1269 |
1268 |
1267 |
1266 |
1265 |
1264 |
1263 |
1262 |
51 |
1261 |
1260 |
1259 |
1258 |
1257 |
1256 |
1255 |
1254 |
1253 |
1252 |
52 |
1251 |
1250 |
1249 |
1247 |
1246 |
1245 |
1244 |
1243 |
1242 |
1241 |
53 |
1240 |
1239 |
1238 |
1237 |
1236 |
1234 |
1233 |
1232 |
1231 |
1230 |
54 |
1229 |
1228 |
1227 |
1226 |
1224 |
1223 |
1222 |
1221 |
1220 |
1219 |
55 |
1218 |
1216 |
1215 |
1214 |
1213 |
1212 |
1211 |
1210 |
1208 |
1207 |
56 |
1206 |
1205 |
1204 |
1202 |
1201 |
1200 |
1199 |
1198 |
1196 |
1195 |
57 |
1194 |
1193 |
1192 |
1190 |
1189 |
1188 |
1187 |
1185 |
1184 |
1183 |
58 |
1182 |
1180 |
1179 |
1178 |
1177 |
1175 |
1174 |
1173 |
1172 |
1170 |
59 |
1169 |
1168 |
1166 |
1165 |
1164 |
1162 |
1161 |
1160 |
1158 |
1157 |
60 |
1156 |
1154 |
1153 |
1152 |
1150 |
1149 |
1148 |
1146 |
1145 |
1144 |
61 |
1142 |
1141 |
1139 |
1138 |
1137 |
1135 |
1134 |
1132 |
1131 |
1130 |
62 |
1128 |
1127 |
1125 |
1124 |
1122 |
1121 |
1119 |
1118 |
1117 |
1115 |
63 |
1114 |
1112 |
1111 |
1109 |
1108 |
1106 |
1105 |
1103 |
1102 |
110Д |
64 |
1099 |
1097 |
1095 |
1094 |
1092 |
1091 |
1089 |
1088 |
1086 |
1085 |
65 |
1083 |
1081 |
1080 |
1078 |
1077 |
1075 |
1073 |
1072 |
1070 |
1068 |
66 |
1067 |
1065 |
1063 |
1062 |
1060 |
1058 |
1057 |
1055 |
1053 |
1052 |
67 |
1050 |
1048 |
1047 |
1045 |
1043 |
1041 |
1040 |
1038 |
1036 |
1034 |
68 |
1033 |
1031 |
1029 |
1027 |
1025 |
1024 |
1022 |
1020 |
1018 |
1016 |
69 |
1015 |
1013 |
1011 |
1009 |
1007 |
1005 |
1003 |
1Q01 |
1000 |
998 |
70 |
996 |
994 |
992 |
990 |
988 |
986 |
984 |
982 |
980 |
978 |
ПРИЛОЖЕНИЕ В
(справочное)
СВЕДЕНИЯ ОБ ЭЛЕКТРОЛИТЕ
Сведения об электролите приведены в таблице В.1.
Таблица В.1
Наименование и обозначение |
электролит ЭВ ВР50.02.550 |
Применяемость |
МАРК-501, МАРК-509 |
Внешний вид |
бесцветная жидкость со слабым запахом |
Состав и информация о компонентах |
раствор на основе серной кислоты (концентрация серной кислоты не более 5 %) |
Растворимость в воде |
растворимый |
pH при 20 °C |
од |
Потенциальное воздействие на здоровье |
при ненадлежащем обращении возможны ожоги |
Транспортировка |
все виды транспорта в соответствии с правилами перевозок грузов, действующими на данном виде транспорта |
Утилизация |
утилизируется как химический реактив |
Хранение:
|
хранить в закрытой таре в крытых складских помещениях в условиях, установленных для хранения кислот; от минус 30 до плюс 50 °C. |
Срок годности |
не ограничен. |
Меры предосторожности |
работать в помещениях, оборудованных общей приточно-вытяжной механической вентиляцией с соблюдением техники безопасности по ГОСТ 12.1.007-76. |
Индивидуальные средства защиты |
защитные перчатки, очки или маска |
Первая помощь: -при отравлении (попадании в рот)
|
промыть рот и зев 5 %-ным раствором питьевой соды и обратиться к врачу; промыть 5 %-ным раствором питьевой соды и отправить пострадавшего к врачу; смыть обильным количеством воды с мылом, или 5 %-ным раствором питьевой соды, или нашатырного спирта и обратиться к врачу. |
ПРИЛОЖЕНИЕ Г
(справочное)
ПЕРЕЧЕНЬ ПРИНЯТЫХ СОКРАЩЕНИЙ
Анализатор - анализатор растворенного водорода МАРК-509.
ГСО-ПГС - государственные стандартные образцы-поверочные газовые смеси.
Датчик - датчик водородный ДВ-509.
КРВ - массовая концентрация растворенного в воде водорода.
Выходной ток - унифицированный электрический выходной сигнал постоянного тока.
РЭ - руководство по эксплуатации.
ЭВ - электролит водородный.
97