Методика поверки «Система измерительная РСУ и ПАЗ блока гидроочистки бензина установки каталитического крекинга-2 (БГБ УКК-2) производства каталитического крекинга (ПКК) ООО «ЛУКОЙЛ-Нижегороднефтеоргсинтез» ИС БГБ УKK-2» (МП 2604/1-311229-2017)

Регистрационный номер записи в реестре аккредитованных лиц RA.RU.311229
«УТВЕРЖДАЮ»

Государственная система обеспечения единства измерений
Система измерительная РСУ и ПАЗ блока гидроочистки бензина установки каталитического крекинга-2 (БГБ УКК-2) производства каталитического крекинга (ПКК) ООО «ЛУКОЙЛ-Нижегороднефтеоргсинтез» ИС БГБ УКК-2
МЕТОДИКА ПОВЕРКИ
МП 2604/1-311229-2017
г. Казань
2017
СОДЕРЖАНИЕ
-
4 Требования техники безопасности и требования к квалификации поверителей 4
-
1.1 Настоящая методика поверки распространяется на систему измерительную РСУ и ПАЗ блока гидроочистки бензина установки каталитического крекинга-2 (БГБ УКК-2) производства каталитического крекинга (ПКК) ООО «ЛУКОЙЛ-Нижегороднефтеоргсинтез» ИС БГБ УКК-2 (далее - ИС), изготовленную и принадлежащую ООО «ЛУКОЙЛ-Нижегороднефтеоргсинтез», г. Кстово, и устанавливает методику первичной поверки до ввода в эксплуатацию и после ремонта, а также методику периодической поверки в процессе эксплуатации.
-
1.2 Допускается проведение поверки отдельных измерительных каналов (далее - ИК) из состава ИС в соответствии с заявлением владельца ИС с обязательным указанием в протоколе поверки информации об объеме проведенной поверки.
-
1.3 Интервал между поверками ИС - 2 года.
При проведении поверки должны быть выполнены операции, приведенные в таблице 2.1.
Таблица 2.1 - Операции поверки
|
№ п/п |
Наименование операции |
Номер пункта методики поверки |
|
1 |
Проверка технической документации |
7.1 |
|
2 |
Внешний осмотр |
7.2 |
|
3 |
Опробование |
7.3 |
|
4 |
Определение метрологических характеристик |
7.4 |
|
5 |
Оформление результатов поверки |
8 |
3 СРЕДСТВА ПОВЕРКИ
3.1 При проведении поверки ИС применяют эталоны и СИ, приведенные в таблице 3.1.
Таблица 3.1 - Основные эталоны и СИ
|
Номер пункта методики |
Наименование и тип основного и вспомогательного средства поверки и метрологические и основные технические характеристики средства поверки |
|
5 |
Барометр-анероид М-67 с пределами измерений от 610 до 790 мм рт.ст., погрешность измерений ±0,8 мм рт.ст., по ТУ 2504—1797-75 |
|
5 |
Психрометр аспирационный М34, пределы измерений влажности от 10 до 100 %, погрешность измерений ±5 % |
|
5 |
Термометр ртутный стеклянный ТЛ-4 (№ 2) с пределами измерений от 0 до плюс 55 °C по ГОСТ 28498-90. Цена деления шкалы 0,1 °C |
|
7.4 |
Калибратор многофункциональный MC5-R-IS (далее - калибратор): диапазон воспроизведения силы постоянного тока от 0 до 25 мА, пределы допускаемой основной погрешности воспроизведения ±(0,02 % показания + 1 мкА); воспроизведение сигналов термопреобразователей сопротивления Pt 100 в диапазоне температур от минус 200 до плюс 850 °C, пределы допускаемой основной погрешности воспроизведения в диапазоне температур от минус 200 до 0 °C ±0,1 °C, от 0 до плюс 850 °C ±(0,1 °C + 0,025 % показания); воспроизведение сигналов термопар ХА(К) в диапазоне температур от минус 270 до плюс 1372 °C, пределы допускаемой основной погрешности воспроизведения в диапазоне температур от минус 270 до минус 200 °C ±(4 мкВ ± 0,02 % показания мкВ), от минус 200 до 0 °C ±(0,1 °C + 0,1 % показания °C), от 0 до плюс 1000 °C |
|
Номер пункта методики |
Наименование и тип основного и вспомогательного средства поверки и метрологические и основные технические характеристики средства поверки |
|
±(0,1 °C + 0,02 % показания °C), от плюс 1000 до плюс 1372 °C ±(0,03 % показания °C); диапазон измерений силы постоянного тока от минус 100 до 100 мА, пределы допускаемой основной погрешности измерений ±(0,02 % показания +1,5 мкА) |
-
3.2 Допускается применение аналогичных средств поверки, обеспечивающих определение метрологических характеристик ИС с требуемой точностью.
-
3.3 Все применяемые эталоны должны быть аттестованы; СИ должны иметь действующий знак поверки и (или) свидетельство о поверке, и (или) запись в паспорте (формуляре) СИ, заверенной подписью поверителя и знаком поверки.
-
4.1 При проведении поверки должны соблюдаться следующие требования:
-
- корпуса применяемых СИ должны быть заземлены в соответствии с их эксплуатационной документацией;
-
- ко всем используемым СИ должен быть обеспечен свободный доступ для заземления, настройки и измерений;
-
- работы по соединению вспомогательных устройств должны выполняться до подключения к сети питания;
-
- обеспечивающие безопасность труда, производственную санитарию и охрану окружающей среды;
-
- предусмотренные «Правилами технической эксплуатации электроустановок потребителей» и эксплуатационной документацией оборудования, его компонентов и применяемых средств поверки.
-
4.2 К работе по поверке должны допускаться лица:
-
- достигшие 18-летнего возраста;
-
- прошедшие инструктаж по технике безопасности в установленном порядке;
-
- изучившие эксплуатационную документацию на ИС, СИ, входящие в состав ИС, и средства поверки.
При проведении поверки должны соблюдаться следующие условия:
-
- температура окружающего воздуха, °C 20±5
-
- относительная влажность, % от 30 до 80
-
- атмосферное давление, кПа от 84 до 106
Перед проведением поверки выполняют следующие подготовительные операции:
-
- визуально проверяют наличие заземления СИ, работающих под напряжением;
-
- эталонные СИ и ИС устанавливают в рабочее положение с соблюдением указаний эксплуатационной документации;
-
- эталонные СИ и ИС выдерживают при температуре, указанной в разделе 5, не менее трех часов, если время их выдержки не указано в эксплуатационной документации;
-
- осуществляют соединение и подготовку к проведению измерений эталонных СИ и ИС в соответствии с требованиями эксплуатационной документации.
-
7.1.1 При проведении проверки технической документации проверяют:
-
- наличие руководства по эксплуатации ИС;
-
- наличие паспорта (формуляра) ИС;
-
- наличие свидетельства о предыдущей поверке ИС (при периодической поверке).
-
7.1.2 Результаты проверки считают положительными при наличии всей технической документации по 7.1.1.
-
7.2.1 При проведении внешнего осмотра ИС:
-
- контролируют выполнение требований технической документации к монтажу ИС;
-
- устанавливают состав и комплектность ИС. Проверку выполняют на основании сведений, содержащихся в паспорте (формуляре) ИС.
-
7.2.2 Результаты проверки считают положительными, если монтаж, внешний вид и комплектность ИС соответствуют требованиям технической документации.
-
7.3 Опробование
-
7.3.1.1 Подлинность программного обеспечения (далее - ПО) ИС проверяют сравнением идентификационных данных ПО ИС с соответствующими идентификационными данными, зафиксированными при испытаниях в целях утверждения типа и отраженными в описании типа ИС. Проверку идентификационных данных ПО ИС проводят в соответствии с эксплуатационной документацией на ИС.
-
7.3.1.2 Проверяют возможность несанкционированного доступа к ПО ИС и наличие авторизации (введение пароля), возможность обхода авторизации, проверка реакции ПО ИС на неоднократный ввод неправильного пароля.
-
7.3.1.3 Результаты опробования считают положительными, если идентификационные данные ПО ИС совпадают с идентификационными данными, которые приведены в описании типа ИС, исключается возможность несанкционированного доступа к ПО ИС и обеспечивается авторизация.
-
7.3.2.1 Приводят ИС в рабочее состояние в соответствии с эксплуатационной документацией. Проверяют прохождение сигналов калибратора, имитирующих входные сигналы ИС.
-
7.3.2.2 Результаты проверки считают положительными, если при увеличении и уменьшении значения входного сигнала ИС соответствующим образом изменяются значения измеряемой величины на мониторе операторской станции управления.
Примечание - Допускается проводить проверку работоспособности ИС одновременно с определением метрологических характеристик по пункту 7.4 данной методики поверки.
7.4 Определение метрологических характеристик
7.4.1 Определение погрешности преобразования входного аналогового сигнала в значение измеряемого параметра-
7.4.1.1 Отключают первичный измерительный преобразователь (далее - ИП) ИК, в соответствии с инструкцией по эксплуатации подключают калибратор, установленный в режим имитации соответствующего электрического сигнала. В качестве реперных точек принимают не менее пяти точек, равномерно распределенных в пределах диапазона измерений (включая крайние точки).
-
7.4.1.2 Считывают значения входного сигнала с ИС и в каждой реперной точке рассчитывают погрешность преобразования аналогового входного сигнала в значение измеряемого параметра:
-
- приведенную увх, %, по формуле
7вх

^•100,
(1)
где Lm — значение тока, соответствующее показанию z-ой реперной точке, мА;
1ЭТ ~ показание калибратора в z-ой реперной точке, мА;
- абсолютную Двх , в абсолютных единицах измерений, по формуле
ИС

(2)
где X
изм
задаваемому
Хэт
значение измеряемого параметра, соответствующее аналоговому сигналу, в абсолютных единицах измерений или в процентах от диапазона измерений (считывают с ИС);
значение измеряемого параметра, заданное калибратором, в абсолютных единицах измерений или в процентах от шкалы.
-
7.4.1.3 Если показания ИС можно просмотреть только в единицах измеряемой величины, то при линейной функции преобразования значение тока 1юм, мА, рассчитывают по формуле
Т _ 16__zy _ у \ , Д
(3)
1изм у v изм ^min / ~ 5
■^max min
где Xmax - значение измеряемого параметра, соответствующее максимальному значению границы диапазона аналогового сигнала, в абсолютных единицах измерений или в процентах от шкалы;
Xmjn - значение измеряемого параметра, соответствующее минимальному значению границы диапазона аналогового сигнала, в абсолютных единицах измерений или в процентах от шкалы.
-
7.4.1.4 Результаты поверки по п. 7.4.1 считают положительными, если рассчитанная погрешность преобразования входного аналогового сигнала в значение измеряемого параметра не выходит за пределы, указанные в описании типа ИС.
-
7.4.2.1 Отключают управляемое устройство от ИК, в соответствии с инструкцией по эксплуатации подключают калибратор, установленный в режим измерения сигналов силы постоянного тока от 4 до 20 мА.
-
7.4.2.2 С операторской станции управления задают не менее пяти значений управляемого параметра. В качестве реперных точек принимают точки, соответствующие 0; 25; 50; 75; 100 % диапазона выходного аналогового сигнала силы постоянного тока от 4 до 20 мА.
-
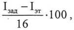
7.4.2.3 Считывают значения воспроизводимого аналогового сигнала с монитора калибратора и в каждой реперной точке рассчитывают основную приведенную погрешность ИК вывода аналоговых сигналов управления у вых, %, по формуле
7
ВЫХ

(4)
где ^зац ~ значение силы тока, соответствующее воспроизводимому аналоговому сигналу управления ИС в z-ой реперной точке, мА.
-
7.4.2.4 Если показания ИС нельзя просмотреть в мА, то при линейной функции преобразования значение силы тока 1^, мА, рассчитывают по формуле
16
зад
max min

(5)
где Хпах — значение воспроизводимого параметра, соответствующее максимальному значению границы диапазона аналогового сигнала силы постоянного тока от 4 до 20 мА, в абсолютных единицах измерений;
- значение воспроизводимого параметра, соответствующее минимальному значению границы диапазона аналогового сигнала силы постоянного тока от
4 до 20 мА, в абсолютных единицах измерений;
— значение воспроизводимого параметра, в единицах измеряемой величины. Считывают с монитора операторской станции управления.
-
7.4.2.5 Результаты поверки по п. 7.4.2 считают положительными, если рассчитанная приведенная погрешность ИК воспроизведения аналогового сигнала силы постоянного тока от 4 до 20 мА не выходит за пределы, указанные в описании типа ИС.
-
7.4.3.1 При наличии действующего знака поверки и (или) свидетельства о поверке, и (или) записи в паспорте (формуляре) первичного ИП, заверенной подписью поверителя и знаком поверки у первичных ИП ИК1 и положительных результатах поверки по Ошибка! Источник ссылки не найден, пределы основной погрешности ИК ИС не превышают пределов, указанных в описании типа ИС.
-
7.4.3.2 Результаты поверки считают положительными, если:
-
- есть действующие знак поверки и (или) свидетельство о поверке, и (или) записи в паспорте (формуляре) первичного ИП, заверенной подписью поверителя и знаком поверки у первичных ИП ИК и их погрешности не превышает значений, указанных в описании типа ИС;
-
- результаты поверки по 7.4.1 положительные.
-
8.1 При положительных результатах поверки оформляют свидетельство о поверке ИС в соответствии с приказом Министерства промышленности и торговли Российской Федерации от 2 июля 2015 г. № 1815 «Об утверждении Порядка проведения поверки средств измерений, требования к знаку поверки и содержанию свидетельства о поверке».
-
8.2 При положительных результатах поверки отдельных ИК из состава ИС оформляют свидетельство о поверке ИС в соответствии с утвержденным порядком с указанием информации об объеме проведенной поверки.
-
8.3 Отрицательные результаты поверки ИС оформляют в соответствии с приказом Министерства промышленности и торговли Российской Федерации от 2 июля 2015 г. № 1815 «Об утверждении Порядка проведения поверки средств измерений, требования к знаку поверки и содержанию свидетельства о поверке». При этом выписывается извещение о непригодности к применению ИС с указанием причин непригодности.
7 из 7
Погрешность первичного ИП не должна превышать значений, указанных в описании типа ИС.
