Методика поверки «ГСИ. Установка для поверки счетчиков газа QRM» (ЛГТИ.421324.020 МП)
Государственная система обеспечения единства измерений
УСТАНОВКА ДЛЯ ПОВЕРКИ СЧЕТЧИКОВ ГАЗА QRM
МЕТОДИКА ПОВЕРКИ
ЛГТИ.421324.020 МП
2017 г.
2 СРЕДСТВА ПОВЕРКИ2.1 Для проведения поверки используют средства измерений, приведенные в таблице 1.
Таблица 1
|
Средство измерений |
Пункт методики поверки |
Основные технические характеристики средства измерений |
|
Государственный первичный эталон единиц объемного и массового расхода газа ГЭТ 118-2013 |
7.4.1 |
Диапазон расхода 0,003^-16000 м3/ч, иАо 3,5-10'% 5-Ю'4, иВо 4-10‘4. |
|
Термометр сопротивления платиновый вибропрочный эталонный ПТСВ-5-3 |
7.4.2 |
Диапазон измерений температуры (от - 50 до 250) °C, абсолютная погрешность не более ± 0,04 °C. |
|
Измеритель температуры многоканальный прецизионный МИТ 8.10 |
7.4.3 |
Диапазон измерений (от -200 до + 500) °C, абсолютная погрешность ±(0,0035+10~5t) °C |
|
Термостат Lauda ECO RE 620 S |
7.4.4 |
Диапазон воспроизведения температур от - 20 до +80 °C, нестабильность поддержания температуры ±0,02 °C. |
|
Калибратор давления "DRUCK DPI 605" |
7.4.5 |
Диапазон измерений избыточного давления и разности давлений (от -0,1 до 2) МПа, с относительной погрешностью ± 0,025 %; Диапазон измерения абсолютного давления от 90 до 110 кПа абсолютная погрешность ±10 Па. |
|
Генератор влажного воздуха динамический «Hygrogen 1» |
7.4.6 |
В диапазоне измерений важности (от 5 до 95) %, абсолютная погрешность измерений влажности ±1 %. |
|
Секундомер электронный "Интеграл С-01" |
7.4.7 |
Диапазон измерения от 0 до 9 ч 59 мин 59,99 с, абсолютная погрешность измерений (9,6-10 _6 Т+0,01), где Т - измеренный интервал времени, с |
|
Счетчик газа BK-G4 VI,2 дм3 |
7.2 |
Диапазон измерений от 0,04 до 6 м3/ч, погрешность измерений: ± 1,5 % в диапазоне расходов от 0,1QHOm ДО QinaKC? ±3 % в диапазоне расходов от QMHH до 0,1Qhom |
Примечание: допускается применение аналогичных средств поверки, обеспечиваю
щих определение метрологических характеристик, поверяемых СИ с требуемой точностью.
-
2.2 Критические сопла должны иметь действующий сертификат калибровки.
-
2.3 Средства измерений должны быть поверены и иметь действующие свидетельства о поверке (аттестаты).
К проведению поверки допускаются лица аккредитованные на право проведения поверки данного вида средств измерений, ознакомленные с эксплуатационной документацией на установку для поверки счетчиков газа и применяемые средства поверки.
4 ТРЕБОВАНИЯ БЕЗОПАСНОСТИ-
3.1 При проведении поверки соблюдают требования безопасности, определяемые:
-
- правилами безопасности, изложенными в технической документации установки, -технической документации средств измерений и оборудования, используемых для поверки;
-
- правилами безопасности, изложенными в документах на методики поверки средств измерений, входящих в состав установки;
-
- "Правилами технической эксплуатации электроустановок";
-
3.2 Доступ к средствам измерений, оборудованию и элементам установки должен быть свободным.
При проведении поверки должны выполняться следующие условия:
20 ±5; от 10 до 80; от 84 до 106,7.
(220/380)-1’5%.
-
- температура окружающей среды, °C
-
- относительная влажность воздуха, %
-
- атмосферное давление, кПа
-
- напряжение питания от сети переменного тока частотой (50±1) Гц, В
Перед проведением поверки проводят следующие подготовительные работы:
-
- проверяют наличие технической и эксплуатационной документации на установку;
-
- выполняют организационные и технические мероприятия по технике безопасности;
-
- проверяют герметичность установки.
При внешнем осмотре проверяют:
-
- соответствие установки эксплуатационной документации;
-
- комплектность установки;
-
- соответствие внешнего вида и комплектности СИ, входящих в состав установки, требованиям распространяющейся на них технической и эксплуатационной документации;
-
- соответствие рабочих условий эксплуатации установки требованиям технической документации на установку;
-
- наличие сертификата калибровки критических сопел.
Установку считают выдержавшей проверку, если выполнены указанные выше требования.
7.2 Проверка герметичностиПроверку герметичности проводят путем перекрытия входного патрубка измерительных линий установки, сопловых блоков и создания в них разрежения воздуха 1,0-1,5 кПа (10-15 мбар). После создания необходимого разрежения выжидают 1-3 минуты для завершения температурных переходных процессов (стабилизации давления). Процесс проверки герметичности длится не менее 2 минут. При этом допустимая скорость утечки воздуха при проверке диафрагменных счетчиков из замкнутого объема установки не должна превышать величины, определяемой по формуле
Ql< 0,003 QMHH.,(1)
где Qmhh. - наименьшее значение расхода у поверяемого счетчика, л/ч.
Значение утечки контролируется на экране монитора персонального компьютера в меню проверки герметичности.
-
7.3 Опробование
При опробовании установки проверяют исправность и правильность функционирования отдельных элементов (средств измерений, оборудования, блоков и т.д.) и установки в целом.
Режимы работы:
-
- автоматическое управление с помощью компьютера
-
- ручное управление оператором.
Контроль работы приборов, входящих в установку (при работе установки наблюдается изменение показаний на преобразователях давления, на дифференциальных преобразователях давления, на преобразователях температуры, влажности, атмосферного давления, счетчиках импульсов, времени поверки).
Контроль работы установки в целом.
Работа установки в аварийных режимах, (при работе установки по тест-программе проверки счетчиков газа закрывают кран на входе в испытательную линию. При этом должна сработать защита от перегрузки датчиков давления путем открытия блока критических сопел.)
7.3.2 Проверка идентификации программного обеспеченияПри проверке программного обеспечения определяют:
-
- наименование программного обеспечения (ПО);
-
- номер версии ПО;
-
- цифровой идентификатор ПО (контрольную сумму исполняемого кода).
Наименование и номер версии ПО определяются при включении установки. Информация отображается в верхней строке.
Цифровой идентификатор ПО определяют следующим образом:
-
1) запускают программу md5, находящуюся на рабочем столе компьютера установки;
-
2) в открывшемся окне программы нажимают кнопку "открыть", указывают путь к исполняемому коду QX_Meter_Start (Computer/OS(C:)/QX/QX_Meter_Start.exe) и нажимают кнопку „OPEN”;
-
3) сравнивают полученные значения в поле Хеш-функции md5 с необходимой суммой.
Результаты по данному пункту методики считаются положительными, если:
-
- наименование версии - QX Meter;
-
- номер версии не ниже - 6.ХХ;
-
- цифровой идентификатор 8b05140e02bf98001981ad89072a9e62.
-
7.4 Определение метрологических характеристик
Устанавливают последовательно в термостат каждый преобразователь температуры и эталонный термометр. Задают последовательно температуру для преобразователей температуры на измерительных линиях (15 ± 1) °C, (20 ± 1) °C и (25 ± 1) °C. Проводят измерение температуры эталонным термометром и температурным каналом установки (показания преобразователя температуры установки снимают с экрана компьютера).
Вычисляют абсолютную погрешность по формуле:
Дт — tn ~ ts, (2)
где Дт - абсолютная погрешность канала температуры, °C;
tH - температура, измеренная каналом установки, °C;
t3 - температура, измеренная эталонным термометром, °C.
Результаты поверки по данному параметру считают положительными, если погрешность по каждому каналу измерений температуры не превышает ±0,1 °C.
7.4.2 Определение абсолютной погрешности установки по каналам измерений давленияПерекрывают входной кран на измерительной линии. В ручном режиме открывают клапан, соединяющий сопловой блок и измерительную линию. К штуцеру на фильтре подсоединяют эталонный калибратор давления DRUCK DPI 605. На калибраторе задают значения давления, необходимые для проверки преобразователей Pd 0.1, Pd 1.1 (3 равномерно расположенные точки рабочего диапазона преобразователей: (минус 1,5±0,2, минус 1,0±0,2, минус 0,5±0,2) кПа (минус 15±2, минус 10±2, минус 5±2) мбар). Сравнивают показания калибратора с показаниями установки.
Вычисляют абсолютную погрешность APi по формуле:
^Pi=Pu~p3, (3)
где Ри - значение давления, измеренное преобразователем давления, кПа; Рэ - значение давления, измеренное эталонным средством, кПа.
Сравнивают показания барометрического давления на установке с показаниями барометрического давления на эталонном средстве. Вычисляют абсолютную погрешность по формуле (3).
Проверяют U-образные манометры, контролирующие перепад давления на поверяемых счетчиках в 3-х равномерно расположенных точках рабочего диапазона U-образного манометра (с погрешностью задания давления ±0,02 кПа (±0,2 мбар)). Вычисляют абсолютную погрешность измерений по формуле (1).
Результаты поверки по данному параметру считают положительными, если значения абсолютной погрешности измерений давления находятся в пределах:
-
- для преобразователей давления, контролирующих давление в сопловом блоке (Pd 01) ±0,03 кПа (±0,3 мбар);
-
- для преобразователей давления контролирующих давление на измерительных линиях (Pd 1.1) ±0,03 кПа (±0,3 мбар);
-
- для преобразователя атмосферного давления ±1 кПа (±10 мбар);
-
- для U-образных манометров ±0,02 кПа (±0,2 мбар).
Определение погрешности установки по каналу измерений относительной влажности проводят путем сравнения показаний, полученных с эталонного прибора, и показаний с прибора, используемого на установке. Приборы должны находиться на максимально близком расстоянии друг от друга.
Абсолютную погрешность определяют в 3 равномерно расположенных точках рабочего диапазона по формуле:
АН=Нуст-Нэт, (4)
где Нуст- значение относительной влажности, измеренное установкой, %;
Нэт - значение относительной влажности, измеренное эталонным средством, %. Результаты поверки по данному параметру считаются положительными, если значения абсолютной погрешности измерений относительной влажности не превышают ± 10 %.
7.4.4 Определение относительной погрешности установки по каналу счета времениОпределение погрешности счета времени проводят следующим образом:
-
- запускают программу поверки счетчиков
-
- измеряют секундомером время прохождения 4000 импульсов на расходе 6 м3/ч. Определяют погрешность канала измерения времени по формуле:
(fr-fc)-lOO %
(5)
где ty - время измерения импульсов, отображенное на мониторе ПЭВМ, с;
tc - время измеренное секундомером, с.
Результаты поверки по данному параметру считают положительными, если значения погрешности счета времени находятся в пределах ±0,03 %.
7.4.5 Оценка относительной погрешности установки.Результат поверки считается положительным, если погрешности измерительных каналов не выходят за заданные пределы. При этом относительная погрешность установки не превышает ± 0,3 %.
Относительная погрешность установки с доверительной вероятностью 0,95 вычисляют по формуле

(6)
где
8Qd - относительная погрешность сопла (относительная расширенная неопределенность калибровки определяется по сертификату о калибровки на критические сопла), %;
бРо- относительная погрешность преобразователей давления, контролирующих давление на сопловом блоке, определяется по формуле:

где Ратм - значение атмосферного давления, кПа (мбар);
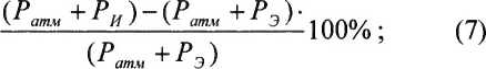
5Рр - относительная погрешность преобразователей давления, контролирующих дав ление на линии поверяемых (испытуемых) счётчиков, определяется по формуле (6);
6Td - относительная погрешность преобразователей температуры, контролирующих измерение температуры воздуха на критических соплах определяется по формуле:
§ = (273,15 + ) - (273,15 + Гэ) ■ 100 %.
(273,15+ ГЭ)
бТр - относительная погрешность преобразователей температуры, контролирующих измерение температуры воздуха на линии поверяемых (испытуемых) счётчиков, определяется по формуле (7);
бс - относительная погрешность установки по каналу счета времени, определяется по формуле (5).
8 ОФОРМЛЕНИЕ РЕЗУЛЬТАТОВ ПОВЕРКИ-
8.1 Положительные результаты поверки установки удостоверяются записью в паспорте, заверяемой подписью поверителя и знаком поверки и свидетельством о поверке в соответствии с Приказом Минпромторга № 1815 от 02.07.2015.
-
8.3 При отрицательных результатах поверки установка считается непригодной к применению, выписывается извещение о непригодности .
