Методика поверки «Машины координатные измерительные MMZ G 30/100/25 фирмы Carl Zeiss Industrielle Messtechnik GmbH, Германия G» (МП №203-44-2017)
ФГУП «ВСЕРОССИЙСКИЙ НАУЧНО-ИССЛЕДОВАТЕЛЬСКИЙ ИНСТИТУТ МЕТРОЛОГИЧЕСКОЙ СЛУЖБЫ»
ФГУП «вниимс»
УТВЕРЖДАЮ Заместитель директора По производственной метрологии ФГУП «ВНИИМС»

.В. Иванникова
"03" мая 2017 г.
W* ■
■, < С'=
UJ
Машины координатные измерительные
MMZ G 30/100/25фирмы Carl Zeiss Industrielle Messtechnik GmbH, Германия
МЕТОДИКА ПОВЕРКИ МП №203-44-2017МОСКВА, 2017
Настоящая рекомендация распространяется на машины координатные измерительные MMZ G 30/100/25 (далее по тексту КИМ) с системой ЧПУ и устанавливает методику их первичной и периодической поверок.
Основной целью поверки КИМ является определение соответствия КИМ параметрам перечисленным в таблице 1.
Значения погрешностей измерений при решении на КИМ других метрологических задач не регламентируются в нормативной и технической документации, их определение требует дополнительных исследований по специальным методикам.
Интервал между поверками -1 год.
1. ОПЕРАЦИИ И СРЕДСТВА ПОВЕРКИ1.1. При проведении поверки должны быть выполнены операции и применены средства поверки, указанные в таблице 1.
Таблица 1
Наименование операции |
Номер пункта методики поверки |
Средства поверки |
Проведение операции при | |
первичной поверке |
периодической поверке | |||
Внешний осмотр |
6.1 |
Визуально |
Да |
Да |
Опробование |
6.2 |
Визуально |
Да |
Да |
Идентификация программного обеспечения |
6.3 |
Да |
Да | |
Проверка допускаемой абсолютной погрешности измери тельной головки, мкм МРЕр |
6.4 |
Керамическая сфера из комплекта мер для поверки систем томографических General Electric диаметр 20-30 мм, (регистрационный номер в Федеральном информационном фонде №54705-13) |
Да |
Да |
Проверка допускаемой абсолютной объемной погрешности (Ь=длина в мм), мкм МРЕе |
6.5 |
Плоскопараллельные концевые меры длины, аттестованные по 3-му разряду по ГОСТ Р 8.763-2011 |
Да |
Да |
Примечание'. Допускается применение средств, не приведенных в перечне, но обеспечивающих определение (контроль) метрологических характеристик поверяемых средств измерений с требуемой точностью.
2. ТРЕБОВАНИЯ БЕЗОПАСНОСТИПри проведении поверки соблюдают следующие требования безопасности, а также требования, изложенные в документации на поверяемые КИМ.
-
2.1. Электронная аппаратура в части требований безопасности должна соответствовать ГОСТ 22261-94 и ГОСТ 12.2.0070-75.
-
2.2. Электронная аппаратура КИМ и поверочного оборудования должны быть заземлены и перед ними на полу должны лежать резиновые коврики, во время поверки кожухи электронной аппаратуры должны быть закрыты.
-
2.3. До включения в сеть электронной аппаратуры должны быть подключены необходимые электрические кабели. Запрещается во время поверки отсоединять их, а также производить замену предохранителей.
-
2.4. Установленные предохранители должны соответствовать маркировке на панелях.
-
2.5. Запрещается вскрывать и переставлять составные части КИМ и поверочного оборудования при включенных в сеть кабелях питания.
При проведении поверки КИМ соблюдают следующие условия:
-
• - температура окружающей среды °C. 20±2,
-
• - допускаемое изменение температуры
во время измерений °С/ч ± 1 °С/ч; 2 °С/д; 0,5 °С/м
не допускается прямое попадание солнца, близкое расположение источников тепла
-
• относительная влажность воздуха % от 40 до 70 без конденсата
внешние вибрации в соответствии с требованиями к условиям эксплуатации КИМ.
4. ТРЕБОВАНИЯ К КВАЛИФИКАЦИИ ПОВЕРИТЕЛЕЙК проведению поверки КИМ допускаются лица, изучившие эксплуатационные документы на них, имеющие достаточные знания и опыт работы с ними и аттестованные в качестве поверителя органом Государственной метрологической службы.
5. ПОДГОТОВКА К ПОВЕРКЕПеред проведением поверки выполняют следующие подготовительные работы:
-
• КИМ подготавливают к работе в соответствии с требованиями эксплуатационной документации,
-
• измерительные поверхности эталонных (образцовых) средств измерений: измерительных щупов, концевых мер длины, калибровочной сферы очищают от смазки, промывают авиационным бензином марки Б-70 по ГОСТ 1012-72 и спиртом ректификатом по ГОСТ 18300-72 и протирают чистой салфеткой,
эталонные (образцовые) средства выдерживают до начала измерений в помещении, где проводят поверку КИМ в течение 24 часов и 1 час в рабочем (измерительном) объеме КИМ.
6. ПРОВЕДЕНИЕ ПОВЕРКИ 6.1 Внешний осмотрПри внешнем осмотре по п. 6.1. (далее нумерация согласно таблице 1) устанавливают соответствие КИМ следующим требованиям:
-
• наружные поверхности КИМ не должны иметь дефектов, влияющих на ее эксплуатационные характеристики;
-
• на рабочих поверхностях КИМ не должно быть царапин, забоин и других дефектов, влияющих на плавность перемещений подвижных узлов КИМ;
-
• наконечники щупов не должны иметь сколов, царапин и других дефектов;
-
• маркировка и комплектность должны соответствовать требованиям технической документации.
Сначала проверяют взаимодействие частей на холостом ходу перемещением подвижных узлов на полные диапазоны. Перемещения должны плавными, без посторонних звуков, заеданий, рывков и скачков.
6.3 Идентификация программного обеспеченияПроверить идентификацию программного обеспечения (ПО) по следующей методике:
- произвести запуск ПО;
-проверить наименование программного обеспечения и определить его версию после загрузки ПО. Сведения о наименовании программного обеспечения и номере версии ПО представлены на экране в течение одной секунды после нажатия иконки программы на рабочем столе компьютера.
Приборы считаются поверенными, если их ПО «CALYPSO» версия 5х или ПО «СА-LIGO» версия 2х или «СММ-OS» версия 5х или «HOLOS» версия 2х.
6.4 Проверка допускаемой абсолютной погрешности измерительной головки, МРЕРСфера устанавливается на плите КИМ с помощью стойки. Проводятся 10 циклов измерений в автоматическом режиме. В каждом цикле производятся измерения поверхности сферы в 25 дискретных точках равномерно размещенных по полусфере на испытуемой сфере.
Рекомендуемая модель измерений включает:
-
- одну точку на вершине испытуемой сферы;
-
- четыре точки, (равномерно распределенных) на 22° ниже вершины (рис. 1);
-
- восемь точек (равномерно распределенных) на 45° ниже вершины и повернутых на 22,5° относительно предыдущей группы;
-
- четыре точки (равномерно расположенных) на 68° ниже вершины и повернутых на 22,5° относительно предшествующей группы.
-
- восемь точек (равномерно расположенных) на 90° ниже вершины, т.е. на диаметре и повернутых относительно предыдущей группы на 22,5°.
22.5'
22
Рисунок 1. Точки касания на сфере для определения допускаемой абсолютной погрешности измерительной головки, МРЕр
Погрешность определяется как сумма максимальных отклонений измеренного профиля в положительную и отрицательную области от средней сферы, рассчитанной по методу наименьших квадратов: Д„ = max(Z) . )±max(ZX ),
ог ' ,+ ' ' '-'’мм,где
Dj+ - отклонение точки i от средней сферы в положительную область,
Dj. - отклонение точки i от средней сферы в отрицательную область.
Погрешность ощупывающей головки не должна превышать значения, указанного в таблице 2.
Таблица 2
Пределы допускаемой абсолютной погрешности измерительной головки МРЕр, мкм
VAST Gold/ VAST XT Gold/ VAST XTR Gold ±3,6
VAST ХХТ/RDS
±4,2
При поверке используют меры длины концевые плоскопараллельные 3-го разряда по ГОСТ Р 8.763-2011 номиналом 50, 100, 200, 300, 400, 500, 1000 мм.
Концевые меры устанавливают в пространстве измерений КИМ вдоль линии измерений. При установке мер необходимо применять теплоизолирующие перчатки. Обязательно осуществляется компенсация погрешностей, связанных с отклонениями параметров окружающей среды отличающихся от нормальных. Производится сбор точек с измерительных поверхностей концевых мер и определяется их длина. Измерения проводят в семи различных положениях (рис.З), каждое измерение повторяется 3 раза - общее число измерений составляет не менее 105. Для диапазона измерений свыше 2000 мм рекомендуется проводить измерения вдоль осей в нескольких местах равномерно расположенных по длине оси, а для пространственных диагоналей рекомендуется проводить измерения впереди и сзади рабочего объема КИМ справа и слева в четырех угловых положениях. Измерения должны проводиться в автоматическом режиме.

Рисунок 3. Типичные положения, в которых производят измерения в пределах объема КИМ
Для меры номер j определяется действительное значение длины измеряемой меры, Ljjjki по формуле:
L№ki = Loj (1 + к, (t№i -1..)) 5 где
Loj - номинальная длина меры при температуре to=20,5°C, tj^ki - температура меры при проведении измерения номер i меры j в положении к, t0- температура, при которой аттестована КМД,
Kt- интегральный коэффициент теплового расширения КМД.
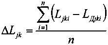
Далее для каждого измеряемого отрезка] в положении к вычисляется погрешность измерения длины, ALjk, по формуле:

мм, где
Ljk- погрешность измерения меры номер j в положении к, Ljki- измеренная на КИМ длина меры номер j в мм, Lffiki- действительная длина меры номер j с учетом температурной погрешности, i - номер измерения, j - номер меры, п - число измерений в положении к, к - номер положения.
По результатам измерений с использованием мер строится график пространственной погрешности измерений ALjk:
по оси абсцисс откладывается значение Loj в мм, по оси ординат - погрешность ALjk.
Строятся графики пространственной погрешности измерений КИМ, представляющие собой прямые линии, построенные по формуле:
AL = А + — , мкм, где I в)
А и В- заявленные значения постоянной и переменной части составляющих пространственной погрешности измерений для каждого типоразмера машины;
L - измеряемая длина, мм
Значения абсолютной погрешности объемных измерений не должны превышать значений, указанных в таблице 3.
Таблица 3
Пределы допускаемой абсолютной объемной погрешности МРЕе (Ь=длина в мм), мкм | |
VAST Gold/ VAST XT Gold/ VAST XTR Gold |
VAST ХХТ/ RDS |
±(3,6+L/375) |
±(4,2+L/325) |
-
7.1. При положительных результатах поверки оформляется свидетельство о поверке по форме приложения 1 Приказа Минпромторга России № 1815 от 02.07.15г.
-
7.2. При отрицательных результатах поверки оформляется извещение о непригодности по форме приложения 2 Приказа Минпромторга России № 1815 от 02.07.2015г.
Знак поверки в виде оттиска клейма поверителя наносится на свидетельство о поверке. Знак в виде голографической наклейки наносится на прибор или свидетельство о поверке.
Начальник отдела ФГУП «ВНИИМС» 2^-
— В.Г. Лысенко
7