Методика поверки «Вибропреобразователи ВП-25Т ООО "СИНКРОСС"» (МП 204/3-02-2017)
УТВЕРЖДАЮ
Директор
ИНКРОСС

СИНКРОСС
ДОКУМЕНТОВ
'026402« ,
Т?дрАТО^Х
>>
Ogioa
Е.П. Солодки^!//
УТВЕРЖДАЮ
Заместитель директора
",сг'к^рй§врдственной метрологии
2017

2017 г.

Н.В.Иванникова
ВИБРОПРЕОБРАЗОВАТЕЛИ ВП-25Т
МЕТОДИКА ПОВЕРКИ
МП 204/3-02-2017
Москва 2017
ВИБРОПРЕОБРАЗОВАТЕЛИ ВП-25Т
МЕТОДИКА ПОВЕРКИ
Введена в действие с « » 201 г.
Настоящая методика распространяется на вибропреобразователи ВП-25Т (далее вибропреобразователи) и устанавливает методику их первичной и периодической поверок.
Интервал между поверками 2 года.
-
1 Операции поверки
1.1. При проведении первичной и периодической поверок вибропреобразователей выполняют операции, указанные в таблице 1.
Таблица 1
Наименование операции |
Номер пункта |
Проведение операции при поверке | |
первичной |
периодической | ||
1 |
2 |
3 |
4 |
Внешний осмотр |
7.1 |
да |
да |
Опробование |
7.2. |
да |
да |
Определение основной относительной погрешности измерения на базовой частоте при доверительной вероятности 0,95 |
7.3 |
да |
да |
Определение неравномерности амплитудно-частотной характеристики |
7.4 |
да |
да |
-
2 Средства поверки
2.1. При проведении поверки необходимо применять основные и вспомогательные средства поверки, приведенные в таблице 2.
Таблица 2
Номер пункта поверки |
Наименование и тип основного или вспомогательного средства поверки, обозначение документа, регламентирующего технические требования и (или) метрологические и основные технические характеристики. |
7.3 и 7.4 |
Поверочная виброустановка 2-го разряда по ГОСТ Р 8.800-2012 Мультиметр цифровой Agilent 34411А с погрешностью в режиме измерения силы постоянного тока ±0,015 мА |
Допускается применение средств поверки, не приведенных в перечне, но обеспечивающих определение метрологических характеристик поверяемых средств измерений с требуемой точностью.
-
3 Требования к квалификации поверителей
-
3.1 К поверке допускаются лица, аттестованные по месту работы в соответствии с правилами ПР 50.2.012-94, прошедшие обучение и имеющие свидетельство и аттестат поверителя.
-
-
4 Требования безопасности
-
4.1 Перед проведением поверки вибропреобразователь должен быть подготовлен к работе в соответствии с руководством по эксплуатации.
-
4.2 Средства поверки, вспомогательные средства и поверяемый вибропреобразователь должны иметь защитное заземление.
-
-
5 Условия поверки и подготовка к ней
-
5.1 При проведении поверки должны быть соблюдены следующи условия: -температура окружающего воздуха 20±5 °C
-
-относительная влажность от 30 до 80 %
-атмосферное давление от 84 до 106,7 кПа
-напряжение источника питания поверяемого вибропреобразователя должно соответствовать значению, указанному в технической документации на вибропреобразователь.
-
5.2 Перед проведением поверки вибропреобразователь должен быть подготовлен к работе в соответствии с руководством по эксплуатации.
-
6 Подготовка к проведению поверки
-
6.1 При подготовке к проведению поверки должно быть установлено соответствие вибропреобразователя следующим требованиям:
-
- отсутствие механических повреждений вибропреобразователя, соединительного кабеля.
-
6.2 В случае несоответствия вибропреобразователя хотя бы одному из выше указанных требований, он считается непригодным к применению, поверка не производится до устранения выявленных замечаний.
-
6.3 Все приборы должны быть прогреты и подготовлены к работе в соответствии со своим руководством по эксплуатации.
-
7 Проведение поверки
-
7.1 Внешний осмотр
-
При внешнем осмотре устанавливают соответствие комплектности и маркировки требованиям эксплуатационной документации, а также отсутствие механических повреждений корпуса вибропреобразователя, соединительного кабеля.
-
7.2 Опробование
-
7.2.1 Проверяют работоспособность вибропреобразователя в соответствии с эксплуатационной документацией.
-
7.3. Определение основной относительной погрешности измерения на базовой частоте при доверительной вероятности 0,95.
Измерения проводят с использованием вибрационной установки. Измерения проводят на частоте 80 Гц при СКЗ виброскорости: 3; 7; 10; 15; 25 мм/с. Фиксируют значения выходного тока вибропреобразователя при каждом значении виброскорости по мультиметру.
Вычисляют измеренное значение виброскорости по формуле:
.Д^-Д)Х(И8-ИН)
(1)
где Лщи - значение тока, полученное на выходе вибропреобразователя по мультиметру (мА).
1в - верхнее значение диапазона выходного тока (Д = 20 мА),
1Н - нижнее значение диапазона выходного тока (/„ = 4 мА), Гв- верхнее значение диапазона виброскорости (Ve = 27,5 мм/с) VH- нижнее значение диапазона виброскорости (И„ = 0 мм/с)
-
7.3.1 Определение действительного значения коэффициента преобразования
Действительное значение коэффициента преобразования определяют при задаваемом значении виброскорости 25 мм/с на частоте 80 Гц. Коэффициент преобразования рассчитывают по формуле:
v 1изм Л)
эт
где
IU3M— значение тока, измеренное на выходе вибропреобразователя;
1о - нижнее значение диапазона выходного тока (4 мА);
Уэт - значение виброскорости, задаваемое на вибростенде (25 мм/с);
Если полученное значение коэффициента преобразования превышает на 1 % номинальное значение равное 0,5818 мА/(мм/с), то необходимо провести калибровку.
Калибровку проводят по п.2.2.3.3 и 2.2.3.4 руководства по эксплуатации СГВП2.320.004 РЭ.
-
7.3.2 Определение относительного коэффициента поперечного преобразования
Определение относительного коэффициента поперечного преобразования проводится при задаваемом значении виброскорости 25 мм/с на частоте 80 Гц. Фиксировать значения тока на выходе вибропреобразователя при различных его угловых положениях (0°; 30°; 60°; 90°; 120°; 150°; 180°; 210°; 240°; 270°; 300° и 330°)
Полученные данные заносят в таблицу 3.
Таблица 3
<р° |
0 |
30 |
60 |
90 |
120 |
150 |
180 |
210 |
240 |
270 |
300 |
330 |
1изм |
Относительный коэффициент поперечного преобразования вычисляют по формуле:
I макс А)
К.Х кд
(3)
где
1Макс~ максимальное значение тока, измеренное на выходе вибропреобразователя;
10 - нижнее значение диапазона выходного тока (4 мА);
Уэт - значение виброскорости, задаваемое на вибростенде;
Кд - действительное значение коэффициента преобразования, вычисленное по формуле (2).
7.3.3 Определение нелинейности амплитудной характеристики
Определение нелинейности амплитудной характеристики осуществляют на базовой частоте 80 Гц в пяти точках диапазона измерения, включая верхний и нижний пределы - 3; 5; 10; 15; 20 и 25 мм/с.
Нелинейность амплитудной характеристики вычисляет по формуле:
К — К
8 =—--100 %
(4)
где
Kt - значение коэффициента преобразования, вычисленное по формуле (2) в i-ой
точке;
Кср - среднее значение коэффициента преобразования, вычисленное по формуле:
(5)
где
Kt - значение коэффициента преобразования, вычисленное по формуле (2) в i-ой
точке;
п - число значений виброскорости, на которых определяют коэффициент преобразования.
Полученные данные заносят в таблицу 4.
Таблица 4
V3m |
3 |
5 |
10 |
15 |
20 |
25 |
К | ||||||
8 |
7.3.4 Определение относительной погрешности при измерении виброскорости на базовой частоте при доверительной вероятности 0,95.
Определение относительной погрешности при измерении виброскорости на базовой частоте при доверительной вероятности 0,95 вычисляют по формуле:
-
8 = 1,1 ^(8ЭТ)2 + (Кпп)2 + (8V)2
(6)
где
8ЭТ — погрешность эталонного средства измерения
Кпп - относительный коэффициент поперечного преобразования 8V - нелинейность амплитудной характеристики.
Полученные значения не должны превышать ±4 %.
-
7.4 Определение неравномерности амплитудно-частотной характеристики в диапазоне частот.
Измерения проводить при помощи вибрационной установки и мультиметра. Задать на виброустановке СКЗ виброскорости 20 мм/с. Произвести измерения на частотах 10; 20; 40; 80; 160; 250; 400; 630; 800 и 1000 Гц
На каждой частоте вычисляют по формуле (1) измеренное значение виброскорости.
Полученные данные заносят в таблицу 5.

Таблица 5
10 |
20 |
40 |
80 |
160 |
250 |
400 |
630 |
800 |
1000 | ||
Vi | |||||||||||
7 |
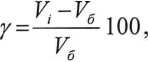
Значения неравномерности АЧХ вычисляют по формуле:
(7)
где
Vi - значение виброскорости, вычисленное по формуле (1) на i-ой частоте;
Гб-значение виброскорости, вычисленное по формуле (1) на базовой частоте 80 Гц.
Полученные значения не должны превышать ±6 %.
8. Оформление результатов поверки.
-
8.1 Вибропреобразователи, удовлетворяющие требованиям настоящей методики поверки, признают годными к применению. При первичной поверке делают соответствующую отметку в технической документации. При периодической поверке выдают свидетельство о поверке по форме, установленной Приказом Минпромторга № 1815 от 02.07.2015, и/или делают соответствующую отметку в технической документации.
8.2 При отрицательных результатах поверки вибропреобразователи не допускают к применению. В технической документации делают отметку о непригодности и выдают извещение по форме, установленной Приказом Минпромторга № 1815 от 02.07.2015.
Начальник отдела 204
ФГУП «ВНИИМС»

А.Е. Рачковский
Начальник лаборатории 204/3
ФГУП «ВНИИМС»
Испытатель

А.Г.Волченко
Ю.С. Дикарева
8