Методика поверки «Установка аэродинамическая измерительная ЭМС 0,05/60-240» (МП 4.29. 001-2017)
УТВЕРЖДАЮ дитель ГЦИ СИ, ^^ЛЙ^ыКметролог ФГУП «ЦАГИ» jrv^rA'.i’ «_ 'j <о' X э^,- Biа*ГЖ. '.А • —
В.В. Петроневич
fSfe Р; .S
2017 г.
5кЧл<%17 Н • .j
Государственная система по обеспечению единства измерений Установка аэродинамическая измерительная ЭМС 0,05/60-240
Методика поверки
МП 4.29.001-2017
2017 г.
Настоящая методика поверки распространяется на установки аэродинамические измерительные ЭМС 0,05/60-240 (далее - установка), предназначенные для измерения скорости воздушного потока при исследованиях, поверках и калибровках анемометров, приемников давления и других средств измерений скорости воздушного потока, и устанавливает методику первичной (до ввода в эксплуатацию, а также после ремонта) и периодической (в процессе эксплуатации) поверок указанных установок. Межповерочный интервал - 3 года.
1 Операции поверкиПри проведении поверки выполняются следующие операции (таблица 1):
Таблица 1
Название операции поверки |
Номер пункта методики поверки |
Проведение операции при | |
первичной поверке |
периодической поверке | ||
Внешний осмотр |
6.1 |
да |
да |
Опробование |
6.2 |
да |
да |
Определение диапазона измерения скорости воздушного потока |
6.3 |
да |
да |
Определение коэффициента поля установки |
6.4 |
да |
да |
Оценка абсолютной погрешности измерений скорости воздушного потока |
6.5 |
да |
да |
Проверка соответствия ПО |
6.6 |
да |
да |
2 Средства поверки
При проведении поверки применяют средства измерений, указанные в таблице 2.
Таблица 2
Наименование средств измерений |
Характеристики | |
Приемник воздушного комбинированный типа ПД-53 |
давления |
Из состава вторичного эталона единицы скорости воздушного потока по ГОСТ Р 8.886-2015 |
Линейка металлическая |
Диапазон измерений от 0 до 500 мм. Погрешность по ГОСТ 427-75 |
Примечание - Допускается применение аналогичных средств поверки, обеспечивающих определение метрологических характеристик поверяемых СИ с требуемой точностью.
3 Требования безопасностиПри поверке необходимо соблюдать требования безопасности, указанные в технической документации на установку и на ее составные части.
4 Условия поверкиПри проведении поверки должны быть соблюдены следующие условия:
от +15 до +25
от 30 до 80
от 84 до 106
температура окружающего воздуха, °C относительная влажность, % атмосферное давление, кПа
5 Подготовка к поверкеПеред проведением поверки необходимо:
-
- убедиться в том, что средства измерений ИВТМ-7 и Метран-150, входящие в состав измерительной системы установки ЭМС 0,05/60-240, поверены;
-
- подготовить установку к работе в соответствии с руководством по эксплуатации;
-
- установить эталонный приемник воздушного давления в рабочую часть установки приемной частью навстречу потоку вдоль центральной оси аэродинамического контура (положение приемника контролируется с помощью линейки) и подсоединить его к соответствующим штуцерам измерительной системы;
-
- трассу статического давления подсоединить к первому от сопла приемнику на стенке рабочей части установки.
-
6.1 Внешний осмотр
При проведении внешнего осмотра должно быть установлено соответствие установки ЭМС 0,05/60-240 следующим требованиям:
комплектность соответствует эксплуатационной документации;
составные части установки не имеют видимых механических повреждений;
элементы аэродинамического контура надежно соединены между собой, отсутствуют повреждения лакокрасочного покрытия;
внутренняя поверхность аэродинамического контура свободна от пыли и грязи и не имеет видимых дефектов;
кабельные линии и пневмотрассы не имеют видимых повреждений и закреплены в соответствующих разъемах.
-
6.2 Опробование
-
6.2.1 При опробовании проверяют работоспособность установки в режимах измерения скорости и давления.
-
6.2.2 Для проверки работоспособности установки в режиме измерения скорости нужно убедиться, что измеряемые значения скорости воздушного потока задаются изменением частоты вращения вентилятора. Для этого нужно задать не менее трех различных значений частоты напряжения на двигателе вентилятора и измерить соответствующие значения скорости потока.
-
6.2.3 Работоспособность установки в режиме измерения давления проверяют аналогично п. 6.2.2, измеряя значения скоростных напоров, воспринятых эталонным приемником и приемниками, встроенными в аэродинамический контур, при различных значениях частоты вращения вентилятора.
-
-
6.3 Определение диапазона задаваемых скоростей воздушного потока
-
6.3.1 Наибольшее значение задаваемой скорости воздушного потока измеряют, установив максимально допустимое значение частоты питания вентилятора. Полученное значение скорости должно быть не менее 60 м/с.
-
6.3.2 Наименьшее значение задаваемой скорости воздушного потока измеряют в режиме «малых скоростей» с установленной дросселирующей вставкой с сетками, установив минимально допустимое значение частоты питания вентилятора. Полученное значение скорости должно быть не более 0,05 м/с.
-
-
6.4 Определение коэффициента поля установки
-
6.4.1 Эталонный приемник устанавливается так, чтобы его приемная часть находилась на продольной оси рабочей части установки (положение контролируется с помощью линейки).
-
6.4.2 Задаются следующие значения частоты вращения вентилятора: 3, 5, 10, 15, 20, 25, 30, 35, 40, 45, 50 Гц. На каждом из указанных скоростных режимов берется не менее 20 отсчетов в режиме измерения давления.
-
6.4.3. В результате получают по 11 рядов (число значений частот, указанных в п. 6.4.2) значений скоростных напоров, воспринятых эталонным приемником и приемниками, встроенными в аэродинамический контур (соответственно ДРпр ij и ^тр ij> i — 1- ••• >n>j — 1/ ••• гДе i ~ число измерений; j — номер ряда).
-
6.4.4 По полученным рядам значений ДРпр и ДРтр вычисляют значение коэффициента поля из выражения
№ ■ ■
Тр IJ
где fnp - коэффициент эталонного приемника по скоростному напору.
-
6.4.5 Для каждого из режимов, указанных в п. 6.4.2, вычисляется среднее значение коэффициента поля :
Му - n^Miy.
i
а также среднее значение величины ДРтр j:
i
-
6.4.6 Оценка погрешности Дду определения значения Ду вычисляется согласно рекомендациям МИ 2083-90 (здесь и далее используется доверительная вероятность Р = 0.95):
-
1) Среднее квадратическое отклонение случайных погрешностей результата косвенного измерения Ду вычисляют по формуле
SM=
71(71 — 1)
1=1
N
-
2) Доверительные границы неисключенной систематической погрешности результата косвенного измерения Ду вычисляют по формуле
ФО2)) _ ’ ^Пр др
ij /
где вР - границы погрешности датчика давления, остальные обозначения те же, что и в п. 6.4.3. Значения ДРпр у и ДРтр у выбираются так, чтобы максимизировать значение ®(ду) для каждого j.
-
3) Погрешность Дду результата измерения Ду оценивают на основе оценок случайных 5(ду) и неисключенных систематических погрешностей 0(ду) согласно формулам, приведенным в рекомендациях МИ 2083-90.
-
6.4.7 Для определения коэффициента поля на режимах, не указанных в п.
6.4.2, используют полином д = /(ДРтр). Полином строят при помощи метода наименьших квадратов на основе полученных в п. 6.4.5 значений Ду и &PTpj-
Допускается разбивать диапазон изменения ДЛгр на два поддиапазона, на каждом из которых строить отдельный полином.
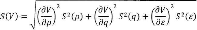
6.5 Оценка погрешности измерения скорости воздушного потока
-
6.5.1 Скорость потока определяется как результат косвенного измерения: V = V(POlP, &Р, Pa,t,i/P). Расчетные формулы и обозначения приведены в руководстве по эксплуатации установки.
-
6.5.2 Задаются те же значения частоты вращения вентилятора, что и в п.
6.4.2. На каждом из указанных режимов берется не менее 3 отсчетов в режиме измерения скорости. В результате получают ряды отдельных значений аргументов (Pot, Pt и т. д., i = 1, Значения коэффициента поля и
погрешности его определения Дду- для указанных режимов получены в п. 6.4.
-
6.5.3 Для каждого отсчета вычисляют оценку погрешности измерения скорости потока согласно методике, приведенной в приложении А.
-
6.5.4 Полученные значения оценки погрешности определения скорости потока не должны превышать значения ДУ = +(0,005 + 0,005У) м/с.
6.6 Проверка соответствия ПО
-
6.6.1 В качестве идентификатора ПО принимают версию программного обеспечения.
-
6.6.2 Версия программного обеспечения указана во всплывающем сообщении, появляющемся при наведении курсора на ярлык.
-
6.6.3 Версия программного обеспечения должна быть не ниже указанной в описании типа.
-
7.1 Результаты поверки заносят в протокол, рекомендуемая форма которого представлена в приложении Б.
-
7.2 В случае положительного результата поверки выдается свидетельство о поверке установленной формы. В формуляр установки вносится соответствующая запись. Знак поверки наносится на свидетельство о поверке.
-
7.3 В случае отрицательного результата поверки выдается извещение о непригодности.
ПРИЛОЖЕНИЕ А
Оценка погрешности измерения скорости воздушного потока
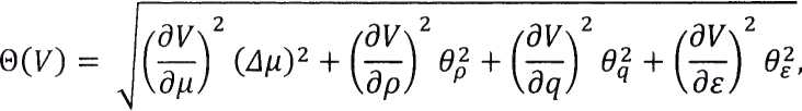
Выражение для определения скорости потока можно записать в виде
V= p^-q(l—£), Р |
где ц - коэффициент поля,
Р = Р(Ра>Р>1,-ф} - плотность воздуха,
q = q(P0,P,AP) и Р = Р(Р0,Р,АР) - скорректированные значения скоростного напора и статического давления соответственно,
£ = £(q, Р.Рц) — поправка на сжимаемость.
Вид указанных зависимостей с учетом особенностей схемы измерений приведен в руководстве по эксплуатации. Запишем эти формулы в виде, удобном
для расчетов: |
Ра - Р - 0.378фРНп н t + 273.15 2ДР + Р - Ро q= 3 '■ 2Р + Р0+ДР 3 |
Рнп = 0.05995Г3 + 0.3872t2 + 57.62t + 555.6
Аргументами для указанных функций служат величины Ро, Р, LP, Ра, t, ip,
значения которых измеряются при каждом отсчете.
Погрешность измерения скорости ДР оценивается, согласно рекомендациям МИ 2083-90 (при доверительной вероятности Р = 0.95), на основе оценок случайных и неисключенных систематических погрешностей, формулы для вычисления которых имеют следующий вид:


Для удобства расчетов заметим, что
dV _ V dV _ V dV _ V др 2p 'dp 2p’dp 2q
Составляющими 0e и S(£) можно пренебречь в силу их малости.
Значения коэффициента поля Р] и погрешности его определения Д/iy для указанных режимов получены ранее.
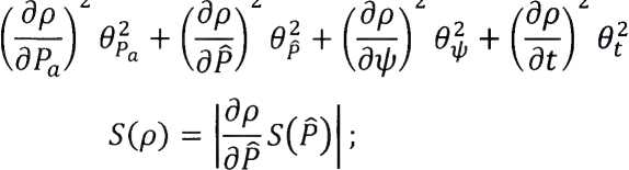
Для плотности р формулы имеют вид
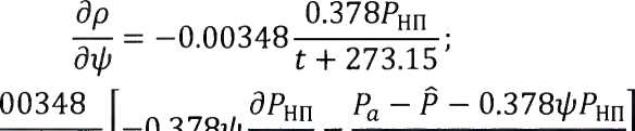
0р = 1Д •

др 0.00348 др 0.00348
дРа t + 273.15 :dP t + 273.15'
др 0.

273.15 °'378^ gt t + 273.15
t + 273.15
dt t + 273.15
Значения погрешностей 0q, 0P,S(q) и 5(P) вычисляются по формулам
@q — 0р = 2^р’
ДР < 630 Па
(Р-Ро- ДР 630 Па
Значения 0t, 0^, 0Ра, 0Р равны погрешностям соответствующих измерительных приборов, указанным в документации на них или установленным при калибровке.
Подставляя значения аргументов в формулы, получаем значения оценки погрешности измерения скорости для каждого отсчета.
Приложение Б
Рекомендуемая форма протокола поверки
Протокол поверки №_______________от «___» ________20_г.
Вид поверки:
Заказчик:
Тип и наименование СИ:
Номер СИ:
Завод-изготовитель: Диапазон измерений: Эталоны, используемые при поверке:
Условия поверки: Методика поверки:
первичная/периодическая
У становка аэродинамическая Г осреестр
измерительная ЭМС 0,05/60-240_________№
ООО «Глобал Строй»__________________ Год изготовления: ____________
________________________________________Цена деления: _____________
температура °C_________влажность %__________атм. давление кПа
МП 4.29.001-2017
-
1. Внешний вид
-
2. Опробование
РЕЗУЛЬТАТЫ ПОВЕРКИ
соответствует/не соответствует требованиям нормативной документации п.
6,1 методики поверки________________________________________________
работоспособен, замечаний нет/ не работоспособен
3. Определение метрологических характеристик
3.1. Диапазон задаваемых скоростей воздушного потока
Наименьшее значение______м/с
Наибольшее значение______м/с
3,2. Коэффициент поля установки
Частота, Гц |
3 |
5 |
10 |
15 |
20 |
25 |
30 |
35 |
40 |
45 |
50 |
ДРтр/, Па | |||||||||||
3.3, Оценка погрешности измерения скорости воздушного потока
№ отсчета |
Частота, Гц |
V, м/с |
ДР, м/с |
4. Результаты проверки соответствия ПО______________________________
Допускаемая погрешность ± (0,005+0,005V) м/с
Действительная погрешность ____
Результаты поверки:_______________
Выдано свидетельство о поверке №_____________от «___»_________20___г.
Выдано извещение о непригодности к применению №_________от «___»_____201 г.
Поверку провел(а):
(должность)
(подпись)
(инициалы, фамилия)
ЭМС 0,05/60-240
МП 4.29.001-2017