Методика поверки «Рабочие эталоны 1-го разряда - источники микропотоков газов и паров ИМ-ВРЗ» (МП-242-2198-2018)
Федеральное государственное унитарное предприятие
«Всероссийский научно-исследовательский институт метрологии им. Д.И. Менделеева» ФГУП «ВНИИМ им. Д.И. Менделеева»
УТВЕРЖДАЮ

И.о. директора . Менделеева»
Проник
2018 г
Государственная система обеспечения единства измерений
Рабочие эталоны 1-го разряда -источники микропотоков газов и паров ИМ-ВРЗ
МЕТОДИКА ПОВЕРКИ
МП-242-2198-2018
Зам. руководителя научно-исследовательского отдела Государственных эталонов в области физико-химических измерений
А.В. Колобова
Разработчик научный сотрудник
________Н.Б. Шор
Санкт-Петербург 2018 г.
Настоящая методика поверки распространяется на рабочие эталоны 1 -го разряда - источники микропотоков газов и паров ИМ-ВРЗ (далее - ИМ-ВРЗ) и устанавливает методы и средства первичной поверки при вводе в эксплуатацию и периодической поверки в процессе эксплуатации.
ИМ-ВРЗ являются мерами: рабочими эталонами 1-го разряда - источниками микропотоков газов и паров по ГОСТ 8.578-2014, и, в комплекте с термо диффузионными генераторами газовых смесей, предназначены для воспроизведения единицы массовой концентрации компонента в газовых средах рабоч им эталонам 2-го разряда и рабочим средствам измерений в соответствии с ГОСТ 8.578-2014.
Интервал между поверками один год.
В случае выпуска единичных экземпляров ИМ поверке подлежит каждый экземпляр ИМ-ВРЗ.
В случае выпуска ИМ-ВРЗ в виде партии поверка проводится для каждой партии, включающей экземпляры ИМ-ВРЗ, выпущенные в течение 3-х месяцев, относящиеся к одному или нескольким исполнениям. Для поверки партии предъявляются 10 % от количества ИМ-ВРЗ каждого исполнения, но не менее 1 экз.
Настоящая методика поверки распространяется на вновь изготавливаемые ИМ-ВРЗ, а также на все ИМ-ВРЗ введенные в эксплуатацию в период с апреля 2016 г.
1. ОПЕРАЦИИ ПОВЕРКИ-
1.1 При проведении поверки выполняют операции, указанные в таблице 1.
Таблица 1.
|
Наименование операции |
Номер пункта методики поверки |
|
1. Внешний осмотр |
6.1 |
|
2 Проверка заполнения ИМ |
6.2 |
|
3 Определение относительной погрешности |
6.3 |
-
1.2 Если при проведении той или иной операции поверки получен отрицательный результат, дальнейшую поверку прекращают.
-
1.3 Периодической поверке подлежат ИМ-ВРЗ, заполненные веществом не менее, чем на 30% от полной вместимости или от массы вещества, указанной в паспорте.
2.1 При проведении поверки применяют средства, указанные в таблице 2. Таблица 2.
|
Номер пункта НД по поверке |
Наименование основного или вспомогательного средства поверки, номер документа, требования к СИ, основные технические и (или) метрологические характеристики |
|
4,6 |
Прибор комбинированный Testo-622 (регистрационный номер в Федеральном информационном фонде по обеспечению единства измерений 53505-13): диапазон измерения температуры: от минус 10 до 60 °°С, пределы допускаемой абсолютной погрешности ±0,4 °C; диапазон измерения относительной влажности: от 10 до 95 %, пределы допускаемой абсолютной погрешности ±3 %; диапазон измерений абсолютного давления: от 300 до 1200 гПа, пределы допускаемой абсолютной погрешности ± 5 гПа. |
|
6.2,6.3. |
Линейка измерительная металлическая по ГОСТ 427, верхний предел измерений 150 мм или более, цена деления 1 мм. |
|
Весы аналитические, Sartorius Micro 210 Р. Наибольший предел взвешивания не менее 20 г, пределы допускаемой абсолютной погрешности не более ±0,010 г. |
|
Номер пункта НД по поверке |
Наименование основного или вспомогательного средства поверки, номер документа, требования к СИ, основные технические и (или) метрологические характеристики |
|
6.3 |
Газоанализатор-компаратор, входящий в состав вторичного эталона по ГОСТ 8.578-2014. Относительное СКО среднего арифметического показаний, не более: при производительности ИМ до 1,0 мкг/мин 2 %, при производительности ИМ свыше 1,0 мкг/мин 1,5 %. |
|
Генератор газовых смесей термодиффузионного типа0 ГГС модификаций ГГС-Т или ГГС-К (регистрационный номер в Федеральном информационном фонде по обеспечению единства измерений 62151-15) с метрологическими характеристиками:
±0,1 °C (в диапазоне от 30 °C до 60 °C), ±0,2 °C (в диапазоне свыше 60 °C до 120 °C);
| |
|
Меры: эталоны сравнения - источники микропотоков газов и паров по ГОСТ 8.578-2014 или источники микропотоков 0-го разряда Границы доверительной относительной погрешности (при Р=0,95) ±(0,8 - 5,0) %. | |
|
Поверочный нулевой газ воздух марки А по ТУ 6-21-5-82 или азот газообразный особой чистоты 1 сорта по ГОСТ 9293 в баллоне под давлением. | |
|
Вентиль точной регулировки ВТР-1 или ВТР-1-М160. Диапазон рабочего давления от 0 до 150 кгс/см2, диаметр условного прохода 3 мм. | |
|
Секундомер типа СО Спр-26-000 по ТУ 25-1819-0021-90, пределы допускаемой абсолютной погрешности ±0,2 с | |
|
Ротаметр РМ-А-0,16 ГУЗ по ГОСТ 13045. Верхний предел измерений объемного расхода 0,16 м3/ч, пределы допускаемой относительной погрешности ±2,5 % от верхнего предела измерения | |
|
Эксикатор, пинцет | |
|
Примечание: 0 При проведении поверки используют два генератора (один - для выхода ИМ на температурный режим по 6.3.2, второй - для проведения измерений по 6.3.3). | |
-
2.2 Все средства поверки должны иметь действующие свидетельства о поверке, эталоны сравнения и рабочие эталоны 0-го разряда - действующие паспорта.
-
2.3 Допускается применение других средств измерений, не приведенных в таблице, но обеспечивающих определение метрологических характеристик с требуемой точностью.
-
2.4 В качестве газоанализатора-компаратора может применяться газоанализатор ЭРИС-TVOC модификации ЭРИС-TVOC-l (регистрационный номер 53084-13) или датчик газов PI-700 (регистрационный номер 37263-08).
-
3.1 Помещение, в котором проводится поверка, должно быть оборудовано приточновытяжной вентиляцией.
-
3.2 Концентрации вредных компонентов в воздухе рабочей зоны должны соответствовать требованиям ГОСТ 12.1.005.
-
3.3 При работе с ИМ-ВРЗ необходимо соблюдать правила техники безопасности при работе с токсичными и ядовитыми веществами. Все работы с ИМ-ВРЗ необходимо поводить в вытяжном шкафу.
-
3.4 ИМ-ВРЗ нельзя подносить к лицу, вскрывать, перезаполнять, подвергать ударам и изгибам, отбирать, смачивать, нагревать до температуры, превышающей указанную в паспорте, и охлаждать ниже минус 5 °C.
-
3.5 При работе с ИМ-ВРЗ сброс газовых смесей должен производиться через угольный фильтр, расположенный в вытяжном шкафу, или через поглотитель, заполненный
-
- для ИМ этилхлорформиата 5% раствором щелочи;
-
- для ИМ акриловой кислоты слабощелочным 5% раствором перманганата калия (КМпО4).
-
3.6 К проведению поверки ИМ-ВРЗ допускаются лица, ознакомленные с ГОСТ 8.578-2014, документацией на ИМ-ВРЗ и газоанализатор-компаратор, входящий в состав эталонного комплекса аппаратуры Б2 ГЭТ 154-2016 или в состав вторичного эталона по ГОСТ 8.578-2014 (правила хранения и применения, руководство по эксплуатации, методики измерений), имеющие квалификацию поверителя, действующий аттестат и прошедшие инструктаж по технике безопасности в установленном порядке.
-
4.1 При проведении поверки должны быть соблюдены следующие условия:
-
- диапазон температуры окружающего воздуха, °C от 15 до 25;
-
- диапазон относительной влажности окружающего воздуха, % не более 80;
-
- атмосферное давление, кПа от 84 до 106,7
5.1.Перед проведением поверки необходимо выполнить следующие подготовительные работы:
-
1) подготовить к работе поверяемый ИМ-ВРЗ в соответствии с требованиями эксплуатационной документации (ЭД);
-
2) подготовить к работе средства поверки в соответствии с требованиями их ЭД, при необходимости провести корректировку нулевых показаний и чувствительности газоанализатора-компаратора;
-
3) проверить наличие паспортов и сроков годности ГС в баллонах под давлением и эталонов сравнения (или рабочих эталонов 0-го разряда) - ИМ газов и паров;
-
4) выдержать баллоны с ГС в помещении, в котором проводят поверку, не менее 24 ч, эталоны сравнения (рабочие эталоны 0-го разряда) - ИМ газов и паров, поверяемый ИМ-ВРЗ -не менее 12 ч.
-
5) установить в генераторе газовых смесей в соответствии с ЭД
-
- необходимый расход в линии газа-разбавителя и в линии термостата таким образом, чтобы показания газоанализатора-компаратора при подаче газовой смеси соответствовали от 20 до 90 % диапазона измерений;
-
- температуру, соответствующую указанной в паспорте на ИМ-ВРЗ.
-
6.1 Внешний осмотр
При внешнем осмотре должно быть установлено соответствие ИМ-ВРЗ следующим требованиям:
-
1) отсутствие внешних повреждений, влияющих на работоспособность и безопасность, загрязнений и изменений цвета и агрегатного состояния вещества ИМ-ВРЗ;
-
2) надписи и маркировка на корпусе ИМ-ВРЗ должны быть четкими, комплектность должна соответствовать эксплуатационной документации.
Результаты внешнего осмотра считают положительными, если ИМ-ВРЗ соответствует перечисленным требованиям.
-
6.2 Проверка заполнения ИМ-ВРЗ
Проверку заполнения ИМ-ВРЗ выполняют путем взвешивания на аналитических весах или измерением с помощью линейки с ценой деления не более 1,0 мм.
Результаты проверки заполнения ИМ-ВРЗ считают положительными, если он заполнен веществом не менее, чем
на 70 % от полной вместимости или от массы вещества, указанной в паспорте, при первичной поверке;
на 30 % - при периодической поверке.
-
6.3 Определение метрологических характеристик
-
6.3.1 Определение относительной погрешности
-
Определение относительной погрешности проводят методом компарирования поверяемого ИМ с соответствующим эталоном сравнения или рабочего эталона 0-разряда- ИМ газов и паров (далее - ИМ-ЭС нли ИМ 0-разряда), установленных в термодиффузионном генераторе, с применением газоанализатора-компаратора.
Для поверки используют ИМ-ЭС или ИМ 0-разряда с производительностью, которая не должна отличаться от производительности поверяемого ИМ более чем на 30 %.
-
6.3.2 Перед проведением измерений выдерживают поверяемый ИМ и ИМ-ЭС (или ИМ 0-разряда) в генераторе газовых смесей термодиффузионного типа (первый генератор) при номинальном значении температуры Тн, °C, указанной в паспорте соответствующего ИМ. не менее 2-х часов. Устанавливают расход азота в линии термостата (100±20) см3/мин.
-
6.3.3 Выполняют следующие операции при проведении измерений:
-
1) Помещают в генератор газовых смесей термодиффузионного типа ИМ-ЭС (второй генератор) и устанавливают требуемый режим работы генератора: температура термостата Тн. °C в соответствии с паспортом на ИМ-ЭС (или ИМ 0-разряда), расход ГС на выходе генератора (см3/мин).
Устанавливают значение расхода ГС (см3/мин) в соответствии с эксплуатационной документацией на соответствующий газоанализатор-компаратор, показания которого при подаче ГС должны находиться в пределах от 20 до 90 % от верхнего предела измерений.
Подачу ГС на вход газоанализатора-компаратора при наличии встроенного насоса проводят со сбросом с применением тройника, при этом расход ГС в линии сброса устанавливают не менее 0,20 дм3/мин и контролируют при помощи ротаметра.
-
2) Выдерживают ИМ-ЭС (ИМ- 0-го разряда) в данных условиях не менее 30 мин, затем подают ГС с выхода генератора на газоанализатор-компаратор и регистрируют его показания.
-
3) Подачу ГС проводят не менее 5 раз (п=5).
-
4) Вынимают ИМ-ЭС (ИМ- 0-го разряда) из генератора.
-
5) Повторяют операции по перечислению 1) - 3) 6.3.3 для поверяемого ИМ-ВРЗ.
6.4 Обработка результатов измерений
-
6.4.1 Рассчитывают средние значения показаний газоанализатора-компаратора при подаче газовых смесей от генератора, созданных с помощью поверяемого ИМ-ВРЗ и ИМ-
ЭС (или ИМ 0-разряда) A iC по формулам
_ У
л 1=1_______»
п
п
п
(1)
(2)
.ИМ .
где A i - i-oe показание газоанализатора-компаратора при подаче газовой смеси от генератора, созданной с помощью поверяемого ИМ-ВРЗ, мг/м3 (млн1);
А - i-oe показание газоанализатора-компаратора при подаче газовой смеси от генератора, созданной с помощью ИМ-ЭС (или 0- разряда), мг/м3 (млн'1).
-
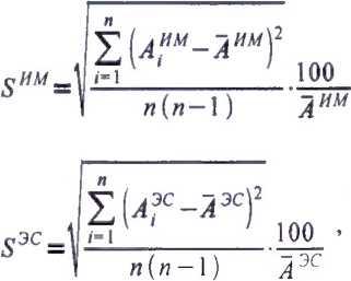
6.4.2 Рассчитывают относительное CKO среднего арифметического показаний газоанализатора-компаратора для поверяемого ИМ ( SHM в %) и для ИМ-ЭС (или 0- разряда) ( S3C в %) по формулам

(3)
(4)
Полученные значения относительного СКО должны соответствовать значениям, приведенным в таблице 2.
Если данное условие не выполняется, повторяют измерения по и. 6.3.3.
-
6.4.3 Рассчитывают измеренное значение производительности поверяемого ИМ-ВРЗ Gm, мкг/мин, по формуле:
Св=4эс-еЭС • (5)
где G3C - аттестованное значение производительности ИМ-ЭС (ИМ 0-разряда), указанное в паспорте, мкг/мин.
-
6.4.4 Значение относительной погрешности ИМ-ВРЗ, 8, %, рассчитывают по формуле:
G —G
(6)
где Gn - значение производительности поверяемого ИМ-ВРЗ, указанное в паспорте, мкг/мин.
-
6.4.5 Результаты определения погрешности ИМ-ВРЗ считают положительными, если полученное значение погрешности (по модулю) не превышает пределов допускаемой погрешности, указанных в ЭД поверяемого ИМ-ВРЗ.
-
7.1 Составляют протокол поверки по форме, приведенной в приложении Б.
-
7.2 В случае выпуска экземпляров ИМ-ВРЗ в виде партии при положительных результатах поверки подтверждается качество ИМ-ВРЗ в контролируемой партии, а также считается подтверждённой возможность дальнейшего их изготовления и приёмки по той же документации, по которой они изготовлены и прошли поверку, до получения результатов очередной поверки.
-
7.3 В случае выпуска единичных экземпляров ИМ-ВРЗ при положительных результатах поверки подтверждается качество каждого единичного экземпляра ИМ-ВРЗ.
-
7.4 При положительных результатах поверки партию ИМ-ВРЗ или каждый единичный экземпляр признают годными к применению и оформляют на партию или единичный экземпляр ИМ-ВРЗ свидетельство о поверке установленной формы в соответствии с приказом Минпромторга РФ№ 1815 от 02.07.2015 г.
-
7.5 При отрицательных результатах поверки партию или единичные экземпляры ИМ-ВРЗ не допускают к применению и выдают извещение о непригодности с указанием причин непригодности.
-
7.6 Знак поверки наносится на свидетельство о поверке в виде наклейки.
Приложение А.
Таблица А, 1 - Метрологические характеристики
|
Условное обозначение ИМ-ВРЗ |
Вещество |
Номинальное значение температуры, Т„, С° |
Конструктивное исполнение |
Диапазон производительности, GH, мкг/мин |
Температурны коэффициенз (а), градус’1 |
|
ИМ-ВРЗ-1-М-А2 |
Оксид пропилена |
40,0 |
А2 |
от 0,1 до 2 |
0,025 |
|
СзНбО |
60,0 |
А2 |
от 2 до 10 | ||
|
ИМ-ВРЗ-2-М-Б |
Оксид пропилена |
40,0 |
Б |
от 0.1 до 2 |
0,025 |
|
СзНсО |
60,0 |
Б |
от 2 до 10 | ||
|
Тетраэтилорто-силикат |
80,0 |
А2 |
от 0,2 до 1 | ||
|
ИМ-ВРЗ-3-М-А2 |
(TEOS) |
100,0 |
А2 |
от 1 до 5 |
0,025 |
|
C8H20O4Si |
120,0 |
А2 |
от 5 до 15 | ||
|
Тетраэтилорто-силикат |
80,0 |
Б |
от 0,2 до 1 | ||
|
ИМ-ВРЗ-4-М-Б |
(TEOS) |
100,0 |
Б |
от 1 до 5 |
0,025 |
|
CgFboC^Si |
120,0 |
Б |
от 5 до 15 | ||
|
ИМ-ВРЗ-5-М-А1 |
Малеиновый ангидрид С4Н2О3 |
80,0 90,0 |
А1 А1 |
от 0,1 до 0,5 от 0,5 до 2,5 |
0.025 |
|
ИМ-ВРЗ-6-М-А2 |
Малеиновый ангидрид С4Н2О3 |
80.0 100,0 |
А2 А2 |
от 0,2 до 1 от 1 до 3 |
0,025 |
|
120,0 |
А2 |
от 3 до 8 | |||
|
ИМ-ВРЗ-7-М-А2 |
н-Пропилацетат С5Н10О2 |
80,0 90,0 120,0 |
А2 А2 А2 |
от 1 до 5 от 5 до 10 от 8 до 15 |
0.025 |
|
ИМ-ВРЗ-8-М-Б |
н-Пропилацетат С5НЮО2 |
80,0 90,0 120,0 |
Б Б Б |
от 1 до 5 от 5 до 10 от 8 до 15 |
0.025 |
|
ИМ-ВРЗ-9-О-А1 |
Эпихлоргидрин СзН5СЮ |
100,0 |
А1 |
от 0,1 до 1 |
0.025 |
|
60,0 |
А2 |
от 1 до 5 | |||
|
ИМ-ВРЗ-10-М-А2 |
Эпихлоргидрин С3Н5СЮ |
80,0 100,0 |
А2 А2 |
от 5 до 10 от 10 до 20 |
0,025 |
|
120,0 |
А2 |
от 20 до 30 | |||
|
60,0 |
Б |
от 1 до 5 | |||
|
ИМ-ВРЗ-11-М-Б |
Эпихлоргидрин |
80,0 |
Б |
от 5 до 10 |
0,025 |
|
C3H5C10 |
100,0 |
Б |
от 10 до 20 | ||
|
120,0 |
Б |
от 20 до 30 | |||
|
ИМ-ВРЗ-12-м-А2 |
НЫ-диметилацетамид |
100,0 |
А2 |
от 1 до 3 |
0,025 |
|
С4Н9 NO |
120,0 |
А2 |
от 2 до 7 | ||
|
ИМ-ВРЗ-13-М-Б |
N.N-димстилацстамид |
100,0 |
Б |
от 1 до 3 |
0,025 |
|
С4Н9 NO |
120,0 |
Б |
от 2 до 7 | ||
|
80,0 |
А2 |
от 0,1 до 1 | |||
|
ИМ-ВРЗ-14-М-А2 |
Хлористый бензил |
90,0 |
А2 |
от 1 до 3 |
0.025 |
|
C7H7CI |
100,0 |
А2 |
от 3 до 7 | ||
|
120,0 |
А2 |
от 7 до 20 | |||
|
80,0 |
Б |
от 0J до 1 | |||
|
ИМ-ВРЗ-15-М-Б |
Хлористый бензил |
90,0 |
Б |
от 1 до 3 |
0.025 |
|
C7H7CI |
100.0 |
Б |
от 3 до 7 | ||
|
120,0 |
Б |
от 7 до 20 | |||
|
ИМ-ВРЗ-16-м-А2 |
1,1, 1-трихлорэтан |
90,0 |
Б |
от 0,3 до 1 |
0,025 |
|
C2H3CI3 |
100,0 |
Б |
от 1 до 7 | ||
|
ИМ-ВРЗ-17-М-Б |
1,1, 1-трихлорэтан |
90,0 |
Б |
от 0,3 до 1 |
0,025 |
|
С2НзС1з |
100,0 |
Б |
от 1 до 7 |
|
Условное обозначение ИМ-ВРЗ |
Вещество |
Номинальное значение температуры, Т„, С° |
Конструктивное исполнение |
Диапазон производительности, GH, мкг/мин |
Температурим коэффициент (а), градус’’ |
|
ИМ-ВРЗ-18-М-А2 |
Этиленгликоль С2Н6О2 |
40,0 80,0 |
А2 А2 |
от 0,1 до 0,5 от 0,2 до 2 |
- |
|
ИМ-ВРЗ-19-М-А2 |
Метилбромид СНзВг |
40,0 60,0 |
А2 А2 |
от 0,1 до 2 от 2 до 10 |
- |
|
ИМ-ВРЗ-20-М-И |
Фурфуриловый спирт С5Н6О2 |
30,0 35,0 40,0 |
И и и |
от 0,5 до 1,5 от 1 до 3 от 3 до 5 |
0.051 |
|
ИМ-ВРЗ-21-М-А2 |
Пиридин CsHsN |
60,0 80,0 100,0 120,0 |
А2 А2 А2 А2 |
от 1 до 5 от 5 до 10 от 10 до 20 от 20 до 30 |
- |
|
ИМ-ВРЗ-22-М-А2 |
Тетрагидротиофен CaHsS |
60,0 80,0 100,0 120,0 |
А2 А2 А2 А2 |
от 1 до 5 от 5 до 10 от 10 до 20 от 20 до 30 |
- |
|
ИМ-ВРЗ-23-М-А2 |
ЭтилгликольацетатС бНпОз |
120,0 |
А2 |
от 1 до 5 |
- |
|
ИМ-ВРЗ-24-М-И |
Акриловая кислота С3Н4О2 |
30,0 35,0 |
И и |
от 15 до 30 от 30 до 45 |
0,036 |
|
ИМ-ВРЗ-25-М-А1 |
Этилхлорформиат С3Н5С1О2 |
30,0 35,0 |
А1 А1 |
от 0,1 до 0,5 от 0,5 до 2 |
0,053 |
|
ИМ-ВРЗ-26-М-А2 |
Этилхлорформиат СзН5С1О2 |
30,0 35,0 |
А2 А2 |
от 0,5 до 1 от 1 до 5 |
0,053 |
Примечание: конкретные значения производительности (GH, мкг/мин) приведены в паспорте на ИМ
Приложение Б
ПРОТОКОЛ ПОВЕРКИ
№____________от________________
-
1 Наименование ИМ, тип, исполнение________________________________________________
-
2 Заводской номер__________________________________________________________________
-
3 Владелец_________________________________________________________________________
-
4 Дата выпуска____________________________________________________________________
-
5 Регистрационный номер в Федеральном информационном фонде по обеспечению единства
измерений________________________________________________________________________
-
6 Наименование нормативного документа по поверке____________________________________
-
7 Средства поверки__________________________________________________________________
-
8 Вид поверки (первичная/периодическая)______________________________________________
-
9 Условия поверки:
-
- температура окружающего воздуха_________________________________________________
-
- относительная влажность окружающего воздуха______________________________________
-
- атмосферное давление____________________________________________________________
-
10 Результаты проведения поверки
-
10.1 Внешний осмотр______________________________________________________________
-
10.2 Проверка массы ИМ____
-
10.3 Определение относительной погрешности
Значение производительности ИМ-ВРЗ, приведенное в паспорте, GH, мкг/мин
Измеренное значение производительности ИМ-ВРЗ, Си,, мкг/мин
Значение относительной погрешности, полученное при поверке, %
-
Вывод____________________________________________________________________
Заключение___________________________________., зав. №_______________________________________
(наименование,тип, исполнение)
соответствует предъявляемым требованиям и признано годным (не годным) для эксплуатации.
Поверитель _________________ __________________
(подпись) (инициалы, фамилия)
Выдано свидетельство о поверке______________________от______________________________
(Выдано извещение о непригодности,______________________от__________________________)
