Методика поверки «Система измерительная испытательного стенда вспомогательной силовой установки ВСУ-117 "ЗАПУСК-4"» (Код не указан!)
УТВЕРЖДАЮ

В.В. Ill вы дун
VI 2017 г.
Инструкция
СИСТЕМА ИЗМЕРИТЕЛЬНАЯ ИСПЫТАТЕЛЬНОГО СТЕНДА ВСПОМОГАТЕЛЬНОЙ СИЛОВОЙ УСТАНОВКИ ВСУ-117 «ЗАПУСК-4»
Методика поверки АЭ2-880.08.00 МП
2017 г.
СОДЕРЖАНИЕ
ПРИЛОЖЕНИЕ Б. 1 Форма протокола поверки ИК температуры
ПРИЛОЖЕНИЕ Б.2 Форма протокола поверки ИК давления
ПРИЛОЖЕНИЕ Б.З Форма протокола поверки ИК расхода жидкости
ПРИЛОЖЕНИЕ Б.4 Форма протокола поверки ИК частоты переменного электрического тока ...........................................................................................................................................................61 ПРИЛОЖЕНИЕ Б. 5 Форма протокола поверки ИК напряжения и силы постоянного электрического тока........................................................................................................................65
ПРИЛОЖЕНИЕ Б. 6 Форма протокола поверки ИК напряжения и силы переменного электрического тока
ПРИЛОЖЕНИЕ Б. 7 Форма протокола поверки ИК мощности в цепи переменного электрического тока
ПРИЛОЖЕНИЕ Б. 8 Форма протокола поверки таймера системы
1 ВВЕДЕНИЕ
-
1.1 Настоящая методика устанавливает порядок проведения и оформления результатов поверки измерительных каналов (ИК) Системы измерительной испытательного стенда вспомогательной силовой установки ВСУ-117 «Запуск-4» (в дальнейшем изложении -система).
-
1.2 Интервал между поверками - 1 год.
-
1.3 Перечень ИК системы, подвергаемых поверке, диапазоны измерений и пределы допускаемой погрешности измерений при доверительной вероятности Р = 0,95 приведены в таблицах 1.1... 1.6 и в п. 1.4.
Таблица 1.1. Перечень ИК температуры, подвергаемых поверке
Наименование ИК (измеряемый параметр) |
Диапазон измерений, °C |
Пределы допускаемой абсолютной погрешности измерений, °C |
1 Температура масла на входе в ВСУ |
от 0 до 200 |
±2,0 |
2 Температура масла на выходе из ВСУ |
от 0 до 200 |
±2,0 |
3 Температура топлива на входе в ВСУ |
от минус 30 до 120 |
±1,5 |
4 Температура топлива на выходе из ВСУ |
0 до 120 |
±1,5 |
5 Температура воздуха за датчиком расхода |
от 0 до 250 |
±2,0 |
6 Температура топлива за теплообменником |
0 до 120 |
±1,5 |
7 Температура свободных концов термопар |
от 0 до 70 |
±0,5 |
8 * Температура (резервный канал) |
от 0 до 200 |
±2,0 |
9 Температура воздуха на входе в служебный компрессор |
от 0 до 70 |
±3,5 |
10 Температура воздуха за служебным компрессором |
от 0 до 250 |
±3,5 |
11 Температура воздуха на входе в ВСУ - точка 1 |
от 0 до 70 |
±1,0 |
12 Температура воздуха на входе в ВСУ - точка 2 |
от 0 до 70 |
±1,0 |
13 Температура воздуха на входе в ВСУ - точка 3 |
от 0 до 70 |
±1,0 |
14 Температура воздуха на входе в ВСУ - точка 4 |
от 0 до 70 |
±1,0 |
^Допускается не проводить периодическую поверку резервного И К, если он не используется.
-
1.4 Допускается проведение поверки отдельных ИК системы в соответствии с заявлением владельца системы.
Таблица 1.2. Перечень ИК давления, подвергаемых поверке
Наименование ИК (измеряемый параметр) |
Диапазон измерений, кПа (кгс/см2) |
Пределы допускаемой приведенной (к верхнему пределу измерений (ВП)) погрешности измерений, % |
1 * Давление масла на входе в ВСУ |
от минус 49 до 49 (от минус 0,5 до 0,5) |
±1,0 |
2 Противодавление масла в магистрали на выходе из ВСУ |
от 0 до 98 (от Одо 1,0) |
±1,0 |
3 Давление топлива на входе в ВСУ |
от 0 до 294 (от Одо 3,0) |
±1,0 |
4 Давление топлива на выходе из дозатора ВСУ |
от 0 до 1569 (от 0 до 16,0) |
±1,0 |
5 Противодавление топлива в магистрали на выходе из ВСУ |
от 0 до 196 (от 0 до 2,0) |
±1,0 |
6 Статическое давление воздуха за служебным компрессором |
от 0 до 490 (от 0 до 5,0) |
±1,0 |
7 Давление воздуха за датчиком расхода |
от 0 до 490 (от 0 до 5,0) |
±0,3 |
8 Абсолютное давление воздуха на выходе из служебного компрессора |
от 98 до 441 (от 1,0 до 4,5) |
±1,0 |
9 **Давление (резервный канал) |
от 0 до 294 (от 0 до 3,0) |
±1,0 |
Примечания
-
1 *Для ИК избыточного давления и разрежения погрешность приводится к сумме верхних пределов измерения избыточного давления и разрежения (без учета знака).
-
2 **Допускается не проводить периодическую поверку резервного ИК, если он не используется.
Таблица 1.3. Перечень ИК расхода жидкости, подвергаемых поверке
Наименование ИК (измеряемый параметр) |
Диапазон измерений |
Пределы допускаемой приведенной (к ВП) погрешности измерений, % |
1 Расход топлива в камере сгорания ВСУ |
от 29 до 115 л/ч |
±1,1 |
2 Расход топлива на входе в ВСУ |
от 400 до 900 л/ч |
±2,0 |
3 Расход масла при прокачке через ВСУ |
от 4 до 9 л/мин |
±1,3 |
Таблица 1.4 Характеристики ИК частоты переменного электрического тока, подвергаемых поверке
Наименование ИК (измеряемый параметр) |
Диапазон измерений, Гц |
Пределы допускаемой приведенной (к ВП) погрешности измерений, % |
1 Частота переменного тока агрегата ЭУ-117 |
от 0 до 500 |
±0,1 |
2 Частота сигнала датчика расхода воздуха |
от 0 до 500 |
±0,1 |
Таблица 1.5. Перечень ИК напряжения и силы постоянного электрического тока, подвергаемых поверке
Наименование ИК (измеряемый параметр) |
Диапазон измерений |
Пределы допускаемой приведенной (к ВП) погрешности измерений, % |
1 * Напряжение постоянного тока (резервный канал) |
от 0 до 32 В |
±0,5 |
2 Напряжение на клеммах электростартера |
от 0 до 32 В |
±0,5 |
3 Напряжение источника питания электростартера |
от 0 до 32 В |
±0,5 |
4 Сила тока в цепи электростартера |
от 0 до 1000 А |
±1,5 |
*Допускается не проводить периодическую поверку резервного ИК, если он не используется.
Таблица 1.6. Перечень ИК напряжения, силы и мощности переменного электрического тока, подвергаемых поверке
Наименование ИК (измеряемый параметр) |
Диапазон измерений |
Пределы допускаемой приведенной (к ВП) погрешности измерений, % |
1 Напряжение на клемме фазы А агрегата ЭУ-117 |
от 0 до 130 В |
±0,7 |
2 Напряжение на клемме фазы В агрегата ЭУ-117 |
от 0 до 130 В |
±0,7 |
3 Напряжение на клемме фазы С агрегата ЭУ-117 |
от 0 до 130 В |
±0,7 |
4 Ток нагрузки агрегата ЭУ-117 (фаза А) |
от 0 до 100 А |
±1,0 |
5 Ток нагрузки агрегата ЭУ-117 (фаза В) |
от 0 до 100 А |
±1,0 |
6 Ток нагрузки агрегата ЭУ-117 (фаза С) |
от 0 до 100 А |
±1,0 |
7 *Активная мощность нагрузки агрегата ЭУ-117 |
от 0 до 39 кВт |
±1,3 |
* Активная мощность в трехфазной цепи нагрузки агрегата ЭУ-117 (Рг) определяется расчетным путем (см. п. 8.6.3.1).
-
1.4 При поверке измерительного канала интервалов времени (таймера) определяются границы допускаемой погрешности измерений для интервала времени 600 с, которые не должны превышать значения ± 0,05 с.
-
1.5 Перечень метрологических характеристик (MX), подлежащих определению при поверке ИК, приведен в таблице 1.7.
Таблица 1.7
Наименование MX |
Условное обозначение |
1 Индивидуальная функция преобразования (градуировочная характеристика) |
х = а0 + а, • у |
2 Граница суммы неисключенных систематических погрешностей, включающая: |
Ч |
2.1 Оценка систематической составляющей погрешности в j-той контрольной точке |
Ас7 |
2.2 Вариация в j-той контрольной точке |
bj |
2.3 Пределы абсолютной погрешности рабочего эталона (см. раздел 8) |
^С1 |
2.4 Пределы абсолютной погрешности первичного преобразователя (только для ИК температуры, расхода жидкости, силы тока - см. раздел 8) |
^С2 |
2.5 Пределы дополнительной абсолютной погрешности, вызванной влиянием температуры окружающего воздуха на датчик давления (только для ИК давления - см. раздел 8) |
^С2 |
2.6 Пределы абсолютной погрешности измерения температуры свободных концов термопары (только для ИК температуры, использующих термопару - см. раздел 8) |
^СЗ |
2.7 Пределы абсолютной погрешности, вызванной использованием компенсационных проводов (только для ИК температуры, использующих термопару - см. раздел 8) |
^С4 |
3 Оценка СКО случайной составляющей погрешности в j-той контрольной точке |
5/А) |
4 Граница абсолютной погрешности в j-той контрольной точке |
А/ |
5 Пределы абсолютной погрешности ИК |
А |
6 Пределы погрешности ИК, приведенной к верхнему пределу измерений |
-
1.6 Исходными данными для расчета метрологических характеристик поверяемого ИК являются выходные сигналы ИК, полученные при подаче на его вход эталонных величин , контролируемых по рабочему эталону.
Выходные сигналы ИК, полученные при прямом и обратном ходах приложения эталонных величин в контрольных точках, представляются соответственно в виде массивов чисел yJk)M и у№,
где:
j - индекс номера контрольной точки;
к - индекс номера отсчета в контрольной точке;
у - индекс номера цикла приложения эталонных величин;
М - индекс прямого хода приложения эталонных величин;
Б - индекс обратного хода приложения эталонных величин.
При обработке полученных в процессе поверки ИК результатов измерений определяется индивидуальная функция преобразования, и оцениваются погрешности ИК (абсолютная и приведенная).
-
1.7 При оценке погрешности ИК температуры применяется поэлементный способ (поверке подвергается часть ИК - без первичного преобразователя температуры). Погрешность первичного преобразователя температуры учитывается при вычислении границы суммы неисключенных систематических погрешностей ИК (см. п. 8.1.2.7).
-
1.8 Пределы погрешности используемого в ИК термометра сопротивления и значения его сопротивления, соответствующие значениям температуры в контрольных точках, устанавливаются в соответствии с ГОСТ Р8.625-2006.
-
1.9 Пределы погрешности используемой в ИК термопары и значения напряжения её термо-ЭДС (ТЭДС), соответствующие значениям температуры в контрольных точках, устанавливается в соответствии с ГОСТ Р8.585-2001.
В случае, если при обработке результатов измерений используется индивидуальная статическая характеристика (ИСХ) входящей в состав ИК термопары, вместо погрешности термопары учитывается погрешность определения ИСХ (определяется отдельно).
-
1.10 Термометры сопротивления и термопары поверяются отдельно в соответствии с НТД на их поверку.
-
1.11 Пределы дополнительной абсолютной погрешности, вызванной использованием компенсационных проводов, составляют (в соответствии с ТУ 16.К19-04-91):
-
- для термопар типа ТХК (L)... .± 2,8 °C;
-
- для термопар типа ТХА (К)....± 2,8 °C.
В случае использования для подключения термопар соответствующих термоэлектродных проводов (вместо компенсационных проводов), эта погрешность принимается равной нулю.
-
1.12 При оценке погрешности ИК давления применяется комплектный способ (поверке подвергается весь ИК, включая первичный преобразователь давления).
-
1.13 При оценке погрешности ИК расхода жидкости применяется поэлементный способ (поверке подвергается часть ИК - без первичного преобразователя объемного расхода жидкости).
-
1.14 Первичный преобразователь расхода (датчик) поверяется отдельно в соответствии с НТД на поверку, и его погрешность учитывается при вычислении границы суммы неисключенной систематической погрешности ИК (см. п. 8.3.2.7).
-
1.15 При градуировке ИК объемного расхода жидкости определяется индивидуальная функция преобразования для измерения частоты f (Гц) сигнала датчика расхода жидкости.
Далее, при выполнении измерений, объемный расход жидкости Q определяется с использованием одного из известных соотношений:
1) если при измерении расхода используется единица измерения (л/мин)
Q = 60-(a + bf) л/мин, (1.1а)
или
Q = 60-(a + b-f+ с-f2), л/мин, (Ыб)
2) если при измерении расхода используется единица измерения (л/ч)
Q = 36Q0-(a+bf) л/ч, (1.2а)
или
2 = 3600-(tz + Z>-/ + c-/2), л/ч, (1-26)
где а, Ь, с - коэффициенты индивидуальной функции преобразования (л/с) применяемого в составе ИК турбинного преобразователя расхода.
-
1.16 Из формул (1.1а), (1.16) и (1.2а), (1.26) следует, что при проверке стабильности градуировочной характеристики ИК объемного расхода жидкости значения частоты сигнала эталонного генератора, соответствующие задаваемым эталонным значениям расхода жидкости определяются с использованием одного из выражений:
1) если при измерении расхода используется единица измерения (л/мин)

/ = , Гц (при с = 0)
b
или
-Ь + у Ь2 -4 с (а~—) Г V 60 г, ( ,
/ =------------------- , Гц (прис^О)
2-с
2) если при измерении расхода используется единица измерения (л/ч)
(1.3а)
(ГЗб)

/= 360Q---, Гц (прис = 0)
Ъ
или
(1-4а)

-
1.17 При оценке погрешности ИК частоты переменного электрического тока применяется комплектный способ (поверке подвергается весь ИК).
-
1.18 При оценке погрешности ИК напряжения постоянного и переменного электрического тока применяется комплектный способ (поверке подвергается весь ИК).
-
1.19 При оценке погрешности ИК силы постоянного электрического тока применяется поэлементный способ (поверке подвергается часть ИК - без первичного преобразователя тока).
-
1.20 Первичный преобразователь постоянного тока (измерительный шунт 75ШСМ) поверяется отдельно в соответствии с НТД на поверку, и его погрешность учитывается при вычислении границы суммы неисключенных систематических погрешностей ИК (см. п. 8.5.2.7).
-
1.21 При градуировке ИК силы постоянного тока определяется индивидуальная функция преобразования для измерения напряжения сигнала постоянного тока (£/ш, мВ) от измерительного шунта (датчика тока).
Далее, при выполнении измерений, сила тока I (А) определяется с использованием известного соотношения:
1 = Кш-иш,К (1.5)
где Кш - коэффициент передачи измерительного шунта, который определяется
выражением: |
, А/мВ (1.6) НШ |
где 1НШ - номинальное значение тока измерительного шунта, А
UHtu - номинальное значение падения напряжения на шунте, мВ.
-
1.22 Из формулы (1.5) следует, что при градуировке ИК силы постоянного тока максимальное значение напряжения эталонного сигнала постоянного тока Uc, соответствующее верхней границе диапазона измерений силы тока I (А), определяется с использованием выражения:
Uc=— , мВ с К,„
(1-7)
-
1.23 При оценке погрешности ПК силы переменного тока применяется поэлементный способ (поверке подвергается часть ИК - без первичного преобразователя тока).
-
1.24 Первичный преобразователь переменного тока (трансформатор тока) поверяется отдельно в соответствии с НТД на поверку, и его погрешность учитывается при вычислении границы суммы неисключенных систематических погрешностей ИК (см. п. 8.6.2.8).
-
1.25 При поверке ИК силы переменного тока значения эталонных сигналов тока (/с), задаваемых на входе ИК, рассчитываются по формуле:
(1-8)
где I- эталонное значение измеряемого тока;
кгг - коэффициент трансформации входящего в состав ИК трансформатора тока.
1.31 Функциональные схемы поверки ИК системы представлены в Приложениях
А.1-А.7.
2 ОПЕРАЦИИ ПОВЕРКИ
-
2.1 При проведении поверки ИК системы должны выполняться операции, указанные в таблице 2.1.
Таблица 2.1
Наименование операции |
№ пункта методики поверки |
Проведение операции при | |
первичной поверке |
периодической поверке | ||
1 Внешний осмотр |
7.1 |
да |
да |
2 Опробование |
7.2 |
да |
да |
3 Контроль стабильности градуировочной характеристики ИК |
7.3 |
нет |
да |
4 Определение индивидуальной функции преобразования (градуировочной характеристики) и погрешности ИК |
7.4 |
да |
да |
5 Проверка контрольной суммы исполняемого кода (цифрового идентификатора) |
7.5 |
да |
да |
-
2.2 При проведении поверки таймера системы должны выполняться операции, указанные в таблице 2.2.
Таблица 2.2
Наименование операции |
№ пункта методики поверки |
Проведение операции при | |
первичной поверке |
периодической поверке | ||
1 Внешний осмотр |
7.1 |
да |
да |
2 Опробование |
7.2 |
да |
да |
3 Определение абсолютной погрешности измерений интервалов времени |
7.4 |
да |
да |
3 СРЕДСТВА ПОВЕРКИ
-
3.1 При проведении поверки ИК и таймера системы используются средства измерений и технические средства, приведенные в таблицах 3.1...3.7.
Таблица 3.1. Рабочие эталоны для поверки ИК температуры
Номер пункта методики поверки |
Наименование и тип основных средств поверки, номер документа, регламентирующего технические требования к рабочему эталону. Разряд по государственной поверочной схеме и (или) метрологические и основные технические характеристики |
7.2, 7.3, 7.4.1 |
Магазин электрического сопротивления Р4831: диапазон воспроизведения электрического сопротивления постоянному току от 0,01 Ом до 111 кОм, класс точности 0,02. Компаратор напряжений Р3003: диапазон воспроизведения напряжения постоянного тока от 20 нВ до 111 мВ, класс точности 0,0005 |
Таблица 3.2. Рабочий эталон для поверки ИК давления
Номер пункта методики поверки |
Наименование и тип основных средств поверки, номер документа, регламентирующего технические требования к рабочему эталону. Разряд по государственной поверочной схеме и (или) метрологические и основные технические характеристики |
7.2, 7.3, 7.4.2 |
Калибратор давления портативный Метран-501 -ПКД-Р с измерительными модулями давления (разрежения): М0,16Д, диапазоны измерений давления: от 0 до 0,16 МПа; от 0 до 0,10 МПа; от 0 до 0,06 МПа; от 0 до 0,04 МПа, пределы допускаемой приведенной (к ВП) погрешности измерений давления ± 0,05 %; М1Д, диапазоны измерений давления: от 0 до 1,0 МПа; от 0 до 0,6 МПа; от 0 до 0,4 МПа; от 0 до 0,25 МПа, пределы допускаемой приведенной (к ВП) погрешности измерений давления ± 0,05 %; М2,5, диапазоны измерений давления: от 0 до 2,5 МПа; от 0 до 1,6 МПа, пределы допускаемой приведенной (к ВП) погрешности измерений давления ± 0,05 %; В63, диапазон измерений разрежения от минус 63 до 0 кПа, пределы допускаемой приведенной (к ВП) погрешности измерений разрежения ± 0,06 %. Барометр рабочий сетевой БРС-1М-1: диапазон измерений абсолютного давления атмосферы от 600 до 1100 гПа, пределы допускаемой абсолютной погрешности измерений абсолютного давления атмосферы ± 33 Па |
Таблица 3.3. Рабочий эталон для поверки ИК расхода жидкости и частоты переменного электрического тока
Номер пункта методики поверки |
Наименование и тип основных средств поверки, номер документа, регламентирующего технические требования к рабочему эталону. Разряд по государственной поверочной схеме и (или) метрологические и основные технические характеристики |
7.2, 7.3, 7.4.3, 7.4.4 |
Генератор сигналов низкочастотный прецизионный ГЗ-110: диапазон частот от 0,01 Гц до 2 МГц, дискретность установки частоты 0,01 Гц, пределы допускаемой относительной погрешности установки частоты ± 3 -10'7 |
Таблица 3.4. Рабочий эталон для поверки ИК напряжения и силы постоянного
электрического тока
Номер пункта методики поверки |
Наименование и тип основных средств поверки, номер документа, регламентирующего технические требования к рабочему эталону. Разряд по государственной поверочной схеме и (или) метрологические и основные технические характеристики |
7.2,7.3, 7.4.5 |
Вольтметр универсальный цифровой GDM-8246: предел измерений напряжения постоянного тока 500 мВ, пределы допускаемой абсолютной погрешности измерений ± (0,0002-Uhsm + 4 ед. мл. разряда); предел измерений напряжения постоянного тока 50 В, пределы допускаемой абсолютной погрешности измерений ± (0,0002-UH3M + 2 ед. мл. разряда), где иизм - измеренное значение напряжения |
Таблица 3.5. Рабочий эталон для поверки ИК напряжения и силы переменного электрического тока
Номер пункта методики поверки |
Наименование и тип основных средств поверки, номер документа, регламентирующего технические требования к рабочему эталону. Разряд по государственной поверочной схеме и (или) метрологические и основные технические характеристики |
7.2, 7.3, 7.4.6 |
Калибратор универсальный Н4-7: предел измерений напряжения переменного тока 200 В, пределы допускаемой погрешности измерений в диапазоне частот от 0,1 Гц до 20 кГц ± (0,005 % UH3M + 0,0005 % Un), предел измерений силы переменного тока 2000 мА, пределы допускаемой погрешности измерений в диапазоне частот от 0,3 до 1 кГц ± (0,06 % 1изм + 0,006 % 1п), где иизм, 1изм - измеренное значение переменного напряжения (тока), Un, 1п - верхний предел измерений переменного напряжения (тока) |
Таблица 3.6. Рабочий эталон для поверки таймера системы
Номер пункта методики поверки |
Наименование и тип основных средств поверки, номер документа, регламентирующего технические требования к рабочему эталону. Разряд по государственной поверочной схеме и (или) метрологические и основные технические характеристики |
7.2, 7.3, 7.4.7 |
Частотомер универсальный CNT-90: диапазон измерений длительности импульсов от 2,5 нс до 106 с, пределы допускаемой относительной погрешности измерений ±5 -10'6 |
Таблица 3.7. Вспомогательные средства, используемые при поверке ИК и таймера системы
Номер пункта методики поверки |
Наименование вспомогательных средств поверки, номер документа, регламентирующего технические требования к вспомогательным средствам. Разряд по государственной поверочной схеме и (или) метрологические и основные технические характеристики |
1 |
2 |
Вспомогательные средства для поверки всех ИК и таймера системы | |
5.1 |
Термометр по ГОСТ 28498-90, диапазон измерений от минус 30 до 60°С, ц. д. 1°С |
Барометр БАММ-1, диапазон измерений от 600 до 800 мм рт. ст., пределы допускаемой абсолютной погрешности измерений ±1,5 мм рт. ст. | |
Психрометр аспирационный типа МВ-4М, диапазон измерений относительной влажности от 10 до 100%, пределы допускаемой абсолютной погрешности измерений ±2,0 % |
Таблица 3.7 (продолжение)
1 |
2 |
7.2, 7.3, 7.4.2 |
Вспомогательные средства, применяемые только для поверки ИК давления |
Помпа ручная пневматическая П-0,25М, диапазон задания давления от минус 90 до плюс 250 кПа | |
Насос ручной пневматический Н-2,5М, диапазон задания давления от 0 до 2,5 МПа | |
7.2, 7.3, 7.4.5 |
Вспомогательные средства, применяемые только для поверки ИК напряжения и силы постоянного электрического тока |
Регулируемый источник напряжения постоянного тока Б5-71/2М, диапазоны изменений напряжения от 0 до 50 В | |
Регулируемый делитель напряжения - резистор СП-0,4-47 Ом (для ИК тока) |
-
3.2 При проведении поверки допускается применять другие средства измерений, удовлетворяющие по точности и диапазону измерений требованиям настоящей методики.
-
3.3 При поверке должны использоваться средства измерений утвержденных типов.
-
3.4 Используемые средства поверки должны быть поверены в соответствии с требованиями приказа Минпромторга России № 1815 от 02.07.2015 г. и иметь действующее свидетельство о поверке (знак поверки).
-
3.5 Вспомогательные средства измерений должны быть поверены в соответствии с требованиями приказа Минпромторга России № 1815 от 02.07.2015 г. и иметь действующее свидетельство о поверке (знак поверки).
4 ТРЕБОВАНИЯ БЕЗОПАСНОСТИ
-
4.1 При проведении поверки необходимо соблюдать требования техники безопасности, предусмотренные «Правилами технической эксплуатации электроустановок потребителей» и «ПОТ Р М-016-2001. РД 153-34.0-03.150-00. Межотраслевыми Правилами по охране труда (Правила безопасности) при эксплуатации электроустановок», ГОСТ 12.2.007.0-75, ГОСТ Р 12.1.019-2009, ГОСТ 12.2.091-2002 и требования безопасности, указанные в технической документации на применяемые эталоны и вспомогательное оборудование.
-
4.2 Любые подключения приборов производить только при отключенном напряжении питания системы.
-
4.3 К поверке допускаются лица, изучившие руководство по эксплуатации системы, знающие принцип действия используемых средств поверки и прошедшие инструктаж по технике безопасности (первичный и на рабочем месте) в установленном в организации порядке.
-
4.4 К поверке допускаются лица, освоившие работу с приборами и используемыми эталонами, изучившие настоящую инструкцию, аттестованные в соответствии с ПР 50.2.01294 и имеющие достаточную квалификацию.
5 УСЛОВИЯ ПОВЕРКИ
При проведении поверки должны соблюдаться следующие условия:
-
5.1 Условия окружающей среды:
-
5.1.1 Температура окружающего воздуха, °C (К):
-
-
- в испытательном боксе....................................... от 10 до 30
(от 283 до 303);
-
- в кабине наблюдения.......................................... от 15 до 25
(от 288 до 298);
-
5.1.2 Относительная влажность воздуха, %...................... не более 80;
-
5.1.3 Атмосферное давление, мм рт. ст. (кПа).................... от 730 до 785
(от 97,3 до 104,6).
-
5.2 Напряжение питания однофазной сети переменного тока при частоте (50 ± 2) Гц, В.................................................................................................. от 198 до 242.
Примечание - При проведении поверочных работ условия окружающей среды средств поверки (рабочих эталонов) должны соответствовать регламентируемым в их руководствах по эксплуатации требованиям.
6 ПОДГОТОВКА К ПОВЕРКЕ
-
6.1 Проверить наличие свидетельства о поверке рабочих эталонов.
-
6.2 Проверить целостность электрических цепей ИК.
-
6.3 При поверке ИК температуры:
-
- отсоединить электрический кабель из состава поверяемого ИК от термометра сопротивления, входящего в состав ИК, и подключить к этому кабелю магазин сопротивления Р4831 (для задания эталонных значений сопротивления на входе ИК с термометрами сопротивления - см. схему на рисунке А. 1.1 в Приложении А. 1.);
-
- отсоединить свободные концы термопар (или компенсационные провода из состава поверяемого ИК с термопарой) от клеммного блока в коробке свободных концов термопар и подключить вместо них, соблюдая полярность напряжения, компаратор напряжений РЗООЗ (для задания эталонных сигналов напряжения постоянного тока на входе ИК с термопарами - см. схему на рисунке А. 1.2 в Приложении А.1);
-
- для обеспечения выполнения операции «Контроль стабильности градуировочной характеристики ИК с термопарами» отключить провода измерительной линии от термометра сопротивления - датчика температуры свободных концов термопар и подключить их к магазину сопротивления Р4831. Установить значение сопротивления магазина, равное сопротивлению отключенного термометра сопротивления при О °C (по ГОСТ Р8.625-2006).
-
6.4 При поверке ИК давления:
-
- соединить измерительный модуль давления из состава калибратора давления «Метран-501-ПКД-Р» (рабочий эталон) с источником давления и с электронным блоком калибратора давления (в соответствии со схемой, приведенной в руководстве по эксплуатации калибратора давления).
Примечание - Тип измерительного модуля давления и тип источника давления (помпа, насос) выбираются в соответствии с рекомендациями, изложенными в руководстве по эксплуатации калибратора давления «Метран-501-ПКД-Р», в зависимости от диапазона измерений поверяемого ИК давления.
-
- соединить датчик давления из состава поверяемого ИК с источником давления, подключенным к калибратору давления (см. схему на рисунке А.2.1 в Приложении А.2).
-
6.5 При поверке ИК расхода жидкости:
-
- отсоединить электрический кабель из состава поверяемого ИК от турбинного преобразователя расхода, входящего в состав ИК, и подключают к этому кабелю генератор эталонных сигналов ГЗ-110 (для задания эталонных значений частоты электрического сигнала на входе ИК - см. схему на рисунке А.3.1 в Приложении А.З).
-
6.6 При поверке ИК частоты переменного электрического тока:
-
- отсоединить электрический кабель из состава поверяемого ИК от электрической цепи, в которой измеряется частота переменного тока, и подключить к этому кабелю генератор эталонных сигналов ГЗ-110 (для задания эталонных значений частоты электрического сигнала на входе ИК - см. схему на рисунке А.4.1 в Приложении А.4).
-
6.7 При поверке ИК напряжения постоянного электрического тока:
-
- отсоединить провода, соединяющие электрическую цепь, в которой измеряется напряжение, с клеммным блоком шкафа измерительной системы, и подключить вместо них к клеммному блоку, соблюдая полярность напряжения, регулируемый источник напряжения постоянного тока Б5-71/2м. Параллельно источнику напряжения подключить вольтметр GDM-8246 (рабочий эталон - см. схему на рисунке А.5.1 в Приложении А.5).
-
6.8 При поверке ИК силы постоянного электрического тока:
-
- отсоединить сигнальные провода от измерительного шунта 75ШСМ, включенного в цепь, в которой измеряется сила тока, и подключить к этим проводам выход делителя напряжения (переменный резистор СП-0,4-47 Ом). Вход делителя напряжения подключить, соблюдая полярность напряжения, к регулируемому источнику напряжения постоянного тока Б5-71/2м и установить напряжение на выходе источника Б5-71/2м, равное 0,1 В. Параллельно выходу делителя напряжения подключить вольтметр GDM-8246 (рабочий эталон - см. схему на рисунке А.5.2 в Приложении А.5.
-
6.9 При поверке ИК напряжения переменного электрического тока:
-
- отсоединить провода, соединяющие вход датчика напряжения (из состава поверяемого ИК напряжения) с электрической цепью, в которой измеряется напряжение, и соединить их с выходом калибратора универсального Н4-7 (см. схему на рисунке А.6.1 в Приложении А.6). Подготовить калибратор к генерированию напряжения переменного тока в диапазоне от 0 до 130 В с частотой 400 Гц.
-
6.10 При поверке ИК силы переменного электрического тока:
-
- отсоединить провода, соединяющие вход датчика тока с трансформатором тока (из состава поверяемого ИК тока), и соединить вход датчика тока с выходом калибратора универсального Н4-7 (см. схему на рисунке А.6.2 в Приложении А.6). Подготовить калибратор к генерированию переменного тока в диапазоне от 0 до 1000 мА с частотой 400 Гц.
-
6.11 При поверке таймера системы:
-
- подключить с помощью специального кабеля эталонный частотомер CNT-90 (далее по тексту - эталонный таймер), используемый в режиме измерения длительности импульсов, к клеммам «Импульс: VBbIX, GND» в шкафу измерительной системы (см. схему на рисунке А.7.1 в Приложении А.7).
-
6.12 Подготовить рабочие эталоны к использованию по назначению в соответствии с их руководствами по эксплуатации.
-
6.13 Включить питание измерительных преобразователей и аппаратуры системы.
7 ПРОВЕДЕНИЕ ПОВЕРКИ
-
7.1 Внешний осмотр
-
7.1.1 При внешнем осмотре необходимо убедиться, что все входящие в ИК компоненты не имеют внешних повреждений, которые могут влиять на работу.
-
7.1.2 Результаты осмотра считать удовлетворительными, если отсутствуют внешние повреждения.
-
-
7.2 Опробование
-
7.2.1 Опробование ИК системы
-
7.2.1.1 Включить питание системы и запустить ее программное обеспечение (ПО).
-
7.2.1.2 Выбрать на экране пункт меню «Поверка» и в появившемся окне выбрать вкладку, соответствующую типу поверяемого ИК:
-
-
-
- Давление;
-
- Температура; .
-
- Частота;
-
- Переменный ток и напряжение;
-
- Постоянный ток и напряжение;
-
- Расход;
-
- Таймер.
-
7.2.1.3 Выбрать из списка на вкладке наименование поверяемого ИК.
-
7.2.1.4 Для опробования ИК подать на его вход от рабочего эталона значения сигналов, соответствующие нижнему и верхнему пределам измерений ИК, и, наблюдая изменение показаний выходного сигнала на экране монитора, убедиться в работоспособности ИК.
-
7.2.1.5 Результаты опробования считать удовлетворительными, если сигнал на выходе ИК изменяется при изменении сигнала на его входе.
Примечания
-
1 При поверке ИК температуры, использующего в своем составе термометр сопротивления, устанавливаемые на входе ИК с помощью рабочего эталона значения сопротивления, соответствующие эталонным значениям температуры, определяются по таблице НСХ термометра сопротивления, входящего в состав ИК (см. ГОСТ Р8.625-2006).
-
2 При поверке ИК температуры, использующего в своем составе термопару, устанавливаемые на входе ИК с помощью рабочего эталона значения сигналов напряжения (ТЭДС термопары), соответствующие эталонным значениям температуры, определить по таблице НСХ термопары, входящей в состав ИК (см. ГОСТ Р8.585-2001) или по ИСХ термопары (если при выполнении измерений используется ИСХ термопары, входящей в состав данного ИК).
При этом вместо термометра сопротивления, измеряющего температуру свободных концов термопар, подключить магазин сопротивления Р4831. На магазине выставить значение сопротивления, равное сопротивлению отключенного термометра при О <С.
-
3 При поверке ИК абсолютного давления эталонное значение абсолютного давления на входе ИК определять как сумму показаний избыточного давления (измерять калибратором Метран-501-ПКД-Р с измерительным модулем избыточного давления) и атмосферного давления (измерять барометром БРС-1М-1). При этом задаваемое на входе ИК с помощью калибратора избыточное давление должно быть равно разности эталонного значения абсолютного давления в контрольной точке и измеренного атмосферного давления.
-
4 При поверке ИК расхода жидкости, устанавливаемые на входе ИК с помощью рабочего эталона значения частоты сигналов, соответствующие эталонным значениям расхода, рассчитать по соответствующей формуле: 1.3а, 1.36 или 1.4а, 1.46 (см. раздел 1).
-
5 При поверке ИК силы постоянного электрического тока, устанавливаемые на входе ИК с помощью регулируемого источника напряжения и рабочего эталона значения напряжения сигналов, соответствующие эталонным значениям силы тока, рассчитать по формуле 1.7 (см. раздел 1).
-
6 При поверке ИК силы переменного электрического тока, устанавливаемые на входе ИК с помощью с помощью регулируемого источника тока и рабочего эталона значения сигналов, соответствующие эталонным значениям силы тока, рассчитать по формуле 1.8 (см. раздел 1).
-
7.2.2 Опробование таймера системы
-
7.2.2.1 Выбрать на экране пункт меню «Поверка» и в появившемся окне выбрать вкладку «Таймер».
-
7.2.2.2 Установить в окне «Заданный интервал времени» на экране монитора значение 600 с.
-
7.2.2.3 Запустить таймер системы нажатием клавиши «Пуск» на экране монитора. При этом таймер должен начать отсчет времени с отображением показаний на экране монитора.
-
7.2.2.4 Остановить таймер нажатием клавиши «Стоп» на экране монитора до окончания заданного интервала времени 600 с. При этом таймер должен остановить отсчет времени, и на экране монитора должно зафиксироваться значение измеренного интервала времени.
-
7.2.2.5 Нажать клавишу «Сброс» на экране монитора. При этом на экране монитора должно установиться число «0».
-
7.2.2.6 Снова запустить таймер системы (см. п. 7.2.2.3) и дождаться окончания отсчета заданного интервала времени (600 с), после чего таймер должен остановиться.
-
7.2.2.7 Произвести сброс показаний таймера (см. п. 7.2.2.5).
-
Примечание - Одновременно с пуском таймером системы на вход эталонного таймера, работающего в режиме измерения длительности импульсов, поступает передний фронт измеряемого положительного импульса. В момент останова таймера системы заканчивается положительный импульс на входе эталонного таймера, и на дисплее эталонного таймера отображается измеренная длительность этого импульса.
-
7.2.2.8 Результаты опробования считать удовлетворительными, если выполняется одновременный отсчет заданного интервала времени эталонным таймером и таймером системы.
7.3 Контроль стабильности градуировочных характеристик ИК (выполняется при периодической поверке)
-
7.3.1 Контроль стабильности градуировочной характеристики выполнять при периодической поверке до начала определения обновленной градуировочной характеристики.
-
7.3.2 Операцию определения обновленной градуировочной характеристики и погрешности ИК проводить только при положительных результатах контроля стабильности. В противном случае выявить причины нестабильности и устранить их.
-
7.3.3 Контроль стабильности градуировочной характеристики ИК выполнять путем сравнения показаний измеряемой величины на экране монитора с задаваемыми эталонными значениями этой величины.
-
7.3.4 Для контроля стабильности градуировочной характеристики подать на вход в поверяемый ИК последовательно 5 значений эталонного сигнала в заданном диапазоне измерений при прямом ходе и 5 значений - при обратном ходе и записать в протокол показания измеряемой величины на экране монитора, соответствующие задаваемым эталонным значениям.
Примечание - Задаваемые эталонные сигналы должны быть равномерно распределены во всем заданном диапазоне измерений ИК.
-
7.3.4 Результаты контроля считать удовлетворительными, если выполняются критерии стабильности градуировочной характеристики ИК (см. раздел 8).
-
7.4 Определение индивидуальных функций преобразования (градуировочных характеристик) и погрешности ИК
-
7.4.1 Определение градуировочной характеристики и погрешности ИК температуры
-
7.4.1.1 Нажать на экране клавишу «Начать поверку».
-
7.4.1.2 В последовательно открывающихся окнах ввести следующую информацию:
-
- Вид поверки: первичная или периодическая;
-
- Условия окружающей среды: температура и влажность воздуха, атмосферное давление;
-
- Сведения о применяемом при поверке ИК рабочем эталоне: наименование, срок очередной поверки, диапазон воспроизведения сопротивления постоянному току (для ИК, использующего термометр сопротивления) или диапазон воспроизведения напряжения постоянного тока (для ИК, использующего термопару), погрешность или класс точности;
-
- Предел абсолютной погрешности рабочего эталона ДС1 (рассчитать в соответствии с п. 8.1.2.7);
-
- Предел абсолютной погрешности ИК температуры свободных концов термопары Дсз (определить при поверке ИК температуры свободных концов термопар);
-
- Предел дополнительной абсолютной погрешности ДС4, вызванной использованием компенсационных проводов для подключения термопары (в случае применения для подключения термоэлектродных проводов эта погрешность принимается равной нулю);
-
- Сведения о применяемом в составе ИК первичном преобразователе: тип термометра сопротивления или термопары, класс допуска, номинальное сопротивление термометра сопротивления Ro, значение температурного коэффициента а (для термометра сопротивления);
-
- Значение ВП поверяемого ИК, °C;
-
- Значения эталонных сигналов, которые будут подаваться на вход ИК в контрольных точках (не менее 5-ти точек).
Примечания
-
1 Выбранные значения эталонных сигналов должны перекрывать весь диапазон измерений ИК (в соответствии с таблицами НСХ термометров сопротивления - из ГОСТ Р8.625-2006 или НСХ термопар - из ГОСТ Р8.585-2001).
-
2 Значения эталонных сигналов должны быть равномерно распределены во всем выбранном диапазоне.
-
7.4.1.3 Установить на входе в ИК с помощью рабочего эталона последовательно не менее 5 значений эталонного сигнала х. при прямом ходе и, соответственно, не менее 5 значений - при обратном ходе (в соответствии с выбранными значениями в контрольных точках - см. п. 7.4.1.2),
где j - номер контрольной точки;
В каждой контрольной точке при прямом и обратном ходе выполнить т измерений эталонного сигнала (сопротивления - для ИК, использующих термометры сопротивления, напряжения постоянного тока - для ИК, использующих термопары). Указанный цикл измерений (прямой и обратный ходы) повторить / раз.
В результате в памяти контроллера сохраняются массивы измеренных значений сигналов сопротивления, Ом (для ИК, использующих термометры сопротивления) или напряжения постоянного тока, В (для ИК, использующих термопары): yjk)M, yjk?e (/= 1, 2,.../; k = 1, 2,...т). При первичной поверке I > 5, т > 5; при периодической поверке I > 3; т > 5.
Примечания
-
1 Для выполнения измерений в контрольной точке нажать на экране клавишу «Записать КТ». При этом автоматически выполняется подряд т измерений (т = 10) и регистрация результатов измерений.
-
2 Обработка результатов измерений, полученных при градуировке и поверке ПК, выполняется автоматически в соответствии с п. 8.1.2 настоящей методики.
Для автоматического расчета и сохранения коэффициентов индивидуальной градуировочной характеристики и погрешности ПК после выполнения всех циклов измерений в контрольных точках нажать на экране клавиши «Расчет» и «Сохранить».
-
3 Градуировка ПК, использующих термометры сопротивления, выполняется для измерения электрического сопротивления (Ом). В дальнейшем, при выполнении измерений температуры, измеренное сопротивление термометра автоматически преобразуется в значение измеряемой температуры с использованием таблицы НСХ термометра из ГОСТ Р8.625-2006, внесенной в память контроллера.
-
4 Градуировка ПК, использующих термопары, выполняется для измерения ТЭДС термопары (мВ). В дальнейшем, при измерениях температуры, автоматически выполняются следующие действия:
-
- измеряется ТЭДС термопары при текущей температуре;
измеряется температура свободных концов термопары (с помощью вспомогательного ПК);
-
- измеренное значение температуры свободных концов термопары переводится в значение ТЭДС (мВ) с использованием таблицы НСХ термопары из ГОСТ Р8.585-2001 (или ИСХ), внесенной в память контроллера;
-
- к измеренному значению ТЭДС термопары добавляется ТЭДС, соответствующая температуре свободных концов термопары (приведение ТЭДС термопары к значению, соответствующему нулевой температуре свободных концов);
-
- приведенное значение ТЭДС термопары преобразуется в значение измеряемой температуры с использованием таблицы НСХтермопары из ГОСТР8.585-2001 (или ИСХ).
-
7.4.2 Определение градуировочной характеристики и погрешности ИК давления
-
7.4.2.1 Нажать на экране клавишу «Начать поверку».
-
7.4.2.2 В последовательно открывающихся окнах ввести следующую информацию:
-
- Вид поверки: первичная или периодическая;
-
- Условия окружающей среды: температура и влажность воздуха, атмосферное давление;
-
- Сведения о применяемом при поверке ИК рабочем эталоне: наименование, срок очередной поверки, диапазон измерения, погрешность;
-
- Предел абсолютной погрешности рабочего эталона ДС1 (рассчитать в соответствии с п. 8.2.2.7);
-
- Предел дополнительной абсолютной погрешности ДС2, вызванной влиянием температуры окружающего воздуха на датчик давления (в единицах измерения давления, кгс/см2 - рассчитать в соответствии с п. 8.2.2.7);
-
- Сведения о применяемом в составе ИК датчике давления: тип, заводской номер;
-
- Значение ВП поверяемого ИК, кгс/см2;
-
- Значения эталонного давления, которое будет подаваться на вход ИК в контрольных точках (не менее 5-ти точек).
Примечание - Значения эталонного давления должны быть равномерно распределены во всем заданном диапазоне измерений ИК.
-
7.4.2.3 Приложить к датчику давления (с помощью источника давления и калибратора давления) последовательно не менее 5 значений эталонного давления ху при прямом ходе и, соответственно, не менее 5 значений - при обратном ходе (в соответствии с выбранными значениями в контрольных точках - см. п. 7.4.2.2),
где] - номер контрольной точки.
В каждой контрольной точке при прямом и обратном ходе выполнить т измерений тока сигнала датчика давления, соответствующего установленному эталонному значению давления. Указанный цикл измерений (прямой и обратный ходы) повторить I раз. В результате в памяти контроллера сохраняются массивы измеренных значений тока сигналов, А: У]к)М’ У]к)б (У = t 2,.../; к = 1, 2,...т). При первичной поверке I > 5, т > 5; при периодической поверке I > 3; т > 5.
Примечания
-
1 Для выполнения измерений в контрольной точке нажать на экране клавишу «Записать КТ». При этом автоматически выполняется подряд т измерений (т = 10) и регистрация результатов измерений.
-
2 Обработка результатов измерений, полученных при градуировке и поверке ПК, выполняется автоматически в соответствии с п. 8.2.2 настоящей методики.
Для автоматического расчета и сохранения коэффициентов индивидуальной градуировочной характеристики и погрешности ПК после выполнения всех циклов измерений в контрольных точках нажать на экране клавиши «Расчет» и «Сохранить».
-
7.4.3 Определение градуировочной характеристики и погрешности ИК расхода жидкости
-
7.4.3.1 Нажать на экране клавишу «Начать поверку».
-
7.4.3.2 В последовательно открывающихся окнах ввести следующую информацию:
-
- Вид поверки: первичная или периодическая;
-
- Условия окружающей среды: температура и влажность воздуха, атмосферное давление;
-
- Сведения о применяемом при поверке ИК рабочем эталоне: наименование, срок очередной поверки, диапазон установки частоты сигнала, погрешность или класс точности;
-
- Предел абсолютной погрешности рабочего эталона ДС1, выраженной в единицах измерения расхода жидкости - л/мин или л/ч (рассчитать в соответствии с п. 8.3.2.7);
-
- Предел абсолютной погрешности применяемого в составе ИК датчика расхода ДС2, выраженной в единицах измерения расхода жидкости - л/мин или л/ч (рассчитать в соответствии с п. 8.3.2.7);
-
- Сведения о применяемом в составе ИК датчике расхода: тип, заводской номер, коэффициенты а, Ъ, с индивидуальной функции преобразования, погрешность, % -относительная (от ИВ), или приведенная (к ВП) датчика;
-
- Значение ВП поверяемого ИК, л/мин (л/ч);
-
- Значения частоты эталонных сигналов, которые будут подаваться на вход ИК в контрольных точках (не менее 5-ти точек).
Примечания
-
1 Верхний предел частоты эталонных сигналов (/ВП) должен быть не менее верхнего предела частоты сигнала турбинного датчика расхода типа ТПР: fBn > 500 Гц.
-
2 Значения эталонных сигналов должны быть равномерно распределены во всем выбранном диапазоне.
-
7.4.3.3 Установить на входе в ИК с помощью эталонного генератора последовательно не менее 5 значений частоты эталонного сигнала х. при прямом ходе и, соответственно, не менее 5 значений - при обратном ходе (в соответствии с выбранными значениями в контрольных точках - см. п. 7.4.3.2),
где j - номер контрольной точки.
В каждой контрольной точке при прямом и обратном ходе выполнить т измерений частоты эталонного сигнала. Указанный цикл измерений (прямой и обратный ходы) повторить / раз. В результате в памяти контроллера сохраняются массивы измеренных значений частоты эталонных сигналов (Гц): yjk)M, у№ (у= 1, 2,.../; к = 1, 2,...т). При первичной поверке I > 5, т > 5; при периодической поверке I > 3; т > 5.
Примечания
-
1 Для выполнения измерений в контрольной точке нажать на экране клавишу «Записать КТ». При этом автоматически выполняется подряд т измерений (т = 10) и регистрация результатов измерений.
-
2 Обработка результатов измерений, полученных при градуировке и поверке ПК, выполняется автоматически в соответствии с п. 8.3.2 настоящей методики.
Для автоматического расчета и сохранения коэффициентов индивидуальной градуировочной характеристики и погрешности ИК после выполнения всех циклов измерений в контрольных точках нажать на экране клавиши «Расчет» и «Сохранить».
-
3 При градуировке ИК объемного расхода жидкости определяется индивидуальная функция преобразования для измерения частоты /(Гц) сигнала датчика расхода жидкости. В дальнейшем, при измерениях расхода, объемный расход жидкости Q рассчитывается автоматически - с использованием измеренного значения частоты сигнала и коэффициентов индивидуальной функции преобразования применяемого в составе ИК датчика расхода (см. п. 1.15).
-
7.4.4 Определение градуировочной характеристики и погрешности ИК частоты переменного электрического тока
-
7.4.4.1 Нажать на экране клавишу «Начать поверку».
-
7.4.4.2 В последовательно открывающихся окнах ввести следующую информацию:
-
- Вид поверки: первичная или периодическая;
-
- Условия окружающей среды: температура и влажность воздуха, атмосферное давление;
-
- Сведения о применяемом при поверке ИК рабочем эталоне: наименование, срок очередной поверки, диапазон установки частоты сигнала, погрешность или класс точности;
-
- Предел абсолютной погрешности рабочего эталона ЛС1, выраженной в единицах измерения частоты - Гц (рассчитать в соответствии с п. 8.4.2.7);
-
- Значение ВП поверяемого ИК, Гц;
-
- Значения частоты эталонных сигналов, которые будут подаваться на вход ИК в контрольных точках (не менее 5-ти точек).
Примечание - Значения частоты эталонных сигналов должны быть равномерно распределены во всем заданном диапазоне измерений ИК.
-
7.4.4.3 Установить на входе в ИК с помощью эталонного генератора последовательно не менее 5 значений частоты эталонного сигнала х. при прямом ходе и, соответственно, не менее 5 значений - при обратном ходе (в соответствии с выбранными значениями в контрольных точках - см. п. 7.4.4.2),
где j - номер контрольной точки.
В каждой контрольной точке при прямом и обратном ходе выполнить т измерений частоты эталонного сигнала. Указанный цикл измерений (прямой и обратный ходы) повторить I раз. В результате в памяти контроллера сохраняются массивы измеренных значений частоты эталонных сигналов, Гц: yJkyM, yJk]£ (у= 1, 2,.../; k = 1, 2,...т). При первичной поверке I > 5, т > 5; при периодической поверке I > 3; т > 5.
Примечания
-
1 Для выполнения измерений в контрольной точке нажать на экране клавишу «Записать КТ». При этом автоматически выполняется подряд т измерений (т = 10) и регистрация результатов измерений.
-
2 Обработка результатов измерений, полученных при градуировке и поверке ИК, выполняется автоматически в соответствии с п. 8.4.2 настоящей методики.
Для автоматического расчета и сохранения коэффициентов индивидуальной градуировочной характеристики и погрешности ИК после выполнения всех циклов измерений в контрольных точках нажать на экране клавиши «Расчет» и «Сохранить».
7А.5 Определение градуировочной характеристики и погрешности ИК напряжения и силы постоянного электрического тока
-
7.4.5.1 Нажать на экране клавишу «Начать поверку».
-
7.4.5.2 В последовательно открывающихся окнах ввести следующую информацию:
-
- Вид поверки: первичная или периодическая;
-
- Условия окружающей среды: температура и влажность воздуха, атмосферное давление;
-
- Сведения о применяемом при поверке ИК рабочем эталоне: наименование, срок очередной поверки, диапазон измерений, погрешность или класс точности;
-
- Предел абсолютной погрешности рабочего эталона ДС1, выраженной в единицах измерения напряжения (В) - для ИК напряжения или в единицах измерения силы тока (А) -для ИК тока (рассчитать в соответствии с п. 8.5.2.7);
-
- Предел абсолютной погрешности датчика тока ДС2, выраженной в единицах измерения силы тока (только для ИК тока - рассчитать в соответствии с п. 8.5.2.7);
-
- Сведения о применяемом в составе ИК тока датчике тока (измерительный шунт): тип, коэффициент передачи, погрешность (%);
-
- Значение ВП поверяемого ИК, В (А);
-
- Значения эталонных сигналов, которые будут подаваться на вход ИК в контрольных точках (не менее 5-ти точек).
Примечания
-
1 Значения эталонных сигналов, соответствующие эталонным значениям силы тока (для ИК тока) рассчитать по формуле 1.7 (см. раздел 1).
-
2 Значения эталонных сигналов должны быть равномерно распределены во всем заданном диапазоне измерений ИК.
-
7.4.5.3 Установить на входе в ИК с помощью регулируемого источника напряжения и эталонного вольтметра последовательно не менее 5 значений эталонного сигнала () при прямом ходе и, соответственно, не менее 5 значений - при обратном ходе (в соответствии с выбранными значениями в контрольных точках - см. п. 7.4.5.2),
где j - номер контрольной точки.
В каждой контрольной точке при прямом и обратном ходе выполнить т измерений напряжения эталонного сигнала. Указанный цикл измерений (прямой и обратный ходы) повторить I раз. В результате в памяти контроллера сохраняются массивы измеренных значений напряжения сигналов (В): yjkjM , у]куБ (у = 1, 2,.../; к = 1, 2,...т). При первичной поверке 1> 5, т> 5; при периодической поверке I > 3; т > 5.
Примечания
-
1 Для выполнения измерений в контрольной точке нажать на экране клавишу «Записать КТ». При этом автоматически выполняется подряд т измерений (т = 10) и регистрация результатов измерений.
-
2 Обработка результатов измерений, полученных при градуировке и поверке ИК, выполняется автоматически в соответствии с п. 8.5.2 настоящей методики.
Для автоматического расчета и сохранения коэффициентов индивидуальной градуировочной характеристики и погрешности ИК после выполнения всех циклов измерений в контрольных точках нажать на экране клавиши «Расчет» и «Сохранить».
-
7.4.6 Определение градуировочной характеристики и погрешности ИК напряжения и силы переменного электрического тока
-
7.4.6.1 Нажать на экране клавишу «Начать поверку».
-
7.4.6.2 В последовательно открывающихся окнах ввести следующую информацию:
-
- Вид поверки: первичная или периодическая;
-
- Условия окружающей среды: температура и влажность воздуха, атмосферное давление;
-
- Сведения о применяемом при поверке ИК рабочем эталоне: наименование, срок очередной поверки, диапазон измерений, погрешность или класс точности;
-
- Предел абсолютной погрешности рабочего эталона АС1, выраженной в единицах измерения силы тока - для ИК тока или в единицах измерения напряжения - для ИК напряжения (рассчитать в соответствии с п. 8.6.2.8);
-
- Предел абсолютной погрешности первичного преобразователя ДС2 -трансформатора тока (рассчитать в соответствии с п. 8.6.2.8 - только для ИК тока);
-
- Сведения о применяемом в составе ИК тока трансформаторе тока: тип, отношение первичного тока к вторичному (I1/I2), относительная погрешность (%);
-
- Значение ВП поверяемого ИК, В (А);
-
- Значения эталонных сигналов, которые будут подаваться на вход ИК в контрольных точках (не менее 5-ти точек).
Примечания
-
1 Значения эталонных сигналов, соответствующие эталонным значениям силы тока (для ИК тока) рассчитать по формуле 1.8 (см. раздел 1).
-
2 Значения эталонных сигналов должны быть равномерно распределены во всем заданном диапазоне измерений ИК.
1А.63 Установить на входе в ИК с помощью рабочего эталона (калибратора) последовательно не менее 5 значений действующего значения эталонного сигнала силы тока - для ИК тока (или эталонного напряжения - для ИК напряжения) х. при прямом ходе и, соответственно, не менее 5 значений - при обратном ходе (в соответствии с выбранными значениями в контрольных точках - см. п. 7.4.6.2),
где j - номер контрольной точки.
Для заданного действующего значения эталонного сигнала переменного тока (напряжения) в контрольной точке выполнить п измерений мгновенных значений сигнала за один период колебаний сигнала при заданной частоте опроса канала fU3M.
Примечание - При частоте измерений fu3M = 250 кГц и частоте сигнала тока (напряжения) fc = 400 Гц имеем:

250-Ю3
400
(7.4.6)
В каждой контрольной точке при прямом и обратном ходе выполнить т таких измерений. Указанный цикл измерений (прямой и обратный ходы) повторить / раз.
В результате в памяти контроллера сохраняются массивы групп из п измеренных мгновенных значений сигналов тока (напряжения) за период: yJk)M, yJk)S (/=1,2,.../; k = 1, 2,.. .т). При первичной поверке I > 5, т > 5; при периодической поверке I > 3; т > 5.
Примечания
-
1 Для выполнения измерений в контрольной точке нажать на экране клавишу «Записать КТ». При этом автоматически выполняется подряд т измерений (т - 10) и регистрация результатов измерений.
-
2 Обработка результатов измерений, полученных при градуировке и поверке ИК, выполняется автоматически в соответствии с п. 8.7.2 настоящей методики.
Для автоматического расчета и сохранения коэффициентов индивидуальной градуировочной характеристики и погрешности ИК после выполнения всех циклов измерений в контрольных точках нажать на экране клавиши «Расчет» и «Сохранить».
-
7.4.7 Определение погрешности таймера системы
-
7.4.7.1 Произвести сброс на «О» показаний таймера системы нажатием клавиши «Сброс» на экране монитора.
-
7.4.7.2 Установить в окне «Заданный интервал времени» на экране монитора значение 600 с.
-
7.4.7.3 Запустить таймер системы нажатием клавиши «Пуск» на экране монитора.
-
7.4.7.4 По истечении заданного интервала времени таймер системы останавливается, а на дисплей эталонного таймера выводится измеренная длительность импульса, сформированного от момента пуска до момента останова таймера. Записать в таблицу протокола поверки (см. Приложение Б. 8) показания таймера системы (Тсист) и эталонного таймера (Тэтал).
-
7.4.7.5 Повторить действия пунктов 7.4.7.1 ... 7.4.7.4 еще четыре раза.
Примечание - Обработку результатов измерений, полученных при поверке таймера системы, выполнить в соответствии с п. 8.7 настоящей методики.
-
7.5 Проверка контрольной суммы исполняемого кода (цифрового идентификатора)
Для определения идентификационных признаков метрологически значимых компонентов ПО Запуск-4 запустить рабочую программу «ПО Запуск-4» и далее «Поверка». В окне «Поверка и градуировка измерительных каналов» нажать клавишу «О программе», после чего программа автоматически выполняет определение идентификационных наименования и номеров версий метрологически значимых компонентов ПО Запуск-4 и вычисляются значения цифрового идентификатора (хеш-сумм) по алгоритму md5. В результате работы на экран монитора АРМ испытателя выводится окно рабочей панели программы. В окне, вид которого представлен на рисунке 1 (см. ниже), расположена сводная таблица «Результаты определения идентификационных признаков метрологически значимых компонентов ПО Запуск-4», столбцы которой указывают:
-
• «Наименование ПО» - полное наименование метрологически значимого компонента ПО Запуск-4;
-
• «Версия» - идентификационный номер (номер версии) метрологически значимого компонента ПО Запуск-4;
-
• «Контрольная сумма MD5» - текущий цифровой идентификатор (контрольная сумма исполняемого кода) метрологически значимого компонента ПО Запуск-4;
*-------------------------------------------------------■

>ч О программе
"Запуск-4"
Система измерительная испытательного стенда вспомогательной силовой установки ВСУ-117
Версия 3.0.3
ООО "Витэк - Автоматика" 2016
НАИМЕНОВАНИЕ ПО
ВЕРСИЯ
КОНТРОЛЬНАЯ СУММА (MD5)
1.0.0
Рисунок 1 - Вид окна рабочей панели программы
«ПО Запуск-4»
Результаты проверки контрольной суммы исполняемого кода (цифрового идентификатора) считать положительными, если текущая контрольная сумма совпала с заданной по документации.
8 ОБРАБОТКА РЕЗУЛЬТАТОВ ИЗМЕРЕНИЙ
-
8.1 Обработка результатов измерений при поверке ИК температуры
-
8.1.1 Обработка результатов контроля стабильности градуировочной характеристики ИК (выполняется при периодической поверке)
-
Проверить выполнение критериев стабильности градуировочной характеристики: |xjM-Xj|max< А* , °C, (8.1.1а)
|xjB-Xj|max<A* , °C, (8.1.16)
где Xj - задаваемые эталонные значения температуры в контрольных точках;
XjM, xjB - выведенные на экран монитора результаты измерений температуры (°C) в контрольных точках при прямом и обратном ходе цикла измерений;
А* - предел допускаемой абсолютной погрешности ИК температуры.
-
8.1.2 Обработка результатов градуировки ИК
-
8.1.2.1 Массивы измеренных значений эталонных сигналов (yJk)M, У1к7в) предварительно обработать на предмет устранения грубых промахов. Провести исключение анормальных результатов наблюдений. При этом использовать критерий оценки анормальности результатов наблюдений при неизвестном генеральном среднем квадратическом отклонении, изложенный в «Справочном пособии для работников метрологических служб» (книга 1, 3-е издание, 1990 г., авторы - Б. Г. Артемьев и С. М. Голубев).
-
8.1.2.2 Вычислить среднее значение результатов измерений эталонных сигналов в каждой j-той контрольной точке:
У JM + У jB У}=-----
(8.1.2)
S У JfyM
гДе yJM=JLy----- (8.1.3а),
1-т
8.1.2.3 С использованием средних
-
сигналов в контрольных точках вычислить методом наименьших квадратов индивидуальную функцию преобразования ИК (градуировочную характеристику):
х = а0 +ах -у, Ом (мВ) (8.1.4)
8.1.2.4. Вычислить систематическую составляющую абсолютной погрешности
измерения в каждой j-той контрольной точке:
(8.1.5)
Д'у = |а0 + ■ yj - Xj | , Ом (мВ),
где х - задаваемое значение эталонного сигнала в j-той контрольной точке (Ом - для ИК с термометрами сопротивления, мВ - для ИК с термопарой).
Далее вычисленное значение Д'. преобразовать по НСХ термометра сопротивления или термопары в значение А ., выраженное в физических единицах измерения температуры (°C).
8.1.2.5. Вычислить вариацию в каждой j-той контрольной точке: b'j=\xjM-xjB ’ Ом (мВ),
(8.1.6)
где xjM=a0+ax-yjM (ЬЛЛа)
xjB=a0+a}-yJB (8.1.76)
Далее вычисленное значение 6' преобразовать по НСХ термометра сопротивления или термопары в значение bj, выраженное в физических единицах измерения температуры (°C).
-
8.1.2.6 Вычислить оценку среднего квадратического отклонения в каждой j-той контрольной точке:
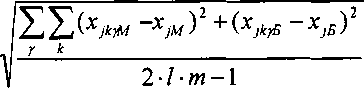
, Ом (мВ),
(8.1.8)
гДе xJk)M =^+^-У}к^ (8.1.9а)
xjk7B=a0+ax-yjk7E (8.1.96)
Далее вычисленное значение 5'(Д°) преобразовать по НСХ термометра сопротивления или термопары в значение ^(Д0), выраженное в физических единицах измерения температуры (°C).
-
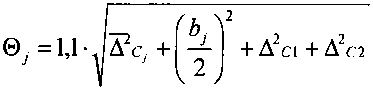
8.1.2.7 В каждой j-той контрольной точке вычислить границу суммы неисключенных систематических погрешностей 0;:
а) для ИК, использующих термометры сопротивления:

2
(8.1.10)
\ J
где ДС1 - предел абсолютной погрешности рабочего эталона (магазина сопротивления Р4831), выраженный в градусах Цельсия, который принимается постоянным, и определяется следующим образом:
- для максимального значения сопротивления (/?„), устанавливаемого при поверке ИК с помощью магазина сопротивления Р4831, рассчитать значение основной относительной погрешности магазина (по формуле, приведенной в паспорте магазина):
г_,=0,02 + 2-10-6(4-1).%.К
(8.1.11)
где RK =111111,1 Ом - наибольшее значение сопротивления магазина;
R = Rn- номинальное включенное сопротивление магазина, Ом;
- рассчитать значение абсолютной погрешности (Длиг) магазина сопротивления при установке значения сопротивления, равного Rn, по формуле:

(8.1.12)
-
- с использованием НСХ термометра сопротивления рассчитать методом линейной интерполяции: значение температуры хп, соответствующее сопротивлению Rn, и значение температуры х соответствующее значению сопротивления R’n=Rn + Ь.маг , Ом;
-
- рассчитать предел погрешности рабочего эталона, выраженный в градусах Цельсия, по формуле:
(8.1.13)
ДС2 - предел погрешности входящего в состав ИК термометра сопротивления, который определяется в каждой контрольной точке следующим образом:
- с использованием НСХ термометра сопротивления определить значение температуры, соответствующее установленному на входе ИК значению эталонного сопротивления;
- с использованием определенного значения температуры рассчитать по формулам, приведенным в ГОСТ Р8.625-2006 (в зависимости от типа и класса (А, В, С) термометра сопротивления), значение погрешности термометра Ас2..
б) для ИК, использующих термопары:

где ДС1 - предел абсолютной погрешности рабочего эталона (компаратора напряжений РЗООЗ), выраженный в градусах Цельсия, который принимается постоянным и определяется следующим образом:
- для максимального значения ЭДС (£„), устанавливаемого при поверке ИК с помощью компаратора РЗООЗ, рассчитать значение абсолютной погрешности компаратора А№Л,„ (по формуле, приведенной в паспорте компаратора):
А_я=(ЗО-[7 + О,5)-1О-3,мВ, (8.1.15)
где U = Еп- значение устанавливаемого напряжения, выраженное в вольтах;
-
- с использованием НСХ термопары рассчитать методом линейной интерполяции: значение температуры х„, соответствующее ЭДС Еп, и значение температуры х'п , соответствующее значению ЭДС Е'п=Еп+ Акомп, мВ;
-
- рассчитать предел погрешности рабочего эталона АС1, выраженный в градусах Цельсия, по формуле (8.1.13).
АС2 - предел абсолютной погрешности входящей в состав ИК термопары, который определяется в каждой контрольной точке следующим образом:
-
- с использованием НСХ термопары определить значение температуры, соответствующее установленному на входе ИК значению ЭДС;
-
- с использованием определенного значения температуры рассчитать по формулам, приведенным в ГОСТ Р8.585-2001 (в зависимости от типа и класса (1, 2, 3) термопары), значение погрешности термопары АС2..
Примечание - В случае, если при обработке результатов измерений используется индивидуальная статическая характеристика (ИСХ) входящей в состав ИК термопары, вместо погрешности термопары учитывается погрешность определения ИСХ (определяется отдельно).
Асз - предел абсолютной погрешности ИК температуры свободных концов термопары;
АС4 - предел дополнительной абсолютной погрешности, вызванной использованием компенсационных проводов для подключения термопары (в соответствии с ТУ 16.К19-04-91).
Примечание - Здесь и далее - для ИК всех типов, если в формуле для расчета 0; наибольшая составляющая погрешности в десять или более раз превышает каждую из остальных составляющих, то значение 0у принимается равным наибольшей составляющей.
-
8.1.2.8 Оценить границы суммарной абсолютной погрешности Ау в каждой j-той контрольной точке следующим образом:
0
-
• Определить К =---— (8.1.16)
-S'/А’)
-
• Если К > 8, то Ау = 0у
-
(8.1.17)
-
(8.1.18)
-
-
• Если К < 0,8, то ■ = t • Sj (А0)
^ + 52;(А’)-
Г5у(А°) + 0у
(8.1.19)
где t - коэффициент Стьюдента, который определяется при доверительной вероятности Р = 0,95 для и = 27-w-l в соответствии с ГОСТ 8.207-76, Приложение 2.
-
8.1.2.9 Пределы абсолютной погрешности ИК принимать равными максимальному значению погрешности А. из всех контрольных точек:
(8.1.20)
-
8.2 Обработка результатов измерений при поверке ИК давления
-
8.2.1 Обработка результатов контроля стабильности градуировочной характеристики ИК (выполняется при периодической поверке)
-
Проверить выполнение критериев стабильности градуировочной характеристики (см. п. 8.1.1).
-
8.2.2 Обработка результатов градуировки ИК
-
8.2.2.1 Массивы измеренных значений тока сигналов давления yjk)M, yJk]e предварительно обработать на предмет устранения грубых промахов (см. п. 8.1.2.1).
-
8.2.2.2 Вычислить по формуле 8.1.2 среднее значение результатов измерений силы тока сигналов давления в каждой j-той контрольной точке.
-
8.2.2.3 С использованием средних значений результатов измерений силы тока сигналов давления в контрольных точках вычислить методом наименьших квадратов индивидуальную функцию преобразования ИК (градуировочную характеристику):
x = a0+at-y , кгс/см
-
(8.2.1)
-
8.2.2.4 Вычислить систематическую составляющую абсолютной погрешности измерения А . в каждой j-той контрольной точке:
где Xj - задаваемое эталонное значение давления в j-той контрольной точке.
8.2.2.5 Вычислить вариацию bj в каждой j-той контрольной точке:
где xjM = a0+ax-yjM, xjE=a0+ax-yjE
-
8.2.2.6 Вычислить оценку среднего квадратического отклонения в каждой j-той контрольной точке:
(8.2.4)
где xjk^ — а0 + ах ■ уjkfM , xjkyE = а0 + ах • уjk)E
-
8.2.2.7 Для каждой j-той контрольной точки вычислить границу суммы неисключенных систематических погрешностей 0у:
+ Д2с1 + А2с2 , кгс/см2,
(8.2.5)
где АС1 - предел абсолютной погрешности рабочего эталона, выраженной в единицах измерения давления (кгс/см2), который рассчитывается:
а) для ИК избыточного давления или разрежения - по формуле:
Aci=Zi£i5^’ кгс/см2’ (8’2'6)
где ук - погрешность калибратора давления, приведенная к верхнему пределу измерений его измерительного модуля избыточного давления или разрежения, %;
РВПк- верхний предел используемого поддиапазона измерений модуля избыточного давления или разрежения из состава калибратора давления, кгс/см2;
б) для ИК абсолютного давления - по формуле:
(v -Р У
д Гк ВПк +Д2 кгс/см2 (8.2.7)
100 J
где ук - погрешность калибратора давления, приведенная к верхнему пределу измерений его измерительного модуля избыточного давления, %;
РВПк" верхний предел измерений модуля избыточного давления из состава калибратора давления, кгс/см2;
Або/) - предел абсолютной погрешности барометра, используемого совместно с калибратором избыточного давления при поверке ИК абсолютного давления.
ЛС2 - предел дополнительной абсолютной погрешности, вызванной влиянием температуры окружающего воздуха на датчик давления:
АГ2= —---кгс/см2, (8.2.8)
С2 10 т 100
где РВПд, - верхний предел измерения датчика давления, кгс/см2;
уг - дополнительная погрешность датчика давления, вызванная изменением температуры окружающего воздуха на каждые 10 °C, выраженная в процентах от диапазона изменения выходного сигнала (в соответствии с руководством по эксплуатации датчика);
Тп - температура окружающего воздуха в месте установки датчика давления (в боксе испытательного стенда) при проведении поверки ИК;
Тэ - верхний (30 °C) или нижний (10 °C) предел температуры окружающего воздуха в месте установки датчика давления при эксплуатации ИК, наиболее удаленный от Тп.
-
8.2.2.8 Оценить границы суммарной абсолютной погрешности Ау в каждой j-той контрольной точке (см. п. 8.1.2.8).
-
8.2.2.9 Пределы абсолютной погрешности ИК А принимать равными максимальному значению погрешности А из всех контрольных точек:
А = ±А, , кгс/см2 (8.2.9)
J шах ’
-
8.2.2.10 Вычислить пределы приведенной погрешности ИК:
. А-100 О/
(8.2.10)
У = ±-----,%,
где х„ - верхний предел измерений поверяемого ИК давления, кгс/см2.
Примечание - Для ИК избыточного давления и разрежения погрешность приводится к сумме верхних пределов измерения избыточного давления и разрежения (без учета знака).
-
8.3 Обработка результатов измерений при поверке ИК расхода жидкости
-
8.3.1 Обработка результатов контроля стабильности градуировочной характеристики ИК (выполняется при периодической поверке)
-
Проверить выполнение критериев стабильности градуировочной характеристики (см. п. 8.1.1).
-
8.3.2 Обработка результатов градуировки ИК
-
8.3.2.1 Массивы измеренных значений частоты эталонных сигналов yjklM, предварительно обработать на предмет устранения грубых промахов (см. п. 8.1.2.1).
-
8.3.2.2 Вычислить по формуле 8.1.2 среднее значение результатов измерений частоты эталонных сигналов в каждой j-той контрольной точке.
-
8.3.2.3 С использованием средних значений результатов измерений частоты эталонных сигналов в контрольных точках вычислить методом наименьших квадратов индивидуальную функцию преобразования ИК (градуировочную характеристику):
-
х = а0+Л]-у,Гц (8.3.1)
-
8.3.2.4 Вычислить систематическую составляющую абсолютной погрешности измерения в каждой j-той контрольной точке:
\'cj = |а0 + а, • - ху| , Гц, (8.3.2)
где х - задаваемое значение частоты эталонного сигнала в j-той контрольной точке. Далее вычисленное значение Д'. преобразовать в значение Асу, выраженное в физических единицах измерения объемного расхода жидкости (л/мин или л/ч), по одной из формул:
Дсу = 60 • b • bfj, л/мин, (при с = 0) (8.3.3а)
или
Дсу = 60• [b • Л/,. + 2• с • /, • А/) + с ■ (А/))2] , л/мин (при с * 0), (8.3.36)
или
Дсу = 3600-b'/yfy, л/ч, (при с = 0) (8.3.3в)
или
Асу = 3600 • [& • А/,. + 2 • с • fy ■ + с ■ (А/,)2 ] , л/ч (при с * 0), (8.3.3г)
где Д/у = Aq , Гц;
fy - задаваемое значение частоты эталонного сигнала в j-той контрольной точке, Гц;
Ь, с - коэффициенты индивидуальной функции преобразования применяемого в составе ИК преобразователя расхода (Q = a + b- f + с- f2, л/с).
-
8.3.2.5 Вычислить вариацию в каждой j-той контрольной точке:
b'j=\XJM ~xje\ >ГЦ> (8-3-4)
где xjM = а0 + • уjM , xJE =а0+а}- у jB
Далее вычисленное значение 6' преобразовать в значение by, выраженное в физических единицах измерения объемного расхода жидкости (л/мин или л/ч), по одной из формул: 8.3.3а, 8.3.36 или 8.3.Зв, 8.3.3г, где А/у =/>', Гц.
-
8.3.2.6 Вычислить оценку среднего квадратического отклонения в каждой j-той контрольной точке:
(8.3.5)
где xjklM = а0+а1' уjk]M , xjkfe = а0 + at ■ уjkrE
Далее вычисленное значение 5'(Д°) преобразовать в значение S (Д°), выраженное в физических единицах измерения объемного расхода жидкости (л/мин или л/ч), по одной из формул: 8.3.3а, 8.3.36 или 8.3.Зв, 8.3.3г, где А/) =/>', Гц.
-
8.3.2.7 В каждой j-той контрольной точке вычислить границу суммы неисключенных систематических погрешностей 0у:
, л/мин (л/ч),
(8.3.6)
где ДС1 - предел погрешности рабочего эталона в единицах измерения расхода жидкости, который принимается постоянным и рассчитывается по формуле:
Лс1 =7о^ ’ и7™ <8-3-7)где 8 - относительная погрешность генератора эталонных сигналов, %;
хп - верхний предел измерений расхода жидкости для поверяемого ИК, л/мин (л/ч);
ДС2 - предел абсолютной погрешности первичного преобразователя (датчика) расхода жидкости, который принимается постоянным и рассчитывается по одной из формул:
АС2 = ’ л/мин (л/ч), (8.3.8)
где 8ДР - относительная погрешность датчика расхода, %,
или у ПР-ВПИПР
ДГ2 =—------—-60 , л/мин, (8.3.9)
С2 100
где ВПИдр - верхний предел измерений датчика расхода, выбранный при его поверке, л/с;
уДР - погрешность датчика расхода, приведенная к его верхнему пределу измерений, %,
или у пр ВПИ пр
к = LSL------^.3600 , л/ч (8.3.10)
С2 100 _
-
8.3.2.8 Оценить границы суммарной абсолютной погрешности Д. в каждой j-той контрольной точке (см. п. 8.1.2.8).
-
8.3.2.9 Пределы абсолютной погрешности ИК (Д) принимать равными максимальному значению погрешности Ду из всех контрольных точек.
-
8.3.2.10 Вычислить по формуле 8.2.10 пределы приведенной погрешности ИК (где хп -верхний предел измерений поверяемого ИК расхода жидкости, л/мин (л/ч)).
-
8.4 Обработка результатов измерений при поверке ИК частоты переменного электрического тока
-
8.4.1 Обработка результатов контроля стабильности градуировочной характеристики ИК (выполняется при периодической поверке)
Проверить выполнение критериев стабильности градуировочной характеристики (см. п. 8.1.1).
-
8.4.2 Обработка результатов градуировки ИК
-
8.4.2.1 Массивы измеренных значений частоты эталонных сигналов yjk)M, yjkyB предварительно обработать на предмет устранения грубых промахов (см. п. 8.1.2.1).
-
8.4.2.2 Вычислить по формуле 8.1.2 среднее значение результатов измерений частоты эталонных сигналов в каждой j-той контрольной точке.
-
8.4.2.3 С использованием средних значений результатов измерений частоты эталонных сигналов в контрольных точках вычислить методом наименьших квадратов индивидуальную функцию преобразования ИК (см. п. 8.3.2.3).
-
8.4.2.4 Вычислить по формуле 8.3.2 систематическую составляющую абсолютной погрешности измерения А . в каждой j-той контрольной точке.
-
8.4.2.5 Вычислить по формуле 8.3.4 вариацию bj в каждой j-той контрольной точке.
-
8.4.2.6 Вычислить по формуле 8.3.5 оценку среднего квадратического отклонения 5/А0) в каждой j-той контрольной точке.
-
8.4.2.7 Для каждой j-той контрольной точки вычислить границу суммы неисключенных систематических погрешностей 0у:
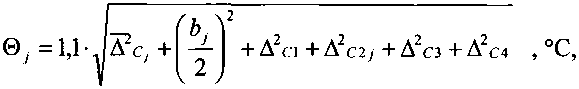
0, =1,1
(8.4.1)
где ДС1 - предел абсолютной погрешности рабочего эталона в единицах измерения частоты (Гц), который принять постоянным и рассчитать по формуле:

(8.4.2)
где 8 - относительная погрешность генератора эталонных сигналов, %;
хп - верхний предел измерений частоты для поверяемого ИК, Гц.
-
8.4.2.8 Оценить границы суммарной абсолютной погрешности А в каждой j-той контрольной точке (см. п. 8.1.2.8).
-
8.4.2.9 Пределы абсолютной погрешности ИК (А) принимать равными максимальному значению погрешности А • из всех контрольных точек.
-
8.4.2.10 Вычислить по формуле 8.2.10 пределы приведенной погрешности ИК (где хп -верхний предел измерений поверяемого ИК частоты, Гц).
-
8.5 Обработка результатов измерений при поверке ИК напряжения и силы и постоянного электрического тока
-
8.5.1 Обработка результатов контроля стабильности градуировочной характеристики ИК (выполняется при периодической поверке)
Проверить выполнение критериев стабильности градуировочной характеристики (см.
п. 8.1.1).
-
8.5.2 Обработка результатов градуировки ИК напряжения и силы постоянного тока
-
8.5.2.1 Массивы измеренных значений напряжения эталонных сигналов yJk)M, yJk}E предварительно обработать на предмет устранения грубых промахов (см. п. 8.1.2.1).
-
8.5.2.2 Вычислить по формуле 8.1.2 среднее значение результатов измерений напряжения эталонных сигналов в каждой j-той контрольной точке.
-
8.5.2.3 С использованием средних значений результатов измерений напряжения эталонных сигналов в контрольных точках вычислить методом наименьших квадратов индивидуальную функцию преобразования ИК (градуировочную характеристику):
х - а0 + ах • у , В (мВ) (8.5.1)
-
8.5.2.4 Вычислить систематическую составляющую абсолютной погрешности измерения в каждой j-той контрольной точке:
а) для ИК напряжения
Дсу = |а0 + а, ■ yj - Xj| , В, (8.5.2)
где Xj - задаваемое эталонное значение напряжения в j-той контрольной точке, В;
б) для ИК силы тока
Д'у = |а0 + ах ■ уj - х 1 , мВ (8.5.3)
где Xj - задаваемое значение напряжения эталонного сигнала в j-той контрольной точке, мВ.
значение Д .,
Далее вычисленное значение Д'. преобразовать по формуле (1.5) выраженное в физических единицах измерения силы тока (А).
-
8.5.2.5 Вычислить вариацию в каждой j-той контрольной точке:
а) для ИК напряжения
(8.5.4)
bj ~ \XJM XjE ’ В’
б) для ИК силы тока
b'j ,мВ,
XJE = а0 + а\ ' У ]Б
(8.5.5)
где xJM=a0+ax-yjM,
Далее вычисленное значение />' преобразовать по формуле (1.5) выраженное в физических единицах измерения силы тока (А).
8.5.2.6 Вычислить оценку среднего квадратического контрольной точке:
а) для ИК напряжения
значение Ь},
отклонения
каждой j-той
б) для ИК силы тока
У У OW XJm) + (Xjk}£ XjE^
Г к
2-1-т-1
,В,
(8.5.6)
Sj^ = \
У}У\(Х ihM XJm) + (Xjk>E Xjs)
Г к
2 • I • т -1
гДе xjw =a0+ax-yjklM, х]куБ = ай + ах ■ уjkyE
,мВ,
(8.5.7)
Далее вычисленное значение 5'(Д°) преобразовать по формуле (1.5) в значение 5у(Д°), выраженное в физических единицах измерения силы тока (А).
-
8.5.2.7 Для каждой j-той контрольной точки вычислить границу суммы неисключенных систематических погрешностей 0у:
а) для ИК напряжения:
АС1 = 0,0002 • Un + 2 • 0,001 , В, (8.5.9)
где Un - верхний предел измерений поверяемого ИК напряжения, В;
б) для ИК тока:
ДС1 = (0,0002 • Ucn + 4 • 0,01) • Кш, А, (8.5.10)
где Ucn - значение эталонного сигнала (мВ) на входе поверяемого ИК, соответствующее верхнему пределу измерений силы тока (см. формулу 1.7).
Кш - коэффициент передачи измерительного шунта (A/мВ) из состава поверяемого ИК силы тока.
Предел абсолютной погрешности датчика тока (ДС2) принимать постоянным и рассчитать по формуле:
д а, (8.5.11)
С2 100
где Зш - относительная погрешность измерительного шунта (из состава поверяемого ИК),,%;
хп - верхний предел измерений ИК тока, А.
-
8.5.2.8 Оценить границы суммарной абсолютной погрешности Д. в каждой j-той контрольной точке (см. п. 8.1.2.8).
-
8.5.2.9 Пределы абсолютной погрешности ИК напряжения и силы постоянного тока (Д) принимать равными максимальному значению погрешности Д. из всех контрольных точек.
-
8.5.2.10 Вычислить по формуле 8.2.10 пределы приведенной погрешности ИК напряжения и силы постоянного тока (где хп - верхний предел измерений поверяемого ИК напряжения (В) или силы тока (А)).
-
8.6 Обработка результатов измерений при поверке ИК напряжения, силы и мощности переменного электрического тока
-
8.6.1 Обработка результатов контроля стабильности градуировочной характеристики ИК (выполняется при периодической поверке)
Проверить выполнение критериев стабильности градуировочной характеристики (см. п. 8.1.1).
-
8.6.2 Обработка результатов градуировки ИК напряжения и силы переменного тока
-
8.6.2.1 Для каждой группы из п мгновенных значений сигналов переменного тока (напряжения) в j-той контрольной точке, измеренных за один период колебаний при прямом и обратном ходе цикла градуировки, вычислить действующее значение сигналов:
Примечания
-
1 При частоте измерений fUVA = 250-103 и частоте сигнала тока (напряжения) fc = 400 Гц, число измерений, выполненных за один период колебаний тока (напряжения) Т, составляет: п = 625.
-
2 Сигнал на выходе датчика тока имеет размерность напряжения (В).
-
8.6.2.2 Массивы вычисленных действующих значений сигналов тока (напряжения) в контрольных точках за один период колебаний (yJk)M, yjkfe) предварительно обработать на предмет устранения грубых промахов (см. п. 8.1.2.1).
-
8.6.2.3 Вычислить по формуле 8.1.2 среднюю величину действующего значения сигнала тока (напряжения) в каждой j-той контрольной точке.
-
8.6.2.4 С использованием средних значений сигналов тока (напряжения) в контрольных точках вычислить методом наименьших квадратов индивидуальную функцию преобразования ИК (градуировочную характеристику):
х = а0+ах -у , А (В)
(8.6.2)
-
8.6.2.5 Вычислить систематическую составляющую абсолютной погрешности измерений силы тока (напряжения) в каждой j-той контрольной точке:
(8.6.3)
\=|«о+«1 'У)-*7 | > А(В),
где Xj - эталонное значение тока (напряжения) в j-той контрольной точке.
-
8.6.2.6 Вычислить вариацию bj в каждой j-той контрольной точке:
(8.6.4)
где xJM -a0+ax-yjM, xJB =а0+а,-yjE
8.6.2.7 Вычислить оценку среднего квадратического отклонения тока (напряжения) в


(8.6.5)
где xjk)M = а0 + а, • уjk)M, xjk?E = ай+ах - уjk)E
-
8.6.2.8 В каждой j-той контрольной точке вычислить границу суммы неисключенных систематических погрешностей 0у:
а) для ИК тока:

+ А2С1 + Д2С2 , А ,
(8.6.6)
где ДС1 - предел абсолютной погрешности ИК тока, вызванной погрешностью рабочего эталона (калибратора универсального Н4-7), который принимается постоянным и определяется следующим образом:
- рассчитать значение сигнала тока на входе ИК (/Сл), соответствующее верхнему пределу измерений ИК (хп):

(8.6.7)
где кп - коэффициент трансформации трансформатора тока, применяемого в качестве первичного преобразователя тока в составе ИК;
рассчитать абсолютную погрешность Д; калибратора универсального Н4-7 (в
режиме задания силы переменного тока) для величины, равной значению сигнала 1сп:
Д/ = 0,0006 • 1сп + 0,00006 • 1пк , А,
(8.6.8)
где 1пк = 2 А - верхний предел используемого поддиапазона калибратора Н4-7;
- рассчитать предел абсолютной погрешности измерения тока, вызванный погрешностью рабочего эталона:

(8.6.9)
АС2 - предел абсолютной погрешности трансформатора тока, который принимается постоянным и рассчитывается по формуле:
х -8-гг
АС2 = " , А, (8.6.10)
02 100
где 8тт - относительная погрешность входящего в состав ИК измерительного трансформатора тока, %.
б) для ИК напряжения:
(ь V
А\ + -2- +A2ci , В, (8.6.11)
где ДС1 - предел абсолютной погрешности рабочего эталона (калибратора универсального Н4-7), который принять постоянным и определить для измеряемой величины, соответствующей верхнему пределу измерений ИК (U„), по формуле:
ДС1 = 0,00005-U„ +0,000005-UnK , В (8.6.12)
где UnK = 200 В - верхний предел используемого поддиапазона калибратора Н4-7.
-
8.6.2.9 Оценить границы суммарной абсолютной погрешности А в каждой j-той контрольной точке (см. п. 8.1.2.8).
-
8.6.2.10 Пределы абсолютной погрешности ИК силы и напряжения переменного тока (А) принимать равными максимальному значению погрешности А. из всех контрольных точек.
-
8.6.2.11 Вычислить по формуле 8.2.10 пределы приведенной погрешности ИК силы и напряжения переменного тока (где х„ - верхний предел измерений поверяемого ИК силы тока или напряжения, А (В)).
8.6.3 Расчет погрешности измерения активной мощности в трехфазной цепи переменного тока
-
8.6.3.1 Вычислить пределы приведенной (к верхнему пределу измерений) погрешности измерений мощности в трехфазной цепи переменного тока (у^) по формуле:
г,=±М(8.6.13) где у(/ - среднее значение погрешности, приведенной к верхнему пределу
измерений, рассчитанное из трех значений, определенных для каждого из соответствующих ИК фазного напряжения переменного тока;
- среднее значение погрешности, приведенной к верхнему пределу измерений, рассчитанное из трех значений, определенных для каждого из соответствующих ИК силы переменного тока в трех фазах.
Примечания
-
1 Активная мощность в каждой фазе трехфазной цепи нагрузки генератора переменного тока (РАВС) определяется расчетным путем, с использованием одновременно измеренных мгновенных значений фазного напряжения на клеммах генератора (и, В) и тока нагрузки (i, А):
(8.6.14)
где п = 625 - число измерений мгновенных значений напряжения и тока, выполненных за один период колебаний Т.
-
2 Активная мощность в трехфазной цепи нагрузки генератора переменного тока (Р3ф) определяется как сумма одновременно рассчитанных значений фазной мощности (Ра, Рв, Рс):
Р3ф = (РА + ^ + ) •1 °’3 ’ кВт (& 6.15)
-
3 Верхний предел измерений активной мощности нагрузки в трехфазной цепи генератора переменного тока (Рзфтт) определяется как произведение верхних пределов измерений фазного напряжения на клеммах генератора (ифтт) и фазного тока нагрузки генератора (1фтт) ~ при максимальном значении cos(p = 1:
Рзфтт =(3-^тах •7фгаах)-10-3, кВт (8.6.16)
-
8.7 Обработка результатов измерений при поверке таймера системы
-
8.7.1 Определить абсолютные значения разности показаний эталонного таймера (измеренная длительность импульса) и таймера системы для пяти измерений интервалов времени длительностью 600 секунд и занести их в таблицу протокола поверки:
|Д7;| = |7'..а„-7’а,„,|,с (8.7.1)
где Тэтал - показание эталонного таймера;
Тсист ~ показание поверяемого таймера системы;
-
i - индекс номера наблюдений.
-
8.7.2 Определить среднее абсолютное значение разности показаний эталонного таймера и таймера системы:
ДТ = ± '! , с, i= 1,5. (8.7.2)
-
8.7.3 Определить погрешность таймера системы (АТсист) при измерении интервала времени 600 с:
ДТ = -JXt2 + ДГ2 , с, (8.7.3)
где АГэтал - предел допускаемой погрешности измерения эталонного таймера в режиме измерения длительности импульса, который определяется по формуле:
ДГ_„=±^, Т = 510-‘-600 = 0,003 с (8.7.4)
где 8этал = 5-10’6 - относительная погрешность эталонного таймера (частотомер универсальный CNT-90);
Т = 600 с - измеряемый интервал времени.
9 ОФОРМЛЕНИЕ РЕЗУЛЬТАТОВ ПОВЕРКИ
-
9.1 Результаты поверки заносятся в Протокол поверки (см. Приложения Б.1...Б.8.).
-
9.2 Результаты контроля стабильности градуировочной характеристики ИК оформляются в виде приложения к протоколу периодической поверки.
-
9.3 При положительных результатах поверки оформляется свидетельство о поверке, на дверцу электромонтажного шкафа наносится знак поверки в виде наклейки.
9.3.1 В свидетельство о поверке сделать запись следующего содержания: «Настоящее свидетельство действительно только при наличии действующих свидетельств о поверке датчиков ... входящих в состав ИК ...».
* - запись вносится при поверке поэлементным методом.
-
9.4 При отрицательных результатах поверки система к применению не допускается и на неё оформляется извещение о непригодности к применению с указанием причин забракования.
Н. Чурилов
В.В. Кулак
Начальник отдела
ФГБУ «ГНМЦ» Минобороны России
Научный сотрудник-
ФГБУ «ГНМЦ» Минобороны России
ПРИЛОЖЕНИЕ А.1
I
j Система. ИК температуры с ТС

-
1 - магазин сопротивления Р4831 (рабочий эталон);
-
2 - измерительный усилитель SCXI-1121;
-
3 - АЦП на плате PXI-6220;
-
4 - контроллер PXI-8840;
-
5 - компьютер верхнего уровня.
Рисунок А. 1.1 - Функциональная схема поверки ИК температуры с термометром сопротивления

-
1 - компаратор напряжений РЗООЗ (рабочий эталон);
-
2 - магазин сопротивления Р4831, R = Ro тс (подключается вместо датчика температуры свободных концов термопар (ТС) при контроле стабильности градуировочной характеристики ИК);
-
3 - измерительный усилитель SCXI-1125;
-
4 - измерительный усилитель SCXI-1121;
-
5 - АЦП на плате PXI-6220;
-
6 - контроллер PXI-8840;
-
7 - компьютер верхнего уровня
Рисунок А. 1.2 - Функциональная схема поверки ИК температуры с термопарой
ПРИЛОЖЕНИЕ А.2

-
1 - датчик давления типа «Агат-ЮОМ» (или другой датчик аналогичного типа);
-
2 - источник питания датчика давления;
-
3 - измерительный усилитель SCXI-1125;
-
4 - АЦП на плате PXI-6220;
-
5 - контроллер PXI-8840;
-
6 - компьютер верхнего уровня;
-
7 - источник давления;
-
8 - измерительный модуль давления из комплекта калибратора Метран-501-ПКД-Р;
-
9 - электронный блок калибратора Метран-501-ПКД-Р
Рисунок А.2.1 - Функциональная схема поверки ИК давления жидкостей и газов
ПРИЛОЖЕНИЕ А.З

-
1 - генератор сигналов ГЗ-110 (рабочий эталон);
-
2 - усилитель измерительный SCM5B40-03D;
-
3 - измерительный преобразователь частоты SCXI-1126;
-
4 - АЦП на плате PXI-6220;
-
5 - контроллер PXI-8840;
-
6 - компьютер верхнего уровня
Рисунок А.3.1 - Функциональная схема поверки ИК объемного расхода жидкости
ПРИЛОЖЕНИЕ А.4
■ Система. ИК частоты переменного электрического тока j

-
1 - генератор сигналов ГЗ-110 (рабочий эталон);
-
2 - измерительный преобразователь частоты SCXI-1126;
-
3 - АЦП на плате PXI-6220;
-
4 - контроллер PXI-8840;
-
5 - компьютер верхнего уровня
Рисунок А.4.1 - Функциональная схема поверки ИК частоты переменного тока
ПРИЛОЖЕНИЕ А.5

-
1 - регулируемый источник напряжения постоянного тока Б5-71/2м, 0...50 В (или аналогичный);
-
2 - рабочий эталон - вольтметр универсальный GDM-8246 (в режиме измерения напряжения постоянного тока), диапазон измерений от 0 до 50 В;
-
3 - делитель напряжения резисторный (в клеммном блоке SCXI-1327);
-
4 - измерительный усилитель SCXI-1125;
-
5 - АЦП на плате PXI-6220;
-
6 - контроллер PXI-8840;
-
7 - компьютер верхнего уровня
Рисунок А.5.1 - Функциональная схема поверки ИК напряжения постоянного тока

-
1 - регулируемый источник напряжения постоянного тока Б5-71/2м, 100 мВ (или аналогичный);
-
2 - регулируемый делитель напряжения - резистор СП-0,4-47 Ом;
-
3 - рабочий эталон - вольтметр универсальный GDM-8246 (в режиме измерения напряжения постоянного тока), диапазон измерений от 0 до 500 мВ;
-
4 - измерительный усилитель SCXI-1125;
-
5 - АЦП на плате PXI-6220;
-
6 - контроллер PXI-8840;
-
7 - компьютер верхнего уровня
Рисунок А.5.2 - Функциональная схема поверки ИК силы постоянного тока
ПРИЛОЖЕНИЕ А.6

-
1 - Калибратор универсальный Н4-7 (в режиме генерирования напряжения переменного тока от 0 до 130 В, 400 Гц);
-
2 - источники питания ЕР 1352-1SH02;
-
3 - датчик напряжения CV 3-500 LEM;
-
4 - АЦП на плате PXI-6143;
-
5 - контроллер PXI-8840;
-
6 - компьютер верхнего уровня
Рисунок А.6.1 - Функциональная схема поверки ИК напряжения переменного электрического тока

Система. ИК силы переменного тока

-
1 - Калибратор универсальный Н4-7 (в режиме генерирования переменного тока от 0 до 1000 мА, 400 Гц);
-
2 - источники питания ЕР 1352-1SH02;
-
3 - датчик тока LA 25-NP/SP11 LEM;
-
4 - АЦП на плате PXI-6143;
-
5 - контроллер PXI-8840;
-
6 - компьютер верхнего уровня
Рисунок А.6.2 - Функциональная схема поверки ИК силы переменного электрического тока
ПРИЛОЖЕНИЕ А.7

-
1 - частотомер универсальный CNT-90 в режиме измерения длительности импульсов (рабочий эталон);
-
2 - плата многофункциональная PXI-6220 с каналами ввода/вывода дискретных сигналов;
-
3 - контроллер PXI-8840 с таймером;
-
4 - компьютер верхнего уровня
Рисунок А.7.1 - Функциональная схема поверки таймера системы
ПРИЛОЖЕНИЕ Б.1
Форма протокола поверки ИК температуры
СПб ОАО «Красный Октябрь» Система измерительная испытательного стенда вспомогательной силовой установки ВСУ-117 «Запуск-4»
ПРОТОКОЛ поверки измерительного канала №.....
«Температура........................................................................»
-
1 Вид поверки............................................................................
-
2 Дата поверки...........................................................................
-
3 Сведения о применяемом в составе ИК первичном преобразователе температуры:
Тип:.................. Класс:...... *Ro =..........Ом *а =.................°C’1
* для термометра сопротивления
4 Средства поверки
4.1 Рабочий эталон
Наименование |
Пределы измерений, *мВ, **Ом |
Погрешность или класс точности | |
нижний |
верхний | ||
* для компаратора напряжений (при поверке ИК с термопарами)
** для магазина сопротивления (при поверке ИК с термометрами сопротивления)
4.2 Вспомогательные средства: в соответствии с методикой поверки АЭ2-880.08.00 МП.
5. Условия поверки
5.1 Температура окружающего воздуха, °C: | |
- в испытательном боксе | |
- в кабине наблюдения | |
5.2 Относительная влажность воздуха, % | |
5.3 Атмосферное давление, мм рт. ст. |
-
6 Результаты экспериментальных исследований
6.1 Внешний осмотр:...........................................................................................
6.2 Результаты опробования:.................................................................................
6.3 Результаты метрологических исследований
6.3.1 Условия исследования
Число ступеней измерений (контрольных точек) | |
Число измерений в контрольной точке | |
Число циклов измерений (прямой и обратный ход) |
6.3.2 Задаваемые эталонные сигналы в контрольных точках, Ом (мВ)
Результаты метрологических исследований и рабочие материалы, содержащие данные по составляющим погрешности ИК, приведены в приложении к настоящему протоколу. Расчет аппроксимирующего полинома и погрешности ИК производится в соответствии с методикой поверки АЭ2-880.08.00 МП.
6.3.3 Коэффициенты аппроксимирующего полинома
а0 |
ai |
ПРИЛОЖЕНИЕ Б. 1 (продолжение)
Протокол
поверки ИК №.......
от...........................
2
6.3.4 Погрешность ИК
Абсолютная погрешность, °C | |
Верхний предел измерений ИК, °C |
-
7 Вывод
Погрешность измерительного канала «Температура.........................................................
.....................................................................................................................>>
при доверительной вероятности Р = 0,95 не превышает допускаемого значения....................
Дата очередной поверки........................................
Поверитель________________________
Номер контрольной точки |
Задаваемые эталонные сигналы на входе ИК, Ом (мВ) |
Средние значения измеренных сигналов, Ом (В) |
Значения сопротивления (ЭДС термопары) по полиному на прямом ходу, Ом (мВ) |
Значения сопротивления (ЭДС термопары) по полиному на обратном ходу, Ом (мВ) |
Систематическ. погрешность, °C |
Вариация, °C |
Среднеквадратическое отклонение, °C |
Сумма неисключен-ных систематических погрешностей, °C |
Коэффициент «К» |
Абсолютная погрешность, °C |
1 | ||||||||||
2 | ||||||||||
3 | ||||||||||
4 | ||||||||||
5 | ||||||||||
6 | ||||||||||
7 | ||||||||||
8 | ||||||||||
9 | ||||||||||
10 |

Неисключенные составляющие систематической погрешности (в соответствии с п. 8.1.2.7 методики поверки АЭ2-880.08.00 МП):
Погрешность рабочего эталона Aci =
Погрешность термометра сопротивления (термопары) Дс? =
•Погрешность измерения температуры свободных концов термопары Дез=
♦Погрешность от использования компенсационных проводов Дс4 =
* для ПК с термопарой
Абсолютная погрешность ИК, °C | |
Верхний предел измерений ИК, °C |





сл

ПРИЛОЖЕНИЕ Б. 1 (продолжение)
(Для ИК с термометрами сопротивления) Система измерительная испытательного стенда вспомогательной силовой установки
ВСУ-117 «Запуск-4» Приложение к протоколу периодической поверки от...................
измерительного канала №........
«Температура.......................................................................................»
Результаты контроля стабильности градуировочной характеристики ИК
№ контр, точки |
Эталонные значения |
Результаты измерений, °C | ||||
Температура |
Сигнал на входе ИК |
Прямой ход |
Обратный ход | |||
Т, °C (X.) |
R, Ом |
XjM |
|XjM-Xj| |
XJB |
|Х(Б-Х;| | |
1 | ||||||
2 | ||||||
3 | ||||||
4 | ||||||
5 |
Устанавливаемые на входе ИК эталонные значения сопротивления R (Ом), соответствующие эталонным значениям температуры Т (°C), определяются по таблице НСХ термометра сопротивления, входящего в состав ИК (см. ГОСТ Р8.625-2006).
Тип термометра сопротивления:............., а =
°C'1, Ro =.........Ом

Предел допускаемой абсолютной погрешности ИК: А* =
Критерии стабильности градуировочной характеристики:

|XjB— Xj|max А*, °C
выполняются, не выполняются (ненужное зачеркнуть)
Поверитель________________________
ПРИЛОЖЕНИЕ Б. 1 (продолжение)
(Для ИК с термопарами) Система измерительная испытательного стенда вспомогательной силовой установки
ВСУ-117 «Запуск-4» Приложение к протоколу периодической поверки от...................
измерительного канала №........
«Температура.......................................................................................»
Результаты контроля стабильности градуировочной характеристики ИК
№ контр, точки |
Эталонные значения |
Результаты измерений, °C | ||||
Температура |
Сигнал на входе ИК |
Прямой ход |
Обратный ход | |||
Т, °C (Xj) |
Е, мВ |
XjM |
|XjM-Xj| |
Х)Б |
|Х(Б- Xj| | |
1 | ||||||
2 | ||||||
3 | ||||||
4 | ||||||
5 |
Устанавливаемые на входе ИК эталонные значения сигналов напряжения Е (мВ), соответствующие эталонным значениям температуры Т (°C), определяются по таблице НСХ термопары, входящей в состав ИК (см. ГОСТ Р8.585-2001) или по индивидуальной статической характеристике (ИСХ) термопары (если при выполнении измерений используется ИСХ термопары, входящей в состав данного ИК). При этом на входе канала измерения температуры свободных концов термопары устанавливается сопротивление, равное сопротивлению термометра сопротивления при температуре 0 °C.
Тип термопары:...................
Предел допускаемой абсолютной погрешности ИК: Д* =..........., °C
Критерии стабильности градуировочной характеристики:
|XjM-Xj|max^ Д*, °C,
|XjB-Xj|max< Д*, °C
выполняются, не выполняются (ненужное зачеркнуть)
Поверитель________________________ __________________ _____________________
ПРИЛОЖЕНИЕ Б.2
Форма протокола поверки ИК давления
СПб ОАО «Красный Октябрь»
Система измерительная испытательного стенда вспомогательной силовой установки ВСУ-117 «Запуск-4»
ПРОТОКОЛ
поверки измерительного канала №.....
«Давление........................................................................»
-
1 Вид поверки............................................................................
-
2 Дата поверки...........................................................................
-
3 Сведения о применяемом в составе ИК первичном преобразователе давления:
Тип:............................................................ №..............................................
-
4 Средства поверки
-
4.1 Рабочий эталон
Наименование
Пределы измерений, кгс/см2
Погрешность или класс точности
нижний
верхний
-
4.2 Вспомогательные средства: в соответствии с методикой поверки АЭ2-880.08.00 МП. 5 Условия поверки
5.1 Температура окружающего воздуха, °C: | |
- в испытательном боксе | |
- в кабине наблюдения | |
5.2 Относительная влажность воздуха, % | |
5.3 Атмосферное давление, мм рт. ст. |
6 Результаты экспериментальных исследований
6.1. Внешний осмотр:...........................................................................................
-
6.2 Результаты опробования:.................................................................................
-
6.3 Результаты метрологических исследований
6.3.1 Условия исследования
Число ступеней измерений (контрольных точек) | |
Число измерений в контрольной точке | |
Число циклов измерений (прямой и обратный ход) |
2
6.3.2. Задаваемое эталонное давление в контрольных точках, кгс/см
Результаты метрологических исследований и рабочие материалы, содержащие данные по составляющим погрешности ИК, приведены в приложении к настоящему протоколу. Расчет аппроксимирующего полинома и погрешности ИК производится в соответствии с методикой поверки АЭ2-880.08.00 МП.
-
6.3.3 Коэффициенты аппроксимирующего полинома
ао
ai
ПРИЛОЖЕНИЕ Б.2 (продолжение)
Протокол
поверки ИК №.......
от...........................
2
6.3.4 Погрешность ИК
Абсолютная погрешность, кгс/см2 | |
* Верхний предел измерений ИК, кгс/см2 | |
* Приведенная погрешность, % |
* Приведенная погрешность рассчитывается от верхнего предела измерений поверяемого ИК
7 Вывод
Погрешность измерительного канала «Давление............................................................
.....................................................................................................................>>
при доверительной вероятности Р = 0,95 не превышает допускаемого значения....................
Дата очередной поверки........................................
Поверитель________________________
Номер контрольной точки |
Эталонные значения давления, кгс/см2 |
Средние значения измеренных сигналов, А |
Значения давления по полиному на прямом ходу, кгс/см2 |
Значения давления по полиному на обратном ходу, кгс/см2 |
Систематическ. погрешность, кгс/см2 |
Вариация, кгс/см2 |
Среднеквадратическое отклонение, кгс/см2 |
Сумма неисключен-ных систематических погрешностей, кгс/см2 |
Коэффициент «К» |
Абсолютная погрешность, кгс/см2 |
1 | ||||||||||
2 | ||||||||||
3 | ||||||||||
4 | ||||||||||
5 | ||||||||||
6 | ||||||||||
7 | ||||||||||
8 | ||||||||||
9 | ||||||||||
10 |

Неисключенные составляющие систематической погрешности (в соответствии с п. 8.2.2.7 методики поверки АЭ2-880.08.00 МП):
Погрешность рабочего эталона До =..............кгс/см2
Погрешность, вызванная изменением температуры окружающего воздуха До=............кгс/см2
Абсолютная погрешность ИК, кгс/см2 | |
Верхний предел измерений ИК, кгс/см2 | |
Приведенная погрешность ИК, % |




(Л
<Л
ПРИЛОЖЕНИЕ Б.2 (продолжение)
Система измерительная испытательного стенда вспомогательной силовой установки ВСУ-117 «Запуск-4»
Приложение к протоколу периодической поверки от...................
измерительного канала №........
«Давление.......................................................................................»
Результаты контроля стабильности градуировочной характеристики ПК
№ контр, точки |
Эталонные значения давления, кгс/см2 |
............- ■ 1 к ' ' ■ Результаты измерений, кгс/см | |||
Прямой ход |
Обратный ход | ||||
Xj |
XjM |
|XjM-Xj| |
XjB |
|XjB-Xj| | |
1 | |||||
2 | |||||
3 | |||||
4 | |||||
5 |
Предел допускаемой абсолютной погрешности ИК: Д* =..........., кгс/см2
Критерии стабильности градуировочной характеристики:
|XjM- Xjlmax А*, КГС/СМ2 ,
|XjB-Xj|max< Д*, кгс/см2
выполняются, не выполняются (ненужное зачеркнуть)
Поверитель________________________ __________________ ____
ПРИЛОЖЕНИЕ Б.З Форма протокола поверки ИК расхода жидкости
СПб ОАО «Красный Октябрь» Система измерительная испытательного стенда вспомогательной силовой установки ВСУ-117 «Запуск-4»
ПРОТОКОЛ поверки измерительного канала №......
«Расход ........................................................................................»
-
1 Вид поверки............................................................................
-
2 Дата поверки...........................................................................
-
3 Сведения о применяемом в составе ИК турбинном преобразователе расхода:
Тип.......................... №...................... Погрешность............................%
Коэффициенты функции Q = a + b- f + с- f2, л/с : а=......................; b =......................; с =..................
-
4 Средства поверки
-
4.1 Рабочий эталон
Наименование
Пределы измерений, Гц
Погрешность или класс точности
нижний
верхний
-
4.2 Вспомогательные средства: в соответствии с методикой поверки АЭ2-880.08.00 МП. 5 Условия поверки
5.1 Температура окружающего воздуха, °C: | |
- в испытательном боксе | |
- в кабине наблюдения | |
5.2 Относительная влажность воздуха, % | |
5.3 Атмосферное давление, мм рт. ст. |
6 Результаты экспериментальных исследований
-
6.1 Внешний осмотр:...........................................................................................
-
6.2 Результаты опробования:.................................................................................
-
6.3 Результаты метрологических исследований
6.3.1 Условия исследования
Число ступеней измерений (контрольных точек) | |
Число измерений в контрольной точке | |
Число циклов измерений (прямой и обратный ход) |
6.3.2 Задаваемые эталонные сигналы в контрольных точках, Гц
Результаты метрологических исследований и рабочие материалы, содержащие данные по составляющим погрешности ИК, приведены в приложении к настоящему протоколу. Расчет аппроксимирующего полинома и погрешности ИК производится в соответствии с методикой поверки АЭ2-880.08.00 МП.
-
6.3.3 Коэффициенты аппроксимирующего полинома
а0
ai
ПРИЛОЖЕНИЕ Б.З (продолжение)
Протокол ........................ поверки ИК №....... от........................... 2
6.3.4 Погрешность ИК
Абсолютная погрешность, л/мин (л/ч) | |
* Верхний предел измерений ИК, л/мин (л/ч) | |
* Приведенная погрешность, % |
* Приведенная погрешность рассчитывается от верхнего предела измерений поверяемого ИК
7. Вывод
Приведенная погрешность измерительного канала «Расход..........................................
.....................................................................................................................>>
при доверительной вероятности Р - 0,95 не превышает допускаемого значения....................
Дата очередной поверки........................................
Поверитель________________________
Номер контрольной точки |
Задаваемые эталонные сигналы на входе ИК, Гц |
Средние значения измеренных сигналов, Гц |
Значения частоты сигнала по полиному на прямом ходу, Гц |
Значения частоты сигнала по полиному на обратном ходу, Гц |
Систематическ. погрешность, л/мин (л/ч) |
Вариация, л/мин (л/ч) |
Среднеквадратическое отклонение, л/мин (л/ч) |
Сумма неисключен-ных систематических погрешностей, л/мин (л/ч) |
Коэффициент «К» |
Абсолютная погрешность, л/мин (л/ч) |
1 | ||||||||||
2 | ||||||||||
3 | ||||||||||
4 | ||||||||||
5 | ||||||||||
6 | ||||||||||
7 | ||||||||||
8 | ||||||||||
9 | ||||||||||
10 |

Неисключенные составляющие систематической погрешности (в соответствии с п. 8.3.2.7 методики поверки АЭ2-880.08.00 МП):
Погрешность рабочего эталона Да =..............л/мин (л/ч)
Погрешность первичного преобразователя расхода Да =..............л/мин (л/ч)
Абсолютная погрешность ИК, л/мин (л/ч) | |
Верхний предел измерений ИК, л/мин (л/ч) | |
Приведенная погрешность ИК, % |







ПРИЛОЖЕНИЕ Б.З (продолжение)
Система измерительная испытательного стенда вспомогательной силовой установки ВСУ-117 «Запуск-4»
Приложение к протоколу периодической поверки от...................
измерительного канала №........
* Эталонные значения частоты сигнала на входе ИК (f, Гц), соответствующие эталонным значениям объемного расхода Q, рассчитываются по формулам:
-
1) если при измерении расхода используется единица измерения (л/мин)
Q-a
f = 60 (при с = 0) или f =
-b + Jb2 -4-с-(а-—)
’ 60 (прис#:0Х Гц
Результаты контроля стабильности градуировочной характеристики ПК
№ контр, точки |
Эталонные значения |
Результаты измерений, л/мин (л/ч) | ||||
Расход |
Сигнал |
Прямой ход |
Обратный ход | |||
Q, л/мин (л/ч) (Xj) |
*/Гц |
XJM |
|XJM-Xj| |
Х)Б |
IXjb-Xjl | |
1 | ||||||
2 | ||||||
3 | ||||||
4 | ||||||
5 |
-
2) если при измерении расхода используется единица измерения (л/ч)
-a -b + Jb2 -4-с-(а——)
— (при с = 0) или f =----------------3600 (ПрИ с ф Q), гц
Q
г = 3600
где а =................... b =................... с =...................- коэффициенты индивидуальной
функции преобразования Q-a + b- f + с- f2 (л/с) турбинного преобразователя расхода, используемого в составе ИК.
Предел допускаемой абсолютной погрешности ИК: Д* =............., л/мин (л/ч)
Критерии стабильности градуировочной характеристики:
|xjM- Xj|max < Д*, л/мин (л/ч),
|xjB- Xj|max < Д*, л/мин (л/ч) выполняются, не выполняются (ненужное зачеркнуть)
Поверитель________________________
ПРИЛОЖЕНИЕ Б.4
Форма протокола поверки ИК частоты переменного электрического тока
СПб ОАО «Красный Октябрь» Система измерительная испытательного стенда вспомогательной силовой установки ВСУ-117 «Запуск-4»
ПРОТОКОЛ поверки измерительного канала №.....
«Частота..............................................................................»
-
1 Вид поверки............................................................................
-
2 Дата поверки...........................................................................
-
3 Средства поверки
-
3.1 Рабочий эталон
Наименование
Пределы измерений, Гц
Погрешность или класс точности
нижний
верхний
-
3.2 Вспомогательные средства: в соответствии с методикой поверки АЭ2-880.08.00 МП. 4 Условия поверки
4.1 Температура окружающего воздуха, °C: | |
- в испытательном боксе | |
- в кабине наблюдения | |
4.2 Относительная влажность воздуха, % | |
4.3 Атмосферное давление, мм рт. ст. |
-
5 Результаты экспериментальных исследований
-
5.1 Внешний осмотр:...........................................................................................
-
5.2 Результаты опробования:.................................................................................
-
-
5.3 Результаты метрологических исследований
5.3.1 Условия исследования
Число ступеней измерений (контрольных точек) | |
Число измерений в контрольной точке | |
Число циклов измерений (прямой и обратный ход) |
5.3.2 Задаваемые эталонные сигналы в контрольных точках, Гц
Результаты метрологических исследований и рабочие материалы, содержащие данные по составляющим погрешности ИК, приведены в приложении к настоящему протоколу. Расчет аппроксимирующего полинома и погрешности ИК производится в соответствии с методикой поверки АЭ2-880.08.00 МП.
-
5.3.3 Коэффициенты аппроксимирующего полинома
а0
ai
ПРИЛОЖЕНИЕ Б.4 (продолжение)
Протокол ........................ поверки ИК №....... от........................... 2
5.3.4 Погрешность ИК
Абсолютная погрешность, Гц | |
* Верхний предел измерений ИК, Гц | |
* Приведенная погрешность, % |
* Приведенная погрешность рассчитывается от верхнего предела измерений поверяемого ИК
-
6 Вывод
Погрешность измерительного канала «Частота.............................................................
.....................................................................................................................>>
при доверительной вероятности Р = 0,95 не превышает допускаемого значения....................
Дата очередной поверки........................................
Поверитель________________________
Номер контрольной точки |
Задаваемые эталонные сигналы на входе ИК, Гц |
Средние значения измеренных сигналов, Гц |
Значения! частоты сигнала по полиному на прямом ходу, Гц |
Значения частоты сигнала по полиному на обратном ходу. Гц |
Систематическ. погрешность, Гц |
Вариация, Гц |
Среднеквадратическое отклонение, Гц |
Сумма неисключен-ных систематических погрешностей, Гц |
Коэффициент «К» |
Абсолютная погрешность, Гц |
1 | ||||||||||
2 | ||||||||||
3 | ||||||||||
4 | ||||||||||
5 | ||||||||||
6 | ||||||||||
7 | ||||||||||
8 | ||||||||||
9 | ||||||||||
10 |

Неисключенные составляющие систематической погрешности (в соответствии с п. 8.4.2.7 методики поверки АЭ2-880.08.00 МП): Погрешность рабочего эталона Aci =..............Гц
Абсолютная погрешность ИК, Гц | |
Верхний предел измерений ИК, Гц | |
Приведенная погрешность ИК, % |







ПРИЛОЖЕНИЕ Б.4 (продолжение)
Система измерительная испытательного стенда вспомогательной силовой установки ВСУ-117 «Запуск-4»
Приложение к протоколу периодической поверки от...................
измерительного канала №........
«Частота.................................................................................»
Результаты контроля стабильности градуировочной характеристики ИК
№ контр, точки |
Частота эталонного сигнала, Гц |
Результаты измерений, Гц | |||
Прямой ход |
Обратный ход | ||||
Xj |
XjM |
lxiM- Xj| |
XjB |
|XjB- Xj| | |
1 | |||||
2 | |||||
3 | |||||
4 | |||||
5 |
Предел допускаемой абсолютной погрешности ИК: Д* =..........., Гц
Критерии стабильности градуировочной характеристики:
|XjM ~' Xj|max — Д*? Гц,
|Xjfi-Xj|max< Д*, Гц
выполняются, не выполняются (ненужное зачеркнуть)
Поверитель________________________ __________________ _
ПРИЛОЖЕНИЕ Б.5
Форма протокола поверки ИК напряжения и силы постоянного электрического тока
СПб ОАО «Красный Октябрь» Система измерительная испытательного стенда вспомогательной силовой установки
ВСУ-117 «Запуск-4» ПРОТОКОЛ поверки измерительного канала №.....
«Напряжение (ток)..........................................................................»
-
1 Вид поверки............................................................................
-
2 Дата поверки...........................................................................
-
3 Сведения о применяемом в составе ИК датчике тока (для ИК силы тока):
Тип:.................. Коэффициент передачи: ........................ Погрешность:................
-
4 Средства поверки
-
4.1 Рабочий эталон
Наименование
Пределы измерений, В (мВ)
Погрешность или класс точности
нижний
верхний
-
4.2 Вспомогательные средства: в соответствии с методикой поверки АЭ2-880.08.00 МП. 5 Условия поверки
5.1 Температура окружающего воздуха, °C: | |
- в испытательном боксе | |
- в кабине наблюдения | |
5.2 Относительная влажность воздуха, % | |
5.3 Атмосферное давление, мм рт. ст. |
6 Результаты экспериментальных исследований
-
6.1 Внешний осмотр:...........................................................................................
-
6.2 Результаты опробования:.................................................................................
6.3 Результаты метрологических исследований
6.3.1 Условия исследования
Число ступеней измерений (контрольных точек) | |
Число измерений в контрольной точке | |
Число циклов измерений (прямой и обратный ход) | |
6.3.2 Задаваемые эталонные сигналы в контрольных точках, В |
(мВ) |
Результаты метрологических исследований и рабочие материалы, содержащие данные по составляющим погрешности ИК, приведены в приложении к настоящему протоколу. Расчет аппроксимирующего полинома и погрешности ИК производится в соответствии с методикой поверки АЭ2-880.08.00 МП.
-
6.3.3 Коэффициенты аппроксимирующего полинома
а0
ai
ПРИЛОЖЕНИЕ Б.5 (продолжение)
Протокол
поверки ИК №.......
от...........................
2
6.3.4 Погрешность ИК
Абсолютная погрешность, В (А) | |
* Верхний предел измерений ИК, В (А) | |
* Приведенная погрешность, % |
* Приведенная погрешность рассчитывается от верхнего предела измерений поверяемого ИК
-
7 Вывод
Погрешность измерительного канала «Напряжение (ток)..................................................
.....................................................................................................................»
при доверительной вероятности Р - 0,95 не превышает допускаемого значения....................
Дата очередной поверки........................................
Поверитель________________________
Номер контрольной точки |
Задаваемые эталонные сигналы на входе ИК. В (мВ) |
Средние значения измеренных сигналов, В |
Значения! напряжения сигнала по полиному на прямом ходу, В (мВ) |
Значения напряжения сигнала по полиному на обратном ходу, В (мВ) |
Систематическ. погрешность. В (А) |
Вариация, В (А) |
Среднеквадратическое отклонение, В (А) |
Сумма неисключен-ных систематических погрешностей, в (А) |
Коэффициент «К» |
Абсолютная погрешность, в (А) |
1 | ||||||||||
2 | ||||||||||
3 | ||||||||||
4 | ||||||||||
5 | ||||||||||
6 | ||||||||||
7 | ||||||||||
8 | ||||||||||
9 | ||||||||||
10 |

Неисключенные составляющие систематической погрешности (в соответствии с п. 8.5.2.7 методики поверки АЭ2-880.08.00 МП):
Погрешность рабочего эталона До =.............. В (А)
Погрешность датчика тока Д<-2 =.............. А
Погрешность рабочего эталона До =.............. В (А)
Погрешность датчика тока Д<-2 =.............. А
Абсолютная погрешность ИК, В (А) | |
Верхний предел измерений ИК, В (А) | |
Приведенная погрешность ИК, % |


(*>


-J
ПРИЛОЖЕНИЕ Б. 5 (продолжение)
(Для ИК напряжения) СПб ОАО «Красный Октябрь»
Система измерительная испытательного стенда вспомогательной силовой установки ВСУ-117 «Запуск-4»
Приложение к протоколу периодической поверки от...................
измерительного канала №........
«Напряжение..........................................................................»
Результаты контроля стабильности градуировочной характеристики ИК
№ контр, точки |
Эталонные значения напряжения, В |
Результаты измерений, В | |||
Прямой ход |
Обратный ход | ||||
Xj |
XjM |
|XjM- Xj| |
XjB |
|Х|Б-Х)| | |
1 | |||||
2 | |||||
3 | |||||
4 | |||||
5 |
Предел допускаемой абсолютной погрешности ИК: А* =..........., В
Критерии стабильности градуировочной характеристики: |xjM~ Xj|max < А*, В,
|xjE-Xj|max< А*, В выполняются, не выполняются (ненужное зачеркнуть)
Поверитель________________________ __________________
(ф.и.о.)
(подпись, дата)
ПРИЛОЖЕНИЕ Б. 5 (продолжение)
(Для ИК силы тока) СПб ОАО «Красный Октябрь»
Система измерительная испытательного стенда вспомогательной силовой установки ВСУ-117 «Запуск-4»
Приложение к протоколу периодической поверки от...................
измерительного канала №........
«Ток..........................................................................»
Результаты контроля стабильности градуировочной характеристики ИК
№ контр, точки |
Эталонные значения |
Результаты измерений, А | ||||
Сила тока |
Сигнал |
Прямой ход |
Обратный ход | |||
/, A (Xj) |
*UC, мВ |
Х|М |
|XjM-Xj| |
XjB |
|XjE-Xj| | |
1 | ||||||
2 | ||||||
3 | ||||||
4 | ||||||
5 |
* Эталонные значения напряжения сигнала на входе ИК (Uc, В), соответствующие эталонным значениям измеряемой силы тока (/, А), рассчитываются по формуле:
Uc = , мВ, где Кш =.........A/мВ - коэффициент передачи измерительного шунта
(датчика тока), используемого в составе ИК.
Предел допускаемой абсолютной погрешности ИК: А* =..........., А
Критерии стабильности градуировочной характеристики:
|XjM — Xj|max — А*, А,
|XjE ~ Xj|max — А*, А
выполняются, не выполняются (ненужное зачеркнуть)
Поверитель________________________
ПРИЛОЖЕНИЕ Б.6
Форма протокола поверки ИК напряжения и силы переменного электрического тока
СПб ОАО «Красный Октябрь» Система измерительная испытательного стенда вспомогательной силовой установки ВСУ-117 «Запуск-4»
ПРОТОКОЛ поверки измерительного канала №.....
«Напряжение (ток)..........................................................................»
-
1 Вид поверки............................................................................
-
2 Дата поверки...........................................................................
-
3 Сведения о применяемом в составе ИК трансформаторе тока (для ИК тока):
Тип:.................................. Ii/Тг =................................ Погрешность:.....................
-
4 Средства поверки
-
4.1 Рабочий эталон
Наименование
Пределы измерений, В (А)
Погрешность или класс точности
нижний
верхний
-
4.2 Вспомогательные средства: в соответствии с методикой поверки АЭ2-880.08.00 МП. 5 Условия поверки
5.1 Температура окружающего воздуха, °C: | |
- в испытательном боксе | |
- в кабине наблюдения | |
5.2 Относительная влажность воздуха, % | |
5.3 Атмосферное давление, мм рт. ст. |
6 Результаты экспериментальных исследований
-
6.1 Внешний осмотр:...........................................................................................
-
6.2 Результаты опробования:.................................................................................
6.3 Результаты метрологических исследований
6.3.1 У словия исследования
Число ступеней измерений (контрольных точек) | |
Число измерений в контрольной точке | |
Число циклов измерений (прямой и обратный ход) |
6.3.2 Задаваемые эталонные сигналы в контрольных точках (действующее значение) (для ИК напряжения, В)
(для ИК силы тока)
Сила тока, А | |||||
Эталонный сигнал, А |
Результаты метрологических исследований и рабочие материалы, содержащие данные по составляющим погрешности ИК, приведены в приложении к настоящему протоколу. Расчет аппроксимирующего полинома и погрешности ИК производится в соответствии с методикой поверки АЭ2-880.08.00 МП.
ПРИЛОЖЕНИЕ Б.6 (продолжение)
Протокол
поверки ИК №.......
от...........................
6.3.3
а0 |
ai |
6.3.4 Погрешность ИК
Абсолютная погрешность, В (А) | |
* Верхний предел измерений ИК, В (А) | |
* Приведенная погрешность, % |
* Приведенная погрешность рассчитывается от верхнего предела измерений поверяемого ИК
полинома
7 Вывод
Погрешность измерительного канала «Напряжение (ток)..................................................
.....................................................................................................................>>
при доверительной вероятности Р = 0,95 не превышает допускаемого значения....................
Дата очередной поверки........................................
Поверитель________________________
Номер контрольной точки |
Эталонные значения напряжения (тока), В (Л) |
Средние значения измеренных сигналов. В |
Значения! напряжения (силы тока) по полиному на прямом ходу. В (А) |
Значения напряжения (силы тока) по полиному на обратном ходу. В (А) |
Систематическ. погрешность. В (А) |
Вариация, В (А) |
Среднеквадратическое отклонение, В (А) |
Сумма неисключен-ных систематических погрешностей, В (А) |
Коэффициент «К» |
Абсолютная погрешность, В (А) |
1 | ||||||||||
2 | ||||||||||
3 | ||||||||||
4 | ||||||||||
5 | ||||||||||
6 | ||||||||||
7 | ||||||||||
8 | ||||||||||
9 | ||||||||||
10 |

Неисключенные составляющие систематической погрешности (в соответствии с п. 8.6.2.8 методики поверки АЭ2-880.08.00 МП):
Погрешность рабочего эталона Aci =.............. В (А)
Погрешность трансформатора тока Д^ =.............. А
Погрешность рабочего эталона Aci =.............. В (А)
Погрешность трансформатора тока Д^ =.............. А
Абсолютная погрешность ИК, В (А) | |
Верхний предел измерений ИК, В (А) | |
Приведенная погрешность ИК, % |






ПРИЛОЖЕНИЕ Б.6 (продолжение)
(Для ИК напряжения)
СПб ОАО «Красный Октябрь» Система измерительная испытательного стенда вспомогательной силовой установки ВСУ-117 «Запуск-4»
Приложение к протоколу периодической поверки от...................
измерительного канала №........
«Напряжение..........................................................................»
Результаты контроля стабильности градуировочной характеристики ИК
№ контр, точки |
Эталонные значения напряжения, В |
Результаты измерений, В | |||
Прямой ход |
Обратный ход | ||||
Xj |
XjM |
|XjM-Xj| |
XjE |
IXjb-Xjl | |
1 | |||||
2 | |||||
3 | |||||
4 | |||||
5 |
Предел допускаемой абсолютной погрешности ИК: А* =..........., В
Критерии стабильности градуировочной характеристики:
|XjM — Xj|max — А*, В,
|xjE — Xj|max < А*, В
выполняются, не выполняются (ненужное зачеркнуть)
Поверитель________________________ __________________
ПРИЛОЖЕНИЕ Б.б(продолжение)
(Для ИК силы тока) СПб ОАО «Красный Октябрь»
Система измерительная испытательного стенда вспомогательной силовой установки ВСУ-117 «Запуск-4»
Приложение к протоколу периодической поверки от...................
измерительного канала №........
«Ток
Результаты контроля стабильности градуировочной характеристики ИК
№ контр, точки |
Эталонные значения |
Результаты измерений, А | ||||
Сила тока |
Сигнал |
Прямой ход |
Обратный ход | |||
Z, A (Xj) |
*1о А |
XjM |
|XjM- Xj| |
XjB |
|XjB-Xj| | |
1 | ||||||
2 | ||||||
3 | ||||||
4 | ||||||
5 |
* Эталонные значения тока сигнала на входе ИК (1с, А), соответствующие эталонным
значениям измеряемой силы тока (I, А), рассчитываются по формуле:

, А, где Ктр
- коэффициент трансформации измерительного трансформатора тока, используемого в составе ИК.
Предел допускаемой абсолютной погрешности ИК: А* =..........., А
Критерии стабильности градуировочной характеристики:
|XjM~ Xj|max — А*, А,
|XjB ~ Xj|max — А*, А
выполняются, не выполняются (ненужное зачеркнуть)
Поверитель
ПРИЛОЖЕНИЕ Б.7
Форма протокола поверки ИК мощности в цепи переменного электрического тока
СПб ОАО «Красный Октябрь»
Система измерительная испытательного стенда вспомогательной силовой установки ВСУ-117 «Запуск-4» ПРОТОКОЛ поверки измерительного канала №.....
«Активная мощность.................................................................................»
-
1 Вид поверки:.............................................
-
2 Дата поверки:...............................................
-
3 Средства поверки*
Наименование
Пределы измерений
Погрешность или класс точности
нижний
верхний
Вольтметр универсальный цифровой "GDM-8I45
10 В
100 мА
200 В
2000 мА
0,005-UH3U± 15 ед. мл. разряда;
0,005-1изм ± 15 ед. мл. разряда.
♦Указанные средства поверки используются при определении погрешности соответствующих ИК силы и напряжения переменного тока (см. п. 5).
4 Условия поверки
4.1 Температура окружающего воздуха, °C: | |
4.2 Относительная влажность воздуха, % | |
4.3 Атмосферное давление, мм рт. ст. |
5 Результаты определения погрешности соответствующих ИК напряжения и силы переменного тока (для каждой фазы трехфазной цепи), приведенной к их верхнему пределу измерений
№ ИК напряжения ( |
)азы** |
№ ИК силы тока в < |
>азе** | ||
иА |
UB |
ис |
1а |
1в |
1с |
Значения погрешности , % |
Значения погрешности у1, % | ||||
| | |
1 1 | ||||
Ги =.........% ' с'с/> |
.........% |
♦♦Результаты одновременных измерений с помощью указанных ИК мгновенных значений фазного напряжения (и, В) и силы переменного тока (/, А) используются для расчета активной мощности (Р) в каждой фазе цепи переменного тока и в сумме в трех фазах:
РА,В,С = 7 Х ’ Вт РЗф=(РА+РВ + Рс)Л °'3 ’ кВт
т о П /=|
где п = 625 - число измерений, выполненных за один период колебаний тока (напряжения) Т.
6 Расчет погрешности определения мощности в трехфазной цепи переменного тока (у;,), приведенной к верхнему пределу измерений***
=.............%
♦♦♦Верхний предел измерений активной мощности нагрузки в трехфазной цепи генератора переменного тока (Рзфшах) определяется как произведение верхних пределов измерений фазного напряжения на клеммах генератора (С1фтах) и фазного тока нагрузки генератора (1фтах)- при максимальном значении coscp = 1: рзф = (3 • ифтах • 1фтах ) • ю 3, кВт
9 Вывод
Погрешность ИК «Мощность ..............................................................................................................
................................................................................................................................» не превышает допускаемого значения....................
Дата очередной поверки........................................
Поверитель________________________ _________________ ____________________
ПРИЛОЖЕНИЕ Б.8
Форма протокола поверки таймера системы
~СПб ОАО «Красный Октябрь»
Система измерительная испытательного стенда вспомогательной силовой установки ВСУ-117 «Запуск-4» ПРОТОКОЛ ПОВЕРКИ ТАЙМЕРА СИСТЕМЫ
-
1 Вид поверки.......................................
-
2 Дата поверки...............................................
-
3 Средства поверки
Рабочий эталон
Пределы измерений
Предел погрешности измерений
нижний
верхний
Таймер/счетчик CNT-90
1,6 нс
106 с
5-Ю-6
4 Условия поверки
4.1 Температура окружающего воздуха, °C: | |
4.2 Относительная влажность воздуха, % | |
4.3 Атмосферное давление, мм рт. ст. |
-
5 Внешний осмотр:...........................................................................................
-
6 Результаты опробования:.................................................................................
-
7 Результаты измерений
T?mai 9 С
Теист » С
1 ЛТ,\, с
I Lil i | I 1 эта! * сист I
-
8 Расчет погрешности таймера
-
8.1 Среднее абсолютное значение разности показаний эталонного таймера и таймера системы:
-
У|Д7;|
дт=±^^= с
5 ............................
-
8.2 Предел допускаемой погрешности измерения эталонного таймера в режиме измерения длительности импульса (ДТэта,) для измеряемого интервала времени Т= 600 с:
ДГ =±5 -Т = 5-106-600 = 0,003 с
ЭОТЛ7 —ЗЖ7 wv w
-
8.3 Погрешность таймера системы для измеряемого интервала времени 600 с:
ДГ =JZF +ДГ2 = с
-
9 Вывод
Погрешность таймера системы для измеряемого интервала времени 600 с не превышает
допускаемого значения.................
Дата очередной поверки........................................
Поверитель________________________ __________________ _____________________
(ф.и.о.)
(подпись, дата)