Методика поверки «Система автоматизированная информационно-измерительная коммерческого учета электроэнергии (АИИС КУЭ) ПАО "Транснефть" в части АО "Транснефть-Прикамье" по объекту ППС "Ковали-1"» (МП 206.1-200-2017)
ВСЕРОССИЙСКИЙ НАУЧНО-ИССЛЕДОВАТЕЛЬСКИЙ ИНСТИТУТ МЕТРОЛОГИЧЕСКОЙ СЛУЖБЫ
ВНИИМС
УТВЕРЖДАЮ:
Заместитель директора по
.В. Иванникова
_____2017 г.
^^^м^^ц^одственной метрологии
Система автоматизированная
информационно-измерительная коммерческого учета электроэнергии (АИИС КУЭ)
ПАО «Транснефть» в части АО «Транснефть-Прикамье» по объ
екту ППС «Ковали-1»
Измерительные каналы
Методика поверки
МП 206.1-200-2017
Москва
2017
СодержаниеСтр.
Настоящая методика распространяется на измерительные каналы (далее -ИК) системы автоматизированной информационно-измерительной коммерческого учета электроэнергии (АИИС КУЭ) ПАО «Транснефть» в части АО «Транснефть-Прикамье» по объекту ППС «Ковали-1» (далее - АИИС КУЭ), заводской номер 11/02, предназначенной для измерения активной и реактивной электроэнергии, потребленной за установленные интервалы времени отдельными технологическими объектами ПАО «Транснефть», сбора, хранения, обработки и передачи полученной информации. Выходные данные системы могут использоваться для коммерческих расчетов.
Поверке подлежит каждый ИК АИИС КУЭ, реализующий косвенный метод измерений электрической энергии. ИК подвергают поверке покомпонентным (поэлементным) способом с учетом положений раздела 8 ГОСТ Р 8.596-2002.
Первичную поверку системы выполняют после проведения испытаний АИИС КУЭ с целью утверждения типа. Допускается совмещение операций первичной поверки и операций, выполняемых при испытаниях типа.
Измерительные компоненты АИИС КУЭ поверяют с интервалами между поверками, установленными при утверждении их типа. Если очередной срок поверки измерительного компонента наступает до очередного срока поверки АИИС КУЭ, поверяется только этот компонент и поверка АИИС КУЭ не проводится.
После поверки измерительного компонента и восстановления ИК выполняется проверка ИК в той его части и в том объеме, который необходим для того, чтобы убедиться, что действия, связанные с поверкой измерительного компонента, не нарушили метрологических свойств ИК (схема соединения, коррекция времени и т.п.).
Периодическую поверку системы выполняют в процессе эксплуатации.
При наступлении событий в процессе эксплуатации, которые могли повлиять на метрологические характеристики АИИС КУЭ (ремонт системы, замена её измерительных компонентов, аварии в энергосистеме) проводится первичная поверка АИИС КУЭ. Допускается подвергать поверке только те ИК, которые подверглись указанным воздействиям, при условии, что собственник АИИС КУЭ подтвердит официальным заключением, что остальные ИК этим воздействиям не подвергались. В этом случае оформляется свидетельство о поверке системы с перечнем поверенных ИК.
Допускается проведение поверки отдельных ИК АИИС КУЭ, с обязательным указанием в приложении к свидетельству о поверке информации об объеме проведенной поверки.
Перечень ИК АИИС КУЭ приведен в паспорте-формуляре.
Интервал между поверками АИИС КУЭ - 4 года.
2 НОРМАТИВНЫЕ ССЫЛКИВ настоящей методике использовались ссылки на следующие нормативные документы:
РМГ 51-2002 «ГСИ. Документы на методики поверки средств измерений. Основные положения».
ПР 50.2.012-94 «ГСИ. Порядок аттестации поверителей средств измерений».
ГОСТ Р 8.596-2002 «ГСИ. Метрологическое обеспечение измерительных систем. Общие положения».
ГОСТ Р 4.199-85 «СПКП. Системы информационные электроизмерительные. Комплексы измерительно-вычислительные. Номенклатура показателей».
ГОСТ 8.217-2003 «ГСИ. Трансформаторы тока. Методика поверки».
ГОСТ 7746-2001 «Трансформаторы тока. Общие технические условия».
ГОСТ Р 52323-2005 (МЭК 62053-22:2003). Аппаратура для измерения электрической энергии переменного тока. Частные требования. Часть 22. Статические счетчики активной энергии классов точности 0,2S и 0,5 S.
ГОСТ Р 52425-2005 (МЭК 62053-23:2003). Аппаратура для измерения электрической энергии переменного тока. Частные требования. Часть 23. Статические счетчики реактивной энергии.
ГОСТ 13109-97 «Электрическая энергия. Совместимость технических средств электромагнитная. Нормы качества электрической энергии в системах электроснабжения общего назначения».
ГОСТ Р 54149-2010 Электрическая энергия. Совместимость технических средств электромагнитная. Нормы качества электрической энергии в системах электроснабжения общего назначения.
ГОСТ 12.2.003-91 «Система стандартов безопасности труда. Оборудование производственное. Общие требования безопасности».
ГОСТ 12.2.007.0-75 «Система стандартов безопасности труда. Изделия электротехнические. Общие требования безопасности».
ГОСТ 12.2.007.3-75 «Система стандартов безопасности труда. Электротехнические устройства на напряжение свыше 1000 В. Требования безопасности».
ГОСТ 12.2.007.7-83 «Система стандартов безопасности труда. Устройства комплектные низковольтные. Требования безопасности».
РМГ 51-2002 «ГСИ. Документы на методики поверки средств измерений. Основные положения».
Правила по охране труда при эксплуатации электроустановок. 2016 г.
3 ОПЕРАЦИИ ПОВЕРКИПри проведении поверки выполняют операции, указанные в таблице 1.
Таблица 1 - Операции поверки
|
Наименование операции |
Номер пункта НДпо поверке |
Обязательность проведения операции при | |
|
первичной поверке |
периодической поверке | ||
|
1 |
2 |
3 |
4 |
|
1. Подготовка к проведению поверки |
8 |
Да |
Да |
|
2. Внешний осмотр |
9.1 |
Да |
Да |
Продолжение таблицы 1
|
1 |
2 |
3 |
4 |
|
3. Поверка измерительных компонентов АИИС КУЭ |
9.2 |
Да |
Да |
|
4. Проверка счетчиков электрической энергии |
9.3 |
Да |
Да |
|
5. Проверка функционирования центральных компьютеров (серверов) АИИС КУЭ и УСПД |
9.4 |
Да |
Да |
|
6. Проверка функционирования вспомогательных устройств |
9.5 |
Да |
Да |
|
7. Проверка нагрузки на вторичные цепи измерительных трансформаторов тока |
9.6 |
Да |
Да |
|
8. Проверка погрешности часов компонентов системы |
9.7 |
Да |
Да |
|
9. Проверка отсутствия ошибок информационного обмена |
9.8 |
Да |
Да |
|
10. Проверка метрологических характеристик АИИС КУЭ |
9.9 |
Да |
Да |
|
11. Идентификация программного обеспечения |
10 |
Да |
Да |
|
12. Оформление результатов поверки |
11 |
Да |
Да |
4 СРЕДСТВА ПОВЕРКИ
При проведении поверки применяют основные средства измерений, эталоны и вспомогательные устройства, в соответствии с методиками поверки, указанными в описаниях типа на измерительные компоненты АИИС КУЭ, а так же следующие средства поверки:
-
- Термогигрометр «CENTER» (мод.314): диапазон измерений температуры от минус 20 до плюс 60 °C; диапазон измерений относительной влажности от 10 до 100%;
-
- Радиочасы «МИР РЧ-01», принимающие сигналы спутниковой навигационной системы Global Positioning System (GPS);
-
- Переносной компьютер с ПО и оптический преобразователь для работы со счетчиками и с ПО для работы с радиочасами «МИР РЧ-01»;
Примечания.
-
1. Допускается применение других средств поверки с метрологическими характеристиками, обеспечивающими требуемые точности измерений.
-
2. Все средства измерений, применяемые при поверке, должны быть утвержденного типа и иметь действующие свидетельства о поверке. Эталоны должны быть аттестованы и иметь действующие свидетельства об аттестации.
-
5.1 К проведению поверки АИИС КУЭ допускают поверителей, аттестованных в соответствии с ПР 50.2.012, изучивших настоящую методику поверки и руководство пользователя на АИИС КУЭ, имеющих стаж работы по данному виду измерений не менее 1 года.
-
5.2 Определение погрешности системного времени и отсутствия ошибок информационного обмена осуществляется персоналом, имеющим стаж работы по данному виду измерений не менее 1 года, изучивших вышеуказанные документы и прошедшим обучение работы с радиочасами «МИР РЧ-01», принимающих сигналы спутниковой навигационной системы Global Positioning System (GPS).
-
5.3 Поверка трансформаторов тока, входящих в состав АИИС КУЭ, осуществляется персоналом, имеющим стаж работы по данному виду измерений не менее 1 года, изучившим документ ГОСТ 8.217-2003 «Трансформаторы тока. Методика поверки» и прошедшим обучение по проведению поверки в соответствии с указанным документом. Поверку проводят не менее двух специалистов, один из которых должен иметь удостоверение, подтверждающее право работы на установках до и свыше 1000 В с группой по электробезопасности не ниже III.
-
5.4 Поверка счетчиков, входящих в состав АИИС КУЭ, осуществляется персоналом, имеющим стаж работы по данному виду измерений не менее 1 года, изучившим документы по поверке счетчиков и прошедшим обучение по проведению поверки в соответствии с указанными документами. Поверку проводят не менее двух специалистов, один из которых должен иметь удостоверение, подтверждающее право работы на установках до и свыше 1000 В с группой по электробезопасности не ниже III.
-
5.5 Измерение вторичной нагрузки измерительных трансформаторов тока, входящих в состав АИИС КУЭ, осуществляется персоналом, имеющим стаж работы по данному виду измерений не менее 1 года, изучившим документ МИ 3196-2009 «Государственная система обеспечения единства измерений вторичная нагрузка трансформаторов тока без отключения цепей. Методика выполнения измерений» и прошедшим обучение по проведению измерений в соответствии с указанным документом. Измерение проводят не менее двух специалистов, один из которых должен иметь удостоверение, подтверждающее право работы на установках до и свыше 1000 В с группой по электробезопасности не ниже III.
-
5.6 Поверка УСПД, входящих в состав АИИС КУЭ, осуществляется персоналом, имеющим стаж работы по данному виду измерений не менее 1 года, изучившим методику поверки на УСПД и прошедшим обучение по проведению поверки в соответствии с указанными документами. Поверку проводят не менее двух специалистов, один из которых должен иметь удостоверение, подтверждающее право работы на установках до и свыше 1000 В с группой по электробезопасности не ниже III.
При проведении поверочных и измерительных работ должны присутствовать работники объекта, на котором размещены компоненты АИИС КУЭ, имеющие опыт работы и право на подключение и отключение эталонных и поверяемых средств измерений в соответствии со схемой поверки или с методикой выполнения
измерений.
6 ТРЕБОВАНИЯ БЕЗОПАСНОСТИ-
6.1 При проведении поверки должны быть соблюдены требования безопасности, установленные ГОСТ 12.2.007.0-75, ГОСТ 12.2.007.3-75, «Правилами техники безопасности при эксплуатации электроустановок потребителей», «Правилами технической эксплуатации электроустановок потребителей», «Межотраслевых правил по охране труда (правил безопасности) при эксплуатации электроустановок», «Правила по охране труда при эксплуатации электроустановок», утверждённые приказом Министерства труда и социальной защиты Российской Федерации от 24.07.2013 г. № 328н, а также требования безопасности на средства поверки, поверяемые трансформаторы и счетчики, изложенные в их руководствах по эксплуатации.
-
6.2 Эталонные средства измерений, вспомогательные средства поверки и оборудование должны соответствовать требованиям ГОСТ 12.2.003-91, ГОСТ 12.2.007.3-75, ГОСТ 12.2.007.7-75.
-
6.3 Все оперативные отключения и включения должны проводиться руководителем работ в соответствии с программой проведения работ, утвержденной в установленном порядке.
Условия поверки АИИС КУЭ должны соответствовать условиям ее эксплуатации, нормированным в технической документации, но не выходить за нормированные условия применения средств поверки.
8 ПОДГОТОВКА К ПОВЕРКЕ-
8.1 Для проведения поверки представляют следующие копии документов:
-
- руководство пользователя АИИС КУЭ;
-
- паспорт-формуляр АСВЭ 161.00.000 ФО;
-
- описание типа АИИС КУЭ;
-
- свидетельств о поверке измерительных компонентов, входящих в ИК, и свидетельство о предыдущей поверке системы (при периодической и внеочередной поверке);
-
- паспорта-протоколы на ИК;
-
- рабочие журналы АИИС КУЭ с данными по климатическим и иным условиям эксплуатации за интервал между поверками (только при периодической поверке);
-
- акты, подтверждающих правильность подключения счетчиков к цепям тока и напряжения;
-
- акты, подтверждающих правильность подключения вторичных обмоток ТТ.
-
8.2 Перед проведением поверки на месте эксплуатации АИИС КУЭ выполняют следующие подготовительные работы:
-
- проводят организационно-технические мероприятия по обеспечению безопасности поверочных работ в соответствии с действующими правилами и ПУЭ;
-
- проводят организационно-технические мероприятия по доступу поверителей и персонала энергообъектов к местам установки измерительных трансформаторов, счетчиков электроэнергии, серверу АИИС КУЭ для проведения работ по п.п. 9.1, 9.3, 9.4, 9.5;
-
- организуют рабочее место для поверителя, для проведения работ по п.п. 9.2, 9.6.
-
9.1.1 Проверяют целостность корпусов и отсутствие видимых повреждений компонентов АИИС КУЭ, наличие поверительных пломб и клейм на измерительных компонентах.
-
9.1.2 Проверяют размещение измерительных компонентов, наличие шильдиков и маркировку компонентов, правильность схем подключения трансформаторов тока к счетчикам электрической энергии; правильность прокладки проводных линий по проектной документации на АИИС КУЭ.
-
9.1.3 Проверяют соответствие типов и заводских номеров фактически использованных измерительных компонентов типам и заводским номерам, указанным в формуляре АИИС КУЭ.
-
9.1.4 Проверяют отсутствие следов коррозии и нагрева в местах подключения проводных линий.
При обнаружении несоответствий по п. 9.1 дальнейшие операции по поверке ИК прекращаются, АИИС КУЭ бракуется и выписывается извещение о непригодности.
9.2 Поверка измерительных компонентов АИИС КУЭ-
9.2.1 Проверяют наличие свидетельств о поверке и срок их действия для всех измерительных компонентов АИИС КУЭ. При обнаружении просроченных свидетельств о поверке измерительных компонентов или свидетельств, срок действия которых близок к окончанию, дальнейшие операции по поверке ИК, в который они входят, выполняют после поверки этих измерительных компонентов.
При обнаружении несоответствий по п. 9.2.1 дальнейшие операции по поверке ИК прекращаются и выписывается извещение о непригодности АИИС КУЭ.
9.3 Проверка счетчиков электрической энергии-
9.3.1 Проверяют наличие и сохранность пломб поверительных и энергосбытовых организаций на счетчике и испытательной коробке. Проверяют наличие оригиналов актов, подтверждающих правильность подключения счетчиков к цепям тока и напряжения, в частности, правильность чередования фаз.
-
9.3.2 Проверяют работу всех сегментов индикаторов, отсутствие кодов ошибок или предупреждений, прокрутку параметров в заданной последовательности.
-
9.3.3 Проверяют работоспособность оптического порта счетчика с помощью переносного компьютера. Преобразователь подключают к любому последовательному порту переносного компьютера. Опрашивают счетчик по установленному соединению. Опрос счетчика считается успешным, если получен отчет, содержащий данные, зарегистрированные счетчиком.
-
9.3.4 Проверяют соответствие индикации даты в счетчике календарной дате (число, месяц, год). Проверку осуществляют визуально или с помощью переносного компьютера через оптопорт.
При обнаружении несоответствий по п. 9.3 дальнейшие операции по поверке ИК прекращаются, АЛИС КУЭ бракуется и выписывается извещение о непригодности.
9.4 Проверка функционирования центральных компьютеров (серверов) АНИС КУЭ и УСПД-
9.4.1 Проверяют защиту программного обеспечения на центральных компьютерах (серверах) АИИС КУЭ от несанкционированного доступа. Для этого запускают на выполнение программу сбора данных и в поле “пароль” вводят неправильный код. Проверку считают успешной, если при вводе неправильного пароля программа не разрешает продолжать работу.
-
9.4.2 Проверяют работу аппаратных ключей. Выключают компьютер и снимают аппаратную защиту (отсоединяют ключ от порта компьютера). Включают компьютер, загружают операционную систему и запускают программу. Проверку считают успешной, если получено сообщение об отсутствии «ключа защиты».
-
9.4.3 Проводят опрос текущих показаний всех счетчиков электроэнергии.
-
9.4.4 Проверяют глубину хранения измерительной информации в центральных компьютерах (серверах) АИИС КУЭ.
-
9.4.5 Проверяют наличие и сохранность пломб поверительных и энергосбытовых организаций на УСПД. При отсутствии или нарушении пломб проверяют правильность подсоединения УСПД.
-
9.4.6 Проверяют правильность функционирования УСПД в соответствии с его эксплуатационной документацией с помощью тестового программного обеспечения. Проверка считается успешной, если все подсоединенные к УСПД счетчики опрошены и нет сообщений об ошибках.
-
9.4.7 Проверяют программную защиту УСПД от несанкционированного доступа.
-
9.4.8 Проверяют правильность значений коэффициентов трансформации измерительных трансформаторов, хранящихся в памяти процессора УСПД.
При обнаружении несоответствий по п. 9.4 дальнейшие операции по поверке ИК прекращаются, АЛИС КУЭ бракуется и выписывается извещение о непригодности.
9.5 Проверка функционирования вспомогательных устройств-
9.5.1 Проверка функционирования модемов
Проверяют функционирование модемов, используя коммуникационные возможности специальных программ. Модемы считаются исправными в составе комплекса, если были установлены коммутируемые соединения и по установленным соединениям успешно прошел опрос счетчиков или УСПД.
Допускается автономная проверка модемов с использованием тестового программного обеспечения.
-
9.5.2 Проверка функционирования адаптеров интерфейса
Используя кабель RS232 подключают к адаптерам переносной компьютер с ПО.
При обнаружении несоответствий по п. 9.5 дальнейшие операции по поверке ИК прекращаются, АИИС КУЭ бракуется и выписывается извещение о непригодности.
9.6 Проверка нагрузки вторичных цепей измерительных трансформаторов тока-
9.6.1 Проверяют наличие и сохранность пломб поверительных и энергосбытовых организаций на клеммных соединениях, имеющихся на линии связи ТТ со счетчиком. Проверяют наличие оригиналов актов, подтверждающих правильность подключения вторичных обмоток ТТ.
-
9.6.2 Проверяют наличие данных измерений мощности нагрузки вторичных цепей ТТ по МИ 3196-2009 «Государственная система обеспечения единства измерений вторичная нагрузка трансформаторов тока без отключения цепей. Методика выполнения измерений» с оформлением паспортов-протоколов по форме Приложения 11.5 ОАО «АТС». Срок проведения ревизии ИК, а также утверждения паспортов-протоколов должен быть не более 1 года до момента проведения поверки.
При обнаружении несоответствий по п. 9.6 дальнейшие операции по поверке ИК прекращаются, АИИС КУЭ бракуется и выписывается извещение о непригодности.
9.7 Проверка погрешности часов компонентов системы-
9.7.1 Проверка СОЕВ
Включают радиочасы «МИР РЧ-01», принимающие сигналы спутниковой навигационной системы Global Positioning System (GPS), и сверяют показания радиочасов с показаниями часов УСПД/сервера, получающего сигналы точного времени от устройства синхронизации системного времени GPS-приемника. Расхождение показаний радиочасов с УСПД/сервером не должно превышать ± 1 с. Для снятия синхронизированных измерений рекомендуется использовать одновременное фотографирование экранов поверяемого и поверительного оборудования.
-
9.7.2 Распечатывают журнал событий счетчика, выделив события, соответствующие сличению часов счетчика, УСПД и сервера. Расхождение времени часов: счетчик - УСПД в момент, предшествующий коррекции, не должно превышать предела допускаемого расхождения ± 2 с.
При обнаружении несоответствий по п. 9.7 дальнейшие операции по поверке ИК прекращаются, АИИС КУЭ бракуется и выписывается извещение о непригодности.
-
9.8 Проверка отсутствия ошибок информационного обмена
Операция проверки отсутствия ошибок информационного обмена предусматривает экспериментальное подтверждение идентичности числовой измерительной информации в счетчиках электрической энергии (исходная информация), и памяти центрального компьютера (сервера БД).
В момент проверки все технические средства, входящие в проверяемый ИК, должны быть включены.
-
9.8.1 На центральном компьютере (сервере БД) системы распечатывают значения активной и реактивной электрической энергии, зарегистрированные с 30-ти минутным интервалом и профиль нагрузки за полные предшествующие дню проверки сутки по всем ИК. Проверяют наличие данных, соответствующих каждому 30-ти минутному интервалу времени. Пропуск данных не допускается за исключением случаев, когда этот пропуск был обусловлен отключением ИК или устраненным отказом какого-либо компонента системы.
-
9.8.2 Распечатывают журнал событий счетчика и сервера и отмечают моменты нарушения связи между измерительными компонентами системы. Проверяют сохранность измерительной информации в памяти центральных компьютерах (серверах) системы на тех интервалах времени, в течение которого была нарушена связь.
-
9.8.3 Используя переносной компьютер, считывают через оптопорт профиль нагрузки за полные предшествующие дню проверки сутки, хранящийся в памяти счетчика. Различие значений активной (реактивной) мощности, хранящейся в памяти счетчика (с учетом коэффициентов трансформации измерительных трансформаторов) и базе данных центрального компьютера (сервера БД) полученные по п.
-
9.8.2 не должно превышать двух единиц младшего разряда учтенного значения.
-
9.8.4 Рекомендуется вместе с проверкой по п. 9.8.3 в реальном режиме времени сличить показания счетчика по активной и реактивной электрической энергии строго в конце получаса (часа) с данными, зарегистрированными в центральном компьютере (сервере БД) системы для того же момента времени. Для этого визуально или с помощью переносного компьютера через оптопорт считывают показания счетчика по активной и реактивной электрической энергии и сравнивают эти данные (с учетом коэффициентов трансформации измерительных трансформаторов), с показаниями зарегистрированными в центральном компьютере (сервере БД) системы. Расхождение не должно превышать две единицы младшего разряда.
При обнаружении несоответствий по п. 9.8 дальнейшие операции по поверке ИК прекращаются, АИИС КУЭ бракуется и выписывается извещение о непригодности.
9.9 Проверка метрологических характеристик АИИС КУЭ-
9.9.1 Границы интервала основной погрешности ИК электроэнергии рассчитывают для вероятности Р=0,95 для нормальных условий.
В качестве нормальных условий используют данные, предусмотренные технической документацией на АИИС КУЭ.
-
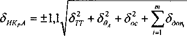
9.9.2 Границы интервала основной относительной погрешности ИК активной электроэнергии вычисляют по формуле (1):
^ИКОА = - М-\^7Т + + ^ос (О
где
6ИКЛА _ границы интервала основной относительной погрешности ИК активной электроэнергии в % для вероятности 0,95;
8^ - предел допускаемой относительной погрешности по амплитуде трансформатора тока (ТТ) в %;
8в - границы интервала относительной погрешности измерения активной электроэнергии обусловленной угловыми погрешностями измерительных трансформаторов в %;
8ос - предел допускаемой основной относительной погрешности счетчика электроэнергии в %.
Границы интервала суммарной абсолютной угловой погрешности 0 в минутах и границы интервала относительной погрешности 8вд в % определяются по формулам:
(2)
(3)
0 = 0,
8вд = 0,029 • 0 • tg</>
где
в, - пределы допускаемой угловой погрешности TH в минутах;
- угол сдвига между векторами первичных тока и напряжения в градусах.
-
9.9.3 Границы интервала погрешности ИК в рабочих условиях эксплуатации рассчитывают для вероятности 0,95. В качестве рабочих условий используют данные, предусмотренные технической документацией на АИИС КУЭ.
-
9.9.4 Границы интервала относительной погрешности ИК активной электроэнергии в рабочих условиях вычисляют по формуле (4):

(4)
где
■ границы интервала относительной погрешности ИК активной электроэнергии в % для вероятности 0,95;
8„, 8вл, 80С - те же величины, что и в формуле (1);
^ол - предел относительной допускаемой дополнительной погрешности счетчика электроэнергии в рабочих условиях от i - ой влияющей величины;
т - общее число влияющих величин.
-
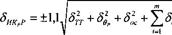
9.9.5 Границы интервала основной относительной погрешности ИК реактивной электроэнергии вычисляют по формуле (5):

(5)
где
8ИК0Р - границы интервала основной относительной погрешности ИК реактивной электроэнергии в % для вероятности 0,95;
8вр - границы интервала относительной погрешности измерения реактивной электроэнергии обусловленной угловыми погрешностями измерительных трансформаторов в %.
Границы интервала относительной погрешности 8вр в % определяются по формулам:
Остальные величины в формулах (5) и (6) те же, что в формулах (1) и (3).
-
9.9.6 Границы интервала относительной погрешности ИК реактивной электроэнергии в рабочих условиях вычисляют по формуле (7):


(7)
Где все величины те же, что в формулах (1), (3), (4) и (6).
Примечание - Формулы (1), (4), (5) и (7) даны для случая, когда отклонение внешних влияющих величин от нормальных значений вызывает дополнительные погрешности только у счетчика электроэнергии, а составляющими погрешности измерения электроэнергии обусловленными погрешностью задания интервала времени интегрирования электрической мощности, погрешностью передачи информации по ГОСТ 4.199-85, погрешностью обработки данных можно пренебречь.
При обнаружении не соответствий по п. 9.9 АИИС КУЭ бракуется и выписывается извещение о непригодности.
10 ИДЕНТИФИКАЦИЯ ПРОГРАММНОГО ОБЕСПЕЧЕНИЯ-
10.1 Проводится проверка соответствия заявленных идентификационных данных программного обеспечения указанных в описании типа:
-
- наименование программного обеспечения;
-
- идентификационное наименование программного обеспечения;
-
- номер версии (идентификационный номер) программного обеспечения;
-
- цифровой идентификатор программного обеспечения (контрольная сумма исполняемого кода);
-
- алгоритм вычисления цифрового идентификатора программного обеспечения.
-
10.2 Идентификация ПО СИ реализуется следующими методами:
-
- с помощью ПО СИ или аппаратно-программных средств, разработанных организацией - разработчиком СИ (ПО СИ);
-
- с использованием специальных протестированных (аттестованных, сертифицированных) аппаратно-программных средств и/или протестированного (аттестованного, сертифицированного) ПО.
-
11.1 На основании положительных результатов по пунктам раздела 9 выписывают свидетельство о поверке АИИС КУЭ в соответствии с Приказом Минпромторга России от 02.07.2015 № 1815 «Об утверждении Порядка проведения поверки средств измерений, требования к знаку поверки и содержанию свидетельства о поверке». В приложении к свидетельству указывают перечень ПК.
-
11.2 При отрицательных результатах поверки хотя бы по одному из пунктов методики поверки АИИС КУЭ признается негодной к дальнейшей эксплуатации и на нее выдают извещение о непригодности в соответствии с Приказом Минпромторга России от 02.07.2015 № 1815 «Об утверждении Порядка проведения поверки средств измерений, требования к знаку поверки и содержанию свидетельства о по
верке» с указанием причин.
С.Ю. Рогожин

Д.С. Пыхтина
Начальник отдела 206.1
ФГУП «ВНИИМС»
Инженер 2 категории сектора 206.1/1
ФГУП «ВНИИМС»
