Методика поверки «ГСОЕИ. Датчики (измерительные преобразователи) давления типа "Метран"» (МИ 4212-012-2001)
ВСЕРОССИЙСКИЙ НАУЧНО-ИССЛЕДОВАТЕЛЬСКИЙ ИНСТИТУТ МЕТРОЛОГИЧЕСКОЙ СЛУЖБЫ (ВНИИМС)
ГОССТАНДАРТА РОССИИ

РЕКОМЕНДАЦИЯ
Государственная система обеспечения единства измерений
ДАТЧИКИ (ИЗМЕРИТЕЛЬНЫЕ ПРЕОБРАЗОВАТЕЛИ) ДАВЛЕНИЯ ТИПА «МЕТРАН»
МЕТОДИКА ПОВЕРКИ
МИ 4212-012-2001
2001
Настоящая рекомендация распространяется на датчики (измерительные преобразователи) давления типа «Метран», выпускаемые в соответствие с ГОСТ 22520-85 и по технической документации промышленной группы «МЕТРАН».
Датчики предназначены для непрерывного преобразования значений измеряемых величин давления абсолютного, давления избыточного, разрежения, давления-разрежения, разности давлений и других физических величин, определяемых по давлению или по разности давлений (например, уровень и плотность жидкости, расход жидкости, газа или пара) в выходной аналоговый сигнал постоянного тока (4...20), или (0...20), или (0...5) мА, или (и) в выходной цифровой сигнал в стандарте протоколов HART, или Foundation Fieldbus, или Profibus РА, или RS 232)485 или других коммуникационных цифровых протоколов.
Рекомендация устанавливает методику первичной и периодической поверок датчиков (измерительных преобразователей) давления типа «Метран» с пределами допускаемой основной погрешности от ± 0,05 до ± 1%.
1. ОПЕРАЦИИ ПОВЕРКИ
о
-
1.1.При проведении поверки выполняют следующие операции: -внешний осмотр -п.5.1;
-опробование -п.5.2;
-определение основной погрешности датчика -п.5.3;
-определение вариации выходного сигнала датчика -п. 5.4.
2. СРЕДСТВА ПОВЕРКИ
-
2.1. При проведении поверки применяют средства, указанные в табл.1.
Таблица 1
Наименование средства поверки |
Основные метрологические и технические характеристики средств поверки |
Манометр абсолютного давления МПА-15 |
Пределы допускаемой основной абсолютной погрешности: ±6,65 Па в диапазоне (0...20) кПа; ±13,3 Па в диапазоне (20... 133) кПа; пределы допускаемой основной погрешности ±0,01% от действительного значения измеряемого давления в диапазоне (133...400) кПа. |
Микроманометр МКМ-4 |
Класс точности 0,01. Диапазон измерений (0,1...4,0) кПа. |
Микроманометр МКВ-250 |
Пределы измерений (О...2,5) кПа; класс точности 0,01 и 0,02. |
Портативный калибратор давления (избыточного, вакуумметрического и разности давлений) ПКД-10 |
Пределы измерений (0,01... 100) кПа. Пределы допускаемой основной погрешности ±0,05% от измеряемого давления. |

Задатчик давления «Воздух-1600" |
Пределы воспроизведения избыточного давления от 20 Па до 16 кПа. Пределы допускаемой основной погрешности в диапазоне от 20 до 500 Па- ±0,1 Па; свыше 500 Па и до 16 кПа - ± 0,02% от задаваемого давления. В комплекте с блоком опорного давления (200, 300 и более Па) пределы воспроизведения разности давлений от 5 Па до 5 кПа; пределы допускаемой основной погрешности в диапазоне до 500 Па - ± 0,14 Па |
Задатчик давления «Воздух-1,6» |
Пределы воспроизведения избыточного давления от 1 до 160 кПа. Пределы допускаемой основной погрешности - ± 0,02%, ± 0,05% от задаваемого давления. |
Задатчик давления «Воздух - 2,5» |
Пределы воспроизведения избыточного давления от 2,5 до 250 кПа. Пределы допускаемой основной погрешности: ± 0,02 %, ± 0,05% от задаваемого давления. |
Задатчик давления «Воздух - 6,3» |
Пределы воспроизведения избыточного давления от 10 до 630 кПа. Пределы допускаемой основной погрешности: ±0,02%, ±0,05%. |
Задатчик вакуумметрического давления «Воздух - 0,4В» |
Пределы воспроизведения разрежения от минус 0,8 до минус 40 кПа. Пределы допускаемой основной абсолютной погрешности ± 0,08 Па в диапазоне измерений (0,8...4,0) кПа. Пределы допускаемой основной погрешности в диапазоне измерений (4...40) кПа: ± 0,02%, ± 0,05% от задаваемого давления. |
Манометр грузопоршневой МП-2,5 I и П разрядов; ГОСТ 8291-83 |
Пределы допускаемой основной погрешности: ±0,02%, ±0,05% от измеряемого давления в диапазоне измерений от 25 кПа до 0,25 МПа. |
Манометр грузопоршневой МП -6 I и П разрядов ; ГОСТ 8291-83 |
Пределы допускаемой основной погрешности: ±0,02%, ±0,05% от измеряемого давления в диапазоне измерений от 0,04 до 0,6 МПа. |
Манометр грузопоршневой МП-60 1иПразрядов; ГОСТ 8291-83 |
Пределы допускаемой основной погрешности: ±0,02%, ±0,05% от измеряемого давления в диапазоне измерений от 0,1 до 6 МПа. |
Манометр грузопоршневой МП-600 I и П разрядов ; ГОСТ 8291-83 |
Пределы допускаемой основной погрешности: ±0,02%, ±0,05% от измеряемого давления в диапазоне измерений от 1 до 60 МПа. |
Манометр грузопоршневой МП -2500 II разряда; ГОСТ 8291-83 |
Пределы допускаемой основной погрешности ± 0,05% от измеряемого давления в диапазоне измерений от 25 до 250 МПа. |

э

Манометр грузопоршневой МВП-2.5 ГОСТ 8291-83 |
Пределы измерений избыточного давления 0 -0,25 МПа; вакуумметрического давления (разрежения) 0 - 0,1 МПа. Пределы допускаемой основной погрешности: ±5 Па при давлении (избыточном или вакуумметрическом) в пределах 0-0,01 МПа и ± 0,05% от измеряемого значения при давлении свыше 0,01 МПа |
Задатчик вакуумметрического давления «Метран-503» |
Пределы воспроизведения разрежения от минус 0,6 до минус 60 кПа. Пределы допускаемой основной абсолютной погрешности ±0,6 Па в диапазоне измерений (0,6...4) кПа. Пределы допускаемой основной погрешности в диапазоне измерений (4...60) кПа - ±0,02% от задаваемого давления. |
Барометр М67 |
Пределы измерений (610...900) мм рт. ст.; погрешность измерений ± 0,8 мм рт. ст. |
Вакуумметр теплоэлектрический ВТБ-1 |
Пределы измерений (0,002... 750) мм рт. ст. |
Манометр для точных измерений МТИ |
Пределы измерений от 0,25 до 160 МПа. Класс точности 0,6. |
Вакуумметр для точных измерений ВТИ |
Пределы измерений (0...0Д) МПа. Класс точности 1. |
Термометр ртутный стеклянный лабораторный |
Пределы измерений (0... 55) °C. Цена деления шкалы 0,1°С. Пределы допускаемой погрешности ± 0,2°С. |
Образцовая катушка сопротивления Р331 |
Класс точности 0,01. Сопротивление 100 Ом |
Мера электрического сопротивления однозначная МС 3006 |
Класс точности 0,001. Сопротивление 1 Ом до 100 кОм |
Магазин сопротивлений Р 33, ГОСТ 23737-79 |
Класс точности 0,2. Сопротивление до 99999,9 Ом. |
Магазин сопротивлений Р4831. |
Класс точности 0,02/2-10?^ Сопротивление до 111111,1 Ом |
Вольтметр универсальный В7-54/3. ГОСТ 26104 |
Верхний предел измерений напряжения постоянного тока 200В. Предел допускаемой основной погрешности измерения напряжения постоянного тока ± 0,0015% от U+2 единицы младшего разряда, где U - значение измеряемого напряжения. Цена единицы младшего разряда 100 мкВ при измерении напряжения постоянного тока в пределах 2 В. |
Компаратор напряжения постоянного тока Р 3003 Ml |
Класс точности 0,001. Верхний предел измерений 2,121111В. |


Источник постоянного тока Б5-8 или Б5-45 |
Наибольшее значение напряжения на выходе 50 В. Допускаемое отклонение ± 0,5% от установленного значения напряжения. |
Модем HART/RS232 |
Преобразователь сигналов HART в сигналы интерфейса RS232 для связи датчика с персональным компьютером через его стандартный последовательный порт. |
Портативный HART-коммуникатор «Метран-650» или НС-275 фирмы Rosemount |
Устройство для связи с датчиком по цифровому каналу и для обмена данными по HART-прото колу. |
Персональный компьютер |
IBM PC с MS DOS 6.22. |
Модем на базе стандартного интерфейса RS 485 |
Устройство для связи с датчиком по цифровому протоколу на базе RS 485. |
Модем и (или) портативный коммуникатор на базе цифровых протоколов Foundation Fieldbus или Profibus РА |
Устройство для связи с датчиком с цифровым выходным сигналом в стандартах указанных протоколов. |
-
2.2. Допускается применять другие средства поверки, технические и метрологические характеристики которых не уступают указанным в табл. 1.
3. ТРЕБОВАНИЯ БЕЗОПАСНОСТИ
-
3.1. При проведении поверки соблюдают общие требования безопасности при работе с датчиками давления (см., например, ГОСТ 22520-85), а также требования по безопасности эксплуатации применяемых средств поверки, указанные в технической документации на эти средства.
4. УСЛОВИЯ ПОВЕРКИ И ПОДГОТОВКА К НЕЙ
-
4.1. При проведении поверки соблюдают следующие условия:
-
1. Температура окружающего воздуха (23 ± 2)°С.
-
2. Относительная влажность окружающего воздуха (30... 80)%.
-
3. Давление в помещении, где проводят поверку (далее - атмосферное давление), в пределах (84... 106,7) кПа или (630... 800) мм рт. ст.
-
4. Напряжение питания постоянного тока в пределах (12.. .42) В. Номинальное значение напряжения питания и требования к источнику питания - в соответствие с технической документацией на датчик. Отклонение напряжения питания от номинального значения не более ± 1%, если иное не указано в технической документации на датчик.
-
5. Сопротивление нагрузки при поверке датчиков:
-
- с аналоговым выходным сигналом(4...20) мА и (0...20) мА - 500±50 Ом
-
- с аналоговым выходным сигналом (0... 5) мА - 1200 ± 50 Ом;
с цифровым выходным сигналом - в соответствии с технической документацией на датчик.

-
6. Рабочая среда - воздух или нейтральный газ при поверке датчиков с верхними пределами измерений, не превышающими 2,5МПа, и жидкость при поверке датчиков с верхними пределами измерений более 2,5МПа. Допускается использовать жидкость при поверке датчиков с верхними пределами измерений от 0,4 до 2,5 МПа при условии тщательного заполнения жидкостью всей системы поверки.
Допускается использовать воздух или нейтральный газ при поверке датчиков с верхними пределами измерений более 2,5 МПа при условии соблюдения соответствующих правил безопасности.
-
7. Колебания давления окружающего воздуха, вибрация, тряска, удары, наклоны, магнитные поля (кроме земного) и другие воздействия, влияющие на работу и метрологические характеристики датчика, должны отсутствовать.
-
8. Импульсную линию, через которую подают измеряемое давление, допускается соединять с дополнительными сосудами, емкость каждого из которых не более 50 литров.
-
4.2. При поверке датчиков разности давлений с приемными камерами для подвода большего давления («плюсовая» камера) и меньшего давления («минусовая» камера) значение измеряемой величины (разности давлений) устанавливают, подавая соответствующее значение избыточного давления в «плюсовую» камеру датчика, при этом «минусовая» камера сообщается с атмосферой.
При поверке датчиков разности давлений с малыми пределами измерений для уменьшения влияния на результаты поверки не устраненных колебаний давления окружающего воздуха «минусовая» камера датчика может соединяться с камерой эталонного СИ, сообщающейся с атмосферой, если это предусмотрено в конструкции СИ. При поверке датчиков разности давлений в «минусовой» камере может поддерживаться постоянное опорное давление, создаваемое другим эталонным задатчиком или основным задатчиком измеряемой величины с дополнительным блоком опорного давления.
При поверке датчиков разрежения и датчиков давления-разрежения значение измеряемой величины допускается устанавливать, подавая с противоположной стороны чувствительного элемента датчика соответствующее значение избыточного давления, если это предусмотрено конструкцией датчика.
-
4.3. Перед проведением поверки датчиков выполняют следующие подготовительные работы:
-
- выдерживают датчик не менее Зч при температуре, указанной в п. 4.1, если иное не указано в технической документации на датчик;
-
- выдерживают датчик не менее 0,5ч при включенном питании;
-
- устанавливают датчик в рабочее положение с соблюдением указаний технической документации;
-
- проверяют на герметичность в соответствии с п.п. 4.3.1 - 4.3.4 систему, состоящую из соединительных линий для передачи давления, эталонных СИ и вспомогательных средств для задания и передачи измеряемой величины.
-
4.3.1. Проверку герметичности системы, предназначенной для поверки датчиков давления, разности давлений, разрежения с верхними пределами измерений менее 100 кПа и датчиков абсолютного давления с верхними пределами измерений более 250 кПа, проводят при значениях давления (разрежения), равных верхнему пределу измерений поверяемого датчика.
Проверку герметичности системы, предназначенной для поверки датчиков давления-разрежения, проводят при давлении, равном верхнему пределу измерений избыточного давления.
Проверку герметичности системы, предназначенной для поверки датчиков разрежения с верхним пределом измерений 100 кПа, проводят при разрежении, равном 0,9 - 0,95 значения атмосферного давления.
Проверку герметичности системы, предназначенной для поверки датчиков абсолютного давления с верхними пределами измерений 250 кПа и менее, проводят в соответствии с п.4.3.3.
-
4.3.2. При проверке герметичности системы, предназначенной для поверки датчиков, указанных в п. 4.3.1, устанавливают заведомо герметичный датчик или любое другое средство измерений с погрешностью измерений не более 2,5% от значений давления, соответствующих требованиям п.4.3.1, и позволяющее зафиксировать 0,5% изменение давления от заданного значения.
Создают в системе давление, установившееся значение которого соответствует требованиям п.4.3.1, после чего отключают источник давления. Если в качестве эталонного СИ применяют грузопоршневой манометр, то его колонку и пресс также отключают.
Систему считают герметичной, если после трехминутной выдержки под давлением, равным или близким верхнему пределу измерений датчика, не наблюдают падения давления (разрежения) в течение последующих 2 минут. При необходимости время выдержки под давлением может быть увеличено.
Допускается изменение давления (разрежения) в системе, обусловленное изменением температуры окружающего воздуха и рабочей среды в пределах ±(0,5...1)°С.
-
4.3.3. Проверку герметичности системы, предназначенной для поверки датчиков абсолютного давления с верхними пределами измерений 250 кПа и менее, проводят следующим образом.
Устанавливают в системе заведомо герметичный датчик или любое другое средство измерений абсолютного давления, отвечающее требованиям к СИ в соответствии с п.4.3.2. Создают в системе абсолютное давление не более 0,07 кПа и поддерживают его в течение 2-3 минут, после чего отключают устройство, создающее абсолютное давление, и эталонное СИ при необходимости (например, отключают колонки грузопоршневого манометра).
После 3 минут выдержки изменение давления не должно превышать 0,5% верхнего предела измерений поверяемого датчика.
Допускается поправка при изменении температуры окружающего воздуха и рабочей среды.
-
4.3.4. Проверку герметичности системы рекомендуется проводить при давлении (разрежении), соответствующем наибольшему давлению (разрежению) из ряда верхних пределов измерений поверяемых датчиков.
5. ПРОВЕДЕНИЕ ПОВЕРКИ
-
5.1. Внешний осмотр
При внешнем осмотре датчика устанавливают:
-
- соответствие его внешнего вида технической документации и отсутствие видимых дефектов;
-
- наличие клеммных колодок и (или) разъемов для внешних соединений, устройства для регулировки «нуля», клемм контроля выходного сигнала и др.;
-
- наличие дополнительных выходных устройств - электрических аналоговых или цифровых индикаторов и (или) других устройств, предусмотренных технической документацией на датчик;
-
- наличие на корпусе датчика таблички с маркировкой, соответствующей паспорту или документу, его заменяющему;
-
- наличие РЭ, если это предусмотрено при поверке датчика, паспорта или документа, его заменяющего.
-
5.2. Опробование
-
5.2.1. При опробовании проверяют герметичность и работоспособность датчика, функционирование устройства корректора «нуля».
-
5.2.2. Работоспособность датчика проверяют, изменяя измеряемую величину от нижнего до верхнего предельных значений. При этом должно наблюдаться изменение выходного сигнала и индикации на дополнительных выходных устройствах датчика. Работоспособность датчиков давления-разрежения проверяют только при избыточном давлении; работоспособность датчиков разрежения с верхним пределом измерений 100 кПа проверяют при изменении разрежения до значения 0,9 атмосферного давления (не менее).
-
5.2.3. Проверку функционирования устройства корректора «нуля» выполняют следующим образом. Задав одно (любое) значение измеряемой величины в пределах, оговоренных руководством по эксплуатации, корректором «нуля» возвращают выходной сигнал (показания индикатора) к первоначальному значению. Затем сбрасывают измеряемую величину и при атмосферном давлении на входе в датчик корректором «нуля» вновь устанавливают выходной сигнал (показания индикатора) в соответствие с исходными значениями.
-
5.2.4. Проверку герметичности датчика рекомендуется совмещать с операцией определения его основной погрешности.
-
Методика проверки герметичности датчика аналогична методике проверки герметичности системы (п.п. 4.3.1 - 4.3.4), но имеет следующие особенности:
-
- изменение давления (разрежения) определяют по изменению выходного сигнала или по изменению показаний цифрового индикатора поверяемого датчика, включенного в систему (п. 4.3.2);
-
- в случае обнаружения негерметичности системы с установленным поверяемым датчиком следует раздельно проверить герметичность системы и датчика.

-
5.3. Определение основной погрешности
-
5.3.1. Основную погрешность датчика определяют по одному из способов:
-
-
1. По эталонному СИ на входе датчика устанавливают номинальные значения входной измеряемой величины (например, давления), а по другому эталонному СИ измеряют соответствующие значения выходного аналогового сигнала (тока или напряжения). При поверке датчика по его цифровому сигналу к выходу подключают приемное устройство, поддерживающее соответствующий цифровой коммуникационный протокол для считывания информации при установленных номинальных значениях входной измеряемой величины.
-
2. В обоснованных случаях по эталонному СИ устанавливают номинальные значения выходного аналогового сигнала (тока или напряжения) или устанавливают номинальные значения цифрового сигнала датчика, а по другому эталонному СИ измеряют соответствующие значения входной величины (например, давления).
Примечания: 1. При поверке датчиков с HART-сигналом к выходу подключают портативный HART-коммуникатор, например, «Метран-650», или коммуникатор НС - 275, или HART-модем с программным обеспечением для связи с персональным компьютером и считывания информации с цифрового выхода датчика. Могут использоваться другие устройства для считывания информации и управления датчиками по другим коммуникационным протоколам, предусмотренным технической документацией на датчики.
-
2. При определении основной погрешности датчика показания его аналогового или цифрового индикатора не учитываются.
-
3. Поверка датчиков с несколькими выходными сигналами, соответствующими одной и той же входной измеряемой величине, производится по одному из этих сигналов (аналоговому или цифровому), если иное не предусмотрено технической документацией на поверяемый датчик.
-
5.3.2. Схемы включения датчиков для измерения выходного сигнала при проведении поверки (п. 5.3.1, способы 1 и 2) приведены в приложении.
Эталонные СИ входной величины (давления) включают в схему поверки в соответствии с их руководством по эксплуатации.
-
5.3.3. Устанавливают следующие критерии достоверности поверки:
Рвам - наибольшая вероятность, при которой любой дефектный экземпляр датчика может быть ошибочно признан годным;
(8м) ва - отношение возможного наибольшего модуля основной погрешности экземпляра датчика, который может быть ошибочно признан годным, к пределу допускаемой основной погрешности.
Допускаемые значения критериев достоверности поверки: Рвам = 0,20 и (8м)вашах= 1,25.
-
5.3.4. Устанавливают следующие параметры поверки:
m - число поверяемых точек в диапазоне измерений, m2® 5; в обоснованных случаях и при отсутствии эталонных СИ с необходимой дискретностью воспроизведения измеряемой величины допускается уменьшать число поверяемых точек до 4 или 3;
n - число наблюдений при экспериментальном определении значений погрешности в каждой из поверяемых точек при изменениях входной измеряемой величины от меньших значений к большим (прямой ход) и от больших значений к меньшим (обратный ход), n = 1; в обоснованных случаях и в соответствии с технической документацией на датчик допускается увеличивать число наблюдений в поверяемых точках до 3 или 5, принимая при этом среднеарифметическое значение результатов наблюдений за достоверное значение в данной точке;
'У* - абсолютное значение отношения контрольного допуска к пределу допускаемой основной погрешности;
dtp - отношение предела допускаемой погрешности эталонных СИ, применяемых при поверке, к пределу допускаемой основной погрешности поверяемого датчика.
Значения ук и ар выбирают по табл.2 (п.5.3.5) в соответствии с принятыми критериями достоверности поверки.
О
-
5.3.5. Выбор эталонных СИ для определения основной погрешности поверяемых датчиков осуществляют, исходя из технических возможностей и технико-экономических предпосылок с учетом критериев достоверности поверки (п.5.3.3) и в соответствии с табл.2.
Таблица 2
Параметры и критерии достоверности поверки
ар |
0,2 |
0,25 |
0,33 |
0,4 |
0,5 |
0,94 |
0,93 |
0,91 |
0,82 |
0,70 | |
Рвам |
0,20 |
0,20 |
0,20 |
0,10 |
0,05 |
(Зм)ва |
1,14 |
1,18 |
1,24 |
1,22 |
1,20 |


Примечание: Табл.2 составлена в соответствии с критериями достоверности поверки по п.5.3.3 и согласно МИ 187-86 «ГСИ. Критерии достоверности и параметры методик поверки» и МИ 188-86 «ГСИ. Установление значений параметров методик поверки».
-
5.3.6. При выборе эталонных СИ для определения погрешности поверяемого датчика (в каждой поверяемой точке) соблюдают следующие условия:
-
1. При поверке датчика с выходным аналоговым сигналом постоянного тока, значения которого контролируют непосредственно в мА
.......................................Д)
V» 1 т ~~1 о Jгде Др - предел допускаемой абсолютной погрешности эталонного СИ, контролирующего входную величину (давление, кПа, МПа);
Pm - верхний предел измерений (или диапазон измерений) поверяемого датчика, кПа, МПа;
/г?
Al - предел допускаемой абсолютной погрешности эталонного СИ, контролирующего электрический выходной сигнал датчика, мА;
Io, Im - соответственно нижнее и верхнее предельные значения выходного сигнала датчика; для датчиков с выходным сигналом (4...20)мА 1о=4мА, 1т=20мА; для датчиков с выходными сигналами (О...5)мА и (0. ,.20)мА 1о=0, а 1ш=5мА и 1т-20мА соответственно.
ар - то же, что в п.5.3.4;
у - предел допускаемой основной погрешности поверяемого датчика, % нормирующего значения.
За нормирующее значение принимают: для датчиков давления-разрежения -сумму абсолютных значений верхних пределов измерений в области избыточного давления и в области разрежения; для остальных датчиков -верхний предел измерений входной измеряемой величины, если иное не предусмотрено технической документацией на датчики.
Для датчиков с нижним предельным значением измеряемой величины, численно равным нулю, диапазон измерения численно равен верхнему пределу измерений. В этом случае основная погрешность датчика, выраженная в процентах от нормирующего значения, численно равна основной погрешности, выраженной в процентах от диапазона изменения выходного сигнала датчика с линейной функцией преобразования измеряемой величины.
-
2. При поверке датчиков с выходным аналоговым сигналом постоянного тока, значения которого контролируют по падению напряжения на эталонном сопротивлении в мВ или В


где Ар, Pm - то же, что в формуле (1);
Au - предел допускаемой абсолютной погрешности эталонного СИ, контролирующего выходной сигнал датчика по падению напряжения на эталонном сопротивлении, мВ или В;
Ar - предел допускаемой абсолютной погрешности эталонного сопротивления, Ом;
Кэт - значение эталонного сопротивления, Ом;
Um, Uo - соответственно верхнее и нижнее предельные значения напряжений (мВ или В) на эталонном сопротивлении, определяемые по формулам: Um ~ Im ■ Кэт и Uo = Io • Кэт
-
3. При поверке датчика с выходным цифровым сигналом
(3)
где все обозначения те же, что и в формулах (1) и (2).
-
5.3.7. Расчетные значения выходного сигнала поверяемого датчика для заданного номинального значения входной измеряемой величины определяют по формулам (4 - 12):
1. Для датчиков с линейно возрастающей зависимостью выходного сигнала постоянного тока (I) от входной измеряемой величины (Р)

где 1р - расчетное значение выходного сигнала постоянного тока (мА);
Р - номинальное значение входной измеряемой величины; для датчиков давления-разрежения значение Р в области разрежения подставляется в формулу (4) со знаком минус;
Рп - нижний предел измерений для всех датчиков, кроме датчиков давления-разрежения, для которых значение Рп численно равно верхнему пределу измерений в области разрежения Рш(-) и в формулу (4) подставляется со знаком минус;
Io, Im, Pm - то же, что и в формуле (1).
Для стандартных условий нижний предел измерений всех поверяемых датчиков избыточного давления, абсолютного давления, разрежения, разности давлений и датчиков давления-разрежения равен нулю.
2. Для датчиков с линейно убывающей зависимостью выходного сигнала постоянного тока от входной измеряемой величины

(5)
-
3. Для датчиков с выходным сигналом постоянного тока и функцией преобразования входной измеряемой величины по закону квадратного корня
(6)
где Р - входная измеряемая величина - разность давлений (перепад давления) для датчиков разности давлений, предназначенных для измерения расхода рабочей среды;
Pm - верхний предел измерений или диапазон измерений поверяемого
датчика разности давлений. Остальные обозначения те же, что и в формуле (1).
Если по технической документации на поверяемый датчик на ограниченном начальном участке характеристики (6) допускается линейная зависимость, то расчетные значения выходного сигнала на этом участке определяют по формуле


(7)
где Р<Кл-Рт;
Кл - коэффициент, установленный в технической документации на поверяемый датчик из интервала значений 0,02 < Кл < 0,09.
-
4. Для датчиков с выходным сигналом постоянного тока, значения которого контролируют по падению напряжения на эталонном сопротивлении Rar
Up = Rot-Ip,...................................................(8)
где Up - расчетное значение падения напряжения на эталонном сопротивлении;
1р - расчетное значение выходного сигнала постоянного тока, определяемое по формулам (4 - 7).
-
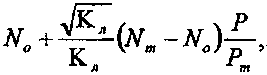
5. Для датчиков с выходным информационным сигналом в цифровом формате:
- с линейно возрастающей функцией преобразования
..............................................(9)
м п
где Np - расчетное значение выходного сигнала в цифровом формате;
Nm, No - соответственно верхнее и нижнее предельные значения выходного информационного сигнала датчика в цифровом формате;

Р9 Pm, Рп - то же, что и в формуле (4);
- с линейно убывающей функцией преобразования




(И)
с функцией преобразования по закону квадратного корня где Р, Pm ~~ то же, что в формуле (6); остальные обозначения те же, что в формулах (9, 10).
Если на ограниченном начальном участке этой характеристики допускается линейная зависимость, то расчетные значения выходного сигнала на этом участке определяют по формуле
р(лкн)

(12)
где Кл - то же, что в формуле (7).
-
5.3.8. Поверку датчиков с программным обеспечением выбора функции преобразования входной измеряемой величины в соответствии с одним из видов (4-6, 9-11) производят при программной установке линейно
возрастающей зависимости выходного сигнала (4) или (9), если иное не предусмотрено технической документацией на датчик.
После выполнения поверки датчик может быть перепрограммирован в соответствии с требуемой функцией преобразования входной измеряемой величины.


Перед определением основной погрешности соблюдают требования п.4.3 и, при необходимости, корректируют значения выходного сигнала, соответствующие нижнему и верхнему предельным значениям измеряемой величины. Эту корректировку выполняют после подачи и сброса измеряемой величины, значения которой устанавливают:
-
- для датчиков давления-разрежения - в пределах (50... 100)% от верхнего предела измерений в области избыточного давления;
-
- для датчиков абсолютного давления с верхним пределом измерений до 0,25МПа включительно - в пределах от атмосферного давления до (80... 100)% верхнего предела измерений;
-для остальных датчиков - в пределах (80... 100)% верхнего предела измерении
При периодической поверке и в случае ее совмещения с операцией проверки герметичности датчика корректировку значений выходного сигнала выполняют после выдержки датчика при давлении (разрежении) в соответствии с условиями п.4.3.1, п. 4.3.2.
Установку выходного сигнала выполняют с максимальной точностью, обеспечиваемой устройством корректора датчика и разрешающей способностью эталонных СИ. Погрешность установки «нуля» (без учета погрешности эталонных СИ) не должна превышать (0,2... 0,3) предела допускаемой основной погрешности поверяемого датчика, если иное не указано в технической документации.
Значение выходного сигнала, соответствующее нижнему предельному значению измеряемой величины, рассчитывают по одной из формул (4-6, 9-11), полагая Р=0 для датчиков давления-разрежения и датчиков разности давлений, для остальных датчиков, - полагая Р=Рп (для стандартных условий Рп=0).
-
5.3.9. Основную погрешность определяют при ш значениях измеряемой величины (п.5.3.4.), достаточно равномерно распределенных в диапазоне измерений, в том числе при значениях измеряемой величины, соответствующих нижнему и верхнему предельным значениям выходного сигнала.
Интервал между значениями измеряемой величины не должен превышать: 30% диапазона измерений при ш = 5 (основной вариант поверки); 40% диапазона измерений при т = 4 и 60% диапазона измерений при т-3.
Основную погрешность определяют при значении измеряемой величины, полученном при приближении к нему как со стороны меньших значений (при прямом ходе), так и со стороны больших значений (при обратном ходе).
Перед поверкой при обратном ходе датчик выдерживают в течение 1 мин при верхнем предельном значении измеряемой величины, которому соответствует предельное значение выходного сигнала. Датчики давления-разрежения допускается выдерживать только при верхнем пределе измерений в области избыточного давления.
При периодической поверке основную погрешность определяют в два цикла: до корректировки диапазона изменения выходного сигнала и после корректировки диапазона. Второй цикл допускается не проводить, если основная погрешность уд < ук • у.

При поверке датчиков с верхним пределом измерений в области разрежения, равном ЮОкПа допускается устанавливать максимальное значение разрежения в пределах (0,90...0,95) от атмосферного давления Рб , если Рб < 100 кПа, Расчетное значение выходного сигнала при установленном значении разрежения определяют по формуле (4) или (9).
При поверке датчиков абсолютного давления с верхними пределами измерений 0,25 МПа и выше основную погрешность определяют по методике, изложенной в п. 5.3.10 с соблюдением условий, изложенных в п.п. 5.3.8, 5.3.9. По методике п. 5.3.10 допускается определять основную погрешность датчиков абсолютного давления с верхними пределами измерений ниже 0,25 МПа, но не менее 0,1 МПа.
-
5.3.10. Определение основной погрешности датчиков абсолютного давления с верхними пределами измерений 0,25 МПа (допускается 0,1МПа) и выше проводят с использованием эталонных СИ разрежения и избыточного давления (например, МВП - 2,5; «Воздух-0,4В»; «Воздух-6,3»; МП - 6; МП - 60 и др.).
В этом случае поверку датчика выполняют при подаче избыточного давления и разрежения, расчетные значения которых определяют с учетом действительного значения атмосферного давления в помещении, где проводят поверку.
Расчетные значения выходного сигнала датчика с линейно возрастающей функцией преобразования определяют по формулам:
- для датчиков с токовым выходным сигналом
...........................................(13)
- для датчиков с выходным сигналом в цифровом формате
где Ip, Io, Im, Np, No, Nm - то же что в формулах (4) и (9);
fPe - атмосферное давление в помещении, где проводят поверку, МПа;
Рш(а) - верхний предел измерений датчика абсолютного давления, МПа; Р(+) - избыточное давление, подаваемое в датчик, МПа;
Р(-) - разрежение, создаваемое в датчике; значение разрежения в МПа подставляют в формулы (13) и (14) со знаком минус.
Расчетные значения избыточного давления и разрежения вычисляют по
t формулам
где Ра - номинальное значение абсолютного давления, МПа.
JIM MW'Вблизи нуля абсолютного давления датчик поверяют, создавая на его входе
разрежение Рт(-) = (0,90...0,95)-Рб ,...........................................(17)
при котором расчетное значение выходного сигнала определяют по формуле
...........................................С»)
Л>(а)


Значения выходного сигнала в цифровом формате (N) определяют по формуле такой же структуры, заменяя обозначения тока I на обозначение N.
Расчетные значения выходного сигнала при атмосферном давлении на входе датчика определяют по формуле
/,=Л+(4-Л)-^-.............................................09)Максимальное значение избыточного давления Рш(+) , при котором расчетное значение выходного сигнала Ip = Im, определяют по формуле
Pm(+) = Pm(a) -Рб......................................(20)
При поверке датчиков с верхними пределами измерений Рш(а) < 2,5 МПа значение атмосферного давления Рб определяют с погрешностью не более, чем
------------------------------<21>где Дб ~ абсолютная погрешность, МПа;
ар, у - тоже, что в п.п.5.3.4, 5.3.6;
Рт(а) - верхний предел измерений поверяемого датчика.
При поверке датчиков с верхними пределами измерений Рт(а) > 2,5 МПа в формулы (13 - 20) допускается подставлять значение Рб = 0,1 МПа, если атмосферное давление находится в пределах (0,093... 0,102) МПа.
В зависимости от верхних пределов измерений поверяемых датчиков их основную погрешность определяют при m значениях измеряемой величины в соответствии с табл.З и с учетом требований п.,5.3.9.
Таблица 3
Верхние пределы измерений, МПа |
Число поверяемых точек, ш | |
В области Ра < Рб |
В области Ра > Рб | |
0,1 |
3 |
- |
0,16 |
2 |
2 |
0,25 |
1 |
3 |
От 0,4 до 2,5 |
1 |
4 |
Свыше 2,5 |
- |
5 |
Перед поверкой корректором «нуля» датчика устанавливают выходной сигнал на расчетное значение, соответствующее разрежению Рт(-) в указанных пределах (17). Расчетное значение выходного сигнала определяют по формуле (18). Допускается устанавливать выходной сигнал на расчетное значение, определяемое по формуле (19) при атмосферном давлении.
-
5.3.11. Основную погрешность уа в % нормирующего значения (п.5.3.6) вычисляют по приведенным ниже формулам.
При поверке датчиков по способу 1 (п.5.3.1):
I-I yd = -—f-ioo, ■* т о(22)
/а =
•100,
(23)
/» =
•100,
(24)

где I - значение выходного сигнала постоянного тока, полученное экспериментально при номинальном значении измеряемой величины, мА;
U - значение падения напряжения на эталонном сопротивлении, полученное экспериментально при измерении выходного сигнала и номинальном значении входной измеряемой величины (давления), мВ или В;
N - значение выходного сигнала датчика в цифровом формате, полученное экспериментально при номинальном значении измеряемой величины;
Остальные обозначения те же, что в формулах (1,2,9).
При поверке датчиков по способу 2 (5.3.1):
-100,
(25)
где Р - значение входной измеряемой величины (давления), полученное экспериментально при номинальном значении выходного сигнала, кПа, МПа;
Рном - номинальное значение измеряемой величины при номинальном значении выходного сигнала, кПа, МПа;
Pm - сумма абсолютных значений верхних пределов измерений датчиков давления-разрежения ( Pm = Pm(+) + | Pm(-)| ), для остальных датчиков - верхний предел измерений, кПа, МПа.
Вычисления у5 выполняют с точностью до второго знака после запятой.
5.4. Определение вариации
5.4.1. Вариацию выходного сигнала определяют при каждом поверяемом значении измеряемой величины, кроме значений, соответствующих нижнему и верхнему пределам измерений, по данным, полученным экспериментально при определении основной погрешности (п.5. 3).

-
5.4.2, Вариацию выходного сигнала уг в % нормирующего значения (п.5.3.6) вычисляют по приведенным ниже формулам.
При поверке датчиков по способу 1 (п.5.3.1):
|z-rl/г =7—7-100.......................................................(26)
ЯМ ■* Л
/г =
•100,
(27)
•100,
(28)

где I, I* - значения выходного сигнала постоянного тока, полученные экспериментально при одном и том же номинальном значении входной измеряемой величины при прямом и обратном ходе соответственно, мА;
U, U* - значения падения напряжения на эталонном сопротивлении, полученные экспериментально при измерениях выходного сигнала и при одном и том же номинальном значении входной измеряемой величины при прямом и обратном ходе соответственно, мВ, В;
N, N* - значения выходного сигнала датчика в цифровом формате, полученные экспериментально при одном и том же номинальном значении входной измеряемой величины при прямом и обратном ходе соответственно.
Остальные обозначения те же, что в формулах (1,2,9).
При поверке датчиков по способу 2 (5.3.1):
Гг-~у—L'100=.......................................................(29)где Р, Р* - значения входной измеряемой величины (давления), полученные экспериментально при прямом и обратном ходе и при одном и том же номинальном значении выходного сигнала, кПа, МПа;
Pm - то же, что в формуле (25).
5.5, Результаты поверки датчиков с линейной функцией преобразования.
-
5.5.1. Датчик признают годным при первичной поверке, если на всех поверяемых точках модуль основной погрешности |уэ| < ук - |у|, а значение вариации уг в каждой точке измерений не превышает предела ее допускаемого значения.
-
5.5.2. Датчик признают негодным при первичной поверке, если хотя бы в одной поверяемой точке модуль основной погрешности |уа| > ук • |у|, или значение вариации уг превышает предел ее допускаемого значения.
■Alm к Я /Я-РМ-Лм А
-
5.5.3. Датчик признают годным при периодической поверке, если на всех поверяемых точках при первом или втором цикле поверки выполняются условия, изложенные в п.5.5.1.
-
5.5.4. Датчик признают негодным при периодической поверке:
-
- если при первом цикле поверки хотя бы в одной поверяемой точке модуль основной погрешности |уб| > (8м)ва max - |у| или значение вариации уг превышает предел ее допускаемого значения;
-
- если при втором цикле поверки хотя бы в одной поверяемой точке модуль основной погрешности |уа| > ук • |у| или значение вариации уг превышает предел ее допускаемого значения.
Обозначения: (5м)вашах - поп.5.3.2; ук -поп.5.3.4; у - поп.5.3.6.
-
5.5.5. Допускается вместо вычислений по экспериментальным данным значений основной погрешности уэ и вариации уг контролировать их соответствие предельно допускаемым значениям.
-
5.5.6. Вариацию выходного сигнала датчиков не определяют, если предел ее допускаемого значения не превышает 0,5 предела допускаемой основной погрешности.
-
5.6. Результаты поверки датчиков с неизменной (жестко запрограммированной) функцией преобразования измеряемой величины по закону квадратного корня.
-
5.6.1. Датчик признают годным при первичной поверке по способу 1 (п.5.3.1), если на всех поверяемых точках модуль основной погрешности уд, выраженной в % диапазона изменения выходного сигнала, не превышает пределов допускаемых значений в соответствии с условием (30), а значение вариации уг не превышает пределов ее допускаемых значений в соответствии с условием (31).
..................................................pi>
где Ьюм - номинальное значение выходного сигнала в поверяемой точке, мА;
у - предел допускаемой основной погрешности в % верхнего предела измерений поверяемого датчика;
уг(доп) - предел допускаемого значения вариации в % верхнего предела измерений поверяемого датчика.
Основную погрешность уд и вариацию уг определяют в интервале значений выходного сигнала (32), если иное не указано в технической документации на датчик:
1р(лин) < 1ном < Im............................................(32)
где 1р(лин) - по п.5.3.7, формула (7).
/1М-
5.6.2. Да тчик признают негодным при первичной поверке, если хотя бы в одной поверяемой точке не выполняются условия (30) и (31),
-
5.6.3. Датчик признают годным при периодической поверке, если на всех поверяемых точках при первом или втором цикле поверки выполняются условия (30) и (31).
-
5.6.4. Датчик признают негодным при периодической поверке:
- если при первом цикле поверки хотя бы в одной поверяемой точке модуль основной погрешности уг7 выраженной в % диапазона изменения выходного сигнала. превышает пределы допускаемых значений (33) или значения вариации уг превышают пределы допускаемых значений (31).
1/5! ‘ И уте _ >...............................................(3□)
-
5.6.5. Оценку результатов поверки датчиков с выходным сигналом в цифровом формате (N) иди с выходным сигналом постоянного тока (I), значения которого контролируют по падению напряжения (U) на эталонном сопротивлении, производят с соблюдением всех условий, изложенных в п.п.5.6.1 - 5,6.4, и заменой обозначения выходного сигнала на N или U.
6. ОФОРМЛЕНИЕ РЕЗУЛЬТАТОВ ПОВЕРКИ
6.1 Положительные результаты поверки оформляют в соответствии с ПР 50,2.006 и удостоверяют оттиском по верительного клейма в соответствии с ПР 50.2.007 в одном из сопроводительных документов изделия (паспорт, свидетельство, РЭ или др.),
6.2. На датчик и, не удовлетворяющие требованиям настоящей рекомендации, выдают извещение о непригодности в соответствии с ПР 50,2.006 и с указанием причин. Поверительное клеймо гасят. Датчики к дальнейшей эксплуатации не допускают.
ПРИЛОЖЕНИЕ: схемы включения датчиков при поверке.
ИНФОРМАЦИОННЫЕ ДАННЫЕ
-
1. Настоящая рекомендация разработана промышленной группой «МЕТРАН» и Всероссийским научно-исследовательским институтом метрологической службы ( ВНИИМС ) Госстандарта России.
Исполнители: А_Я.Юровский и А.И.Гончаров.
-
2. Утверждена ВНИИМС 03.12. 2001г
Приложение к МИ 4212-012-2001
Обязательное
Схемы включения датчиков при поверке
Схема 1 включения датчика с аналоговым выходным сигналом постоянного тока 4-20 мА при измерении выходного сигнала непосредственно миллиамперметром.

Р - входная измеряемая величина (примеры подключения к датчику эталонных СИ входной величины и эталонных задатчиков давления приведены на схемах 8 и 9 соответственно);
Д - поверяемый датчик;
G - источник питания постоянного тока (например, один из указанных в п.2.1, табл. 1, если иное не указано в технической документации);
А - цифровой миллиамперметр или универсальный вольтмиллиамперметр;
R - нагрузочное сопротивление, например, резистор МЛТ или магазин сопротивлений, указанный в табл Л (п.2.1); значение сопротивления - в соответствии с условиями поверки (п.4Л).
Схема 2 включения датчика с аналоговым выходным сигналом постоянного тока 4-20 мА при измерении выходного сигнала по падению напряжения на эталонном сопротивлении.

В - цифровой вольтметр или компаратор напряжения постоянного тока, указанные, например, в табл Л;
Rar - эталонное сопротивление, например, образцовая катушка сопротивления или мера электрического сопротивления, указанные в табл.1;
R1 - нагрузочное сопротивление - например, указанный в табл Л магазин сопротивлений; сумма значений сопротивлений Rar + R1 = R, где значение R сопротивления нагрузки при поверке указано в п.4.1.
Схема 3 включения датчика с аналоговым выходным сигналом постоянного тока 0-5 мА или 0-20 мА при измерении выходного сигнала непосредственно миллиамперметром.

Обозначения приведены в схеме 1.
Схема 4 включения датчика с аналоговым выходным сигналом постоянного тока 0-5 мА или 0-20 мА при измерении выходного сигнала по падению напряжения на эталонном сопротивлении.

Обозначения приведены в схемах 1 и 2.
Схема 5 включения датчика с цифровым выходным сигналом на базе протокола HART и считывании информации по цифровому каналу при помощи портативного коммуникатора, например, «Метран - 650», указанного в табл. 1, или при помощи другого HART - мастера.

Н - портативный HART- коммуникатор или другое цифровое устройство, поддерживающее коммуникационный HART- протокол.
Остальные обозначения указаны в схеме 1.
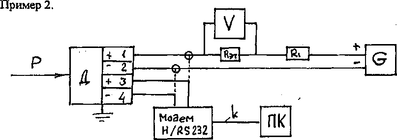
Схема 6 включения датчика с цифровым выходным сигналом на базе протокола HART при считывании информации по цифровому каналу с помощью устройства (модема HART/RS232) связи с персональным компьютером.

Модем - устройство связи и преобразования сигналов HARTZRS232; ПК - персональный компьютер;
К - кабель для стандартного последовательного порта;
Остальные обозначения указаны в схеме 1.

Обозначения приведены в схемах 1 и 5.


Схема 7 включения датчика с цифровым выходным сигналом на базе протокола HART при считывании информации по аналоговому выходному сигналу постоянного тока 4-20 мА и по цифровому каналу.

Обозначения приведены в схемах 2 и 6.
Включение поверяемых датчиков с цифровыми выходными сигналами на базе других коммуникационных протоколов (например, Foundation Fieldbus или RS485) производят по схемам, приведенным в технической документации.
Jim - о/Л 'Aw'Схема 8 подключения к поверяемому датчику эталонных СИ давления или разрежения.

Д - поверяемый датчик;
СИ-Р - эталонное СИ для измерения давления или разрежения, например, указанное в табл. 1;
И-Р - источник давления или разрежения;
Кл - клапаны запорные;
Р - давление или разрежение на входе датчика.
Схема 9 подключения к поверяемому датчику эталонных задатчиков давления, разрежения или разности давлений.

Эт-Р - эталонный задатчик входной величины Р, например, указанный в табл. 1; Эт-Ро - эталонный задатчик опорного давления Ро или блок опорного давления основного задатчика Эт-Р;
Остальные обозначения указаны в схеме 8.
JU* 4JL/2 ~ p/j-tlwfЛист регистрации изменений
Изм |
Номера листов |
Всего листов в ДОК. |
№ документа |
Входящ. № сопров. документа |
Подпись |
Дата | |||
Изме нен ных |
Замененных |
Новых |
Анну-лир. | ||||||
- |
- - |

ГОССТАНДАРТ РОССИИ
SbgS ФЕДЕРАЛЬНОЕ ГОСУДАРСТВЕННОЕ УНИТАРНОЕ ПРЕДПРИЯТИЕ
=jg= ВСЕРОССИЙСКИЙ НАУЧНО-ИССЛЕДОВАТЕЛЬСКИЙ ИНСТИТУТ вниимс МЕТРОЛОГИЧЕСКОЙ СЛУЖБЫ
119361 Россия, Москва, Г-361, Тел.: (095) 437-S577, 437-9979 Факс: (095) 437-5666
ул. Озерная, 46 E-mail: Office.VNIIMS@g23.rclcom.ru
QT^z^-W.^ №
Ha № ___ . (
Техническому директору
ЗАО ПГ «Метран»
Г-ну Конобееву А.В.
454138, г.Челябинск,
Комсомольский пр., 29 Факс (3512) 41 -45-17,41 -68-11 E-mail: metran@metran. го.
Институтом рассмотрено Ваше письмо №303 от 19.02.1003г. с предложением по изменению п.6 Л. методики поверки МИ 4212-012-2001, разработанной ПГ “Метран” и ВНИИМС.
Считаю возможным изложить п,6Л этой методики в следующей редакции:
6.1 Положительные результаты поверки оформляют в соответ^рии с ПР 50.2.006 и удостоверяют оттиском поверите л ьного клейма в соответствии с ПР 50.2,007 в одном из сопроводительных документов изделия (паспорт, свидетельство, РЭ или др.)
Приложение: лист 20 методики поверки МИ 4212-012-2001 с измененным текстом п.6.1.
Замдиректора ВНИИМС
В.Н.Яншин
-
5.6.2. Датчик признают негодным при первичной поверке, если хотя бы в одной поверяемой точке не выполняются условия (30) и (31).
-
5.6.3. Датчик признают годным при периодической поверке, если на всех поверяемых точках при первом или втором цикле поверки выполняются условия (30) и (31).
-
5.6.4. Датчик признают негодным при периодической поверке:
- если при первом цикле поверки хотя бы в одной поверяемой точке модуль основной погрешности уа, выраженной в % диапазона изменения выходного сигнала, превышает пределы допускаемых значений (33) или значения вариации уг превышают пределы допускаемых значений (31).
...............................................<?3)
-
5.6.5. Оценку результатов поверки датчиков с выходным сигналом в цифровом формате (N) или с выходным сигналом постоянного тока (I), значения которого контролируют по падению напряжения (U) на эталонном сопротивлении, производят с соблюдением всех условий, изложенных в п.п.5.6.1 - 5.6.4, и заменой обозначения выходного сигнала на N или U.
6. ОФОРМЛЕНИЕ РЕЗУЛЬТАТОВ ПОВЕРКИ
6.1 Положительные результаты поверки оформляют выдачей свидетельства о поверке в соответствии с ПР 50.2.006 и наносят оттиск поверительного клейма в соответствии с ПР 50.2.007.
6.2. На датчики, не удовлетворяющие требованиям настоящей рекомендации, выдают извещение о непригодности в соответствии с ПР 50.2.006 и с указанием причин. Поверительное клеймо гасят. Датчики к дальнейшей эксплуатации не допускают.
ПРИЛОЖЕНИЕ: схемы включения датчиков при поверке.
ИНФОРМАЦИОННЫЕ ДАННЫЕ
-
1. Настоящая рекомендация разработана промышленной группой «МЕТРАН» и
Всероссийским научно-исследовательским институтом метрологической службы (ВНИИМС ) Госстандарта России.
Исполнители: А.Я.Юровский и А.И.Гончаров.
-
2. Утверждена ВНИИМС 03. 12. 2001г

