Методика поверки «Система измерительные СИ-2/ВГТД-УБЭ-1700 » (ИНСИ.425848.000.00 МП )
Первый заместитель генерального
Инструкция
Системы измерительные СИ-2/ВГТД-УБЭ-1700
Методика поверки
ИНСИ.425848.000.00 МП
-2017 г.-
СОДЕРЖАНИЕ
ОБОЗНАЧЕНИЯ
МП - методика поверки;
ГТЭ - газотурбинный энергопривод;
ИК - измерительный канал;
СИ - средство измерений;
ССД - система сбора данных;
ПО - программное обеспечение;
MX - метрологические характеристики;
НСП - неисключенная систематическая погрешность;
ВП - верхний предел диапазона измерений;
ИВ - измеренная величина;
НЗ - нормированное значение;
РМУ - расходомерный участок;
СУ - сужающее устройство;
ИТ - измерительный трубопровод;
ПИП - первичный измерительный преобразователь;
ТПР - турбинные преобразователи расхода топлива;
ТХА(К) - термоэлектрический преобразователь (хромель/алюмель) TXK(L) - термоэлектрический преобразователь (хромель/копель) АЦП - аналого-цифровой преобразователь;
FL157A-003 - нормализатор сигнала частоты;
РЭТ- рабочий эталон;
РЭ - руководство по эксплуатации;
ТД - техническая документация.
ВВЕДЕНИЕ
Настоящая МП распространяется на системы измерительные СИ-2/ВГТД-УБЭ-1700 (далее - системы), заводские номера 001 и 002, изготовленные ООО «ИнСис Лтд», г. Москва, и устанавливает порядок и объем их первичной и периодической поверок.
Интервал между поверками - 1 год.
-
1 ОПЕРАЦИИ ПОВЕРКИ
-
1.1 Поверка ИК системы осуществляется двумя способами:
-
-
- комплектным способом с оценкой MX ИК в целом (по результатам сквозной градуировки);
-
- поэлементным способом с оценкой MX ИК по MX элементов, входящих в состав ИК.
Примечание - Перечень документов на поверку элементов ИК приведен в Приложении Е.
-
1.2 При поверке системы выполнить операции, приведенные в таблице 1.
Таблица 1
|
Наименование операции |
Номер пункта МП |
Проведение операции при | |
|
первичной поверке(после ремонта) |
периодической поверке | ||
|
1 Внешний осмотр |
7.1 |
+ |
+ |
|
2 Опробование |
7.2 |
+ |
+ |
|
3 Определение метрологических характеристик |
7.3 |
+ |
+ |
|
4 Определение погрешностей измерений давления воздуха (газов) и жидкостей 1),2) |
7.3.1 |
+ |
+ |
|
5 Определение погрешностей изменений температуры воздуха (газов) и жидкостей lf’ |
7.3.2 |
+ |
+ |
|
6 Определение погрешностей измерений напряжения постоянного тока, соответствующего значениям температуры газов и жидкостей, измеряемой термоэлектрическими преобразователями ТХА(К), TXK(L) п |
7.3.3 |
+ |
+ |
|
7 Определение погрешности измерений массового расхода топлива2) |
7.3.4 |
+ |
+ |
|
8 Определение погрешности измерений массового расхода отбираемого воздуха2) |
7.3.5 |
+ |
+ |
|
9 Определение погрешности измерений частоты электрических сигналов, соответствующей значениям частоты вращения роторов 1; |
7.3.6 |
+ |
+ |
|
10 Определение погрешности измерений электрической мощности в нагрузке генератора2) |
7.3.7 |
+ |
+ |
|
11 Определение погрешности измерений напряжения постоянного тока2) |
7.3.8 |
+ |
+ |
|
12 Определение погрешности измерений силы постоянного тока |
7.3.9 |
+ |
+ |
|
13 Идентификация ПО |
7.4 |
+ |
+ |
|
Поверка осуществляется комплектным способом 2) Поверка осуществляется поэлементным способом | |||
-
2 СРЕДСТВА ПОВЕРКИ
При проведении поверки должны применяться средства поверки, приведенные
в таблице 2.
Таблица 2
|
Номер пункта МП |
Наименование и тип (условное обозначение) основного или вспомогательного средства поверки; обозначение нормативного документа, регламентирующего технические требования, и (или) метрологические и основные характеристики средства поверки |
|
7.3.1 -7.3.6, 7.3.8 |
Калибратор многофункциональный DPI 620 с модулями давления РМ620: пределы допускаемой приведенной погрешности ±0,025 % в диапазоне воспроизведения давления от минус 100 кПа до плюс 20 МПа; пределы допускаемой абсолютной погрешности ±(l,4-10‘4’U + 0,01) мВ в диапазоне воспроизведения напряжения постоянного тока U от минус 10 до плюс 100 мВ; пределы допускаемой абсолютной погрешности ±(1,5- 10'4-1 + 0,0012) мА в диапазоне воспроизведения силы постоянного тока I от 0 до 24 мА; пределы допускаемой абсолютной погрешности ±(4- 10’4ИВ + 0,16) °C в диапазоне воспроизведения сигналов от термопреобразователей сопротивления типа РП00 от минус 200 до плюс 850 °C (ИВ - значение воспроизводимого сигнала); пределы допускаемой абсолютной погрешности ±0,3 °C в диапазоне воспроизведения сигналов от термоэлектрических преобразователей типа ТХА(К) от минус 60 до плюс 800 °C и ±0,5 °C в диапазоне воспроизведения сигналов от 800 до 1370 °C; пределы допускаемой абсолютной погрешности ±0,25 °C в диапазоне воспроизведения сигналов от термоэлектрических преобразователей типа TXK(L) от минус 100 до плюс 800 °C; пределы допускаемой абсолютной погрешности ±(3- 10’5-F + 2,3-10'1) Гц в диапазоне воспроизведения частоты F электрических сигналов от 0 до 1000 Гц |
|
7.3.2 |
Калибратор температуры Fluke серии 500 модель 518: диапазон воспроизведения температуры от минус 30 до плюс 670 °C, пределы допускаемой абсолютной погрешности воспроизведения ±0,25 °C |
|
7.3.7 |
Калибратор универсальный Н4-201: диапазон воспроизведения напряжения постоянного тока от 1,0 до 200 В; пределы допускаемой основной абсолютной погрешности ± (0,012 % от U+ 0,003 % от Uk), где U - воспроизводимое значение напряжения; Uk - конечное значение установленного диапазона. |
|
Вспомогательные средства поверки | |
|
7.3.1 - 7.3.8 |
Станция автоматическая метеорологическая Vantage Pro 2: диапазон измерений атмосферного давления от 540 до 1100 гПа, пределы допускаемой абсолютной погрешности измерений ±1,0 гПа; диапазон измерений температуры воздуха от минус 40 до плюс 65 °C; пределы допускаемой абсолютной погрешности измерений ±0,5 °C; диапазон измерений относительной влажности воздуха от 10 до 98 %, пределы допускаемой погрешности измерений ±3 % в диапазоне измерений от 10 до 90 % и ±4 % в диапазоне измерений от 90 до 98 % |
-
2.2 Вместо указанных в таблице 2 допускается применять другие аналогичные средства поверки, обеспечивающие определение MX системы с требуемой точностью.
-
2.3 Применяемые средства поверки должны быть исправны, поверены и иметь действующие свидетельства о поверке (отметки в формулярах или паспортах).
-
3.2 Поверитель должен пройти инструктаж по технике безопасности (первичный и на рабочем месте) в установленном в организации порядке и иметь удостоверение на право работы на электроустановках с напряжением до 1000 В с группой допуска не ниже 3.
-
-
4 ТРЕБОВАНИЯ БЕЗОПАСНОСТИ
-
4.1 При проведении поверки необходимо соблюдать требования техники безопасности, предусмотренные «Правилами технической эксплуатации электроустановок потребителей» и «Правилами техники безопасности при эксплуатации электроустановок потребителей» (изд.З), а также изложенные в РЭ на приборы, в ТД на применяемые при поверке РЭТ и вспомогательное оборудование.
-
4.2 Любые подключения аппаратуры проводить только при отключенном напряжении питания системы.
-
-
5 УСЛОВИЯ ПОВЕРКИ
-
5.1 Поверку проводить при следующих условиях:
-
в испытательном боксе:
-
- температура окружающего воздуха, °C (К)...........................от 10 до 30 (от 263 до 303);
-
- относительная влажность окружающего воздуха при температуре 25 °C, %, не более... 90;
-
- атмосферное давление, мм рт.ст. (кПа)......................................от 720 до 780 (до 96 до
104).
в помещении пультовой:
-
- температура окружающего воздуха, °C (К)..................от 15 до 25 (от 288 до 298);
-
- относительная влажность окружающего воздуха при температуре 25 °C, %........от 50 до 80;
-
- атмосферное давление, мм рт.ст. (кПа)....................................от 720 до 780 (от 96 до 104).
параметры электропитания:
-
- напряжение сети переменного тока, В..................................................от 198 до 242;
-
- частота переменного тока, Гц........................................................... от 49 до 51;
-
- напряжение сети постоянного тока, В.....................................................от 21,6 до 26,4.
Примечание - При проведении поверочных работ условия окружающей среды средств поверки (РЭТ) должны соответствовать требованиям, указанным в их РЭ.
-
6 ПОДГОТОВКА К ПОВЕРКЕ
-
6.1 При подготовке к поверке провести следующие работы:
-
-
- проверить комплектность проектно-технологической и эксплуатационной документации системы;
-
- проверить наличие поверочных клейм, а также свидетельств о поверке на эталонные и вспомогательные средства поверки;
-
- проверить наличие поверочных клейм, а также свидетельств о поверке на средства измерений утвержденного типа, входящих в состав системы;
-
- подготовить к работе все приборы и аппаратуру согласно их РЭ;
-
- собрать схемы поверки ИК, приведенные ниже, проверить целостность электрических цепей;
-
- обеспечить оперативную связь оператора у монитора с оператором, задающим контрольные значения эталонных сигналов на входе ИК;
-
- включить вентиляцию и освещение в испытательных помещениях;
-
- включить питание ПИП и аппаратуры системы не менее чем за 30 мин до начала проведения поверки;
-
- создать, проконтролировать и записать в протокол условия проведения поверки.
-
7 ПРОВЕДЕНИЕ ПОВЕРКИ
-
7.1 Внешний осмотр
-
При внешнем осмотре установить соответствие системы следующим требованиям:
-
- комплектность согласно формуляру ИНСИ.425848.000.00 ФО;
-
- маркировку согласно руководству по эксплуатации ИНСИ.425848.000.00 РЭ;
-
- наличие и сохранность пломб (согласно сборочным чертежам);
-
- герметичность линий измерения давлений.
СИ, входящие в состав системы, не должны иметь внешних повреждений, которые могут влиять на работу системы, при этом должно быть обеспечено: надежное крепление соединителей и разъемов, отсутствие нарушений экранировки кабелей, качественное заземление.
Результаты внешнего осмотра считать положительными, если выполняются вышеприведенные требования.
-
7.2 Опробование
Перед началом работ проверить оборудование и включить систему, руководствуясь документом ИНСИ.425848.000.00 РЭ.
При опробовании проверить правильность функционирования ИК системы.
Для этого необходимо задать на входе ИК с помощью РЭТ физическую величину, соответствующую минимальному и максимальному значениям параметра контролируемого диапазона измерений. Оператору ПК проконтролировать измеренные системой значения физической величины. Убедиться в правильности функционирования ИК.
Результаты опробования считать положительными, если измеренные значения физической величины совпадают с заданными эталонными значениями в пределах допускаемой погрешности измерений ИК системы. В противном случае система бракуется и направляется в ремонт.
-
7.3 Определение метрологических характеристик
Определение метрологических характеристик проводить по программе «Метрология» в последовательности, изложенной в руководстве оператора ИНСИ.425848.000.00 РО.
-
7.3.1 Определение погрешностей измерений давления воздуха (газов) и жидкостей
-
7.3.1.1 Погрешности измерений давления воздуха (газов) и жидкостей определить одним из следующих способов:
-
• комплектным способом (прямые измерения) с оценкой MX по результатам сквозной градуировки ИК в следующей последовательности:
-
- отсоединить вход ПИП давления (преобразователи давления измерительные АИР-IOL, АИР-ЮН, «ЭЛЕМЕР-100») от магистрали давления испытательного стенда и соединить его с РЭТ давления (калибратор DPI 620 с модулем давления РМ620) по схеме, приведенной на рисунке 1;
-провести градуировку ИК давления по методике, приведенной в разделе 1 Приложения Б;
-
- оценить MX ИК давления в соответствии с алгоритмом, приведенным в разделе 2 Приложения Б.

Рисунок 1 - Схема поверки ИК давления рабочим эталоном DPI 620 с модулем давления РМ 620
• поэлементным способом (прямые измерения) ИК давления с оценкой MX ИК по MX элементов ИК в следующей последовательности:
-
- провести поверку ПИП давления: АИР-IOL, АИР-ЮН - в соответствии с документом НКГЖ.406233.018МП «Преобразователи давления измерительные АИР-10. Методика поверки», утвержденным ФГУП «ВНИИМС» 23.01.2014 г.; «ЭЛЕМЕР-100» - в соответствии с разделом «Методика поверки» руководства по эксплуатации НКГЖ.406233.029РЭ, согласованным ГЦИ СИ ФГУП «ВНИИФТРИ» 28.10.2008 г.;
-
- подключить ИК без ПИП к РЭТ (калибратор DPI 620) по схеме, приведенной на рисунке 2;

Рисунок 2 - Схема поверки ИК давления воздуха (газов) и жидкостей без ПИП (АИР-IOL, АИР-ЮН. «ЭЛЕМЕР-100») рабочим эталоном DPI 620
-
- провести градуировку ИК силы постоянного тока в диапазоне значений от 4 до 20 мА по методике, приведенной в разделе 1 Приложения Б;
-
- оценить MX ИК в соответствии с алгоритмом, приведенным в разделе 2 Приложения Б.
-
7.3.1.2 Результаты поверки ИК давления воздуха (газов) и жидкостей считать положительными, если значения погрешностей ИК находятся в пределах, указанных в таблице А.1 Приложения А. В противном случае ИК бракуется и после выявления и устранения причины производится повторная поверка.
-
7.3.2 Определение погрешностей измерений ИК температуры воздуха (газов) и жидкостей
-
7.3.2.1 Погрешности измерений ИК температуры воздуха (газов) и жидкостей определить одним из следующих способов:
-
• комплектным способом (прямые измерения) с оценкой MX по результатам сквозной градуировки ИК в следующей последовательности:
подключить ИК температуры к РЭТ (калибратор Fluke) согласно схемам, приведенным на рисунках За), 36);
провести градуировку ИК температуры по методике, приведенной в разделе 1 Приложения Б;
оценить MX ИК в соответствии с алгоритмом, приведенным в разделе 2 Приложения Б.
а)
б)
Рисунок 3 - Схемы поверки ИК температуры воздуха (газов) и жидкостей рабочим эталоном Fluke
• поэлементным способом (прямые измерения) с оценкой MX ИК по MX элементов ИК в следующей последовательности:
-
- провести в аккредитованной на право поверки организации поверку термопреобразователя сопротивления ДТС-105-1 ООП по методике поверки ГОСТ 8.461-2009;
-
- провести в аккредитованной на право поверки организации поверку датчика температуры Метран-2700 по документу МИ 4211-018-2013 «Термопреобразователи с унифицированным выходным сигналом Метран-2700. Методика поверки», утвержденному ГЦИ СИ ФБУ «Челябинский ЦСМ» в июне 2013 г.;
-
- подключить ИК без ПИП к РЭТ (калибратор DPI 620) согласно схемам, приведенным на рисунках 4а), 46);
-
- провести градуировку ИК сопротивления постоянному току по методике, приведенной в разделе 1 Приложения Б;
-
- оценить MX ИК в соответствии с алгоритмом, приведенным в разделе 2 Приложения Б.

а)
б)
Рисунок 4- Схемы поверки ИК температуры воздуха (газов) рабочим эталоном DPI 620:
а) - без ПИП (ДТС-105-1 ООП); б) - без ПИП (Метран-2700)
-
7.3.2.3 Результаты поверки ИК температуры воздуха (газов) и жидкостей считать положительными, если значения погрешностей ИК находятся в пределах, указанных в таблицах А.1 и А.2 Приложения А. В противном случае ИК бракуется и после выявления и устранения причины производится повторная поверка.
-
7.3.3 Определение погрешностей измерений напряжения постоянного тока, соответствующего значениям температуры газов и жидкостей, измеряемой термоэлектрическими преобразователями ТХА(К), TXK(L)
-
7.3.3.1 Погрешности измерений напряжения постоянного тока, соответствующего значениям температуры газов и жидкостей, измеряемой термоэлектрическими преобразователями ТХА(К), TXK(L), определить комплектным способом (прямые измерения) с оценкой MX по результатам сквозной градуировки ИК в следующей последовательности:
-
-
- подключить ИК к РЭТ (калибратор DPI 620) по схеме, приведенной на рисунке 5;
-
- провести градуировку ИК в соответствии с методикой, приведенной в разделе 1 Приложения Б;
-
- оценить MX ИК напряжения постоянного тока, соответствующего значениям температуры газов и жидкостей, измеряемой термоэлектрическими преобразователями ТХА(К), TXK(L), по алгоритму, приведенному в разделе 2 Приложения Б.

Рисунок 5- Схема поверки ИК напряжения постоянного тока, соответствующего значениям температуры газов и жидкостей, измеряемой термоэлектрическими преобразователями ТХА(К), TXK(L), рабочим эталоном DPI 620
-
7.3.3.2 Результаты поверки ИК напряжения постоянного тока, соответствующего значениям температуры газов и жидкостей, измеряемой термоэлектрическими преобразователями ТХА(К), TXK(L), считать положительными, если значения погрешностей ИК находятся в пределах ±0,2 % от ВП.
В противном случае ИК бракуется и после выявления и устранения причины производится повторная поверка.
-
7.3.4 Определение погрешности измерений массового расхода топлива
-
7.3.4.1 Погрешности измерений ИК массового расхода топлива определить поэлементным способом (косвенные измерения) с оценкой MX ИК по MX элементов ИК в следующей последовательности:
-
-
- провести поверку турбинного преобразователя расхода ТПР7 в аккредитованной на право поверки организации;
-
- отсоединить электрический кабель датчика ТПР7 от ИК и с помощью жгута-переходника подключить к этому кабелю рабочий эталон (калибратор DPI 620) по схеме, приведенной на рисунке 6;

Рисунок 6 - Схема поверки ИК массового расхода топлива без ПИП рабочим эталоном DPI 620
-
- провести градуировку ИК (без ПИП) в соответствии с методикой, приведенной в разделе 1 Приложения Б, устанавливая с помощью РЭТ контрольные значения сигнала синусоидальной формы амплитудой 0,5 В с частотой 50, 175, 300, 425, 550Гц;
-
- провести градуировку ИК температуры топлива по методике, приведенной в п. 7.3.2;
-
- провести поверку ареометра АНТ-2 по методике Р 50.2.041-2004 ГСИ в организации, аккредитованной на право поверки;
-
- оценить MX ИК массового расхода топлива по алгоритму, приведенному в разделе 2 Приложения Б.
-
7.3.4.2 Результаты поверки ИК расхода топлива считать положительными, если значения погрешностей ИК находятся в пределах ±0,5 % от ИЗ. В противном случае ИК бракуется и после выявления и устранения причины производится повторная поверка.
-
7.3.5 Определение погрешности измерений массового расхода отбираемого воздуха
-
7.3.5.1 Погрешности измерений ИК массового расхода отбираемого воздуха определить в следующей последовательности:
-
-
- провести поверку ИК давления воздуха на входе в СУ, перепада давления на СУ по методике, приведенной в п. 7.3.3;
-
- провести поверку ИК температуры отбираемого воздуха по методике, приведенной в п. 7.3.4;
-
- произвести контроль геометрических параметров РМУ и СУ (сопло ИСА 1932) на соответствие требованиям чертежа ИСП1700.80.00СБ и ГОСТ 8.586.3-2005;
-
- определить MX ИК массового расхода отбираемого воздуха по методике, приведенной в ГОСТ 8.586.5-2005 по алгоритму, представленному в разделе 2 Приложения Б.
-
7.3.5.2 Результаты поверки считать положительными, если значения погрешностей ИК находятся в пределах ±2,0 % от ВП в диапазоне от 1,0 до 3,0 кг/с. В противном случае ИК бракуется и после выявления и устранения причины производится.
-
7.3.6 Определение погрешностей измерений частоты электрических сигналов, соответствующей значениям частоты вращения роторов
-
7.3.6.1 Погрешности измерений ИК частоты электрических сигналов, соответствующей значениям частоты вращения роторов, определить комплектным способом (прямые измерения) с оценкой MX по результатам сквозной градуировки ИК в следующей последовательности:
-
-
- подключить ИК частоты электрических сигналов с помощью жгута-переходника к РЭТ (калибратор DPI 620) по схеме, приведенной на рисунке 6;
-
- провести градуировку ИК частоты электрических сигналов, соответствующей значениям частоты вращения роторов, по методике, приведенной в разделе 1 Приложения Б, устанавливая с помощью РЭТ контрольные значения электрического сигнала синусоидальной формы с амплитудой 10 В и значениями частоты: 300; 2000; 4000; 6000; 8000 Гц;
-
- оценить MX ИК в соответствии с алгоритмом, приведенным в разделе 2 приложения Б.
-
7.3.6.2 Результаты поверки ИК частоты электрических сигналов, соответствующей значениям частоты вращения ротора и значениям расхода топлива, считать положительными, если значения погрешностей ИК находятся в пределах ±0,05 % от ВП. В противном случае ИК бракуется и после выявления и устранения причины производится повторная поверка.
-
7.3.7 Определение погрешности измерений ИК электрической мощности в нагрузке генератора.
-
7.3.7.1 Погрешности измерений ИК электрической мощности в нагрузке генератора определить поэлементным способом (прямые измерения) с оценкой MX ИК по MX элементов ИК в следующей последовательности:
-
-
- провести в аккредитованной на право поверки организации поверку датчика измерения мощности ДИМ-200В по методике, изложенной в приложении 2 документа «Руководства по эксплуатации. 46.ПИГН.411523.001 РЭ», согласованного с ФГУП «ВНИИМС» 06.06.2001 г.;
-
- подключить ИК без ПИП к РЭТ (калибратор DPI 620) по схеме, приведенной на рисунке 7;

Рисунок 7- Схема поверки ИК электрической мощности в нагрузке генератора без ПИП рабочим эталоном DPI 620
-
- провести градуировку ИК силы постоянного тока по методике, приведенной в разделе 1 Приложения Б;
-
- оценить MX ИК в соответствии с алгоритмом, приведенным в разделе 2 Приложения Б.
-
7.3.7.2 Результаты поверки ИК электрической мощности в нагрузке генератора считать положительными, если значения погрешностей ИК находятся в пределах ± 2,5 % от ВП=80 кВт. В противном случае ИК бракуется и после выявления и устранения причины производится повторная поверка.
-
7.3.8 Определение погрешностей измерений силы постоянного тока
-
7.3.8.1 Погрешности измерений силы постоянного тока определить поэлементным способом (прямые измерения) с оценкой MX ИК по MX элементов ИК в следующей последовательности:
-
-
- провести в аккредитованной на право поверки организации поверку ПИП (шунт изме
рительный стационарный 75 ШИСВ) в соответствии с документом МИ 1991 ГСИ «Шунты постоянного тока. Методика поверки»; ;
-
- подключить ИК без ПИП к РЭТ (калибратор DPI 620) по схеме, приведенной на рисунке 8;

Рисунок 8- Схема поверки ИК силы постоянного тока без ПИП рабочим эталоном DPI 620
-
- провести градуировку ИК силы постоянного тока без ПИП по методике, приведенной в разделе 1 Приложения Б;
-
- оценить MX ИК в соответствии с алгоритмом, приведенным в разделе 2 Приложения Б.
-
7.3.8.2 Результаты поверки ИК силы постоянного тока считать положительными, если значения погрешностей ИК находятся в пределах ±1,5 % от ВП. В противном случае ИК бракуется и после выявления и устранения причины производится повторная поверка.
-
7.3.9 Определение погрешностей измерений ИК напряжения постоянного тока.
-
7.3.9.1 Погрешности измерений ИК напряжения постоянного тока определить комплектным способом (прямые измерения) с оценкой MX по результатам сквозной градуировки ИК в следующей последовательности:
-
-
- подключить ИК к РЭТ (калибратор универсальный Н4-201) по схеме, приведенной на рисунке 9;
-
- провести градуировку ИК напряжения постоянного тока по методике, приведенной в разделе 1 Приложения Б;
-
- оценить MX ИК в соответствии с алгоритмом, приведенным в разделе 2 приложения Б.

Рисунок 9- Схема поверки ИК напряжения постоянного тока рабочим эталоном Н4-201
-
7.3.9.2 Результаты поверки ИК напряжения постоянного тока считать положительными, если значения погрешностей ИК находятся в пределах ±1,0 % от ВП. В противном случае ИК бракуется и после выявления и устранения причины производится повторная поверка.
7.4 Идентификация ПО
Проверку идентификационных данных (признаков) метрологически значимой части ПО провести в соответствием с руководством оператора. ИНСИ.425848.000.00 РО.
Убедиться в соответствии идентификационных признаков метрологически значимой части ПО данным, указанным в таблице 3.
В случае несоответствия идентификационных признаков данным, приведенным в таблице 3 ПО направляется для проведения настройки.
Таблица 3 - Идентификационные данные ПО
|
Наименование ПО |
Сервер параметров |
Библиотека вычисления расчетных параметров |
Библиотека вычисления расчетных параметров |
|
Идентификационное наименование ПО |
insys_server22-l.exe |
insysformula.dll |
srv dll mass air flow c alc.dll |
|
Номер версии (идентификационный номер) ПО |
1.25.11 |
1.0.5 |
1.0.2 |
|
Цифровой идентификатор ПО |
8ad57fc714aa5db2b04 ec08b4b6aafa3 |
7a599dc75816d50ad058a d75c599d706 |
M3ad74412fbc4c94ec3b5 b81b535dla |
|
Наименование ПО |
Библиотека вычисления расчетных параметров |
Библиотека настройки аппаратной части ИК |
Библиотека настройки аппаратной части ИК |
ПО метрологических исследований |
|
Идентификационное наименование ПО |
srv dll_therm res ist_calc.dll |
SSD_Statica.exe |
ssd2_startup.rtexe |
Metrology.exe |
|
Номер версии (идентификационный номер) ПО |
1.1.2 |
1.0.0 |
1.0.0 |
3.12.2 |
|
Цифровой идентификатор ПО |
9296c8f80036d4d 6ae39e8866af82b 8b |
fbcd847f41be01014 26bd58ecf6edl00 |
d2ad95027bad47b2 e36cdf28ad353067 |
3a932363cfb5ace5 097b9175f3cc7d81 |
8 ОФОРМЛЕНИЕ РЕЗУЛЬТАТОВ ПОВЕРКИ
-
8.1 Результаты поверки системы занести в протокол (Приложение Д).
-
8.2 При положительных результатах поверки системы оформить свидетельство о поверке и нанести знак поверки на лицевую панель приборного отсека.
-
8.3 При отрицательных результатах поверки система к дальнейшему применению не допускается. На систему выдается извещение о непригодности к применению с указанием причин забракования.
Ф.И. Храпов
П.В. Власов
Начальник НИО-Ю ФГУП «ВНИИФТРИ»
Начальник отдела 102 ФГУП «ВНИИФТРИ»
|
Наименование ПО |
Библиотека вычисления расчетных параметров |
Библиотека настройки аппаратной части ИК |
Библиотека настройки аппаратной части ИК |
ПО метрологических исследований |
|
Идентификационное наименование ПО |
srv_dll_therm_res ist_calc.dll |
SSD_Statica.exe |
ssd2_startup.rtexe |
Metrology.exe |
|
Номер версии (идентификационный номер) ПО |
1.1.2 |
1.0.0 |
1.0.0 |
3.12.2 |
|
Цифровой идентификатор ПО |
9296c8f80036d4d 6ae39e8866af82b 8b |
fbcd847f41be01014 26bd58ecf6edl00 |
d2ad95027bad47b2 e36cdf28ad353067 |
3a932363cfb5ace5 097b9175f3cc7d81 |
8 ОФОРМЛЕНИЕ РЕЗУЛЬТАТОВ ПОВЕРКИ
-
8.1 Результаты поверки системы занести в протокол (Приложение Д).
-
8.2 При положительных результатах поверки системы оформить свидетельство о поверке и нанести знак поверки на лицевую панель приборного отсека.
-
8.3 При отрицательных результатах поверки система к дальнейшему применению не допускается. На систему выдается извещение о непригодности к применению с указанием причин забракования.
Ф.И. Храпов
П.В. Власов
Начальник НИО-Ю ФГУП «ВНИИФТРИ»
Начальник отдела 102 ФГУП «ВНИИФТРИ»
|
Наименование ПО |
Библиотека вычисления расчетных параметров |
Библиотека настройки аппаратной части ПК |
Библиотека настройки аппаратной части ПК |
ПО метрологических исследований |
|
Идентификационное наименование ПО |
srv_dll_therm_res ist_calc.dll |
SSD_Statica.exe |
ssd2_startup.rtexe |
Metrology.exe |
|
Номер версии (идентификационный номер) ПО |
1.1.2 |
1.0.0 |
1.0.0 |
3.12.2 |
|
Цифровой идентификатор ПО |
9296c8f80036d4d 6ae39e8866af82b 8b |
fbcd847f41be01014 26bd58ecf6edl00 |
d2ad95027bad47b2 e36cdf28ad353067 |
3a932363cfb5ace5 097b9175f3cc7d81 |
8 ОФОРМЛЕНИЕ РЕЗУЛЬТАТОВ ПОВЕРКИ
-
8.1 Результаты поверки системы занести в протокол (Приложение Д).
-
8.2 При положительных результатах поверки системы оформить свидетельство о поверке и нанести знак поверки на лицевую панель приборного отсека.
-
8.3 При отрицательных результатах поверки система к дальнейшему применению не допускается. На систему выдается извещение о непригодности к применению с указанием причин забракования.
Ф.И. Храпов
П.В. Власов
Начальник НИО-Ю ФГУП «ВНИИФТРИ»
Начальник отдела 102 ФГУП «ВНИИФТРИ»
|
Наименование ПО |
Библиотека вычисления расчетных параметров |
Библиотека настройки аппаратной части ИК |
Библиотека настройки аппаратной части ИК |
ПО метрологических исследований |
|
Идентификационное наименование ПО |
srv_dll_iherm_res ist_calc.dll |
SSD_Stalica.exe |
ssd2_starlup.rtcxc |
Mctrology.exe |
|
Номер версии (идентификационный номер) ПО |
1.1.2 |
1.0.0 |
1.0.0 |
3.12.2 |
|
Цифровой идентификатор ПО |
9296c8f80036d4d 6ac39c8866af82b 8b |
fbcd847f41bc01014 26bd58ecf6edl00 |
d2ad95027bad47b2 e36cdf28ad353O67 |
3a932363cfb5acc5 097b9175f3cc7d81 |
8 ОФОРМЛЕНИЕ РЕЗУЛЬТАТОВ ПОВЕРКИ
-
8.1 Результаты поверки системы занести в протокол (Приложение Д).
-
8.2 При положительных результатах поверки системы оформить свидетельство о поверке и нанести знак поверки на лицевую панель приборного отсека.
-
8.3 При отрицательных результатах поверки система к дальнейшему применению не допускается. На систему выдается извещение о непригодности к применению с указанием причин забракования.

Ф.И. Храпов
П.В. Власов
Начальник НПО-10 ФГУП «ВНИИФТРИ»
Начальник отдела 102 ФГУП «ВНИИФТРИ»
Приложение A
Таблица A.l - Состав и метрологические характеристики ИК системы, включающих ПИП и вторичную часть ИК
|
Характеристики ИК |
Состав ИК | ||||||
|
наименование ИК |
количество ИК |
диапазон измерений |
пределы допус-каемой погрешности (нормированы для рабочих условий) |
ПИП |
вторичная часть ИК | ||
|
тип |
пределы допускаемой основной погрешности |
тип аппаратуры |
пределы допускаемой основной погрешности | ||||
|
ИК давления воздуха (газов) и жидкостей |
1 2 |
Избыточное давление жидкостей: от 0 до 0, 2452 МПа от 0 до 0,9807 МПа |
±1,0% (у от ВП)* |
Преобразователи давления измерительные АИР-IOL -ДИ |
±0,4 % (у от ВП) |
Преобразователь напряжения N19205 |
±(0,05 + + 0,06-ВПД/ИВ) % ** ВПД = 5 В |
|
1 1 |
Разность давлений воздуха (газов): от 0 до 19,61 кПа |
±0,5 % (у от ВП) |
Датчики давления Элемер-100-дд |
±0,15 % (у от ВП) | |||
|
от 0 до 19,61 кПа |
±0,25 % (у от ВП) | ||||||
1 |
Избыточное давление воздуха (газов): от 0 до 0,098 МПа |
±1,0% (у от ВП) |
Преобразователи давления измерительные АИР-1 OL-ДИ |
± 0,6 % (у от ВП) | |||
|
от 0 до 0,5884 МПа |
±0,5 % (у от ВП) |
Преобразователи давления измерительные АИР-ЮН-ДИ |
±0,1 % (у от ВП) | ||||
|
от 0 до 1,569 МПа |
±0,2 % (у от ВП) | ||||||
|
ИК массового расхода топлива |
1 |
от 85 до 450 кг/ч |
±0,5 %(5) *** |
Преобразователь расхода турбинный ТПР7 |
±0,4 %(5) |
Модульный частотомер-счетчик импульсов N1 РС1е-6612 |
±0,005 % (5) |
|
Здесь и далее в таблице 2: * у от ВП - приведенная к верхнему пределу измерений погрешность ** ВПД - верхний предел диапазона измерений; ИВ - измеренная величина ***5 - относительная погрешность | |||||||
Продолжение таблицы А. 1
|
Характеристики ПК |
Состав ИК | ||||||
|
наименование ИК |
количество ИК |
диапазон измерений |
пределы допускаемой погрешности (нормированы для рабочих условий) |
ПИП |
вторичная часть ИК | ||
|
тип |
пределы допускаемой основной погрешности |
тип аппаратуры |
пределы допускаемой основной погрешности | ||||
|
ПК массового расхода отбираемого воздуха 2 |
1 |
от 1,0 до 3,0 кг/с |
±2,0 % (у от ВП) |
Датчики давления Элемер-100-дд |
±0,15 % (у от ВП) |
Преобразователь напряжения N19205 |
±(0,05 + + 0,06 ВПД/ИВ) % ВПД = 5 В |
|
Термопреобразователь с унифицированным выходным сигналом Метран-2700 |
±0,25 % (у от ВП) | ||||||
|
ИК температуры воздуха (газов) жидкостей |
1 |
Температура топлива: от 243 до 353 К (от -30 до +80 °C) |
Термометр сопротивления ДТС 105-1 ООП |
Класс допуска В по ГОСТ 6651-2009 |
Измеритель сопротивления и температуры модульный N19217 |
±0,4 °C (А)4 | |
|
6 1 |
Температура воздуха (газов): от 243 до 333 К (от -30 до +60 °C) |
±0,5 % (5) |
Термометры сопротивления ДТС 105-1 ООП |
Класс допуска А по ГОСТ 6651-2009 |
±0,4 К (А) | ||
|
от 273 до 573 К (от Одо 300 °C) |
+0,5 % (у от ВП) ВП =573 К |
Термопреобразователь с унифицированным выходным сигналом Метран-2700 |
±0,25 % (у от ВП) |
Преобразователь напряжения N1 9205 |
±(0,05 + + 0,06 ВПД/ИВ) % ВПД = 5 В | ||
Продолжение таблицы А. 1
|
Характеристики ИК |
Состав ИК | ||||||
|
наименование ИК |
количество ИК |
диапазон измерений |
пределы допус-каемой погрешности (нормированы для рабочих условий) |
ПИП |
вторичная часть ИК | ||
|
тип |
пределы допускаемой основной погрешности |
тип аппаратуры |
пределы допускаемой основной погрешности | ||||
|
ИК электрической мощности в нагрузке генератора |
12 |
от 0 до 80 кВт (в одной фазе) |
±2,5 % (у от ВП) |
Датчик измерения мощности ДИМ-200В |
±2,0 % (у от ВП) |
Преобразователь напряжения N19205 |
±(0,05 + + 0,06-ВПД/ИВ) % ВПД = 5 В |
|
ИК силы постоянного тока |
1 |
от 0 до 2000 А |
±1,5 % (у от ВП) |
Шунт измерительный стационарный 75 ШИСВ.1 |
±0,5 % (у от ВП) |
Преобразователь напряжения N19219 |
±(0,1 + 0,012 (ВПД/ИВ)) % ВПД = 125 мВ |
Таблица А.2 - Состав и метрологические характеристики ИК системы с входными электрическими сигналами от устройств изделия и ПИП.
|
Наименование ИК |
Количество ИК |
Диапазон измерений (диапазон показаний на дисплее системы) |
Источник сигнала на входе ИК |
Тип аппаратуры ИК | |
|
ИК напряжения постоянного тока, соответствующего значениям температуры газов и жидкостей, измеряемой термоэлектрическими преобразователями ТХА(К) |
1 |
от 0 до 41,276 мВ (от Одо 1000 °C) |
Термоэлектрические преобразователи ТХА(К) по ГОСТ Р 8.585-2001 |
Преобразователь напряжения N1 9214 |
±0,2 % (у от ВП) * 6 |
|
ИК напряжения постоянного тока, соответствующего значениям температуры газов и жидкостей, измеряемой термоэлектрическими преобразователями TXK(L) |
6 |
от -1,843 до +49,108 мВ (от -30 до 600 °C) |
Термоэлектрический преобразователь TXK(L) по ГОСТ Р 8.585-2001 |
±0,2 % (у от НЗ)*** | |
|
ИК частоты электрических сигналов, соответствующей значениям частоты вращения роторов: силовой турбины в диапазоне от 0 до 25200 об/мин; двигателя в диапазоне от 0 до 34505 об/мин |
1 1 |
от 320 до 7682 Гц (от 5 до 120 %) от 306 до 7344 Гц (от 5 до 120 %) |
Датчик частоты вращения магнитоиндукционный ДТА-15 |
Модульный частотомер-счетчик импульсов N1 РС1е-6612 |
±0,05 % (у от ВП) |
|
Напряжение постоянного тока |
1 |
от 30 до 40 В |
Стартер |
Преобразователь напряжения N1 9219 |
±1,5 % (у от ВП) |
|
1 |
от 12 до 40 В |
Бортовая сеть |
Методика проведения градуировки и обработки результатов градуировки ИК
1. Методика проведения градуировки ИК
1.1 Сквозную градуировку ИК или градуировку элементов ИК проводить в следующей последовательности:
-
- задать с помощью РЭТ на входе ИК или элемента ИК в диапазоне измерений: р контрольных значений (ступеней) входной величины Хк в порядке возрастания от Хо до Хр при прямом ходе; р контрольных значений входной величины Хк в порядке убывания от Хр до Хо при обратный ходе.
Хк=Хо+[ (Xp-X0)/pJ- к, (Б.1)
где к - номер контрольной точки (ступени); к= 0, 1, 2.. .р;
Хо, Хр - нижний и верхний пределы диапазона измерений проверяемых ИК.
-
- произвести на каждой ступени при прямом и обратном ходе т отсчетов измеряемой величины (значение параметра т определяется частотой опроса ИК и временем измерения). При этом программа градуировки вычисляет значение сигнала на выходе АЦП как среднее значение кода по т отсчетам, зарегистрированным при подаче входного сигнала. Полученное значение сохраняется в файле градуировки;
-
- повторить I раз указанные циклы градуировки (прямой и обратный ходы). В резуль
тате в памяти компьютера запоминаются массивы значений выходной величины у 'iK при прямом ходе и у "к при обратном ходе, где i - номер градуировки, i = 1,2,.....I.
Примечание - Для ИК с пренебрежимо малой погрешностью вариации допускается обратные ходы градуировки не проводить.
При проверке принять следующие значения параметров градуировки р, I, т:
р>5. 1>5, т>10.
2 Порядок обработки результатов градуировки ИК
-
2.1 Обработку результатов градуировки проводить программой «Metrology IK.exe» по алгоритму настоящей методики, руководствуясь документом У6894-4924 РП. Для определения доверительных границ оценки погрешностей ИК принимается величина доверительной вероятности Р = 0,95 (по ГОСТ Р 8.736-2011, п.4.4).
-
2.2 Исключение «грубых промахов»
-
2.2.1 Предварительная отбраковка «грубых промахов» на этапе многократного опроса наблюдаемой величины для каждой контрольной точки производится следующим образом:
-
- результаты опроса ранжируются в ряд в порядке возрастания;
-
- из указанного ряда исключаются 10 % значений от верхней и нижней границ ряда.
-
2.2.2 Исключение «грубых промахов» на этапе обработки результатов измерений производится с использованием критерия Граббса по ГОСТ Р 8.736-2011 следующим образом:
2.2.2.1 Вычислить для каждой k-той контрольной точки оценки измеряемой величины у к при прямом ходе градуировки и уТпри обратном ходе градуировки по формулам (Б.2):
у’к = у • ЕХн л = у ■ Ет" ■ (Б-2)I /=1 * /=1
2.2.2.2 Вычислить для каждой k-той контрольной точки средние квадратические отклонения S'k (при прямом ходе) и S" (при обратном ходе) по формулам (Б.З):
/=1____________
/-1
1-1
(Б.З)
2.2.2.3 Вычислить для выборки y'iK...y'iK значения формулам (Б.4):
G,,
G2 критерия Граббса по
5
(Б.4)
где утах, Утт - соответственно максимальный и минимальный элементы в выборке у'1к- у'/к-
-
2.2.2.4 Сравнить значения G/, G? с теоретическим значением GT критерия, указанным в приложении А ГОСТ Р 8.736-2011:
-
- если Gi> Gt, то элемент утах исключить из выборки как маловероятное значение;
-
- если G?> Gt, то элемент ymin исключить из выборки как маловероятное значение;
-
2.2.2.5 Повторить процедуру исключения «грубых промахов» по п.п.. 2.2.2.1 - 2.2.2.4 для оставшихся элементов, если в выборке у 'iK.. .у 'iK был исключен один элемент.
-
2.2.2.6 Выполнить проверку по выборкеу"1к ... у"к аналогично п.п. 2.2.2.1 - 2.2.2.5.
Примечание -Допускается проводить отбраковку «грубых промахов» на стадии просмотра оператором результатов наблюдений при проведении градуировки в случае, когда факт появления «грубого промаха» установлен достоверно. При этом производится повторное измерение в заданной контрольной точке с регистрацией результата наблюдений.
-
2.3 Определение индивидуальной функции преобразования ИК
Индивидуальную функцию преобразования ИК системы определять по результатам градуировки в виде обратной функции, т.е. как зависимость значений величины х на входе ИК от значений у на его выходе.
Если нелинейность функции такова, что с достаточной точностью можно ограничиться аппроксимирующим полиномом не выше 4-той степени, то эту функцию представляют в виде степенного полинома (формула Б.5). В противном случае функцию представляют кусочно-линейной зависимостью (формула Б. 6).
х = ао + а{у + ... + апу>!, (Б.5)
х = хк+Ч^<У-Ук\ (Б.6)
где &о, ai,...an - коэффициенты аппроксимирующего полинома, определяемые методом наименьших квадратов;
хк - эталонное значение входной величины на к-той ступени;
qSfk - цена единицы наименьшего разряда кода на к-той ступени;
уь - среднее значение результатов наблюдений выходной величины при градуировке на к-той ступени.
Значения ук и qSfk определить по формулам (Б.7) и (Б.8):
У.-=£(у;,+у',,)/2-1 , (Б.7)
/=1
qsfK= к1_ к
у« . (Б.8)
-
2.4 Определение характеристик погрешностей ИК
-
2.4.1 Определение характеристик абсолютной погрешности ИК при комплектном способе поверки (прямые измерения) с оценкой MX ИК по результатам сквозной градуировки ИК
-
2.4.1.1 Определить доверительные границы неисключенной систематической составляющей абсолютной погрешности (НСП) ИК при Р=0,95 по формуле (Б.9):
+ > (Б-9)
где Дрэт - погрешность РЭТ;
- абсолютная НСП ИК, обусловленная погрешностью аппроксимации.
При задании индивидуальной функции преобразования в виде степенного полинома (1.А) значение Aov(to вычисляется по формуле (Б. 10):
ЬахКа =|к+ ахУк + ••• + а„у”)- (Б-Ю)
При задании индивидуальной функции преобразования в виде кусочно-линейной зависимости (6.А) погрешность =0.
-
2.4.1.2 Определить доверительные границы случайной составляющей абсолютной погрешности на каждой к-той контрольной точке при Р = 0,95 по формуле (Б.11):




(Б.11)
где т - коэффициент Стьюдента-Фишера, зависящий от доверительной вероятности Р и числа степеней свободы 21 -1. Таблица значений т при Р = 0,95 приведена в Приложении Б;
дг и - среднее квадратическое отклонение случайной составляющей абсолютной по-IA* J
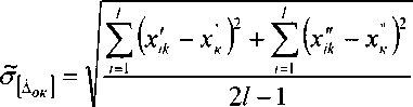
грешности на каждой к-той контрольной точке, определяемое по формуле (Б. 12):

(Б. 12)
где х jK , х ”к - приведенные по входу значения результатов наблюдений на к-той ступени при прямом и обратном ходе градуировки соответственно;
х^,х^- приведенные по входу средние значения результатов наблюдений на к-той ступени при прямом и обратном ходе градуировки соответственно, определяются по формулам (Б. 13);
хк=-/2^х,к >
; (б.13)
* /=1
Н0К - абсолютное значение вариации, определяется по формуле (Б. 14):

(Б. 14)
-
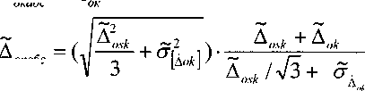
2.4.1.3 Определить доверительные границы абсолютной погрешности ИК на каждой к-той контрольной точке при Р = 0,95 по формулам (Б. 15):
^окабс
окабс ^osk
окабс
при (Аоте • г/Док) > 8 ,
при (Аодкт/Аок)<0.8, (Б. 15)
при 8>Аоте • г / Аок) > 0.8.
-
2.4.1.4 Определить доверительные границы абсолютной погрешности ИК при Р=0,95 по формуле (Б. 16):
Ао =шах(Аогабс) . (Б. 16)
-
2.4.2 Определение характеристик погрешности ИК при комплектной поверке с оценкой MX ИК по MX элементов системы.
2.4.2.1 Определить доверительные границы абсолютной погрешности ИК давления при Р = 0,95 по формуле (Б. 17):
Ао = 1,1 ■ Р • ^(ЗИК. )2 + АР2 /100 , (Б.17)
где Р - измеренное значение давления, кгс/см2, кгс/м2, кПа;
ЗР - значение относительной погрешности ПИП (датчики давления АИР-IOL, ЭЛЕМЕР-100), %. Значение погрешности ЗР берется из протокола поверки датчика, либо из паспорта на датчик;
дИК/ - значение относительной погрешности ИК постоянного тока (без ПИП), %.
-
2.4.2.2 Определить доверительные границы абсолютной погрешности ИК температуры, измеряемой термопреобразователями сопротивления (ТСП), при Р = 0,95 по формуле (Б. 18):
До=1,1^(Д„г)2+(ЛТ)2, (Б.18)
где Т- измеренное значение температуры, °C;
АТ - значение абсолютной погрешности ПИП (ТСП), °C. Значение погрешности АТ определяется по ГОСТ 6651-2009, либо берется из протокола поверки ПИП или паспорта на датчик;
Дж - значение абсолютной погрешности ИК температуры (без ПИП), °C.
-
2.4.2.3 Определить доверительные границы абсолютной погрешности ИК электрической мощности в нагрузке генератора при Р = 0,95 по формуле (Б. 19):
■ (Б.19)
где
Рэл -измеренное значение электрической мощности в нагрузке генератора. кВт;
ддим - значение относительной погрешности ПИП (датчик измерения мощности ДИМ), %. Значение Здим берется из паспорта на ПИП;
8ИК] - значение относительной погрешности ИК постоянного тока (без ПИП), %.
-
2.4.2.4 Определить доверительные границы абсолютной погрешности ИК силы постоянного тока при Р = 0,95 по формуле (Б.20):
■ Д.=и ■ / ■ рикд +(-W <Б-2°)
где
-
I - измеренное значение силы постоянного тока, А;
&шунт ~ значение относительной погрешности ПИП (шунт постоянного тока 75 ШИСВ), %. Значение Зшунт берется из паспорта на шунт;
дИК' - значение относительной погрешности ИК постоянного тока (без ПИП), %.
-
2.4.2.5 Определить доверительные границы абсолютной погрешности ИК массового расхода топлива определять по формуле (Б.21):
д.=1.1 -с. ■ 7(Д(^)/ п2+(де/е)2+(д(р)/р)2 , (б.21)
где: Gm - измеренное значение массового расхода топлива;
A(F)/F- относительное значение погрешности ИК без ПИП (ТПР7); k(Q)/Q - относительное значение погрешности ПИП;
А(р)/р - относительное значение погрешности измерений плотности топлива, д(р)//? = ((^)2+(гд//р)2)(1^ (Б22)
где: Др - погрешность измерений плотности топлива;
у - температурный коэффициент плотности топлива;
р - номинальная плотность топлива при 20°С;
At - погрешность измерений температуры топлива с помощью термометра сопротивления.
-
2.4.2.6 Определить доверительные границы абсолютной погрешности (абсолютной расширенной неопределенности) ИК массового расхода отбираемого воздуха в соответствии с ГОСТ 8.586.3-2005, в следующей последовательности:
• оценить относительную стандартную неопределенность м(С) коэффициента истечения СУ с учетом влияющих факторов по формуле (Б.23):
м(С) = 0,5 • (U(C0) + U(lt) + U(L) + U(ex) + U(h)),% (Б.23)
где [/(Со) - относительная расширенная неопределенность определения коэффициента истечения СУ, вычисляемая по формуле (Б.24):
[/(Со) = (2-0-0,4) = 0,633, (Б.24)
Р =0,633 -относительный диаметр СУ;
[/(L) - относительная расширенная неопределенность определения коэффициента истечения СУ, обусловленная сокращением длины прямого участка трубопровода между соплом и местным сопротивлением расположенным перед ним;
[/(lt) - относительная расширенная неопределенность определения коэффициента истечения СУ, обусловленная сокращением длины прямолинейного участка между соплом и гильзой термометра;
[/(ех) - относительная расширенная неопределенность определения коэффициента истечения СУ, обусловленная смещением оси сопла относительно оси трубопровода;
[/(h) - относительная расширенная неопределенность определения коэффициента истечения, обусловленная наличием уступа перед соплом;
• оценить относительную стандартную неопределенность определения поправочного коэффициента, учитывающего шероховатость Rm внутренней поверхности ИТ по формуле (Б.25):
мКш = 0,5-иКш % (Б.25)
где Ukuj- неопределенность поправочного коэффициента на шероховатость внутренней поверхности ИТ Кш %:

(Б.26)
иИш - неопределенность результата определения Rm (ГОСТ 8.586.1-2005 Прило
жение Д таблица Д. 1).
При Кш=1 иКш=0;
• оценить относительную стандартную неопределенность определения коэффициента расширения СУ по формуле (Б.27):

(Б.27)
где & - значение коэффициента расширения;
и(ДР) - относительная стандартная неопределенность результатов измерений перепада давления на СУ, %. Определяется по результатам поверки ИК перепада давления на СУ в виде и(ДР)= и(ДР)/2, где и(ДР) значение расширенной неопределенности (относительной погрешности) ИК;
и(Р) - относительная стандартная неопределенность результатов измерений абсолютного давления на входе СУ, %. Определяется по результатам поверки ИК абсолютного давления на входе в СУ в виде u(P)= U(P)/2, где U(P) значение расширенной неопределенности (относительной погрешности) ИК;
w(k) - относительная стандартная неопределенность показателя адиабаты. w(k) =0,02%) - по справочным данным;
[/(во) - относительная расширенная неопределенность коэффициента расширения воздуха СУ ИСА 1932, при условии и(ДР) = 0, и(Р) = 0, w(k)= 0. Определяется по формуле (Б.28):
ти ч 2 ДР 0/
Цео) =-----, %
Р
• определить относительную стандартную неопределенность определения коэффициента коррекции расхода воздуха на влажность воздуха по формуле (Б.29):
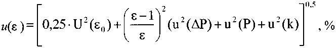
(u2(<p) + u2(PBnmax) + u2(P),%
(Б.28)
(Б.29)
где м(ф) - относительная стандартная неопределенность измерений относительной влажности воздуха, %;
w(PBn max) - относительная стандартная неопределенность определения наибольшего возможного давления водяного пара.
*В случае измерения расхода воздуха с учетом усредненного поправочного коэффициента на влажность Kq> = 0,994 относительная стандартная неопределенность и(К<р) принимается равной 0.53/2=0,264 %ВП согласно тех. справки № 078.170.049.02.
• оценить абсолютную расширенную неопределенность (абсолютную погрешность) результата измерений массового расхода отбираемого воздуха по формуле (30):
0,5
4 V
•u2(D) +
> ,% (Б.ЗО)
где
Ge - измеренное значение отбираемого массового расхода воздуха, кг/с;
w(D) - относительная стандартная неопределенность результатов измерений внутреннего диаметра ИТ, %.
w(d) - относительная стандартная неопределенность результатов измерений внутреннего диаметра СУ, %
w(pc) - относительная стандартная неопределенность определения плотности воздуха (по справочным данным), %
«(К) - относительная стандартная неопределенность определения коэффициента сжимаемости воздуха. «(К) - 0,02% - по справочным данным);
w(T) - относительная стандартная неопределенность результатов измерений температуры отбираемого воздуха, %. Определяется по результатам поверки ИК температуры отбираемого воздуха в виде u(T)= U(T)/2, где U(T) значение расширенной неопределенности (относительной погрешности) ИК.
-
2.4.3 Определить относительные погрешности ИК
Доверительные границы относительной погрешности ИК при Р = 0,95 определить по формулам (Б.31):
ИВ

(Б.31)
100,%

Значения коэффициента Стьюдента-Фишера в зависимости от числа степеней свободы при доверительной вероятности Р = 0,95
|
Число степеней свободы |
Доверительная вероятность Р=0,95 |
Число степеней свободы 2ml-l |
Доверительная вероятность Р=0,95 |
|
1 |
12,706 |
18 |
2,103 |
|
2 |
4,303 |
19 |
2,093 |
|
3 |
3,182 |
20 |
2,086 |
|
4 |
2,776 |
21 |
2,080 |
|
5 |
2,571 |
22 |
2,074 |
|
6 |
2,447 |
23 |
2,069 |
|
7 |
2,365 |
24 |
2,064 |
|
8 |
2,306 |
25 . |
2,060 |
|
9 |
2,262 |
26 |
2,056 |
|
10 |
2,228 |
27 |
2,052 |
|
И |
2,201 |
28 |
2,048 |
|
12 |
2,179 |
29 |
2,045 |
|
13 |
2,160 |
30 |
2,042 |
|
14 |
2,145 |
40 |
2,021 |
|
15 |
2,131 |
60 |
2,000 |
|
16 |
2,120 |
120 |
1,980 |
|
17 |
2,110 |
- |
Форма протокола поверки
Протокол №... определения погрешностей измерений измерительных каналов системы измерительной СИ-2/ВГТУ-УБЭ-1700, зав. №.... , ПАО «НПП «Аэросила»
-
1 Дата поверки
-
2 Средства поверки
-
3 Условия поверки
Температура окружающего воздуха,°C
Атмосферное давление, мм рт. ст.
Влажность, %
-
4 Документ, в соответствии с которым проводилась поверка Система измерительная СИ-2/ВГТД-УГЭ-1700.
Методика поверки ИНСИ.425848.000.00 МП.................................................
-
5 Результаты экспериментальных исследований
-
5.1 Внешний осмотр
-
5.2 Результаты опробования
-
5.3 Результаты метрологических исследований
-
Рабочие материалы, содержащие данные по градуировкам ИК и их обработке представлены в рабочей папке №.........
Результаты метрологических исследований системы измерительной СИ-ВГТД-УБЭ-1700 представлены в таблицах 1 и 2.
Условия исследований:
- число ступеней нагружения р =...............
-
- число циклов нагружения
1=...............
m =..............
-
- число опросов на точке
Расчет суммарной погрешности проводится по формулам методики поверки «Система измерительная СИ-1/ВГТД-УБЭ-1700. Методика поверки. ИНСИ.425847.000.00 МП
Таблица 1 - Результаты метрологических исследований ИК системы, включающих ПИП и вторичную часть ИК
|
Наименование ИК |
Обозначение параметра |
Диапазон измерений |
Тип ПИП зав. №, |
Диапазон измерений ПИП |
Относительная погоеш-ность ПИП |
Относительная погрешность ИК (без ПИП) |
Значение суммарной относительной погрешности ИК |
Пределы допускаемой погрешности ИК |
Таблица 2 - Результаты метрологических исследований ИК системы с входными электрическими сигналами от устройств изделия и ПИП.
|
Наименование ИК |
Обозначение параметра |
Диапазон измерений (диапазон показаний на дисплее системы) |
Источник сигнала на входе ИК |
Значение суммарной погрешности ИК |
Пределы допускаемой погрешности ИК |
-
6 Выводы
-
7 Заключение
Поверитель
______________________________ (____________________________) подпись ФИО
Перечень эксплуатационных и нормативных документов
|
Обозначение |
Наименование |
|
ГОСТ 8.009-84 ГСИ |
Нормируемые метрологические характеристики средств измерений |
|
ГОСТ Р 8.736-2011 ГСИ |
Измерения прямые многократные. Методы обработки результатов измерений. Основные положения |
|
ГОСТ 22261-94 |
Средства измерений электрических и магнитных величин. Общие технические условия |
|
ГОСТ 8.586.3-2005 |
Измерение расхода и количества жидкостей и газов с помощью стандартных сужающих устройств. Часть 3. Сопла и сопла Вентури. Технические требования |
|
ГОСТ 8.586.5-2005 |
Измерение расхода и количества жидкостей и газов с помощью стандартных сужающих устройств. Часть 5. Методика выполнения измерений |
|
ОСТ 1 01021-93 ОСИ |
Стенды для испытаний авиационных ГТД в наземных условиях. Общие технические требования |
|
РМГ 51-2002 ГСИ |
Документы на методики поверки средств измерений |
|
ГОСТ 8.461-2009 ГСИ |
Термопреобразователи сопротивления из платины, меди и никеля. Методика поверки |
|
ГОСТ 6651-2009 ГСИ |
Термопреобразователи сопротивления из платины, меди и никеля. Общие технические требования и методы испытаний |
|
ГОСТ Р 8.585-2001 ГСИ |
Термопары. Номинальные статические характеристики преобразования |
|
Р 50.2.041-2004 |
ГСИ. Ареометры стеклянные. Методика поверки |
|
НКГЖ.406233.018МП |
Преобразователи давления измерительные АИР-10. Методика поверки (утверждена ФГУП «ВНИИМС» 23.01.2014 г.) |
|
46.ПИГН.411523.001 РЭ |
Датчик измерения активной мощности ДИМ-200В. Руководство по эксплуатации. Приложение 2, согласованное ФГУП «ВНИИМС» 06.06.2001 г. |
|
НКГЖ.406233.029РЭ |
Датчики давления «ЭЛЕМЕР-100». Руководство по эксплуатации. Раздел «Методика поверки» (согласован ГЦИ СИ ФГУП «ВНИИФТРИ» 28.10.2008 г.) |
|
МИ 4211-018-2013 |
Термопреобразователи с унифицированным выходным сигналом Метран-2700. Методика поверки (утверждена ГЦИ СИ ФБУ «Челябинский ЦСМ» в июне 2013 г.) |
|
МИ 1991-89 |
ГСИ. Шунты постоянного тока. Методика поверки |
|
МИ 2083-90 |
Измерения косвенные. Определение результатов измерений и оценивание их погрешностей |
|
ИНСИ.425848.000.00 РЭ. |
Система измерительная СИ-2/ВГТД-УГЭ-1700. Руководство по эксплуатации. |
|
ИНСИ.425848.000.00 ФО |
Система измерительная СИ-2/ВГТД-УГЭ-1700. Формуляр |
|
ИНСИ.425848.000.00 РО |
Система измерительная СИ-2/ВГТД-УГЭ-1700. Руководство оператора. |
29
ТРЕБОВАНИЯ К КВАЛИФИКАЦИИ ПОВЕРИТЕЛЕЙ
-
3.1 К поверке допускаются лица, квалифицированные в качестве поверителя, изучившие РЭ системы, знающие принцип действия используемых СИ, имеющие навыки работы на персональном компьютере.
ПИП и вторичная часть приведены из состава: ПК давления воздуха (газов) и жидкостей; ПК температуры воздуха (газов) жидкостей
-
* 2 у от ИЗ - приведенная к нормированному значению (НЗ) погрешность
-
* Пределы допускаемой основной погрешности ИК приведены в таблице 3 без учета погрешностей ПИП
-
* 6 у от ВП - приведенная к верхнему пределу измерений погрешность
6 6 у от НЗ - приведенная к нормированному значению погрешность
