Методика поверки «АНАЛИЗАТОРЫ ЖИДКОСТИ модификаций c-DGM, OGM» (МП-209-27-2016)
УТВЕРЖДАЮ

Директор Менделеева» Гоголинский 2016 г.
2016 г.
Руководитель лаборатории
ФГУП «ВНИИМ им. Д.И. Менделеева»

В.И.Суворов
2016г.
Настоящая методика поверки распространяется на анализаторы жидкости модификаций c-DGM, OGM производства компании «Haffmans B.V.», предназначенные для измерений массовой концентрации растворенного кислорода и температуры жидкости (модификации c-DGM. OGM). парциального давления двуокиси углерода (модификация c-DGM).
Анализаторы подлежат первичной и периодической поверке.
Интервал между поверками - 1 год.
1 Операции поверкиОбъем и последовательность операций поверки указаны в таблице 1.
Таблица 1
Наименование операции |
Номер пункта, в котором изложена методика поверки |
Обязательность проведения операции | |
При первичной поверке |
При периодической поверке | ||
1. Внешний осмотр |
п. 6.1 |
Да |
Да |
2. Опробование |
п. 6.2 |
Да |
Да |
3. Подтверждение соответствия программного обеспечения |
п. 6.3 |
Да |
Да |
4. Определение метрологических характеристик:
|
п. 6.4.1 п. 6.4.2 п. 6.4.3 |
Да \ Да |
Да Да Да |
При получении отрицательных результатов при проведении той или иной операции дальнейшая поверка прекращается.
2. Средства поверки2.1 При проведении поверки применяются средства измерений и оборудование, представленное в таблице 2.
Таблица 2
Наименование |
Характеристики оборудования |
СО составов искусственных газовых смесей: состава О2 +N? |
ГСО 10531-2014 |
Калибраторы давления портативные Метран 501-ПКД-Р |
диапазон измерений от минус 0,1 до 60 МПа, кл. т. 0,05 |
Термометр лабораторный электронный ЛТ- 300 |
Диапазон измерений температуры. °C: от минус 50 до плюс 300 Пределы допускаемой основной абсолютной погрешности в диапазоне от минус 50 до плюс 199,99 °C: ± 0.05 °C |
Термостат суховоздушный ТВ-80-1 |
температурный диапазон от + 5 до + 70 °C |
2.2 Допускается применять средства, не приведенные в перечне, но обеспечивающие
определение метрологических характеристик с требуемой точностью.
-
2.3 Все средства поверки должны иметь действующие свидетельства о поверке.
-
3.1 К работе с приборами, используемые при поверке, допускаются лица, прошедшие инструктаж по технике безопасности при работе с электро- и радиоизмерительны-ми приборами.
-
3.2 Перед включением должен быть проведен внешний осмотр приборов с целью определения исправности и электрической безопасности включения их в сеть.
-
3.3 Перед включением в сеть приборов, используемых при поверке, они должны быть заземлены в соответствии с требованиями, указанными в эксплуатационной документации.
-
3.4 Помещение, в котором проводятся испытания, должно соответствовать требованиям пожарной безопасности по ГОСТ 12.1.004-91 и иметь средства пожаротушения по ГОСТ 12.4.009-83.
При проведении поверки должны быть соблюдены следующие условия:
-
• температура окружающего воздуха. °C: от 15 до 35;
-
• относительная влажность воздуха. %: от 30 до 85;
-
• атмосферное давление. кПа: от 86,0 до 106.7;
-
5.1 Подготовить анализатор к работе в соответствии с технической документацией фирмы-изготовителя.
При подготовке к поверке необходимо:
-
• осуществить прогрев анализатора в соответствии с эксплуатационной документацией;
-
• проверить работоспособность анализатора в режиме измерения.
Подготовить к работе анализатор в соответствии с руководством по эксплуатации, рабочие эталоны и вспомогательные средства измерений согласно эксплуатационной документации на них. Перед проведением поверки анализатор необходимо откалибровать в соответствии с руководством по эксплуатации
6 Проведение поверки-
6.1 Внешний осмотр.
При проведении внешнего осмотра анализаторов проверяется соответствие следующим требованиям:
-
• отсутствие внешних повреждений, влияющих на точность показаний;
-
• отсутствие отсоединившихся или слабо закреплённых элементов схемы (определяется на слух при наклонах изделия).
-
• отсутствие механических повреждений;
-
• соответствие комплектности анализаторов технической документации;
-
• исправность органов управления и настройки;
-
• четкость надписей на лицевой панели.
Анализаторы считаются выдержавшими внешний осмотр, если они соответствует перечисленным выше требованиям.
Анализаторы с механическими повреждениями к поверке не допускаются.
-
6.2 Опробование.
При опробовании проверяется функционирование составных частей анализаторов согласно технической документации фирмы-изготовителя, а также возможность плавного регулирования показаний с помощью органов управления и настройки.
6.3 Подтверждение соответствия программного обеспечения.
При проведении поверки анализаторов выполняют операцию «Подтверждение соответствия программного обеспечения». Операция «Подтверждение соответствия программного обеспечения» состоит в определении номера версии (идентификационного номера) программного обеспечения.
Анализаторы имеют встроенное программное обеспечение, которое запускается в автоматическом режиме после включения анализатора. Просмотр версии встроенного ПО доступен при запуске прибора.
Анализаторы считаются прошедшими поверку, если номер версии СИ совпадает с номером версии или выше номера версии, указанного в описании типа.
6.4 Определение метрологических характеристик.
-
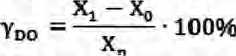
6.4.1. Определение приведенной погрешности измерений растворенного в воде кислорода проводить путем сравнения значений растворенного в воде кислорода в контрольных растворах (в рабочей камере анализатора), приготовленных в соответствии с приложением А, измеренных анализатором с расчетными значениями. В каждой точке проводить не менее трех независимых измерений.
Приведенную погрешность измерений массовой концентрации растворенного в воде кислорода рассчитать для каждого измеренного значения по формуле:

(1)
где
Xi - массовая концентрация растворенного в воде кислорода измеренная анализатором. мг/дм3;
Хо - расчетное значение массовой концентрации растворенного в воде кислорода в контрольном растворе, мг/дм3;
Хп - верхний предел измерений анализатора, мг/дм3.
Результаты поверки считаются положительными, если в процессе поверки значение приведенной погрешности измерений массовой концентрации растворенного в воде кислорода не превышает ±5 %.
СО2
-
6.4.2 Определение абсолютной погрешности измерений парциального давления
Определение абсолютной погрешности измерений парциального давления СО? проводить путем сравнения значений, заданных на калибраторе давления, со значениями, измеренными анализатором.
Последовательно задать значения давления, с помощью калибратора давления, равномерно расположенные во всем диапазоне измерений, включая верхнее и нижнее предельное значение давления. В каждой точке регистрировать значение давления, полученное на анализаторе. После достижения верхнего предела измерений, давление постепенно начинать снижать с помощью калибратора давления, сравнивая значения с показаниями анализатора (обратный ход).
Абсолютную погрешность измерений парциального давления рассчитать для каждого измеренного значения по формуле:

где Pt - значение давления, измеренное анализатором, кПа;
кПа.
Рд- действительное значение давления, заданное на калибраторе давления.
Результат поверки считают положительным, если абсолютная погрешность измерений давления в каждой точке поверки не превышает ±ЗкПа (±0,03 бар).
-
6.4.3 Определение абсолютной погрешности измерений температуры Определение абсолютной погрешности измерений температуры проводить путем мерения проводить в трех точках расположенных на начальном (10-30 %), среднем (40-60 %) и конечном (70-90 %) участках диапазона.
сравнения значений, полученных на анализаторе со значением эталонного термометра. Из-
-
4.4.2. Подготовить анализатор к режиму измерения температуры, согласно руководству по эксплуатации. Поместить анализатор эталонный термометр в суховоздушный термостат. Установить температуру суховоздушного термостата (+5°С/+25°С/+40°С), подождать. пока стабилизируется температура (10 минут). Сравнить показание канала измерения температуры анализатора и показание значения температуры эталонного термометра.
4.4.4. Абсолютную погрешность измерений температуры рассчитать для каждого измеренного значения по формуле:
~ — (3), где
tmM - значение температуры, измеренное анализатором, °C;
tyr - значение температуры, измеренное эталонным термометром, °C.
Результаты поверки считаются положительными, если в процессе поверки значение абсолютной погрешности измерений температуры не превышает ±0,2 °C.
7 Оформление результатов поверки-
7.1. При проведении поверки составляется протокол результатов измерений по форме Приложения В. в котором указывается его соответствие предъявляемым требованиям.
-
7.2. Результаты поверки оформляют в виде свидетельства о поверке или извещения о непригодности.
-
7.3. Результаты поверки считаются положительными, если анализаторы удовлетворяют всем требованиям настоящей методики. Положительные результаты поверки оформляются путем выдачи свидетельства о поверки. Знак поверки в виде голографической наклейки рекомендуется наносить на свидетельство о поверки, допускается нанесение на анализатор, над дисплеем.
-
7.4. Результаты считаются отрицательными, если при проведении поверки установлено несоответствие поверяемого анализатора, хотя бы одному из требований настоящей методики. Отрицательные результаты поверки оформляются путем выдачи извещений о непригодности с указанием причин непригодности.
Инструкция по приготовлению поверочных растворов
растворенного кислорода.С помощью ГСО-ПГС приготовить контрольные растворы с требуемой массовой концентрацией растворенного кислорода. Требуемое ГСО-ПГС указано в табл. 1.
Подготовить анализатор к режиму измерений массовой концентрации растворенного в воде кислорода согласно руководству по эксплуатации. Заполнить рабочую камеру анализатора дистиллированной водой. На вход анализатора подать газ из баллона.
Насыщение воды в рабочей камере анализатора газовой поверочной смесью производить не менее 10 минут.
Полученное на дисплее анализатора значение массовой концентрации растворенного в воде кислорода сравниваем с расчетным значением.
Расчетное значение концентрации растворенного кислорода в воде рассчитывается по формуле 1, относительная погрешность массовой концентрации растворенного кислорода в контрольных растворах не превышает 2 %.

хо-ро
Таблица 1.
№ |
Номер ГСО |
Компонентный состав |
Номинальное значение доли Ог в баллоне’, Сн. % |
Погрешность аттестованного значения, %, 5fi, не более |
Массовая концентрация растворенного кислорода. С. мг/л |
1 |
10531-2014 |
O2+N2 |
молярная доля 0,898 |
0,013 |
0,35 |
С =
■А
(4)
где:
- атмосферной давление, кПа;
Рн - нормальное давление, равное 101,3 кПа
X - значение объемной доли О? в ГСО-ПГС, %
Хо - относительное объемное содержание кислорода в стандартной атмосфере, равное 20,94%
А - растворимость (равновесная концентрация) кислорода, опубликованная ЮНЕСКО (ИСО 5813) в качестве справочного материала (приложение Б)
Значения равновесных концентраций кислорода при насыщении воды атмосферным воздухом при нормальном атмосферном давлении 101,325 кПа (760 мм рт.ст.) в зависимости от температуры, мг/дм3
X. t А |
0,0 |
0,1 |
0.2 |
0,3 |
0,4 |
0,5 |
0,6 |
0.7 |
0,8 |
0.9 |
0,0 |
14,62 |
14,58 |
14,54 |
14,50 |
14.46 |
14,42 |
14,38 |
14.34 |
14,30 |
14,26 |
1,0 |
14,22 |
14,18 |
14,14 |
14,10 |
14,06 |
14,02 |
13,98 |
13,94 |
13,90 |
13,87 |
2,0 |
13,83 |
13,79 |
13,75 |
13,72 |
13,68 |
13,64 |
13,60 |
13.57 |
13.53 |
13,49 |
3,0 |
13,46 |
13,42 |
13,39 |
13,35 |
13,32 |
13,28 |
13,24 |
13,21 |
13,17 |
13,14 |
4,0 |
13,11 |
13,07 |
13,04 |
13,00 |
12,97 |
12,93 |
12,90 |
12,87 |
12,83 |
12.80 |
5,0 |
12,77 |
12,74 |
12,70 |
12,67 |
12,64 |
12,61 |
12,57 |
12,54 |
12,51 |
12.48 |
6,0 |
12,45 |
12,41 |
12,38 |
12,35 |
12,32 |
12,29 |
12,26 |
12,23 |
12,20 |
12,17 |
7,0 |
12,14 |
12,11 |
12,08 |
12,05 |
12,02 |
11,99 |
11,96 |
11,93 |
11,90 |
11,87 |
8,0 |
11,84 |
11,81 |
11,79 |
11,76 |
11,73 |
11,70 |
11,67 |
11,64 |
11.62 |
11,59 |
9,0 |
11,56 |
11,53 |
11,51 |
11,48 |
11,45 |
11,42 |
11,40 |
11,37 |
11,34 |
11,32 |
10,0 |
11,29 |
11,26 |
11,24 |
11,21 |
11,18 |
11.16 |
11,13 |
11,11 |
11,08 |
11.06 |
11.0 |
11,03 |
11,00 |
10,98 |
10,95 |
10,93 |
10,90 |
10,88 |
10,85 |
10,83 |
10.81 |
12,0 |
10,78 |
10,76 |
10,73 |
10,71 |
10,68 |
10,66 |
10,64 |
10,61 |
10,59 |
10.56 |
13,0 |
10,54 |
10,52 |
10.49 |
10,47 |
10,45 |
10,42 |
10,40 |
10,38 |
10,36 |
10.33 |
14.0 |
10,31 |
10,29 |
10,27 |
10,24 |
10,22 |
10,20 |
10.18 |
10,15 |
10,13 |
10,11 |
15,0 |
10,08 |
10,06 |
10,04 |
10,02 |
10,00 |
9,98 |
9,96 |
9,94 |
9,92 |
9,90 |
16,0 |
9,87 |
9,85 |
9,83 |
9.81 |
9,79 |
9,77 |
9,75 |
9.73 |
9,71 |
9.69 |
17,0 |
9,66 |
9,64 |
9,62 |
9,60 |
9,58 |
9,56 |
9,54 |
9,52 |
9,50 |
9.49 |
18,0 |
9,47 |
9.45 |
9,43 |
9,41 |
9,39 |
9,37 |
9,36 |
9,34 |
9.32 |
9,30 |
19,0 |
9,28 |
9,26 |
9,24 |
9,22 |
9,21 |
9,19 |
9,17 |
9.15 |
9.13 |
9,11 |
20,0 |
9,09 |
9,08 |
9,06 |
9,04 |
9,02 |
9,01 |
8,99 |
8.97 |
8.95 |
8,93 |
21.0 |
8,91 |
8,89 |
8,87 |
8,86 |
8,85 |
8,83 |
8,81 |
8.80 |
8,78 |
8.76 |
22,0 |
8,74 |
8,73 |
8.71 |
8,69 |
8.68 |
8.66 |
8,64 |
8,63 |
8.61 |
8,60 |
23,0 |
8,58 |
8.56 |
8,55 |
8,53 |
8,51 |
8,50 |
8,48 |
8,47 |
8.45 |
8.43 |
24,0 |
8,42 |
8.40 |
8,39 |
8,37 |
8,36 |
8,34 |
8,32 |
8,31 |
8,29 |
8,28 |
25,0 |
8,26 |
8,25 |
8,23 |
8,22 |
8,20 |
8,19 |
8,17 |
8.16 |
8,14 |
8,13 |
26.0 |
8,11 |
8,10 |
8.08 |
8,07 |
8,05 |
8,04 |
8,02 |
8,01 |
7,99 |
7,98 |
27.0 |
7,97 |
7,95 |
7,94 |
7,92 |
7.91 |
7,89 |
7.88 |
7,87 |
7,85 |
7.84 |
28,0 |
7,83 |
7,81 |
7,80 |
7,78 |
7,77 |
7,76 |
7,74 |
7,73 |
7,71 |
7,70 |
29,0 |
7,69 |
7,67 |
7,66 |
7,65 |
7,63 |
7,62 |
7,61 |
7,59 |
7,58 |
7,57 |
30,0 |
7,56 |
7,54 |
7,53 |
7,52 |
7.50 |
7.49 |
7,48 |
7,46 |
7,45 |
7,44 |
31,0 |
7,44 |
7,44 |
7,43 |
7,42 |
7.41 |
7,39 |
7,38 |
7,37 |
7,36 |
7,35 |
32,0 |
7,33 |
7,32 |
7,31 |
7,30 |
7,29 |
7,28 |
7,26 |
7,25 |
7,24 |
7.23 |
33,0 |
7,22 |
7,21 |
7,19 |
7.18 |
7,17 |
7,16 |
7.15 |
7,14 |
7,13 |
7,11 |
34.0 |
7,10 |
7.09 |
7,08 |
7,07 |
7,06 |
7,05 |
7,04 |
7,03 |
7,01 |
7,00 |
35.0 |
6,99 |
6,98 |
6,97 |
6,96 |
6.95 |
6.94 |
6,93 |
6,92 |
6,90 |
6.89 |
Модификация__________________________________________
Дата поверки______________________________________________
Условия поверки: температура окружающего воздуха______°C;
атмосферное давление________________кПа;
относительная влажность____________%.
РЕЗУЛЬТАТЫ ПОВЕРКИ
-
1. Результаты внешнего осмотра________________________
-
2. Результаты опробования____________________________
-
3. Подтверждение соответствия ПО_____________________
-
4. Результаты определения погрешностей измерения:
Заключение_____________________________________
Поверитель______________________________________
Сведения о средствах поверки_______________________
Сведения о документе МП_________________________
Дата___________________
8