Методика поверки «ГСИ. Барьеры искрозащиты MIB-200 Eх» (НА.ГНМЦ.0148-17 МП)
УТВЕРЖДАЮ
ектор ОП ГНМЦ
теа вто м этика"
7 г.
|
к. \ «л* Д--/ |
М.С. Немиров
ИНСТРУКЦИЯ
Государственная система обеспечения единства измерений
Барьеры искрозащиты MIB-200 Ех
Методика поверки
НА.ГНМЦ.0148-17МП
Казань
2017
РАЗРАБОТАНА
ИСПОЛНИТЕЛИ:
Обособленным подразделением Головной научный метрологический центр АО «Нефтеавтоматика» в г. Казань (ОП ГНМЦ АО «Нефтеавтоматика») Аттестат аккредитации RA.RU.311366 выдан 09.10.2015 г.
Тропынин В.А.,
Житейцев Е.Р.
Настоящая инструкция не может быть полностью или частично воспроизведена, тиражирована и (или) распространена без разрешения АО «Нефтеавтоматика».
Настоящая методика поверки распространяется на барьеры искрозащиты MIB-200 Ех (далее - барьеры) и устанавливает методику их первичной и периодической поверки на следующие исполнения:
-Барьер искрозащиты MIB-212 Ех, имеющий 2 аналоговых входных канала
-
4..20 (0..20) мА с поддержкой протокола HART;
-
- Барьер искрозащиты MIB-222 Ех, имеющий 2 аналоговых выходных канала
-
4..20 (0..20) мА с поддержкой протокола HART;
-
- Барьер искрозащиты MIB-232 Ех, имеющий 2 аналоговых входных канала
-
4..20 (0..20) мА;
-Барьер искрозащиты MIB-242 Ех, имеющий 2 аналоговых выходных канала
-
4..20 (0..20) мА;
-
- Барьер искрозащиты MIB-252 Ех, имеющий 2 входных канала для сигналов от термопар и термопреобразователей сопротивления.
Межповерочный интервал - 2 года.
1 Операции поверкиПри проведении поверки выполняют следующие операции:
-
1.1 Внешний осмотр (п.п. 6.1);
-
1.2 Опробование (п.п. 6.2);
-
1.3 Подтверждение соответствия программного обеспечения (п.п. 6.3);
-
1.4 Определение метрологических характеристик (п.п. 6.4).
-
2.1 Калибратор давления DPI 620 (регистрационный номер в Федеральном информационном фонде 16347-09).
2.2.Барометр-анероид метеорологический БАММ-1 (Госреестр № 5738-76).
2.3 Гигрометр психрометрический ВИТ-1 (Госреестр № 9364-04).
-
2.4 Допускается применять для испытания оборудование и приборы, не указанные в настоящем перечне, но обеспечивающие проверку изделий на соответствие требованиям технических условий.
При проведении поверки соблюдают требования, установленные:
-
- в области охраны труда и промышленной безопасности: Трудовой Кодекс РФ, «Правила безопасности в нефтяной и газовой промышленности», утверждены приказом Ростехнадзора от 12.03.2013г. № 101;
-
- в области пожарной безопасности: «Правила противопожарного режима в Российской Федерации», утверждены постановлением Правительства РФ от 25.04.2012 №390;
-
- в области соблюдения безопасной эксплуатации электроустановок: «Правила технической эксплуатации электроустановок потребителей», «Правила устройства электроустановок», утвержденные приказом Минтруда России от 24.07.2013 г. № 328Н;
-
- в области охраны окружающей среды: Федеральным законом «Об охране окружающей среды» от 10.01.2002 г. № 7-ФЗ.
4 Условия поверки
4.1 При проведении поверки соблюдают следующие условия:
|
от +15 до +25; от 50 до 80; от 96 до 104. |
-
5.1 Перед началом поверки следует изучить:
-
- руководство по эксплуатации барьеров;
-
- руководства по эксплуатации средств поверки и других технических средств, используемых при поверке;
-
- настоящую методику поверки.
-
5.2 Перед проведением поверки, средства поверки и вспомогательное оборудование должны быть подготовлены к работе в соответствии с указаниями эксплуатационной документации.
-
6.1 Внешний осмотр.
-
6.1.1 Внешний вид барьера проверяется визуальным осмотром на отсутствие вмятин, трещин, различных механических повреждений корпуса и присоединительных клемм.
-
6.1.2 Убедиться, что надписи и обозначения на барьере не имеют нарушений.
-
6.1.3 Результаты внешнего осмотра считаются положительными, если при поверке подтверждается соответствие барьера указанным требованиям.
-
6.2 Опробование
-
6.2.1 При опробовании барьера подают сигнал силы постоянного тока со значением, равным 70% верхнего предела диапазона, на измерительный канал. Убедиться в том, что на калибраторе при этом изменяется измеренное калибратором значение тока.
-
6.3 Подтверждение соответствия программного обеспечения.
-
6.3.1 Идентификация встроенного ПО Барьера искрозащиты MIB-252 Ех осуществляется путем проверки в левой нижней части основного экрана диагностического ПО «Конфигуратор MIB-200». Строка «Номер версии (идентификационный номер) ПО» содержит номер версии, а строка «Цифровой идентификатор ПО» - контрольную сумму встроенного ПО барьера.
-
6.3.2 Если номер версии и контрольная сумма, указанные в описании типа барьеров и полученные в ходе выполнения п.6.3.1, идентичны, то делают вывод о подтверждении соответствия встроенного ПО программному обеспечению, зафиксированному во время проведения испытаний в целях утверждения типа, в противном случае результаты поверки признают отрицательными.
-
6.4 Определение метрологических характеристик.
-
6.4.1 Проверку аналоговых входов (выходов) проводят для Барьера искрозащиты MIB-212, Барьера искрозащиты MIB-222, Барьера искрозащиты MIB-232, Барьера искрозащиты MIB-242.
-
6.4.1.1 Подключить ко входу модуля калибратор многофункциональный DPI-620, в режиме воспроизведения (измерения) силы постоянного тока.
-
6.4.1.2 Задают при помощи калибратора токовый сигнал в диапазоне от 4 до 20 мА (от 0 до 20 мА) с шагом 4 мА.
-
6.4.1.3 Наблюдают измеренное значение при помощи калибратора.
-
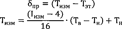
6.4.1.4 Вычисляют основную приведенную погрешность измерения бпр,%, по формуле (1), приведенную к величине диапазона 16 мА (20 мА):

(1)
где
/изм-измеренное значение тока; /ЭП7-значение тока, воспроизведенное калибратором;
/в-верхний предел диапазона измерения тока; /н-нижний предел диапазона измерения тока.
-
6.4.1.5 Повторяют операции по п. 6.4.1.2 - 6.4.1.4 для остальных значений силы тока.
-
6.4.1.6 Повторяют операции по п. 6.4.1.1 - 6.4.1.5 для всех оставшихся измерительных каналов модуля.
-
6.4.1.7 Результаты поверки считаются положительными, если пределы основной приведенной погрешности каждого измерительного канала в каждой проверяемой точке диапазона измерений силы постоянного тока не превышают предельно допустимых значений, приведенных в приложении А.
-
6.4.2 Проверка входных каналов Барьера искрозащиты MIB-252. Проверка проводится с помощью персонального компьютера с установленным ПО «Конфигуратор MIB-200», которое позволяет вручную задавать тип датчика, режим подключения и диапазон температуры термопар/ термопреобразователей сопротивления.
-
6.4.2.1 Сконфигурировать изделие для измерения термопар/ термопреобразователей сопротивления по трех-либо четырехпроводной схеме.
-
6.4.2.2 Подключить калибратор с возможностью генерации сигналов термопар/ термопреобразователей сопротивления.
-
6.4.2.3 Калибратором сгенерировать сигнал термопар/ термопреобразователей сопротивления, последовательно устанавливая значения температуры в полном диапазоне выбранного типа термопар/ термопреобразователей сопротивления.
-
6.4.2.4 Измерить выходной ток изделия, определить измеренное значение температуры.
-
6.4.2.5 Вычислить погрешность измерения по формулам (2), (3).

где
Тизм - измеренное значение температуры;
1ИЗМ - измеренное значение силы постоянного тока;
Тэт - значение температуры, воспроизведенное калибратором; Тв - верхний предел диапазона измерения температуры;
Тн - нижний предел диапазона измерения температуры.
-
6.4.2.6 Повторяют операции по п. 6.4.2.3 - 6.4.2.5 для всех оставшихся типов термопар/ термопреобразователей сопротивления барьера.
-
6.4.2.7 Результаты поверки считаются положительными, если пределы основной приведенной погрешности каждого измерительного канала в каждой проверяемой точке диапазона измерений силы постоянного тока не превышают предельно допустимых значений, приведенных в приложении А.
-
6.4.2.8 Сконфигурировать изделие для проверки возможности аналоговых входов по приему сигналов от устройств с выходным сигналом напряжения постоянного тока в диапазоне от минус 10 до плюс 100 мВ по двухпроводной схеме.
-
6.4.2.9 Подключить калибратор с режиме воспроизведение напряжения постоянного тока.
-
6.4.2.10 На калибраторе последовательно установить значения напряжения постоянного тока, соответствующие 0, 25, 50, 75, 100 % от полного диапазона измерения.
-
6.4.2.11 Измерить выходной ток изделия, определить измеренное значение напряжения.
-
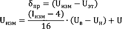
6.4.2.12 Вычислить погрешность измерения по формулам (4), (5).

где
иИЗм - измеренное значение температуры;
1ИЗМ - измеренное значение силы постоянного тока;
иэт - значение температуры, воспроизведенное калибратором; UB - верхний предел диапазона измерения температуры;
UH - нижний предел диапазона измерения температуры.
-
6.4.2.13 Результаты поверки считаются положительными, если пределы основной приведенной погрешности каждого измерительного канала в каждой проверяемой точке диапазона измерений силы постоянного тока не превышают предельно допустимых значений, приведенных в приложении А.
-
6.4.2.14 Сконфигурировать изделие для проверки функции измерения сопротивления в диапазоне от 0 до 3000 Ом по трех- и четырехпроводной схеме.
-
6.4.2.15 Подключить калибратор с режиме воспроизведение сопротивления.
-
6.4.2.16 На калибраторе последовательно установить значения сопротивления, соответствующие 0, 25, 50, 75, 100 % от полного диапазона измерения.
-
6.4.2.17 Измерить выходной ток изделия, определить измеренное значение сопротивления.
-
6.4.2.18 Вычислить погрешность измерения по формулам (6), (7).
^пр — О^изм — ^эт) (6)
Инам = ' (R„ - RH) + Rk <7)
где
RH3M - измеренное значение температуры;
1ИЗМ - измеренное значение силы постоянного тока;
R3T - значение температуры, воспроизведенное калибратором;
RB - верхний предел диапазона измерения температуры; RH - нижний предел диапазона измерения температуры.
-
6.4.2.19 Результаты поверки считаются положительными, если пределы основной приведенной погрешности каждого измерительного канала в каждой проверяемой точке диапазона измерений силы постоянного тока не превышают предельно допустимых значений, приведенных в приложении А.
-
7.1 При положительных результатах поверки оформляют свидетельство о поверке барьера в соответствии с требованиями Порядка проведения поверки средств измерений, утвержденного приказом Минпромторга №1815 от 02.07.2015г.
-
7.2 При отрицательных результатах поверки барьер к эксплуатации не допускают, свидетельство о поверке аннулируют и выдают извещение о непригодности в соответствии с Порядком проведения поверки средств измерений, утвержденного приказом Минпромторга №1815 от 02.07.2015 г.
Приложение А
Таблица 1 - Основные метрологические характеристики измерительных модулей Ml В-200 Ех
|
Тип барьера |
Наименование характеристики |
Значение | |||
|
Ml В-212 Ех |
Входной аналоговый канал измерения тока, мА |
от 4 до 20 (от 0 до 20) | |||
|
Выходной аналоговый канал воспроизведения тока, мА |
от 4 до 20 (от 0 до 20) | ||||
|
Пределы допускаемой основной приведенной погрешности преобразования |
±0,1 % | ||||
|
Ml В-222 Ех |
Входной аналоговый канал измерения тока, мА |
от 4 до 20 (от 0 до 20) | |||
|
Выходной аналоговый канал воспроизведения тока, мА |
от 4 до 20 (от 0 до 20) | ||||
|
Пределы допускаемой основной приведенной погрешности преобразования |
±0,1 % | ||||
|
MIB-232 Ех |
Входной аналоговый канал измерения тока, мА |
от 4 до 20 (от 0 до 20) | |||
|
Выходной аналоговый канал воспроизведения тока, мА |
от 4 до 20 (от 0 до 20) | ||||
|
Пределы допускаемой основной приведенной погрешности преобразования |
±0,1 % | ||||
|
Ml В-242 Ех |
Входной аналоговый канал измерения тока, мА |
от 4 до 20 (от 0 до 20) | |||
|
Выходной аналоговый канал воспроизведения тока, мА |
от 4 до 20 (от 0 до 20) | ||||
|
Пределы допускаемой основной приведенной погрешности преобразования |
±0,1 % | ||||
|
MIB-252 Ех |
Диапазон выходного сигнала, мА |
от 4 до 20 (от 0 до 20) | |||
|
Входной канал измерений температуры, °C |
Тип термодатчика |
Диапазон измерений/воспроизведения |
Погрешность измерений | ||
|
основная |
дополнительная | ||||
|
В |
+600...+1800 |
±2 |
0,6 | ||
|
Е |
-200... + 1000 |
± 1 |
0,3 | ||
|
J |
-200... + 1200 |
± 1 |
0,3 | ||
|
К |
-200... + 1300 |
± 1 |
0,3 | ||
|
L (IEC 584-1) |
-200...+ 900 |
± 1 |
0,3 | ||
|
N |
-200... + 1300 |
± 1 |
0,3 | ||
|
Т |
-200...+ 400 |
± 1 |
0,3 | ||
|
R |
0...+ 1700 |
±2 |
0,6 | ||
|
S |
0...+ 1700 |
±2 |
0,6 | ||
|
Pt1OO |
-200...+ 850 |
±0,6 |
0,04 | ||
|
Pt50 |
-200...+ 850 |
± 1 |
0,06 | ||
|
PtIOOO |
-200... + 850 |
±0,6 |
0,04 | ||
|
СиЮОМ |
-200...+ 200 |
±0,6 |
0,04 | ||
|
Си100 |
-200...+ 260 |
±0,6 |
0,04 | ||
|
Входной канал измерения напряжения, мВ |
-10...+ 100 |
±25*10'3 |
8*10'3 | ||
|
Входной канал измерения сопротивления, Ом |
0...3000 |
±3 |
0,1 | ||
Страница 8 из 8
