Руководство по эксплуатации «АНАЛИЗАТОР pН МАРК-9010» (BP52.00.000РЭ)
26.51.53
УТВЕРЖДАЮ

АНАЛИЗАТОР pH
МАРК-9010
Руководство по эксплуатации
ВР52.00.000РЭ
СОГЛАСОВАНО

Главный
ктор ООО «ВЗОР
А.К. Родионов
2017 г.
Зам. гл. конструктора
К.Е. Крюков
«/^» 2017 г.
Зам. гл. конструктора

г. Нижний Новгород 2017 г.
СОДЕРЖАНИЕ
-
-
2.6 Возможные неисправности/предупреждения и методы их устранения.... 62
ПРИЛОЖЕНИЕ А. Методика поверки
ПРИЛОЖЕНИЕ Б. Методика приготовления растворов
ПРИЛОЖЕНИЕ В. Инструкция по монтажу обжимных фитингов
ПРИЛОЖЕНИЕ Г. Схема соединений имитаторов к
Настоящий документ является совмещенным и включает методику поверки.
Руководство предназначено для изучения технических характеристик анализатора pH МАРК-9010 (в дальнейшем - анализатор, прибор), правил его эксплуатации, а также для учета поверок анализатора.
При передаче анализатора в ремонт или на поверку РЭ передается вместе с анализатором.
Анализатор соответствует требованиям ТУ 26.51.53-39232169-2011, комплекта конструкторской документации согласно ВР52.00.000,
ГОСТ 13350-78, ГОСТ 22729-84.
-
1 ВНИМАНИЕ: Анализатор pH МАРК-9010 ДОЛЖЕН БЫТЬ ЗАЗЕМЛЕН, в противном случае возможен выход прибора из строя!
-
2 ВНИМАНИЕ: НЕ ОТКЛЮЧАТЬ питание анализатора pH МАРК-9010 до окончания загрузки (до появления экрана измерения в соответствии с рисунком 1.13)!
-
3 ВНИМАНИЕ: Составные части конструкции анализатора содержат стекло. Его необходимо ОБЕРЕГАТЬ ОТ УДАРОВ!
1 ОПИСАНИЕ И РАБОТА
-
1.1 Назначение изделия
-
1.1.1 Наименование и обозначение изделия
Анализатор pH МАРК-9010 ТУ 26.51.53-034-39232169-2011.
Анализатор pH МАРК-9010 предназначен для измерений pH и удельной электрической проводимости (УЭП), pH и УЭП, приведенных к 25 °C (УЭП25 и рН25), сверхчистых водных сред с УЭП менее 1,0 мкСм/см, включая воду с УЭП25, приближающейся к значению теоретически чистой воды 0,055 мкСм/см, и щелочных водных сред с УЭП до 30 мкСм/см, содержащих аммиак и (или) амины, а также для измерений температуры водных сред.
-
1.1.2 Область применения анализатора - контроль водных режимов на объектах энергетики.
-
1.1.3 Тип анализатора:
-
- микропроцессорный;
-
- кондуктометрический;
-
- контактный;
-
- низкочастотный;
-
- однопредельный;
-
- проточный;
-
- одноканальный;
-
- для настенного монтажа;
-
- с автоматической термокомпенсацией;
-
- не требующий градуировки;
-
- с преобразованием результатов измерений в унифицированный электрический выходной сигнал постоянного тока и обменом информацией по интерфейсу RS-485.
-
1.2 Основные параметры и размеры
-
1.2.1 По устойчивости к климатическим воздействиям анализатор имеет исполнение по ГОСТ 15150 - УХЛ 4.2, но при этом температура окружающего воздуха при эксплуатации должна быть от плюс 5 до плюс 50 °C.
-
1.2.2 По устойчивости к климатическим воздействиям группа исполнения анализатора по ГОСТ Р 52931-2008 - В4.
-
1.2.3 По устойчивости к механическим воздействиям исполнение анализатора по ГОСТ Р 52931-2008 - L1.
-
1.2.4 По устойчивости к воздействию атмосферного давления исполнение анализатора по ГОСТ Р 52931 -2008 - Р1.
-
1.2.5 Параметры анализируемой среды
-
1.2.5.1 Температура анализируемой среды, °C.....от плюс 5 до плюс 50.
-
1.2.5.2 Давление анализируемой среды, МПа, не более:
-
- рабочее................................................................................0
(равно атмосферному давлению);
-
- максимально допустимое (в течение 30 мин).............................0,02.
-
1.2.5.3 Расход анализируемой среды, дм3/ч..........................от 10 до 30.
-
1.2.6 Рабочие условия эксплуатации
-
1.2.6.1 Температура окружающего воздуха, °C......от плюс 5 до плюс 50.
-
1.2.6.2 Относительная влажность окружающего воздуха при температуре
плюс 35 °C и более низких температурах без конденсации влаги, %, не более....................................................................................80.
-
1.2.6.3 Атмосферное давление, кПа (мм рт.ст.)...............от 84,0 до 106,7
(от 630 до 800).
-
1.2.7 Электрическое питание анализатора должно осуществляться от сети переменного тока напряжением 220 В при частоте (50 ± 1) Гц с допускаемым отклонением напряжения питания от минус 15 до плюс 10 % через источник постоянного тока ИП-1002 с выходным напряжением (24 ± 2,4) В.
-
1.2.8 Потребляемая мощность при номинальном значении напряжения
-
1.2.9 Электрическое сопротивление изоляции цепей питания анализатора между штырями вилки и корпусом, МОм, не менее:
-
1.2.10 Электрическая изоляция силовых цепей питания анализатора по отношению к корпусу блока преобразовательного выдерживает в течение 1 мин испытательное напряжение 1,5 кВ синусоидального переменного тока частотой 50 Гц при температуре окружающего воздуха (20 ± 5) °C и относительной влажности от 30 до 80 %.
-
1.2.11 Электрическое сопротивление между внешним зажимом защитного заземления блока преобразовательного и его корпусом, Ом, не более.....0,1.
-
1.2.12 Габаритные размеры и масса узлов анализатора соответствуют значениям, приведенным в таблице 1.1.
соответствует:
-
- для модуля измерительного.................................................IP65;
-
- для источника питания ИП-1002 ...........................................IP32.
-
Таблица 1.1
Наименование и обозначение узлов |
Г абаритные размеры, мм, не более |
Масса, кг, не более |
Модуль измерительный |
295x880x140 |
10,0 |
Источник питания ИП-1002 |
160x160x100 |
1,0 |
1.2.13 Степень защиты, обеспечиваемая оболочкой по ГОСТ 14254-2015, соответствует:
1.2.14 Анализаторы в упаковке для транспортирования выдерживают условия транспортирования по ГОСТ Р 52931-2008:
-
1.2.14.1 Температура, °C...............................от минус 20 до плюс 50.
-
1.2.14.2 Относительная влажность воздуха при 35 °C, %..................95.
-
1.2.14.3 Синусоидальная вибрация с частотой 5-35 Гц, амплитудой смещения 0,35 мм в направлении, обозначенном на упаковке манипуляционным знаком «Верх».
1.2.15 Показатели надежности
-
1.2.15.1 Средняя наработка на отказ, ч, не менее.........................40000.
-
1.2.15.2 Среднее время восстановления работоспособности, ч, не бо
лее................................................................................................2.
-
1.2.15.3 Средний срок службы анализаторов, лет, не менее............... 10.
-
1.3 Технические характеристики
-
1.3.1 Диапазон измерения УЭП, мкСм/см.....................от 0,00 до 30,00.
-
1.3.2 Пределы допускаемой основной абсолютной погрешности анализа
тора при измерении УЭП при температуре анализируемой среды (25,0±0,2) °C, окружающего воздуха (20 ± 5) °C, мкСм/см.........................± (0,003 + 0,02%),
где %- измеренное значение УЭП, мкСм/см.
-
1.3.3 Пределы допускаемой дополнительной абсолютной погрешности
анализатора при измерении УЭП, обусловленной изменением температуры анализируемой среды на ± 15 °C от рабочего значения 25 °C,
мкСм/см................................................................................± 0,02%.
-
1.3.4 Пределы допускаемой дополнительной абсолютной погрешности
анализатора при измерении УЭП, обусловленной изменением температуры окружающего воздуха, на каждые ± 10 °C от нормальной (20 ± 5) °C в пределах всего диапазона от плюс 5 до плюс 50 °C, мкСм/см.............................0,01%.
-
1.3.5 Диапазон измерения pH при температуре анализируемой среды
(25,0 ± 0,2) °C, pH..........................................................от 5,60 до 10,00.
-
1.3.6 Пределы допускаемой основной абсолютной погрешности анализатора при измерении pH при температуре анализируемой среды (25,0 ± 0,2) °C, окружающего воздуха (20 ± 5) °C, pH:
-
- на поддиапазонах pH от 5,60 до 7,00 и св. 7,30 до 10,00.............± 0,05;
-
- на поддиапазоне pH от 7,00 до 7,30 включ.............................±0,15.
-
1.3.7 Пределы допускаемой дополнительной абсолютной погрешности анализатора при измерении рН25, обусловленной изменением температуры анализируемой среды на ± 15 °C от рабочего значения 25 °C (погрешность температурной компенсации), pH:
-
- на поддиапазонах pH от 5,60 до 7,00 и св. 7,30 до 10,00..........± 0,05;
-
- на поддиапазоне pH от 7,00 до 7,30 включ.........................±0,15.
1.3.8 Пределы допускаемой основной абсолютной погрешности блока преобразовательного при измерении pH при температуре анализируемой среды
(25,0 ± 0,2) °C, окружающего воздуха (20 ± 5) °C, pH:
-
- на поддиапазонах pH от 5,60 до 7,00 и св. 7,30 до 10,00...........±0,01;
-
- на поддиапазоне pH от 7,00 до 7,30 включ...........................±0,15.
-
-
1.3.9 Пределы допускаемой дополнительной абсолютной погрешности блока преобразовательного при измерении рН25, обусловленной изменением температуры анализируемой среды на ± 15 °C от рабочего значения 25 °C (по
грешность температурной компенсации), pH:
-
- на поддиапазонах рН25 от 5,60 до 7,00 и св. 7,30 до 10,00..........±0,01;
-
- на поддиапазоне рН25 от 7,00 до 7,30 включ...........................±0,15.
-
-
1.3.10 Пределы допускаемой дополнительной абсолютной погрешности
анализатора при измерении pH, обусловленной изменением температуры окружающего воздуха, на каждые ± 10 °C от нормальной (20 ± 5) °C в пределах всего диапазона от плюс 5 до плюс 50 °C, pH............................... ± 0,02.
-
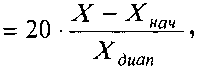
1.3.11 Функция преобразования измеренного значения УЭП или pH в унифицированный выходной сигнал постоянного тока (далее выходной ток) 1вых, мА, при температуре окружающего воздуха (20 ± 5) °C соответствует выражениям:
- для выходного тока в диапазоне от 4 до 20 мА на нагрузке, не превышающей 500 Ом
= 4 + \(, х~х"" ; (1.1) диап
- для выходного тока в диапазоне от 0 до 5 мА на нагрузке, не превышающей 2 кОм
вых
х - хнач
X диап
(1-2)
- для выходного тока в диапазоне от 0 до 20 мА на нагрузке, не превышающей 500 Ом
вых

(1.3)
где X— измеренное значение УЭП, мкСм/см, или pH;
Хнач - минимум запрограммированного интервала измерения УЭП, мкСм/см, или pH по токовому выходу;
Хдиап ~ запрограммированный интервал измерения УЭП, мкСм/см, или pH по токовому выходу, определяемый как разность между значениями максимума и минимума программируемого интервала измерения УЭП, мкСм/см, или pH по токовому выходу.
-
1.3.12 Пределы допускаемой основной приведенной погрешности преоб
разования измеренного значения УЭП в выходной ток анализатора при температуре окружающего воздуха (20 ± 5) °C, % от диапазона токового выхода (0-5, 4-20, 0-20 мА)...............................................................................± 0,5.
-
1.3.13 Пределы допускаемой основной приведенной погрешности преоб
разования измеренного значения pH в выходной ток анализатора при температуре окружающего воздуха (20 ± 5) °C, % от диапазона токового выхода (0-5, 4-20, 0-20 мА)...............................................................................± 0,5.
-
1.3.14 Пределы допускаемой дополнительной приведенной погрешности
преобразования измеренного значения УЭП в выходной ток анализатора, обусловленной изменением температуры окружающего воздуха, на каждые ±10 °C от нормальной (20 ± 5) °C в пределах всего рабочего диапазона от плюс 5 до плюс 50 °C, % от диапазона токового выхода (0-5, 4-20, 0-20 мА).........± 0,25.
-
1.3.15 Пределы допускаемой дополнительной приведенной погрешности
преобразования измеренного значения pH в выходной ток анализатора, обусловленной изменением температуры окружающего воздуха, на каждые ±10 °C от нормальной (20 ± 5) °C в пределах всего рабочего диапазона от плюс 5 до плюс 50 °C, % от диапазона токового выхода (0-5, 4-20, 0-20 мА).........± 0,25.
-
1.3.16 Значение электролитической постоянной С а датчика проводимости канала А находится в пределах, см'1....................................от 0,2 до 0,3.
-
1.3.17 Пределы допускаемой относительной погрешности определения
электролитической постоянной С а датчика проводимости канала А, %.......± 1.
-
1.3.18 Диапазон измерений температуры анализируемой среды,
°C..............................................................................от 0 до плюс 50.
-
1.3.19 Пределы допускаемой основной абсолютной погрешности
анализатора при измерении температуры анализируемой среды при температуре окружающего воздуха (20 ± 5) °C, °C............................................±0,3.
-
1.3.20 Пределы допускаемой дополнительной абсолютной погрешности
анализатора при измерении температуры анализируемой среды, обусловленной изменением температуры окружающего воздуха, на каждые ± 10 °C от нормальной (20 ± 5) °C в пределах всего рабочего диапазона от плюс 5 до плюс 50 °C, °C.............................................................................±0,1.
-
1.3.21 Время установления показаний анализатора при измерении pH,
-
1.3.22 Стабильность показаний анализатора за время 24 ч, не хуже:
-
- при измерении УЭП, мкСм/см...........................................± 0,01%;
-
- при измерении pH, pH.......................................................±
-
1.3.23 Время установления режима работы анализатора, мин, не более
-
1.3.24 Состояние выхода измеренного значения УЭП (УЭП25) либо pH (РН25) за пределы запрограммированного диапазона измерений по токовому выходу сопровождается:
-
- миганием красной части круговой диаграммы значения УЭП (УЭП25) либо pH (рН25);
-
- включением звукового сигнала;
-
- замыканием «сухих» контактов реле.
-
1.3.25 Состояние выхода измеренного значения УЭП (УЭП25) либо pH (РН25) за пределы уставок сопровождается:
-
- появлением на экране индикатора мигающих символов «А», « ▼ »;
-
- замыканием «сухих» контактов реле.
-
1.3.26 Состояние выхода измеренного значения температуры за пределы диапазона измерений от 0 до плюс 50 °C сопровождается:
-
- появлением на экране индикатора мигающей части, красного цвета, круговой диаграммы значения температуры;
-
- включением звукового сигнала;
- замыканием «сухих» контактов реле.
-
1.3.27 Анализатор осуществляет обмен информацией по интерфейсу RS-485.
-
1.4 Состав изделия
-
1.4.1 В состав изделия входят:
-
- модуль измерительный;
-
- источник питания ИП-1002;
-
- комплекты монтажных частей;
-
- комплект запасных частей;
-
- комплект инструмента и принадлежностей;
-
- комплект реактивов.
-
1.5 Устройство и принцип работы
-
1.5.1 Общие сведения об анализаторе
Общий вид анализатора представлен на рисунке 1.1.
Анализатор pH МАРК-9010 предназначен для измерений значений pH, удельной электрической проводимости (УЭП), а также значений, приведенных к 25 °C (рН25, УЭП25), и температуры высокоочищенных водных растворов. Измерению подлежат растворы, обладающие УЭП менее 1 мкСм/см, включая растворы, УЭП которых приближается к УЭП теоретически чистой воды (ЭЭ25 = 0,055 мкСм/см), и чистые растворы, содержащих такие подщелачивающие реагенты как аммиак, этаноламин, и другие амины.
При выбранном параметре анализатора:
а) «ЧИСТАЯ ВОДА» УЭП анализируемой среды ограничивается ориентировочно 1 мкСм/см;
б) «АММИАК» или «АМИНЫ» УЭП анализируемой среды может иметь значение до 30 мкСм/см.
Измерения для сред с УЭП более 30 мкСм/см осуществляется без нормируемой погрешности по pH и УЭП.


9 - контейнер;

-
10 - емкости В и С;
-
11 - дверца
открывающаяся.
а) Модуль измерительный
Рисунок 1.1 - Анализатор pH МАРК-9010
Блок преобразовательный отображает результаты измерений на сенсорный индикатор с разрешающей способностью в соответствии с таблицей 1.2.
Таблица 1.2
Индицируемый параметр |
Единица измерений |
Участок диапазона индикации |
Разрешающая способность |
УЭП |
мкСм/см |
от 0,0000 до 0,9999 |
0,0001 |
от 1,000 до 9,999 |
0,001 | ||
от 10,00 до 99,99 |
0,01 | ||
от 100,0 до 120,0 |
0,1 | ||
pH |
рн |
от 4,000 до 9,999 |
0,001 |
от 10,00 до 12,00 |
0,01 | ||
Температура |
°C |
от - 5 до 99,9 |
0,1 |
Полученная информация, в том числе значения pH, УЭП, или значения pH и УЭП, приведенные к 25 °C, и температура, отображается на индикаторе и выдается на токовые выходы (pH и УЭП) с выходными унифицированными сигналами постоянного тока от 0 до 5 мА, от 0 до 20 мА либо от 4 до 20 мА.
Анализатор не требует градуировки.
При подключении к персональному компьютеру (ПК) анализатор осуществляет обмен информацией с ПК по интерфейсу RS-485.
Для удобства регистрации измеряемых значений УЭП и pH на регистрирующем устройстве с использованием токовых выходов в анализаторе предусмотрена свободная установка нижнего и верхнего пределов интервала диапазона измерений pH и верхнего предела диапазона измерений УЭП по токовому выходу.
Нижняя (0 либо 4 мА) и верхняя (5 либо 20 мА) границы диапазона токового выхода соответствует началу и концу выбранного интервала измерений УЭП или pH по токовому выходу.
При выходе измеренного значения УЭП и pH за пределы диапазона измерений УЭП по токовому выходу на экране индикатора мигает часть, красного цвета, круговой диаграммы значения УЭП либо pH, включается звуковой сигнал и замыкаются «сухие» контакты реле.
При выходе измеренного значения температуры за пределы диапазона от 0 до плюс 50 °C на экране индикатора мигает часть, красного цвета, круговой диаграммы значения температуры, включается звуковая сигнализация и замыкаются «сухие» контакты реле.
В анализаторе предусмотрены две программируемые уставки, задающие верхний и нижний пределы контроля измеряемой величины УЭП или pH. При выходе значений УЭП или pH за пределы уставок замыкаются «сухие» контакты реле, а на экране индикатора появляется знак, соответствующий верхнему либо нижнему пределу уставки.
-
1.5.2 Принцип работы анализатора
Анализатор включает стандартный канал измерений УЭП на переменном токе (канал А). Измеренное значение УЭП передается на конечные порты анализатора - индикатор и токовый выход.
Принцип работы анализатора основан на анализе динамики изменения УЭП потока анализируемого раствора, в который дозируются заданными порциями определенные реактивы. Измерения осуществляются в двух каналах, в один из которых дозируется кислота, а в другой, в зависимости от выбранного режима работы, щелочь либо кислота отличная от первой. В каналах наблюдается характерное изменение УЭП, которое может быть описано точными аналитическими соотношениями. С использованием этих аналитических соотношений вычисляется концентрация ионов водорода и значение pH анализируемой среды.
Дозирование реактивов в каналы и соответственно определение указанным способом значения pH осуществляется периодически с периодом 7 минут. Поправка на изменение значения pH внутри периода дозирования оценивается по УЭП анализируемой среды.
Кондуктометрические датчики дополнительных каналов В и С (датчики проводимости ДП-В и ДП-С) автоматически калибруются каждый цикл измерений по датчику канала А (привязываются по показаниям к каналу А). Это позволяет минимизировать погрешность измерений pH и исключить операцию ручной калибровки датчиков проводимости ДП-В и ДП-С.
Постоянная кондуктометрического датчика проводимости ДП-А канала А при необходимости проверяется и корректируется по эталонному кондуктометру. Периодичность данной операции ориентировочно - раз в год.
Градуировка по буферным растворам - эталонам pH не требуется.
При температуре 25 С погрешность измерений pH вне диапазона измерений от 7,00 до 7,30 включ. ограничена пределами ± 0,05. Типовая погрешность, как правило, составляет величину не более ± 0,02 pH. В диапазоне измерений от 7,00 до 7,30 включ. погрешность не превосходит ±0,15.
Погрешность измерений УЭП составляет ± (0,003+0,02ае).
В заданном температурном диапазоне термокомпенсации (от плюс 10 до плюс 40 С) в его крайних точках к основной погрешности добавляется дополнительная, максимальное значение которой не превосходит основную погрешность.
В промежуточных температурных точках диапазона термокомпенсации дополнительная погрешность УЭП растет пропорционально отклонению температуры среды от нормальной (25 °C).
Анализатор позволяет производить измерения УЭП и при температуре анализируемой среды, выходящей за диапазон термокомпенсации, в том числе и при температуре 50 °C. При этом допускаемая дополнительная абсолютная погрешность УЭП температурной компенсации увеличивается пропорционально изменению температуры и при температуре 50 °C для анализатора находится в пределах ± 0,035%,
Дополнительная абсолютная погрешность измерений рН25 также увеличивается пропорционально изменению температуры и при температуре 50 °C находится в пределах ± 0,08 pH при измерения вне диапазона измерений от 7,00 до 7,30 включ, и в пределах ± 0,2 pH для диапазона измерений от 7,00 до 7,30 включ.
-
1.5.3 Анализируемая среда анализатора
В анализаторе предусмотрена возможность измерений анализируемой среды трех типов в соответствии с таблицей 1.3.
Таблица 1.3
Анализируемая среда |
Назначение |
«ЧИСТАЯ ВОДА» |
Для сред с УЭП (УЭП25) менее или равной 1 мкСм/см. Допустимое минимальное значение УЭП среды совпадает со значением УЭП теоретически чистой воды (ге25 = 0,055 мкСм/см). Среда может быть как кислой (pH < 7), так и щелочной (pH > 7). |
«АММИАК» |
Для сред с подщелачивающими реагентами аммиак и (или) этанол амин. В случае использования одновременно двух реагентов -аммиака и этаноламина в анализатор необходимо ввести ориентировочную долю аммиака в процентах, равную С— • 100 /о где массовые концентрации С^ижа С +0 279С аммиак ’ этаноламин и Сэтаноламин выражены в одних и тех же единицах (мг/дм3 или мкг/дм3). |
«АМИНЫ» |
Для сред, содержащих амины. В зависимости от вида аминов набираются два подстроечных коэффициента Кр и К1, Для HELAMIN-150 значения этих коэффициентов равны Кр = 130,3; К1 = 0,68. |
-
1.5.4 Составные части анализатора
-
1.5.4.1 Общие сведения
Конструктивно анализатор состоит из модуля измерительного с отдельно расположенным на расстоянии до 5 м источником питания ИП-1002. Корпус анализатора выполнен из полистирола и состоит из основания, панели передней с открывающейся прозрачной дверцей и крышки верхней. В нижней части панели передней под открывающейся дверцей находится контейнер для хранения элементов комплекта инструментов и принадлежностей - например, ключа и др.
Под открывающейся дверцей расположены:
-
- блок преобразовательный;
-
- блок датчиков;
-
- компрессор;
-
- буфер;
-
- смесительное устройство;
-
- корпус емкости;
-
- стабилизатор потока.
-
1.5.4.2 Блок преобразовательный
Общий вид блока преобразовательного представлен на рисунке 1.2.
Блок преобразовательный - микропроцессорный, осуществляющий процесс измерений УЭП, pH, температуры и отображение результатов измерений на экране цветного сенсорного графического жидкокристаллического (ЖК) индикатора (в дальнейшем сенсорный индикатор), формирование сигнала на токовых выходах, управление дозаторами реактивов, управление реле уставок и обмен с ПК по интерфейсу RS-485.
Блок преобразовательный отображает результаты измерений на сенсорный индикатор.

Кабельный ввод №__для подключения к:
-
1 - блоку датчиков; 5 - датчику температуры;
-
2 - разъему источника питания ИП-1002; 6 -емкости В;
-
3 - компрессору; 7 - емкости С;
-
4 - переливному устройству; 8 - дозаторам В и С.
Рисунок 1.2 - Блок преобразовательный
-
1.5.4.3 Источник питания ИП-1002
Источник питания ИП-1002 осуществляет питание блока преобразовательного.
Общий вид источник питания ИП-1002 представлен на рисунке 1.3.
Основание

Крышка
Рисунок 1.3 - Источник питания ИП-1002
Кабель сетевой:
-
- количество жил и номинальное сечение, мм2...............................3x0,75;
Провод соединительный:
-
- количество жил и номинальное сечение, мм2...............................2x0,75.
Выходное напряжение источника питания ИП-1002 составляет 24 В.
-
1.5.4.4 Блок датчиков
Общий вид блока датчиков представлен на рисунке 1.4.
Блок датчиков включает в себя три датчика проводимости: датчик проводимости ДП-А канала А (датчик А), датчики проводимости ДП-В канала В (датчик В) и датчики проводимости ДП-С канала С (датчик С), датчик температуры и индикатор потока анализируемой воды.
Разъем
(вилка РСГ1 ОТВ)
Штуцер для соединения с переливным устройством
Индикатор
потока

Выходной штуцер датчика В
Выходной штуцер датчика С
Входной штуцер датчика В
Входной штуцер датчика С
Сливной штуцер индикатора потока
Рисунок 1.4 - Блок датчиков
Выходной штуцер датчика А
Датчик температуры
Входной штуцер датчика А
Индикатор потока позволяет визуально контролировать наличие потока анализируемого раствора через гидравлическую систему анализатора.
-
1.5.4.5 Компрессор
Общий вид компрессора представлен на рисунке 1.5.
Компрессор создает избыточное давление воздуха в емкостях В и С, в результате чего при открытых электромагнитных клапанах (дозаторы В и С) реактив поступает в соответствующий канал дозирования (В или С).


Кабель для соединения с блоком преобразовательным
Штуцер
для соединения с буфером
Рисунок 1.5 - Компрессор
-
1.5.4.6 Буфер
Общий вид буфера представлен на рисунке 1.6.
Буфер позволяет осуществлять контроль герметичности емкостей В и С заполненных реактивами.
Буфер заполняется раствором калия гидроокиси, если установлен параметр анализируемой среды анализатора «ЧИСТАЯ ВОДА» либо дистиллированной водой, если установлен параметр «АММИАК» или «АМИНЫ»
Если в буфер залит раствор калия гидроокиси, то буфер освобождает от присутствия углекислого газа воздух поступающий от компрессора в емкости В и С, с целью сохранения химических свойств лития гидроксида.
-
1.5.4.7 Смесительное устройство
Общий вид смесительного устройства представлен на рисунке 1.7.
Смеситель В
Сливной штуцер дозатора В
Входной штуцер дозатора В
Выходной штуцер смесителя В
Выходной штуцер дозатора В

Смеситель С
Входной штуцер смесителя С
Сливной штуцер дозатора С
Входной штуцер дозатора С
Выходной штуцер смесителя С
Дозатор С
Дозатор В
Рисунок 1.7 - Смесительное устройство
Входной штуцер смесителя В *
Выходной штуцер’’
дозаторам
1 Выходной штуцер дозатора С
Смесительное устройство осуществляет дозирование растворов реактивов в каналы В или С и перемешивание анализируемой воды с раствором реактива.
В состав смесительного устройства входят:
-
- электромагнитные клапаны (в дальнейшем дозаторы):
а) дозатор В - дозирует раствор соляной, муравьиной либо хлорной кислоты;
б) дозатор С - дозирует раствор гидроксида лития;
-
- смесители (В и С).
-
1.5.4.8 Емкости В и С
Емкости В и С имеют одинаковый внешний вид изображенный на рисунке 1.8.
Кабельный ввод для подключения к блоку преобразовательному
Кольцо
040-44-25
Штуцер подачи воздуха от компрессора через буфер

Корпус емкости
Стакан
ёмкость
Штуцер подачи реактива в дозатор (В или С)
Датчик уровня
жидкости

Фильтр ВР49.12.410
Крышка
Трубка подачи реактива TD0604
Рисунок 1.8 - Емкость
Емкости В и С заполнены реактивами. С помощью избыточного давления воздуха, создаваемого в емкостях компрессором, реактивы через фильтры ВР49.12.410 по трубкам подачи реактивов поступают к дозаторам (В или С), через смесительное устройство.
Датчик уровня жидкости осуществляет контроль за содержанием количества раствора внутри емкости.
-
1.5.4.9 Стабилизатор потока
Общий вид стабилизатора потока представлен на рисунке 1.9.
Кнопка / Переливное устройство'^
Трубка подачи пробы на переливное устройство
Трубка слива пробы от переливного устройства ,
Сливной штуцер; от блока датчиков:
Винт заземления
Штуцер подачи пробы

Штуцер подачи пробы на блок датчиков
Фильтр
Крышка фильтра
Сливной штуцер
'^Распределитель потока/'
Рисунок 1.9 - Стабилизатор потока
Стабилизатор потока позволяет стабилизировать поток анализируемой среды.
Стабилизатор потока состоит из переливного устройства и распределителя потока.
Кнопка, расположенная в переливном устройстве, позволяет кратковременно увеличить давление анализируемой среды в гидравлической системе анализатора с целью очистки измерительных каналов. Необходимость применения кнопки возникает при индикации неисправностей/предупреждений в соответствии с таблицей 2.5.
1.5.5 Принцип работы гидравлической системы анализатора
Условная схема гидравлических соединений анализатора представлена на рисунке 1.10.
Примечание - Электрические соединения и панель передняя на рисунке 1.10 условно не изображены.
Анализируемая среда от пробоотборника поступает через штуцер подачи пробы распределителя потока на переливное устройство и на фильтр распределителя потока, после чего - на штуцер подачи пробы на блок датчиков.
Из штуцера подачи пробы на блок датчиков анализируемая среда поступает на входной штуцер датчика А, проходит через датчик проводимости канала (А), из выходного штуцера датчика А - на входной штуцер смесительного устройства. Здесь поток воды разделяется на два измерительных канала: канал В и канал С.
Через входные штуцеры дозаторов В и С происходит дозирование реактивов в анализируемую среду проходящую по каналам В и С.
Далее анализируемая среда поступает в смесители В и С, где происходит перемешивание анализируемой среды с реактивом, после чего она подается на датчики проводимости каналов В и С.
Гидравлические соединения выполнены трубками TD0425 и TD0604, материал трубок - фторопласт.
От выходных штуцеров датчиков В и С поток анализируемой среды поступает на вход индикатора потока, затем на слив через сливной штуцер индикатора потока.
Воздух от компрессора поступает в буфер, а затем на штуцер подачи воздуха от компрессора емкостей В и С.
Трубка 1 предназначена для:
-
- обеспечения входа воздуха в индикатор потока с целью свободного слива жидкости через сливной штуцер индикатора потока;
-
- слива жидкости при переполнении индикатора потока.


Воздух |
С |
Кислота соляная, |
о |
Смесь анализируемой среды и | |
Вода дистиллированная |
□ |
муравьиная либо хлорная |
О |
растворов реактивов | |
Калий гидроокись |
Лития гидроксид 1-водный | ||||
4 |
Кислота уксусная |
Анализируемая среда |
Рисунок 1.10 — Схема гидравлических соединений анализатора
ВР52.00.000РЭ
1.5.6 Экраны анализатора
-
1.5.6.1 Правила работы с сенсорным индикатором
ПРЕДОСТЕРЕЖЕНИЕ: НЕ КАСАТЬСЯ ОСТРЫМИ ПРЕДМЕТАМИ, ГРЯЗНЫМИ или ВЛАЖНЫМИ РУКАМИ сенсорного индикатора!
Сенсорный индикатор поддерживает одинарные касания пальцами рук либо стилусом.
При работе с сенсорным индикатором коснитесь экранной клавиши, чтобы перейти в необходимый экран, выбрать, просмотреть либо ввести необходимые данные для работы с анализатором, в соответствии с рисунком 1.11.


ej г)
Рисунок 1.11
Назначение экранных клавиш (в дальнейшем клавиша) в соответствии с таблицей 1.4.
Таблица 1.4
Изображение экранной клавиши
Назначение

Переход в экран ГРАФИК
Переход в экран МЕНЮ
Переход в экран НАСТРОЙКА ГРАФИКА
Переход в предыдущий экран
Переход в экран СЛУЖЕБНОЕ МЕНЮ

Переход в экран СЕРВИСНОЕ МЕНЮ

Переход в экран НАСТРОЙКИ
Переход в экран ПОВЕРКА

ОТМЕНА
✓ ввод
ОТМЕНА
4>
Переход к просмотру либо выбору параметра
Переход к просмотру вероятных причин неисправно-стей/предупреждений
Выбор параметра
Параметр не выбран либо отказ от выбранного параметра______________________________________
Подтверждение выбранных параметров и переход в предыдущий экран
Отмена выбранных параметров и переход в преды-дущий экран__________________________________
Подтверждение введенного значения и переход в предыдущий экран_____________________________
Отмена введенного значения и переход в предыду-щий экран____________________________________
Удаление введенных значений
-
1.5.6.2 Обзор меню анализатора (рисунок 1.12)
ЭКРАН ИЗМЕРЕНИЙ
____I
ГРАФИК
ZL_
МЕНЮ
НАСТРОЙКА ГРАФИКА
СЛУЖЕБНОЕ МЕНЮ S
Е СЕРВИСНОЕ МЕНЮ
Автоподстройка диапазона
Максимальное значение диапазона ае, мкСм/см
Минимальное значение диапазона ае, мкСм/см
Длина временного интервала, мин
Дата и время
Звуковая сигнализация Сброс настроек
НАСТРОЙКИ
Режим работы
Анализируемая среда Водородный показатель Удельная электрическая проводимость
Постоянные датчиков Токовый выход Интерфейс RS-485 Коэффициент линейной термокомпенсации Функции реле
Стоп/Старт
Прокачка реактивов
Диагностика работы прибора
ПОВЕРКА
Удельная электрическая проводимость
Водородный показатель
Температура
Версия ПО и контрольная сумма
Опробование
Рисунок 1.12 - Обзор меню анализатора
-
1.5.6.3 Экран измерений
Экран измерений - в соответствии с рисунком 1.13.
Анализируемая среда: ЧИСТАЯ ВОДА
110:01:15
121/08/16
69^Р^25

fae*90.0721 ft*20.5°C
АТК= 0.0151 ▼
0.0
АТК= 0.0151

Рисунок 1.13 - Экран измерений
Примечание - Численные значения на данных и последующих в тексте изображений экранов могут быть другими.
На экране измерений индицируются:
-
- время и дата, п. 1.5.6.6.1;
-
- анализируемая среда, п. 1.5.6.6.3;
-
- режим работы, п. 1.5.6.6.3;
-
- измеренные значения pH (pH или рН25), УЭП (ае или ае25 в мкСм/см) и температура (t в °C);
-
- круговые диаграммы - в"' , которые осуществляют индикацию уста
новленных диапазонов измерений значений pH, УЭП и температуры. Настройка диапазонов измерений в соответствии с п. 1.5.6.6.3;
-
- коэффициент линейной термокомпенсации (АТК), п. 1.5.5.6.3.
Примечание -На экране измерений могут индицироваться символы и надписи предупреждений и неисправностей в соответствии с п. 2.6.
-
1.5.6.4 Экраны графика
-
1.5.6.4.1 Экран графика - в соответствии с рисунком 1.14.
Рисунок 1.14 - Экран графика
На экране графика индицируются:
-
- время и дата, п. 1.5.6.6.1;
-
- время до следующего дозирования (03:23);
-
- надпись «АВТО» обозначающая автоподстройку диапазона, п. 1.5.6.4.2;
-
- график измеренных значений УЭП каналов А, В и С в определенный момент времени;
-
- значения УЭП каналов А, В и С;
-
- диагностические данные;
-
- клавиши «СЭ», «Я» и «Я» позволяющие скрывать и отображать график каждого канала А, В и С измерений УЭП;
- пунктирная линия оранжевого цвета, позволяющая наглядно индицировать время, в которое произошло измерение.
Поле для ввода значения
, ---
НАСТРОЙКА ГРАФИКА
ч I

МИНИМАЛЬНОЕ ЗНАЧЕНИЕ ДИАПАЗОНА ае, мкСм/см
МАКСИМАЛЬНОЕ ЗНАЧЕНИЕ ДИАПАЗОНА аз, мкСм/см
V'BBOfl
ОТМЕНА
АВТОПОДСТРОЙКА ДИАПАЗОНА
ДЛИНА ВРЕМЕННОГО ИНТЕРВАЛА, мин
АВТО

Рисунок 1.15 - Экран настройки графика
Экран настройки графика позволяет:
-
- осуществить автоподстройку диапазона измерений графика зависимости УЭП от времени. При включенной автоподстройке диапазона появляется надпись «АВТО», при выключенной, надпись «АВТО» отсутствует;
-
- установить:
а) максимальное (30 мкСм/см) и минимальное (0 мкСм/см) значения диапазонов УЭП отображаемых на шкале графиков;
б) продолжительность временного интервала шкалы графика.
-
1.5.6.5 Экран МЕНЮ
МЕНЮ содержит четыре подменю, позволяющие осуществить настройку, диагностику и провести поверку анализатора.
Экран - в соответствии с рисунком 1.16.
I СЛУЖЕБНОЕ МЕНЮ 1 |
СЕРВИСНОЕ МЕНЮ 1| |
ДАТА И ВРЕМЯ ЗВУКОВАЯ СИГНАЛИЗАЦИЯ СБРОС НАСТРОЕК |
СТОП/СТАРТ ПРОКАЧКА РЕАКТИВОВ ДИАГНОСТИКА РАБОТЫ ПРИБОРА |
I НАСТРОЙКИ I |
ПОВЕРКА I |
___а
Рисунок 1.17 - Экран СЛУЖЕБНОЕ МЕНЮ
О ДАТА И ВРЕМЯ
- пункт подменю предназначен для ввода даты и
времени.
Экран данного подменю в соответствии с рисунком 1.18.

РЕЖИМ РАБОТЫ
ВОДОРОДНЫЙ ПОКАЗАТЕЛЬ УДЕЛЬНАЯ ЭЛЕКТРИЧЕСКАЯ ПРОВОДИМОСТЬ ПОСТОЯННЫЕ ДАТЧИКОВ ТОКОВЫЙ ВЫХОД
УДЕЛЬНАЯ ЭЛЕКТРИЧЕСКАЯ ПРОВОДИМОСТЬ ВОДОРОДНЫЙ ПОКАЗАТЕЛЬ ТЕМПЕРАТУРА
ВЕРСИЯ ПО И КОНТРОЛЬНАЯ СУММА

Рисунок 1.16- Экран МЕНЮ
-
1.5.6.6 Экраны подменю
-
1.5.6.6.1 Экраны служебного меню (рисунки 1.17-1.20)
СЛУЖЕБНОЕ МЕНЮ


ДАТА И ВРЕМЯ

ЗВУКОВАЯ СИГНАЛИЗАЦИЯ
Клавиша предназначенная для перехода к расширенным настройкам служебного меню через ввод пароля.

СБРОС НАСТРОЕК
Ф) ЗВУКОВАЯ СИГНАЛИЗАЦИЯ - пункт подменю предназначен для отключения в случае необходимости звукового сигнала аварийной сигнализации анализатора.
Экраны данного подменю в соответствии с рисунком 1.19.
МФ ЗВУКОВАЯ СИГНАЛИЗАЦИЯ |
МФ ЗВУКОВАЯ СИГНАЛИЗАЦИЯ | |
и | ||
н |
а) б)
Рисунок 1.19 - Экран ЗВУКОВАЯ СИГНАЛИЗАЦИЯ
’'ЧсБРОС НАСТРОЕК
- пункт подменю предназначен установки заводских настроек анализатора.
Экраны данного подменю в соответствии с рисунком 1.20.
Ч СБРОС НАСТРОЕК
УСТАНОВКА НАЧАЛЬНЫХ ПАРАМЕТРОВ **/ ч
выполнить



а) б)
Рисунок 1.20 - Экран НАЧАЛЬНЫЕ НАСТРОЙКИ
-
1.5.6.6.2 Экраны сервисного меню (рисунки 1.21-1.23)
СЕРВИСНОЕ МЕНЮ

СТОП/СТАРТ
А ПРОКАЧКА ф РЕАКТИВОВ
©ДИАГНОСТИКА РАБОТЫ ПРИБОРА
ь_____d
Рисунок 1.21 - Экран СЕРВИСНОЕ МЕНЮ
СТОП / СТАРТ - пункт подменю предназначен для временной остановки проведения измерений с целью проведения технического обслуживания анализатора.
Экраны данного подменю в соответствии с рисунком 1.22.
(►) СТОП! СТАРТ |
(►) СТОП / СТАРТ | |
СТАТУС: измерение pH ВКЛЮЧЕНО |
СТАТУС: измерение pH ОТКЛЮЧЕНО | |
Для выхода из меню нажмите СТАРТ | ||
стоп |
СТАРТ | |
______а |
а) б)
Рисунок 1.22 - Экраны СТАРТ/ СТОП
“ПРОКАЧКА РЕАКТИВОВ - пункт подменю предназначен для осуществления прокачки реактивов после их замены либо добавления в емкости В и (или) С, через дозаторы В и С, в смесительное устройство.
Экраны данного подменю в соответствии с рисунком 1.23.

а) б)
Рисунок 1.23 - Экран ПРОКАЧКА РЕАКТИВОВ

ДИАГНОСТИКА РАБОТЫ ПРИБОРА - пункт подменю предна
значен для осуществления визуального контроля параметров анализатора. Экран данного подменю в соответствии с рисунком 1.24.
@ ДИАГНОСТИКА РАБОТЫ ПРИБОРА
АНАЛИЗИРУЕМАЯ СРЕДА: ЧИСТАЯ ВОДА ВРЕМЯ ДО СЛЕДУЮЩЕГО ДОЗИРОВАНИЯ (ММ:СС): ДЛИТЕЛЬНОСТЬ ДОЗИРОВАНИЯ ИЗ ЕМКОСТИ В: ДЛИТЕЛЬНОСТЬ ДОЗИРОВАНИЯ ИЗ ЕМКОСТИ С |
01:59 600 мс Юме | |
ПРОВОДИМОСТЬ |
ЮРМИГУЮЩИЙ КОЭФФИЦИЕНТ Кх : | |
®А 0002 | ||
as В 0.000 |
1.000 | |
® С 0 000 |
1.000 | |
СОСТОЯНИЕ КАНАЛА В: |
НОРМА | |
СОСТОЯНИЕ КАНАЛА С: |
НОРМА | |
СОСТОЯНИЕ ДОЗАТОРА В: |
НОРМА | |
СОСТОЯНИЕ ДОЗАТОРА С: |
НОРМА |
НОРМИРОВАННОЕ ЗНАЧЕНИЕ
0.000
0 000

Рисунок 1.24 - Экран ДИАГНОСТИКА РАБОТЫ ПРИБОРА
При отклонении состояния каналов В или С либо дозаторов В или С от «НОРМЫ» необходимо проверить наличие индикации неисправно-стей/предупреждений на экране измерений и принять меры по их устранению в соответствии с п. 2.6.
-
1.5.6.6.3 Экраны настройки (рисунки 1.25-1.36)
НАСТРОЙКИ (экран в соответствии с рисунком 1.25) - пункт меню предназначен для:
-
- выбора режимов работы анализатора, отображаемых на экране измерений;
-
- выбора анализируемой среды;
-
- установки и просмотра значений диапазонов измерений и уставок реле для УЭП и pH, отображаемых на экране измерений;
-
- установки и просмотра значений постоянных датчиков проводимости;
-
- установки и просмотра диапазонов измерений по выходному току для УЭП и pH, а также установки аварийной сигнализации по выходному току;
-
- настройки интерфейса RS-485;
-
- установки и просмотра коэффициента линейной термокомпенсации;
-
- настройки функции реле.
НАСТРОЙКИ
pH/ЗВ РЕЖИМ РАБОТЫ
СИ токовый выход
АНАЛИЗИРУЕМАЯ СРЕДА
ИНТЕРФЕЙС RS-485
ичЦ ВОДОРОДНЫЙ
Р'1 ПОКАЗАТЕЛЬ
дт|/ КОЭФФИЦИЕНТ ЛИНЕЙНОЙ ТЕРМОКОМПЕНСАЦИИ
/уч УДЕЛЬНАЯ ЭЛЕКТРИЧЕСКАЯ ПРОВОДИМОСТЬ
Р ПОСТОЯННЫЕ V/ ДАТЧИКОВ
ФУНКЦИИ РЕЛЕ
__4
Рисунок 1.25 - Экран НАСТРОЙКА
рН/зе РЕЖИМ РАБОТЫ (экран в соответствии с рисунком 1.26) - пункт подменю предназначен для выбора режима работы анализатора, а также для дальнейшей индикации на экране измерений:
-
- pH или значения pH, приведенного к 25 °C (pH или pH2s);
-
- УЭП или значения УЭП, приведенного к 25 °C (зе или 3e2s).
Рисунок 1.26 - Экран рН/дё РЕЖИМ РАБОТЫ
Примечание - Анализатор поставляется с установленной индикацией рН25 и зе25.
Al АНАЛИЗИРУЕМАЯ СРЕДА (экраны в соответствии с рисунками 1.27-1.30) - пункт подменю предназначен для выбора анализируемой среды:
-
- «ЧИСТАЯ ВОДА» - при УЭП пробы до 1 мкСм/см;
-
- «АММИАК» - при УЭП пробы от 1 до 30 мкСм/см для гидразинно-аммиачного водного режима ТЭС и АЭС;
-
- «АМИНЫ» - при УЭП пробы от 1 до 30 мкСм/см для режимов с подщелачивающими реагентами: этаноламин или HELEMIN-150.
Примечание - Анализатор поставляется с установленным параметром «ЧИСТАЯ ВОДА».
Экран АНАЛИЗИРУЕМАЯ СРЕДА «ЧИСТАЯ ВОДА» в соответствии с рисунком 1.27.
АНАЛИЗИРУЕМАЯ СРЕДА | ||
ЧИСТАЯ ВОДА I |
АММИАК |
АМИНЫ |
Ж- | ||
РЕАК1ИВ В ЕМКОСТИ 'В' |
ГИДРОКСИД ЛИ1ИЯ | |
РЕАКТИВ В ЕМКОСТИ’С’ |
УКСУ'.НАЯ КИСЛО ГА |

Рисунок 1.27 - Экран АНАЛИЗИРУЕМАЯ СРЕДА «ЧИСТАЯ ВОДА»
Экран АНАЛИЗИРУЕМАЯ СРЕДА «АММИАК» в соответствии с рисунком 1.28.
При измерении pH вод, содержащих аммиак необходимо ввести его про-, С -100%
центное содержание, определенное по формуле--------------, где мас-
аммиак 279Сэтаноламин
совые концентрации и Сэтаноламин выражены в одних и тех же единицах
(мг/дм3 или мкг/дм3).

Рисунок 1.28 - Экран АНАЛИЗИРУЕМАЯ СРЕДА «АММИАК»
Экран АНАЛИЗИРУЕМАЯ СРЕДА «АМИНЫ» в соответствии с рисунком 1.29.

Рисунок 1.29 - Экран АНАЛИЗИРУЕМАЯ СРЕДА «АМИНЫ»
При измерении pH вод, содержащих амины необходимо ввести соответствующие коэффициенты КР и KL.
При измерении pH вод, содержащих HELAMIN 150, должны быть установлены следующие коэффициенты: КР- 130,3 и KL- 0,68.
Примечание - При измерении pH вод, содержащих другие амины, обратиться в ООО «ВЗОР» с целью уточнения коэффициентов КР и KL.
pH ВОДОРОДНЫЙ ПОКАЗАТЕЛЬ (экран в соответствии с
рисунком 1.30) - пункт подменю предназначен для просмотра и изменений:
-
- пределов программируемого диапазона измерений pH (pH или pH2s);
-
- минимального и максимального значения реле уставок pH (pH или рн25).
Поле для ввода значения
,
1 2 3
4 5 6.
7 8 9 0
>/ввод
ОТМЕНА
pH ВОДОРОДНЫЙ ПОКАЗАТЕЛЬ
ДИАПАЗОН
* pHMIN 6.9
- Рнмах 9.5 бДрН25
УСТАВКА РЕЛЕ |РА60чийдвгаз0н
pHMIN 6.10 |nF°Fr™
A pH MAX 12.00
Рисунок 1.30 - Экран ВОДОРОДНЫЙ ПОКАЗАТЕЛЬ
Пр имечание - Анализатор поставляется с установленными значениями pH по:
-
- диапазону: pH MIN - 5,60; pH МАХ - 10,00;
-
- уставки реле: pH MIN - 5,60; pH МАХ - 10,00.
ае УДЕЛЬНАЯ ЭЛЕКТРИЧЕСКАЯ ПРОВОДИМОСТЬ (экран в соответствии с рисунком 1.31) - пункт подменю предназначен для просмотра и изменения:
-
- предела верхнего программируемого диапазона измерений УЭП (ае или ае25);
-
- минимального и максимального значения реле уставок УЭП (ае или ае25).
Поле для ввода значения
„ УДЕЛЬНАЯ ЭЛЕКТРИЧЕСКАЯ ПРОВОДИМОСТЬ
\ I /
ее min
УСТАВКА РЕЛЕ, мкСм/см
0.500
х/ввод
ОТМЕНА
аэ max
ДИАПАЗОН, мкСм/см
10.02
| РАБОЧИЙ ДИАПАЗОН
| ПЕРЕГРУЗКА
Азе МАХ
18.012
Рисунок 1.31 - Экран УДЕЛЬНАЯ
ЭЛЕКТРИЧЕСКАЯ ПРОВОДИМОСТЬ
Примечание - Анализатор поставляется с установленными значениями УЭП по:
-
- диапазону: ее МАХ-30,00;
-
- уставке реле: ее MIN - 0,000; ее МАХ - 30,000.
С ПОСТОЯННЫЕ ДАТЧИКОВ (экран в соответствии с рисунком 1.32) - пункт подменю предназначен для просмотра и изменений электролитических постоянных датчиков проводимости ДП-А, ДП-В и ДП-С.
Поле для ввода значения
/ |
X 1 / | |
1 л |
2 3 | |
4 7 |
5 6 8 9 |
Q xZ ввод |
ОТМЕНА |

С ПОСТОЯННЫЕ ДАТЧИКОВ | |
ДАТЧИК | |
- ДП-А |
0.2400 |
- ДП-В |
0.0160 |
’ ДП-с |
0.0160 |
Рисунок 1.32 - Экран ПОСТОЯННЫЕ ДАТЧИКОВ
<3* ТОКОВЫЙ ВЫХОД (экран в соответствии с рисунком 1.33) - пункт подменю предназначен для просмотра и переключения диапазона выходного тока по pH и УЭП от 0 до 5 мА, от 4 до 20 мА либо от 0 до 20 мА, а также включения срабатывания сигнализации при выходе за диапазон выходного тока.
ДИАПАЗОН
ДИАПАЗОН
0-5 мА
Выберете значение
Выберете значение
0-5 мА
0-20 мА
0-20 мА
4-20 мА
4-20 мА


Рисунок 1.33 - Экран ТОКОВЫЙ ВЫХОД
ИНТЕРФЕЙС RS-485 (экран в соответствии с рисунком 1.34) - пункт подменю предназначен для настройки интерфейса RS-485 и протокола обмена с ПК.


Поле для ввода значения от «001» до «247»
Z t X
1
4
1
rfl ИНТЕРФЕЙС RS-485
ПРОТОКОЛ MODBUS RTU

НЕЧЕТ(О)
001

115200
■х
\
1 . Z
^ввод
ОТМЕНА
СКОРОСТЬ, бит/с |
4800 |
38400 |
1200 |
9600 |
57600 |
2400 |
19200 |
НИЦ 115200 |
Выберете значение | ||
^HET(N) П |
ЧЕТ(Е) □ | |
НЕЧЕТ(О) Q |

Рисунок 1.34 — Экран ИНТЕРФЕЙС RS-485
ВР52.00.000РЭ
АТК КОЭФФИЦИЕНТ ЛИНЕЙНОЙ ТЕРМОКОМПЕНСАЦИИ (экран в соответствии с рисунком 1.35) - пункт подменю предназначен для просмотра либо изменения коэффициента линейной термокомпенсации, соответствующего анализируемому раствору.
Поле для ввода значения |
АТК КОЭФФИЦИЕНТ ЛИНЕЙНОЙ ТЕРМОКОМПЕНСАЦИИ |
12 3 * | |
4 5 6., 7 8 9 0 |
, 0.0200 °C 1 ИЗМЕНИТЬ |
ОТМЕНА | |
Рисунок 1.35 - Экран АТК КОЭФФИЦИЕНТ
ЛИНЕЙНОЙ ТЕРМОКОМПЕНСАЦИИ
^^ФУНКЦИИ РЕЛЕ (экран в соответствии с рисунком 1.36) - пункт подменю предназначен для настройки функции «сухих» контактов реле.
LU
РЕЛЕ |
1 |
2 |
3 |
4 |
5 |
6 |
ВЕРХНЯЯ УСТАВКА эв,'ае25 |
□ |
□ |
Q |
□ |
□ |
□ |
НИЖНЯЯ УСТАВКА аз/я>25 |
□ |
Q |
□ |
□ |
□ |
□ |
ПЕРЕГРУЗКА ДИАПАЗОНА ээ/®25 |
□ |
О |
□ |
□ |
□ |
□ |
ВЕРХНЯЯ УСТАВКА рН/рН25 |
□ |
□ |
□ |
□ |
□ |
S |
• ООО (J) | ||||||
а) | ||||||
ФУНКЦИИ РЕЛЕ |
РЕЛЕ |
1 |
2 |
3 |
4 |
5 |
6 | |
ЗАКОНЧИЛСЯ РЕАГЕНТ |
□ |
□ |
□ |
□ |
□ |
□ | |
НАСТРОЙКА/ПОВЕРКА СТОП / СТАРТ / ПРОКАЧКА |
□ |
□ |
□ |
□ |
□ |
□ | |
ОБРЫВ ДАТЧИКА ТЕМПЕРАТУРЫ |
□ |
□ |
□ |
□ |
□ |
□ | |
ОБРЬ® ТОКОВОГО ВЫХОДА |
□ |
□ |
□ |
□ |
□ |
□ | |
Q ооео |
■aS |

РЕЛЕ |
Г |
2 |
3 |
4 |
5 |
6 |
НИЖНЯЯ УСТАВКА рНфН25 |
□ |
□ |
□ |
□ |
□ |
□ |
ПЕРЕГРУЗКА ДИАПАЗОНА рН>рН25 |
□ |
□ |
□ |
□ |
□ |
□ |
ПЕРЕГРУЗКА ДИАПАЗОНА “ЕМПЕРАТУРЫ |
□ |
□ |
□ |
□ |
□ |
□ |
ОТСУТСТВУЕТ ПЕРЕГИБ |
□ |
□ |
□ |
□ |
□ |
□ |
® О«оо © |
gg | |||||
6 |
) | |||||
ФУНКЦИИ РЕЛЕ | ||||||
РЕЛЕ |
1 |
2 |
3 |
4 |
5 |
6 |
ОШИБКА РАБОТЫ ПРИБОРА |
□ |
□ |
□ |
□ |
□ |
□ |
НЕИСПРАВНОСТЬ ПРИБОРА |
□ |
□ |
О |
□ |
□ |
□ |
Рисунок 1.36 — Экран ФУНКЦИЯ РЕЛЕ
г)
ВР52.00.000РЭ
-
1.6 Маркировка
-
1.6.1 Маркировка, наносимая на составные части анализатора, соответствует ГОСТ 26828-86.
-
1.6.2 На крышке верхней анализатора укреплена табличка, на которую нанесены:
-
- товарный знак и наименование предприятия-изготовителя;
-
- надпись: «АНАЛИТИЧЕСКОЕ ПРИБОРОСТРОЕНИЕ ДЛЯ ЭКОЛОГИИ И ТЕПЛОЭНЕРГЕТИКИ».
-
1.6.3 На передней панели блока преобразовательного нанесено:
-
- наименование анализатора и товарный знак;
-
- наименование страны-изготовителя.
-
1.6.4 На панели анализатора укреплена табличка, на которую нанесены:
-
- товарный знак и наименование предприятия-изготовителя;
-
- единый знак обращения продукции на рынке государств-членов ТС;
-
- знак утверждения типа;
-
- наименование и условное обозначение анализатора;
-
- заводской номер анализатора год выпуска.
-
1.6.5 На блоке датчиков укреплены таблички, содержащие условные обозначения датчиков проводимости.
-
1.6.6 На каждой емкости анализатора укреплены таблички, содержащие условные обозначения.
-
1.6.7 На смесительном устройстве анализатора укреплена табличка, содержащая условные обозначения дозаторов.
-
1.6.8 На корпусе источника питания ИП-1002 укреплена табличка, на которой нанесены:
-
- товарный знак и наименование предприятия-изготовителя;
-
- род тока и напряжение на входе и выходе источника питания;
-
- потребляемая мощность.
-
1.6.9 Транспортная маркировка должна соответствовать ГОСТ 14192-96.
-
1.6.10 На транспортной таре (коробке) должна быть наклеена этикетка, содержащая наименование и условное обозначение анализатора, дату упаковки, товарный знак, телефоны, адрес и наименование предприятия-изготовителя.
-
1.6.11 На транспортной таре (коробке) должны быть нанесены манипуляционные знаки: «Хрупкое. Осторожно», «Беречь от влаги», «Верх» и «Пределы температуры».
1.7 Упаковка
-
1.7.1 Упаковка обеспечивает сохраняемость анализатора при транспортировании и хранении.
-
1.7.2 По защите анализатора от климатических факторов внешней среды упаковка имеет категорию КУ-1 по ГОСТ 23170-78.
-
1.7.3 Упаковка соответствует требованиям ГОСТ 9.014-78 для группы изделий III:
-
- вариант временной противокоррозионной защиты ВЗ-0;
-
- вариант внутренней упаковки должен быть ВУ-4.
-
1.7.4 Составные части анализатора укладываются в фанерный ящик с деревянным каркасом. В отдельные полиэтиленовые пакеты укладываются:
-
- модуль измерительный;
-
- источник питания ИП-1002;
-
- комплекты монтажных частей;
-
- комплект запасных частей;
-
- руководство по эксплуатации, паспорт и упаковочная ведомость.
-
1.7.5 Свободное пространство в фанерном ящике заполнено амортизационным материалом.
-
1.7.6 Срок сохраняемости до переупаковывания равен сроку службы анализатора.
-
1.7.7 Переупаковывание анализатора должно проводиться в случае обнаружения дефектов упаковки при осмотрах в процессе хранения или по истечении срока сохраняемости до переупаковывания.
-
1.7.8 По согласованию с заказчиком допускается применять другие виды консервации и упаковки.
-
1.8 Средства измерения, инструмент, принадлежности
Для проведения работ по техническому обслуживанию анализатора дополнительно требуются следующие реактивы, а также средства измерения и принадлежности:
а) не входящие в комплект поставки:
-
- кислота соляная, ГОСТ 3118-77 х.ч.;
-
- кислота муравьиная, ГОСТ 5848-78, ч.;
-
- кислота хлорная, ТУ 6-09-2878-84, х.ч. 60 %;
-
- кислота уксусная, ГОСТ 61-75, х.ч.;
-
- калий гидроокись, ГОСТ 24363-80, х.ч.;
-
- кондуктометр, обеспечивающий диапазон измерений до 20000 мкСм/см (например, МАРК-603 ТУ 4215-026-39232169-2005 с датчиком проводимости ДП-15);
-
- весы лабораторные с диапазоном измерений от 0,01 до 320 г;
-
- воронка химическая В-36-50 ТС ГОСТ 25336-82;
-
- стакан В-1-1000 ТХС ГОСТ 25336-82;
-
- вода очищенная для химического анализа по ОСТ 34-70-953.2-88.
б) входящие в комплект реактивов ВР52.16.000, поставляемый с анализатором:
-
- лития гидроксид 1-водный, ТУ 6-09-3763-85, ч.;
-
- шприц 5 см3.
ВНИМАНИЕ: НЕ РЕКОМЕНДУЕТСЯ использование реактивов квалификацией ниже указанной!
2 ИСПОЛЬЗОВАНИЕ ПО НАЗНАЧЕНИЮ
-
2.1 Эксплуатационные ограничения
-
2.1.1 Анализатор следует размещать в условиях, соответствующих п. 1.2.6.
-
2.1.2 Анализатор следует оберегать от ударов, поскольку в его конструкции использовано стекло.
-
2.2 Указание мер безопасности
-
2.2.1 Класс по способу защиты человека от поражения электрическим током -1 по ГОСТ 12.2.007.0-75.
-
2.2.2 К работе с анализатором допускается персонал, изучивший настоящее руководство, действующие правила эксплуатации электроустановок и правила работы с химическими реактивами.
-
2.2.3 При работе с химическими реактивами следует применять индивидуальные средства защиты в соответствии с типовыми отраслевыми нормами. Не допускается попадание реактива внутрь организма, на кожу и в глаза.
-
2.2.4 Помещение, где находится работающий анализатор, должно быть оборудовано приточно-вытяжной вентиляцией.
-
2.2.5 Заполнение емкостей реактивами следует производить в вытяжном шкафу.
-
2.2.6 Обслуживающий персонал должен быть проинструктирован и иметь допуск к работе с электроустановками до 1 000 В в соответствии с действующими правилами техники безопасности.
-
2.2.7 Запрещается эксплуатировать анализатор при снятой крышке источника питания, при отсутствии заземления анализатора.
-
2.2.8 Электрические цепи, осуществляющие внешние подключения к анализатору, должны быть выполнены экранированным кабелем либо проводами, расположенными в проводящих кабельных желобах или в кабелегонах.
-
-
2.3 Подготовка анализатора к работе
-
2.3.1 Получение анализатора
-
-
При получении анализатора следует вскрыть упаковку, проверить комплектность и убедиться в сохранности упакованных изделий.
После пребывания анализатора на холодном воздухе необходимо выдержать его при комнатной температуре не менее 1 ч, после чего можно приступить к подготовке анализатора к работе.
-
2.3.2 Подготовка к работа
2.3.2.1 Установка модуля измерительного
Перед установкой анализатора необходимо снять верхнюю крышку освободив доступ к кронштейну, с помощью которого крепится анализатор.
Для этого:
-
- установить шлицевую отвертку в паз верхней крышки, рисунок 2.1а;
-
- отогнуть шлицевую отвертку под углом 15-30° к поверхности основания анализатора, рисунок 2.16;
-
- осуществить аналогичную операцию с противоположной стороны анализатора.
ВНИМАНИЕ: НЕ ПРИКЛАДЫВАТЬ чрезмерного усилия при демонтаже верхней крышки!
Установить модуль измерительный вблизи пробоотборной точки. Расположение отверстий на кронштейнах для крепления анализатора в соответствии с рисунком 2.2.
Конструкция анализатора позволяет осуществлять его крепление на различных вертикальных поверхностях.
Для крепления модуля измерительного можно воспользоваться винтами М5х18 с гайками М5 и шайбами, входящими в комплект монтажных частей ВР52.12.000.
Примечание - Установить верхнюю крышку на анализатор после подключения источника питания ИП-1002 к анализатору в соответствии сп. 2.3.2.3.



Рисунок 2.2 - Расположение отверстий для крепления модуля измерительного
Заземлить корпус блока преобразовательного и стабилизатор потока медными проводом желто-зеленого цвета сечением не менее 0,75 мм2, подключаемым к винтам заземления.
-
2.3.2.2 Подсоединение труб к анализатору
Подсоединение подводящей трубы и сливной трубки к штуцерам анализатора осуществлять в соответствии с рисунком 2.3. Инструкция по монтажу обжимных фитингов приведена в приложении В.
Сливной штуцер
Трубка ПВХ СТ-18
0внутр. 16x2 (сливная)

Штуцер подачи пробы
Составная часть распределителя потока
Обжимной фитинг 0царуж. 6 ММ
3
Рисунок 2.3 - Подсоединение труб

Труба AISI316L
0наруж. 6X1
(подводящая)
Примечания
-
1 Подводящая труба нерж. AISI 316L 0наруж. 6х 1 длиной 500 мм и сливная трубка ПВХ СТ-18 0внутр.16х2 длиной 500 мм входят в комплект монтажных частей анализатора. Необходимая длина труб определяется по месту.
-
2 Радиус сгиба трубы нерж. AISI 316L 0наруж. 6Х1 должен быть не менее 12,5 мм.
-
2.3.2.3 Установка источника питания ИП-1002
Перед установкой источника питания ИП-1002 необходимо снять крышку, освободив доступ к отверстиям для крепления расположенным на основании.
Установить источник питания ИП-1002 в месте, не затрудняющем отключение его от сети питания 220 В, 50 Гц и на расстоянии не более 5 м от анализатора.
Расположение и размер отверстий для крепления источника питания ИП-1002 - в соответствии с рисунком 2.4.

Рисунок 2.4 - Расположение и размер отверстий для крепления источника питания ИП-1002
После установки источника питания ИП-1002 крышку установить обратно на основание.
-
2.3.2.4 Подсоединение источника питания ИП-1002 к модулю измерительному
Для этого необходимо:
-
- снять верхнюю крышку модуля измерительного, если она не была снята ранее;
-
- подсоединить разъем (розетку РС4ТВ) источника питания ИП-1002 к разъему (вилке РСГ4ТВ) анализатора представленному на рисунке 2.5;
-
- установить верхнюю крышку на модуль измерительный.
Рисунок 2.5 - Расположение разъема (вилки РСГ4ТВ) на анализаторе
Подвести сетевое питание (~ 220 В, 50 Гц) с помощью подключения вилки источника питания ИП-1002 к штепсельной розетке с заземляющим контактом.
2.3.3 Внешние подключения блока преобразовательного
ВНИМАНИЕ: Подключение внешних устройств к блоку преобразовательному производить при отключенном питании внешних устройств и анализатора!
Внешние подключения производятся к разъему «ТОКОВЫЙ ВЫХОД, СИГНАЛИЗАЦИЯ, RS-485» расположенному на блоке преобразовательном с использованием розетки РС19ТВ с кожухом, входящей в комплект монтажных частей ВР37.03.000.
Для внешнего подключения к блоку преобразовательному следует:
-
- снять верхнюю крышку модуля измерительного;
-
- провести кабель через герметичный кабельный ввод, расположенный в верхней части модуля измерительного;
-
- снять пластмассовую заглушку с разъема «ТОКОВЫЙ ВЫХОД, СИГНАЛИЗАЦИЯ, RS-485»;
-
- разобрать розетку РС19ТВ в соответствии с рисунком 2.6а;
-
- припаять контакты в соответствии с рисунком 2.66 и таблицей 2.1;
-
- собрать и подключить розетку РС19ТВ к разъему «ТОКОВЫЙ ВЫХОД, СИГНАЛИЗАЦИЯ, RS-485» блока преобразовательного.
а - Конструкция розетки
б - Вид со стороны пайки контактов
Рисунок 2.6- Розетка РС19ТВ с кожухом

Продолжение таблицы 2.1
Конт. |
Выходной сигнал |
Цепь |
Внешнее подключение | ||
3 |
Реле 4 | ||||
4 | |||||
16 |
Реле 5 | ||||
17 | |||||
18 |
Реле 6 |
Исполнительное устройство | |||
19 | |||||
5 |
Выходной ток |
УЭП (+) |
Регистрирующее устройство, компьютер | ||
6 |
УЭП (-) | ||||
9 |
рН(+) | ||||
6 |
рН(-) | ||||
11 |
Порт RS-485 |
SG (сигнальная земля) | |||
14 |
DAT+ (Данные +) | ||||
15 |
DAT- (Данные -) |
В диапазонах от 4 до 20 мА и от 0 до 20 мА нагрузка не должна превышать 500 Ом, в диапазоне от 0 до 5 мА - 2 кОм.
Назначение групп выходных «сухих» контактов реле в соответствии с
таблицей 2.2.
Таблица 2.2
№ |
Назначение групп выходных «сухих» контактов реле |
Реле номер |
1 |
Сигнализация выхода измеренного значения за верхнюю уставку УЭП/УЭП25 |
Реле 1, Реле 2, Реле 3, Реле 4, Реле 5 и (или) Реле 6 |
2 |
Сигнализация выхода измеренного значения за нижнюю уставку УЭП/УЭП25 | |
3 |
Сигнализация выхода измеренного значения за верхний предел диапазона измерений УЭП/УЭП25 | |
4 |
Сигнализация выхода измеренного значения за верхнюю уставку рН/рН25 | |
5 |
Сигнализация выхода измеренного значения за нижнюю уставку рН/рН25 | |
6 |
Сигнализация выхода измеренного значения за пределы диапазона измерений рН/рН25 | |
7 |
Сигнализация выхода измеренного значения за пределы диапазона измерений температуры | |
8 |
Сигнализация при отсутствии перелива | |
9 |
Сигнализация при отсутствии реагента |
Продолжение таблицы 2.2
№ |
Назначение групп выходных «сухих» контактов реле |
Реле номер |
10 |
Сигнализация при переходе в экраны «НАСТРОЙКА», «ПОВЕРКА», «СТАРТ/СТОП», «ПРОКАЧКА». | |
11 |
Сигнализация при обрыве датчика температуры |
Реле 1, Реле 2, Реле 3, Реле 4, Реле 5 и (или) Реле 6 |
12 |
Сигнализация при обрыве токового выхода | |
13 |
Сигнализация при ошибке работы прибора | |
14 |
Сигнализация при неисправности прибора |
Экраны настройки «ФУНКЦИИ РЕЛЕ» в соответствии с рисунком 1.36.
Примечание - Анализатор поставляется с установленными функциями реле в соответствии с рисунком 1.36.
Изменение диапазонов измерений и уставок при измерениях УЭП/УЭП25 и рН/рН25 производится в соответствии с п. 1.5.6.6.3.
Максимальный коммутируемый постоянный или переменный ток «сухих» контактов реле 150 мА при напряжении не более 36 В.
-
2.3.4 Подготовка к измерениям
-
2.3.4.1 Залить в емкости В и С растворы реактивов, в зависимости от анализируемой среды, в соответствии с таблицей 2.3. Методика приготовления растворов в соответствии с приложением Б.
-
1 ВНИМАНИЕ: ИСПОЛЬЗОВАТЬ ТОЛЬКО СВЕЖИЙ РАСТВОР ЛИТИЯ ГИДРОКСИДА! Так как он поглощает углекислый газ, минимизировать время контакта раствора с воздухом!
-
2 ВНИМАНИЕ: ИСКЛЮЧИТЬ ПОПАДАНИЕ реактивов на руки, лицо, одежду, а также на окрашенные поверхности узлов анализатора во избежание их повреждения!
-
3 ВНИМАНИЕ: ИСПОЛЬЗОВАТЬ СРЕДСТВА ИНДИВИДУАЛЬНОЙ ЗАЩИТЫ!
Таблица 2.3
Анализи-руемая среда |
Емкость В |
Емкость С |
Выбор анализируемой среды в зависимости от УЭП пробы | |
кислота соляная (муравьиная либо хлорная) |
лития гидроксид 1-водный |
кислота уксусная | ||
«ЧИСТАЯ ВОДА» |
— |
+ |
+ |
УЭП пробы менее или равно 1 мкСм/см |
«АММИАК» |
+ |
— |
+ |
УЭП пробы от 1 до 30 мкСм/см для гидра-зинно-аммиачного водного режима ТЭС и АЭС |
«АМИНЫ» |
+ |
— |
+ |
УЭП пробы от 1 до 30 мкСм/см для режимов с подщелачивающими реагентами -аминами (например, HELEMIN-150) |
«+» - заполнить емкость указанным раствором; «-» - не заполнять емкость указанным раствором.
Для заливки раствора в емкости В и С необходимо:
-
- отвернуть стакан от корпуса емкости В или С в соответствии с рисунком 2.7;
-
- залить в стакан не более 200 см3 раствора реактива;
-
- установить стакан на место, обеспечив герметичность соединения.
ВНИМАНИЕ: НЕ ПРИКЛАДЫВАТЬ чрезмерное усилие при наворачи-вании стакана на корпус емкости В или С во избежание повреждения емкости!

Рисунок 2.7 - Емкость в разобранном виде
-
2.3.4.2 Залить в буфер дистиллированную воду либо раствор калия гидроокиси с массовой долей от 30 до 35 %, в зависимости от анализируемой среды в соответствии с таблицей 2.4. Методика приготовления раствора в соответствии с приложением Б.
Таблица 2.4
Анализируемая среда |
Буфер | |
дистиллированная вода |
калий гидроокись с массовой долей от 30 до 35% | |
«ЧИСТАЯ ВОДА» |
— |
+ |
«АММИАК» |
+ |
— |
«АМИНЫ» |
+ |
— |
«+» - заполнить буфер указанной жидкостью; «-» - не заполнять буфер указанной жидкостью. |
Для заливки дистиллированной воды или калия гидроокиси в буфер, в соответствии с рисунком 2.8, необходимо:

Рисунок 2.8- Заливка дистиллированной воды либо калия гидроокиси в буфер
-
- отвернуть винт от корпуса буфера;
-
- установить на шприц трубку ПВХ СТ-18 0внугр2,5х 1;
-
- за время, не более 5 мин:
а) набрать в шприц 5 см3, только что приготовленного, раствора калия гидроокиси либо дистиллированной воды;
б) залить 5 см3 жидкости из шприца в буфер;
в) завернуть винт в корпус буфера, обеспечив герметичность.
Примечание - Шприц и трубка ПВХ СТ-18 0внутр.2,5х1 входят в комплект инструмента и принадлежностей анализатора.
-
2.3.4.3 Подать анализируемую среду от пробоотборника к штуцеру подачи пробы, установить расход анализируемой среды от 10 до 30 дм3/ч с помощью технологического устройства и проконтролировать поток анализируемой среды - слив за прозрачной крышкой индикатора потока должен наблюдаться из всех четырех штуцеров:
а) из крайних штуцеров - капельный;
б) из средних штуцеров - тонкой струйкой.
Примечание - При отсутствии слива за прозрачной крышкой индикатора потока из крайних штуцеров осуществить чистку жиклеров индикатора потока в соответствии с п. 3.3.3.4.
ВНИМАНИЕ: ИСКЛЮЧИТЬ ПЕРЕПОЛНЕНИЕ индикатора потока, обеспечив свободный слив анализируемой среды!
-
2.3.4.4 Включить анализатор переключателем «СЕТЬ» расположенным на корпусе блока преобразовательного, при этом:
-
- включится компрессор (слабая вибрация);
-
- появится экран режима измерений.
На экране режима измерений:
-
- будет мигать «pH» или «РН25» - измеренное значение недостоверно;
-
- возможно будут индицироваться:
7Г
а) __- отсутствует перелив, установить расход анализируемой
среды в диана <оне от 10 до 30 дм3/ч с помощью технологического устройства;

б)
и надпись «Измерение pH приостановлено, идет отмывка каналов, подождите (XX) 30 с» - дождаться указанного времени (количество циклов «XX» не более 20).
Примечание - При возникновении дополнительной индикации обратиться к п. 2.6.
После отмывки каналов автоматически начнется дозирование реактивов и измерения pH анализируемой воды. При нормальной работе анализатора каждые 7 мин включается компрессор и открываются клапаны дозаторов (слышна характерные щелчки). При нормальном режиме измерений измеренное значение pH или РН25 перестает мигать.
-
2.3.4.5 Провести прокачку реактивов, не дожидаясь завершения индика-/ ч
D2
ции -мигания «pH» или «рНгб» и ___, нажав клавиши:
СЕРВИСНОЕ МЕНЮ
А ПРОКАЧКА
РЕАКТИВОВ

г**^ г**^
Прокачка реактивов будет завершена через 10 с. Проконтролировать отсутствие пузырьков воздуха в трубках подачи реактивов от емкостей В и С к смесительному устройству. При наличии пузырьков воздуха в трубках, провести прокачку реактивов повторно.
Примечани - Прокачка реактивов при последующих включениях анализатора не требуется.
-
2.3.4.6 Выбрать анализируемую среду подаваемую на анализатор, в соответствии с п. 2.3.4.1, не дожидаясь завершения индикации - мигания «pH» или [Р2
hmwd, нажав клавиши:
«РН25» и
НАСТРОЙКИ
о
г? |
ЧИСТАЯ ВОДА | |
АНАЛИЗИРУЕМАЯ СРЕДА |
о <51 |
АММИАК |
АМИНЫ | ||
-
2.3.4.7 Проконтролировать герметичность системы: при включении компрессора начнется прокачка через буфер воздуха, нагнетаемого в емкости с реактивами. В буфере будут видны пузырьки воздуха. Если система герметична, то при работе компрессора частота образования пузырьков воздуха в буфере будет уменьшаться
-
2.3.4.8 Проконтролировать установленные параметры и скорректировать их в случае необходимости:
а) режим работы (меню НАСТРОЙКИ);
б) диапазон измерений УЭП/УЭП25 и рН/рН25 (меню НАСТРОЙКИ);
в) уставки реле УЭП/УЭП25 и рН/рН25 (меню НАСТРОЙКИ);
г) постоянные датчиков (меню НАСТРОЙКИ), должны соответствовать приведенным в паспорте ВР52.00.000ПС;
д) токовый выход (меню НАСТРОЙКИ);
е) интерфейс RS-485 (меню НАСТРОЙКИ);
ж) коэффициент линейной термокомпенсации (меню НАСТРОЙКИ);
з) звуковая сигнализация (СЛУЖЕБНОЕ МЕНЮ);
и) дата и время (СЛУЖЕБНОЕ МЕНЮ).
-
2.3.5 Контроль правильности работы анализатора
При нормальной работе анализатора на экране графика, отображающем зависимость УЭП всех трех каналов от времени, должен быть общий график, подобный тому, что показан на рисунке 1.14 «Экран графика». В моменты времени, наступающими сразу же после дозирования реактивов на графиках в каналах В и С должен наблюдаться всплеск УЭП, а затем медленное ее падение к значению, близкому к значению, наблюдавшемуся до дозирования. В конце цикла (перед моментом нового дозирования) можно заметить привязку УЭП каналов В и С к УЭП канала А. Периодичность всего графика 7 мин.
В том случае, если измерительные каналы В и С не отмыты, весь график сильно искажен и отсутствует дозирование реактивов, после отмывки каналов включается дозирование реактивов и осуществляются измерения pH.
2.4 Проведение измерений
Перейти в экран измерений и приступить к проведению измерений при условии отсутствия индикации неисправностей/предупреждений в соответствии с п. 2.6.
-
2.5 Перерыв в работе анализатора
При перерыве в работе анализатора между измерениями необходимо:
-
- перекрыть подачу анализируемой среды;
-
- перевести переключатель «СЕТЬ» анализатора в выключенное положение либо остановить процесс измерений анализатора, нажав клавиши:
СЕРВИСНОЕ МЕНЮ
-
2.6 Возможные неисправности/предупреждения и методы их устранения
2.6.1 На экране измерений могут индицироваться дополнительные сообщения сигнализирующие неисправности и предупреждения в соответствии с рисунком 2.9 и таблицами 2.5 и 2.6.
Е1 Е5 Р1 Р2 РЗ D1 02 03 D4 L1 ! I Ю:01:15
. . .....---Л 21/08/16
Анализируемая среда: ЧИСТАЯ ВОДА

- сигнализация неисправностей и предупреждений.
Рисунок 2.9 - Экран измерений с индикацией возможных неисправностей и предупреждений
2.6.2 Перечень возможных предупреждений, неисправностей и методов устранения приведен в таблицах 2.5 и 2.6.
Таблица 2.5
Неисправности/ предупреждения |
Вероятная причина |
Метод устранения |
Анализатор не включается |
Плохой контакт блока преобразовательного с источником питания ИП-1002 |
Проверить контакт между разъемами вилки РСГ4ТВ и розетки РС4ТВ (п. 2.3.2.4) |
Вышел из строя источник питания ИП-1002 |
Ремонт в заводских условиях | |
Неисправен блок преобразовательный |
Ремонт в заводских условиях |
Продолжение таблицы 2.5
Неисправности/ предупреждения |
Вероятная причина |
Метод устранения | ||
Частота образования пузырьков воздуха в буфере при работе компрессора не уменьшается |
Нарушена герметичность в емкостях для растворов реактивов |
Обеспечить герметичность:
| ||
Нарушена герметичность буфера |
Обеспечить герметичность:
трубки;
| |||
Е1 |
Ошибка работы платы интерфейсной:
|
Ремонт в заводских условиях | ||
/-------\ Е2 v J |
Ошибка работы платы интерфейсной: ошибка в канале А платы усилителя; |
Ремонт в заводских условиях | ||
/.....\ ЕЗ |
Ошибка работы платы интерфейсной ошибка в канале В платы усилителя; |
Ремонт в заводских условиях | ||
/--------------»| Е4 - |
Ошибка работы платы интерфейсной ошибка в канале С платы усилителя; |
Ремонт в заводских условиях | ||
Е5 |
Плата интерфейсная не отвечает |
Ремонт в заводских условиях | ||
/ S Е6 |
Ошибка работы платы индикации:
|
Ремонт в заводских условиях |
Продолжение таблицы 2.5
Неисправности/ предупреждения |
Вероятная причина |
Метод устранения | ||
/-------------'>1 Р1 / |
Отсутствует перелив |
Увеличить расход анализируемой среды | ||
Прочистить датчик уровня (п. 3.3.3.5) | ||||
/ S R2 ^—2__> |
Закончился реактив |
Залить новый раствор реактива в емкость (п. 3.3.4.2) | ||
Не поступает анализи- |
Подать анализируемую воду | |||
/ X |
руемая вода на вход анализатора (измеряемое значение УЭП ниже 0,01 мкСм/см). |
Заменить фильтрующий материал (синтепон) в стабилизаторе потока (п. 3.3.4.5), далее удерживать кнопку стабилизатора потока в течении Юс | ||
РЗ |
Неисправен датчик проводимости ДП-А (измеряемое значение УЭП ниже 0,01 мкСм/см). |
Ремонт датчика проводимости в заводских условиях | ||
Загрязнен канал подачи анализируемой воды к электродам датчика проводимости ДП-А |
Продуть систему сжатым воздухом давлением не более 0,2 МПа | |||
Неисправен канал (обрыв датчика проводимости) |
Заменить фильтрующий материал (синтепон) в стабилизаторе потока (п. 3.3.4.5) и удерживать кнопку стабилизатора потока в течении 10 с | |||
/ Х| D1 J |
Осуществить чистку жиклеров дозаторов (п. 3.3.3.3) | |||
Загрязнен измерительный канал В (С) |
Продуть систему сжатым воздухом давлением не более 0,2 МПа | |||
Отсутствует поток пробы |
Осуществить подачу пробы | |||
Неисправен датчик проводимости В (С) |
Ремонт датчика проводимости ДП-В (ДП-С) в заводских условиях |
Продолжение таблицы 2.5
Неисправности/ предупреждения |
Вероятная причина |
Метод устранения | ||
«Изме приост идет ( налов, |
D2 ч эение ановл этмыв подои |
pH ено, ка ка-сдите» |
Загрязнены измерительные каналы. |
Ожидать 5 минут, затем удерживать кнопку стабилизатора потока в течении 10 с |
Неисправен дозатор (засорен жиклер дозатора) |
Проверить работу дозатора (п. З.З.З.З) | |||
Осуществить чистку жиклеров дозаторов (п. З.З.З.З) | ||||
Неисправен компрессор |
Ремонт в заводских условиях | |||
Г D3 1 |
Нарушена герметичность в емкостях для растворов реактивов |
Обеспечить герметичность:
| ||
Испорчен реактив |
Заменить реактив (п. 3.3.4.3) | |||
Мала концентрация реактива |
Залить реактив нужной концентрации (Приложение Б и п. 3.3.4.3) | |||
Z ч и -рч J |
Засорен канал |
Заменить фильтрующий материал (синтепон) в стабилизаторе потока (п. 3.3.4.5) и удерживать кнопку стабилизатора потока в течении 10 с | ||
Мигание ■ J00 |
Измеренное значение pH недостоверно |
Дождаться установления показаний по pH |
Таблица 2. б
Индикация предупреждений |
Причина | |
L1 V У |
УЭП анализируемой среды выходит за диапазон измерений | |
Мигание В | ||
,д9.5 _ мкСм 00» ^25 32.72 см | ||
Мигание ■ ^^►4.5 |
УЭП анализируемой воды выходит за диапазон измерений по токовому выходу | |
Мигание - ■ (pit 6.9 |
Превышение измеренным значением pH программируемого диапазона измерений | |
Мигание ■ в |
Превышение измеренного значения температуры 50 °C | |
Мигание ИИ Х^Ч9.5 0.0* 25 |
Мигание ИИ ▼/■495 |
Измеренное значение УЭП выходит за пределы верхней либо нижней уставок |
Мигание ИИ СрН25 6.9 |
Мигание НИ (pit 6.9 |
Измеренное значение pH выходит за пределы верхней либо нижней уставок |
Примечание - Вышедшие из строя изделия с ограниченным ресурсом подлежат замене из комплектов:
-
- монтажных частей;
-
- запасных частей;
-
- инструмента и принадлежностей.
При выявлении неуказанных неисправностей или невозможности устранения неисправности своими силами следует обратиться в ООО «ВЗОР».
3 ТЕХНИЧЕСКОЕ ОБСЛУЖИВАНИЕ
-
3.1 Меры безопасности
-
1 ВНИМАНИЕ: ИСКЛЮЧИТЬ ПОПАДАНИЕ реактивов на руки, лицо, одежду, а также на окрашенные поверхности узлов анализатора во избежание их повреждения!
-
2 ВНИМАНИЕ: ИСПОЛЬЗОВАТЬ СРЕДСТВА ИНДИВИДУАЛЬНОЙ ЗАЩИТЫ!
-
3.2 Общие указания
-
3.2.1 Все виды технического обслуживания (далее ТО) выполняются квалифицированным оперативным персоналом, имеющим допуск к работе с электроустановками до 1000 В, изучившим настоящее руководство по эксплуатации и меры безопасности при работе с химическими реактивами;
-
3.2.2 Техническое обслуживание для анализатора, находящегося в эксплуатации, включает в себя операции нерегламентированного и регламентированного обслуживания.
-
3.2.3 В состав нерегламентированного ТО входят:
-
- эксплуатационный уход;
-
- содержание оборудования в исправном состоянии (таблица 2.5).
-
3.2.4 Все обнаруженные при нерегламентированном ТО неисправности в работе анализатора должны быть устранены силами оперативного персонала.
-
3.2.5 Регламентированное ТО реализуется в форме плановых ТО, объем и периодичность которых приведены в таблице 3.1.
Таблица 3.1
№ пп. РЭ |
Наименование работы |
Периодичность технического обслуживания | ||
один раз в мес. |
один раз в три мес. |
ежегодно | ||
3.3.1 |
Внешний осмотр |
* |
+ |
+ |
3.3.2 |
Проверка функционирования анализатора |
* |
* |
+ |
3.3.3 |
Чистка составных частей анализатора: |
* |
* |
* |
3.3.3.2 |
- чистка сенсорного индикатора; | |||
З.З.З.З |
- чистка жиклеров дозаторов; | |||
3.3.3.4 |
- чистка жиклера индикатора пото- | |||
ка; | ||||
3.3.3.5 |
- чистка датчика уровня. | |||
3.3.4 |
Замена (доливка) расходных материа- | |||
лов: | ||||
3.3.4.1 |
- замена стакана и (или) фильтра ВР49.12.410; |
* |
* |
* |
3.3.4.2 |
- доливка растворов реактивов в емкости В и (или) С; |
* |
* |
* |
3.3.4.3 |
- замена растворов реактивов в емкостях В одного типа на другой; |
* |
* |
* |
3.3.4.4 |
- замена калия гидроокиси или дистиллированной воды в буфере; |
* |
* |
+ |
3.3.4.5 |
- замена фильтрующего материала (синтепона) в стабилизаторе потока. |
* |
* |
* |
3.3.5 |
Замена изделий с ограниченным ресурсом: |
* |
* |
* |
3.3.5.1 |
- замена трубок; | |||
3.3.5.2 |
- замена колец уплотнительных. | |||
3.3.6 |
Проверка анализатора и корректировка электролитической постоянной Сд датчика проводимости ДП-А канала А: |
* |
* |
+ |
3.3.6.1 |
- проверка относительной погрешности блока преобразовательного; | |||
3.3.6.2 |
- корректировка электролитической постоянной Сд датчика проводимости ДП-А. | |||
3.3.7 |
Проверка показаний по температуре |
* |
* |
+ |
«+» - техническое обслуживание проводят;
«*» - техническое обслуживание проводят при необходимости.
Обнаруженные при ТО дефекты узлов и деталей, которые при дальнейшей эксплуатации оборудования могут нарушить его работоспособность или безопасность условий труда, должны немедленно устраняться. При невозможности устранения дефектов своими силами следует обратиться к разделу 4.
3.3 Техническое обслуживание составных частей
-
3.3.1 Внешний осмотр
При проведении внешнего осмотра анализатора проверяют:
-
- отсутствие механических повреждений;
-
- исправность разъемов, соединительных кабелей;
-
- отсутствие протечек в местах соединений гидравлических частей;
-
- правильность и четкость маркировки.
-
3.3.2 Проверка функционирования анализатора
Для проведения проверки функционирования анализатора выборочно проверяют работоспособность клавиш в соответствии с таблицей 1.4.
Результат проверки считают удовлетворительным, если при проверке функциональности клавиш они отвечают установленным в таблице 1.4 требованиям к назначению.
-
3.3.3 Чистка составных частей анализатора
3.3.3.1 Общие сведения
Перед проведением чистки анализатора перевести переключатель «СЕТЬ» в выключенное положение.
Чистку наружной поверхности анализатора в случае загрязнения производить с использованием мягких моющих средств, с последующим очищением мягкой тканью смоченной дистиллированной водой.
-
1 ПРЕДОСТЕРЕЖЕНИЕ: НЕ ДОПУСТИТЬ попадания жидкости на разъемы анализатора!
-
2 ПРЕДОСТЕРЕЖЕНИЕ: НЕ ИСПОЛЬЗОВАТЬ щелочные растворы при очистке блока преобразовательного!
Примечание-В качестве мягкого моющего средства можно использовать мыльный раствор: 40-50 г стружки мыла по ГОСТ 28546-2002 растворить в 300-400 см3 горячей воды.
3.3.3.2 Чистка сенсорного индикатора
Перед проведением чистки сенсорного индикатора перевести переключатель «СЕТЬ» в выключенное положение.
-
1 ПРЕДОСТЕРЕЖЕНИЕ: Очищать сенсорный индикатор мягкой тканью. НЕ ИСПОЛЬЗУЙТЕ влажную ткань, поскольку это может оставить разводы и повлиять на работу сенсора. При очистке сенсорного индикатора НЕ ОСТАВЛЯЙТЕ ПЫЛЬ В ЗАЗОРЕ МЕЖДУ КОРПУСОМ И СТЕКЛОМ!
-
2 ПРЕДОСТРЕЖЕНИЕ: НЕ ИСПОЛЬЗУЙТЕ РАСТВОРИТЕЛИ И ПРОМЫШЛЕННЫЕ СПИРТОСОДЕРЖАЩИЕ ОЧИСТИТЕЛИ при очистке сенсорного индикатора!
-
3 ПРЕДОСТЕРЕЖЕНИЕ: НЕ РАСПЫЛЯЙТЕ ЖИДКОСТИ И ЧИСТЯЩИЕ ВЕЩЕСТВА НЕПОСРЕДСТВЕННО НА СЕНСОРНЫЙ ИНДИКАТОР!
Чистку сенсорного индикатора в случае загрязнения производить средствами предназначенными для очистки дисплеев.
-
3.3.3.3 Чистка жиклеров дозаторов
Перед чисткой жиклеров дозаторов рекомендуется проверить работу дозаторов. Для этого:
- провести прокачку реактивов нажав на клавиши:
СЕРВИСНОЕ МЕНЮ
С=>

ПРОКАЧКА РЕАКТИВОВ

Прокачка реактивов будет завершена через 10 с. Проконтролировать отсутствие пузырьков воздуха в трубках подачи реактивов от емкостей В и С к смесительному устройству. При наличии пузырьков воздуха в трубках, провести прокачку реактивов повторно.
-
- перейти в экран режима измерений;
-
- ожидать 15 мин.
на экране
и (или)
Если через 15 мин индикация неисправности измерений не исчезла, следует провести чистку жиклеров дозаторов.
Жиклеры дозаторов расположены в смесительном устройстве в соответствии с рисунком 3.1.
Вид с местным разрезом
4 шт.
Кронштейн дозатора
4 шт.
Дозатор В
Винт крепления кронштейна дозатора

Смесительное устройство
Жиклер дозатора
2 шт.
Рисунок 3.1 - Расположение жиклеров дозаторов
Для чистки жиклера дозатора необходимо:
- остановить процесс измерений анализатора, нажав клавиши:

СТОП/СТАРТ
СЕРВИСНОЕ МЕНЮ

- перекрыть подачу анализируемой среды к анализатору;
-
- слить анализируемую среду из гидравлической системы анализатора;
-
- отвернуть на один оборот каждый стакан емкостей В и С;
-
- отвернуть винт крепления кронштейна дозатора;
-
- снять кронштейн дозатора;
-
- сдвинуть дозатор вверх и снять его;
-
- установить на шприц трубку ПВХ СТ-18 0внутр 2,5x1;
-
- набрать в шприц 5 см3 дистиллированной воды;
-
- извлечь жиклер дозатора из смесительного устройства с помощью пинцета;
-
- установить жиклер дозатора в свободный конец трубки ПВХ СТ-18 0внутр.2,5х15
-
- очистить жиклер дозатора в соответствии с рисунком 3.2, удерживая его в руках;
Примечание - Допускается чистка жиклера дозатора тонкой проволокой (диаметр отверстия жиклера 0,5 мм).



- Направление движения потока дистиллированной воды либо воздуха.

- Направление движения штока.
Рисунок 3.2 - Чистка жиклера дозатора
- установить на место жиклер дозатора, дозатор и кронштейн дозатора;
-
- ввернуть винт крепления кронштейна дозатора;
ВНИМАНИЕ: НЕ ПРИКЛАДЫВАТЬ чрезмерные усилия во избежание повреждения резьбы!
-
- завернуть стаканы емкостей В и С, обеспечив герметичность соединения;
-
- возобновить подачу анализируемой среды к анализатору;
-
- возобновить процесс измерений анализатора, нажав клавиши
-
- осуществить прокачку реактива через дозаторы, для этого нажать:
СЕРВИСНОЕ МЕНЮ
ПРОКАЧКА РЕАКТИВОВ
Прокачка реактивов будет завершена через 10 с. Проконтролировать отсутствие пузырьков воздуха в трубках подачи реактивов от емкостей В и С к смесительному устройству. При наличии пузырьков воздуха в трубках, провести прокачку реактивов повторно.
-
3.3.3.4 Чистка жиклера индикатора потока
Жиклеры индикатора потока расположены в крайних штуцерах на входе индикатора потока в соответствии с рисунком 3.3.
Трубка TD0425
Вид с местным разрезом
Индикатор
потока
Накидная гайка штуцера индикатора потока Штуцер индикатора потока

Жиклер индикатора потока 2 шт.
Рисунок 3.3 — Расположение жиклеров индикатора потока Для чистки отверстия жиклера индикатора потока необходимо:
- остановить процесс измерений анализатора, нажав клавиши:

с>

-
- перекрыть подачу анализируемой среды к анализатору;
-
- отвернуть накидную гайку штуцера индикатора потока;
-
- снять трубку TD0425 со штуцера;
-
- установить на шприц трубку ПВХ СТ-18 0внугр2,5х 1;
-
- набрать в шприц 5 см3 дистиллированной воды;
-
- установить свободный конец трубки ПВХ СТ-18 0внутр.2,5х1 на штуцер индикатора потока;
- очистить жиклер индикатора потока, в соответствии с рисунком 3.4;
Шток
Шприц 5 см3
Индикатор потока
Вода
дистиллированная
Трубка ПВХ-СТ 18
0внутр.2,5х 1


- Направление движения потока дистиллированной воды либо воздуха.

- Направление движения штока.
Рисунок 3.4- Чистка жиклера индикатора потока
Примечание - Допускается чистка жиклера индикатора потока тонкой проволокой (диаметр отверстия жиклера 0,4 мм).
-
- установить трубку TD0425 на штуцер индикатора потока;
-
- навернуть накидную гайку;
-
- возобновить подачу анализируемой среды к анализатору;
-
- возобновить процесс измерений анализатора, нажав клавиши
-
3.3.3.5 Чистка датчика уровня
Датчик уровня расположен в переливном устройстве.
Для чистки датчика уровня, в соответствии с рисунком 3.5, необходимо:

а
Рисунок 3.5 - Чистка датчика уровня

- остановить процесс измерений анализатора, нажав клавиши:


-
- перекрыть подачу анализируемой среды к анализатору;
-
- отвернуть крышку, расположенную на переливном устройстве;
-
- протереть датчик уровня ватной палочкой;
-
- завернуть крышку в переливное устройство;
-
- возобновить подачу анализируемой среды к анализатору;
- возобновить
процесс
измерений анализатора,
нажав клавиши
-
3.3.4 Замена расходных материалов
-
3.3.4.1 Замена стакана и (или) фильтра ВР49.12.410
Для этого необходимо:
-
- остановить процесс измерений анализатора, нажав клавиши:
О
СЕРВИСНОЕ МЕНЮ
-
-
- отвернуть стакан от корпуса емкости в соответствии с рисунком 2.7, п. 2.3.4.1;
-
- заменить, при необходимости, на новый - фильтр ВР49.12.410 и (или) стакан;
-
- залить в стакан не более 200 см3 свежего раствора реактива, выбранного в зависимости от анализируемой среды, в соответствии с таблицей 2.3;
Примечание - Методика приготовления растворов реактивов в соответствии с приложением Б.
-
- завернуть стакан на корпус емкости, обеспечив герметичность соединения;
-
- возобновить процесс измерений анализатора, нажав клавиши
® О
-
- осуществить прокачку реактивов, для этого нажмите:
О
ПРОКАЧКА РЕАКТИВОВ
СЕРВИСНОЕ МЕНЮ
О
Прокачка реактивов будет завершена через 10 с. Проконтролировать отсутствие пузырьков воздуха в трубках TD0425 подачи реактивов от емкостей В и С к смесительному устройству. При наличии пузырьков воздуха в трубках, провести прокачку реактивов повторно.
-
3.3.4.2 Доливка растворов реактивов в емкости В и (или) С
ВНИМАНИЕ: Доливать растворы реактивов в емкости В и (или) С одного, который был залит ранее!
Для этого необходимо:
- остановить процесс измерений анализатора, нажав клавиши:

СЕРВИСНОЕ МЕНЮ

СТОП/СТАРТ

-
- отвернуть стакан от корпуса емкости в соответствии с рисунком 2.7, п. 2.3.4.1;
-
- долить в стакан не более 200 см3 свежего раствора реактива, выбранного в зависимости от анализируемой среды, в соответствии с таблицей 2.3;
Примечание - Методика приготовления растворов реактивов в соответствии с приложением Б.
-
- завернуть стакан на корпус емкости, обеспечив герметичность соединения;
-
- возобновить процесс измерений анализатора, нажав клавиши
При доливке раствора реактива с массовой концентрацией отличающей более чем на 20 % от предыдущий, после возобновления процесса измерений осуществить прокачку реактивов, нажав клавиши:
СЕРВИСНОЕ МЕНЮ


ПРОКАЧКА РЕАКТИВОВ

Прокачка реактивов будет завершена через 10 с. Проконтролировать отсутствие пузырьков воздуха в трубках TD0425 подачи реактивов от емкостей В и С к смесительному устройству. При наличии пузырьков воздуха в трубках, провести прокачку реактивов повторно.
-
3.3.4.3 Замена раствора реактива в емкости В одного типа на другой
Замена раствора реактива в емкости В одного типа на другой требуется:
- при замене раствора литий гидроксида на раствор кислоты соляной, муравьиной либо хлорной - если был изменен параметр анализируемой среды «ЧИСТАЯ ВОДА» на параметр «АММИАК» или «АМИНЫ»;
- при замене ранее залитой кислоты на кислоту соляную, муравьиную либо хлорную - если установлен параметр анализируемой среды «АММИАК» или «АМИНЫ».
Для этого необходимо:
- остановить процесс измерений анализатора, нажав клавиши:


-
- отвернуть на один оборот стакан емкости В;
-
- отсоединить трубки TD0425 для подачи реактивов от емкостей В и С к смесительному устройству предварительно отвернув накидные гайки входных штуцеров дозаторов В и С, изображенные на рисунке 3.6;
Рисунок 3.6- Расположение накидных гаек входных штуцеров дозаторов В и С
-
- отвернуть стакан от корпуса емкости в соответствии с рисунком 2.7, п. 2.3.4.1 и промыть дистиллированной водой;
-
- залить в стакан не более 200 см3 дистиллированной воды;
-
- завернуть стакан на корпусу емкости, обеспечив герметичность соеди-
нения;
- подсоединить трубки TD0425 для подачи реактивов от емкостей В и С к смесительному устройству;
А ПРОКАЧКА I—S. I—S. ф РЕАКТИВОВ
качка будет завершена через 10 с;
- нажать клавиши
. Про-
нажать клавиши
О
СТОП/СТАРТ
•5
-
- отвернуть стакан от корпуса емкости в соответствии с рисунком 2.7, п. 2.3.4.1;
-
- залить в стакан не более 200 см3 свежего раствор реактива, выбранного в зависимости от анализируемой среды, в соответствии с таблицей 2.3;
Примечание - Методика приготовления растворов реактивов в соответствии с приложением Б.
-
- завернуть стакан на корпус емкости, обеспечив герметичность соединения;
-
- возобновить процесс измерений нажав клавиши:
А ПРОКАЧКА /С\
__J r-s. Am
Прокачка реактивов будет завершена через 10 с. Проконтролировать отсутствие пузырьков воздуха в трубках TD0425 подачи реактивов от емкостей В и С к смесительному устройству. При наличии пузырьков воздуха в трубках, провести прокачку реактивов повторно.
-
3.3.4.4 Замена калия гидроокиси или дистиллированной воды в буфере
Для этого необходимо использовать установку в соответствии с рисунком 2.8:
-
- остановить процесс измерений анализатора, нажав клавиши:
СЕРВИСНОЕ МЕНЮ
-
- отвернуть винт от корпуса буфера;
-
- промыть внутреннюю полость буфера дистиллированной водой несколько раз, используя шприц с установленной трубкой ПВХ СТ-18 0внутр.2,5 х 1,
-
- за время, не более 5 мин:
а) набрать в шприц 5 см3, только что приготовленного, раствора калия гидроокиси либо дистиллированной воды;
б) залить в буфер;
в) завернуть винт в буфер, обеспечив герметичность соединения;
-
- возобновить процесс измерений анализатора, нажав клавиши
® о хз
Примечание - Методика приготовления калия гидроокиси в соответствии с приложением Б.
-
3.3.4.5 Замена фильтрующего материала (синтепона) в стабилизаторе потока
Для этого необходимо:
- остановить процесс измерений анализатора, нажав клавиши:
О
СЕРВИСНОЕ МЕНЮ
-
- перекрыть подачу анализируемой среды к анализатору;
-
- слить анализируемую среду из гидравлической системы анализатора;
-
- отвернуть крышку фильтра с помощью ключа в соответствии с рисунком 3.7;
Фильтр
Крышка фильтра
Ключ
Стабилизатор
потока
Рисунок 3.7 - Замена фильтрующего материала в стабилизаторе потока
-
- заменить фильтрующий материал (синтепон), в количестве 0,1 г, на новый;
-
- завернуть крышку фильтра на место, обеспечив герметичность соединения.
-
- возобновить подачу анализируемой среды к анализатору;
-
- возобновить процесс измерений анализатора, нажав клавиши
Примечания
-
1 Синтепон и ключ входят в комплекты запасных частей ВР52.13.000 и инструмента и принадлежностей ВР52.14.000 соответственно.
-
2 Ключ рекомендуется хранить в контейнере в нижней части передней панели, под открывающейся дверцей.
-
3.3.5 Замена изделий с ограниченным ресурсом
-
3.3.5.1 Замена трубок
Замену трубок производить в случае их повреждения. Типоразмер и материал применяемых трубок приведены в таблице 3.2. Расположение трубок внутри анализатора отображено на рисунке 3.8.
Таблица 3.2
Цвет (условно)

Типоразмер и материал
Количество, шт.
3
15
5
1
Трубка ПВХ СТ-18 0внугр.16х2
Трубка TD0425 фторопластовая Трубка TD0604 фторопластовая
Труба AISI 316L 0наруж 6х 1
Примечания
-
1 Цвета трубок изображены условно.
-
2 Электрические соединения и панель передняя условно не изображены.
Для замены трубок необходимо:
- остановить процесс измерений анализатора, нажав клавиши:


|=>
-
- перекрыть подачу анализируемой среды к анализатору;
-
- слить анализируемую среду из гидравлической системы анализатора, а также растворы реактивов из емкостей при необходимости.
-
- заменить поврежденную трубку;
-
- залить растворы реактивов в емкости, если они были удалены ранее, в соответствии с п. 2.3.4.1;
-
- возобновить подачу анализируемой среды к анализатору;
-
- ожидать 10 мин;
возобновить
процесс
измерений анализатора, нажав
клавиши
- проконтролировать герметичность гидравлической системы анализатора;
- осуществить прокачку реактивов, при замене трубок подачи реактивов от емкостей В и С к смесительному устройству, для этого нажмите:
СЕРВИСНОЕ МЕНЮ
tz>

ПРОКАЧКА РЕАКТИВОВ
tz>

Прокачка реактивов будет завершена через 10 с. Проконтролировать отсутствие пузырьков воздуха в трубках подачи реактивов от емкостей В и С к смесительному устройству. При наличии пузырьков воздуха в трубках, провести прокачку реактивов повторно.
-
3.3.5.2 Замена колец уплотнительных
Замену колец уплотнительных производить в случае их повреждения. Типоразмер и материал применяемых колец приведены в таблице 3.3.
Таблица 3.3
Наименование составной части анализатора |
Материал |
Типоразмер по ГОСТ 9833-73 |
Количество, шт. |
Буфер |
Резина |
005-008-19 |
1 |
Крышка фильтра |
020-025-30 |
1 | |
Емкость В или С |
силикон |
040-44-25 |
2 |
Перед проведением замены колец уплотнительных:
- остановить процесс измерений анализатора, нажав клавиши:


laiHiiKiio
-
- перекрыть подачу и слить анализируемую среду из гидравлической системы анализатора при замене кольца уплотнительного у крышки фильтра;
-
- слить раствор реактива из емкости В или С при замене кольца уплотнительного на корпусе емкости;
-
- заменить поврежденное кольцо уплотнительное;
-
- возобновить подачу анализируемой среды к анализатору, если она была перекрыта ранее;
-
- залить растворы реактивов в емкости, если они были удалены ранее, в соответствии с п. 2.3.4.1;
-
- ожидать 10 мин;
-
- возобновить процесс измерений анализатора, нажав клавиши
-
- проконтролировать герметичность гидравлической системы анализатора.
-
3.3.6 Проверка анализатора и корректировка электролитической постоянной СА датчика проводимости ДП-А
3.3.6.1 Проверка относительной погрешности блока преобразовательного
Собирают установку в соответствии с рисунком 3.8.
Вместо датчика проводимости ДП-А подключают магазин сопротивления либо резистор, через имитатор блока датчиков. Для этого необходимо:
-
- отсоединить разъем (розетка PC 1 ОТВ) от блока датчиков;
-
- подключить разъем (розетка PC 1 ОТВ) к вилке РСГ10ТВ имитатора блока датчиков;
-
- подключить к контактам ДП-А имитатора блока датчиков магазин сопротивления либо резистор.
Переходят в меню ПОВЕРКА и далее в подменю ЭВ УДЕЛЬНАЯ ЭЛЕКТРИЧЕСКАЯ ПРОВОДИМОСТЬ, где устанавливают:
-
- имитируемое программным обеспечением (ПО) значение температуры 25 °C;
-
- постоянную датчика проводимости ДП-А равной 0,2400 см'1.
Значения сопротивления RA, устанавливаемые магазином сопротивления либо резистором, имитирующими УЭП в канале А и расчетные значения УЭП указаны в таблице 3.4.
Таблица 3.4
Участок диапазона измерения |
Значение сопротивления Ra, кОм |
Расчетное значение Храсч, мкСм/см |
0-20 % |
240,00 |
1,000 |
45-55 % |
16,00 |
15,00 |
80-100% |
8,00 |
30,00 |
Примечание - Для установки значений сопротивлений:
а) 240 кОм применяют резистор С2-29В с допускаемым отклонением не более ± 0,25 %;
б) 16 кОм и 8 кОм применяют магазин сопротивления.

Имитатор блока датчиков
Примечание - Составные части анализатора, электрические и гидравлические соединения, соответствующие рабочему состоянию анализатора и неизменяемые при проведении проверки, не изображены.
Рисунок 3.9 - Проверка относительной погрешности блока преобразовательного
Зафиксировать показания анализатор по УЭП / («ЭЭ»), мкСм/см, в трех точках диапазона измерений для значений сопротивления RA, кОм.
Рассчитать расчетное значение при измерении УЭП %расч, мкСм/см, опре-
деляемое по формуле: |
0,24-103 /рЯСЧ = D С3-1) КА |
где 0,24 - значение электролитической постоянной датчика проводимости канала А, введенное в память анализатора, см’1;
RA - значение, установленное резисторами, имитирующем УЭП в канале А, кОм.
Рассчитать относительную погрешность блока преобразовательного д£п, %, при измерении УЭП для всех зафиксированных показаний по формуле 8%п = %R - Храсч 100 % _ (3 >2)
Xr
Если для всех измерений <5%п , %, находится в пределах:
- 0,5 < < 0,5
можно перейти к п. 3.3.6.2.
Если 5%п, %, выходит за установленные пределы, анализатор подлежит ремонту в заводских условиях.
-
3.3.6.2 Корректировка электролитической постоянной СА датчика проводимости канала А
Для проверки электролитической постоянной СА датчика проводимости канала А необходимо собрать установку в соответствии с рисунком 3.10. Для этого:
-
- залить в сосуд объемом 5 дм3 (например, стакан Н-1-5000 ТС) дистиллированную воду;
-
- поместить в сосуд эталонный термометр;
-
- установить с помощью насоса проток дистиллированной воды через электролитическую ячейку эталонного кондуктометра и через блок датчиков анализатора;
Кондуктометр
лабораторный КЛ-С-1А
Блок
преобразовательный

Насос
Стакан Н-1-5 000 ТС
Электролитическая ячейка эталонного кондуктометра
Термометр лабораторный
Вода дистиллированная
датчиков
Примечание - Электрические и гидравлические соединения, соответствующие рабочему состоянию анализатора и неизменяемые при проведении проверки, не изображены.
Рисунок 3.10 - Корректировка электролитической постоянной С а датчика проводимости канала А
-
- разместить анализатор, электролитическую ячейку эталонного кондуктометра и сосуд с дистиллированной водой в одинаковых температурных условиях при температуре (20 ± 5) °C;
-
- переходят в меню ПОВЕРКА, далее подменю 36 УДЕЛЬНАЯ ЭЛЕКТРИЧЕСКАЯ ПРОВОДИМОСТЬ и выбирают постоянную датчика ДП-А СА, см’1, указанную в п. 2.5 паспорта ВР52.00.000ПС (в дальнейшем паспорт);
-
- включить эталонный кондуктометр и устанавливают соответствующий диапазон;
-
- отключить термокомпенсацию эталонного кондуктометра, если она была включена ранее.
Определить значение УЭП раствора хэтал, мкСм/см, по эталонному кондуктометру и х, мкСм/см, по проверяемому анализатору.
Рассчитать новое значение электролитической постоянной СА датчика проводимости канала А СНА, см’1, по формуле:

этап



(3.3)
где СА - старое значение электролитической постоянной СА датчика проводимости канала А, введенное в память анализатора, см'1.
Хэтал ~ значение УЭП раствора, определенное по эталонному кондуктометру, мкСм/см;
X - значение УЭП раствора, определенное по проверяемому анализатору, мкСм/см;
Xr - показания индикатора блока преобразовательного в режиме измерения УЭП с применением резистора с номинальным значения 16 кОм, мкСм/см (п. 3.3.6.1);
Храсч ~ расчетное значение показаний индикатора блока преобразовательного с применением резистора с номинальным значения 16 кОм, мкСм/см (п. 3.3.6.1).
Полученное значение занести в паспорт в таблицу 2.3 и ввести в память анализатора.
-
3.3.7 Проверка показаний по температуре
Для выполнения проверки показаний по температуре датчика температуры, в соответствии с рисунком 3.11, необходимо включить анализатор, извлечь датчик температуры из блока датчиков и поместить полностью погруженным в стакан (например, стакан Н-1-5000ТС ГОСТ 25336-82 ) с водой комнатной температуры на 15 мин. Рядом с датчиком температуры поместить лабораторный термометр. Разница между показаниями анализатора и лабораторного термометра не должна выходить за пределы ± 0,3 °C.
Если показания выходят за установленные пределы, анализатор подлежит ремонту в заводских условиях.

Примечание - Составные части анализатора, электрические и гидравлические соединения, соответствующие рабочему состоянию анализатора и неизменяемые при проведении проверки, не изображены.
Рисунок 3.11 - Проверка показаний по температуре
-
4 ТЕКУЩИЙ РЕМОНТ
-
4.1 Общие сведения
-
Текущий ремонт, а также гарантийный ремонт, осуществляются в ООО «ВЗОР».
Для этого следует подготовить анализатор, упаковать и отправить его предприятию-изготовителю для осуществления ремонта.
Примечание-В случае гарантийного ремонта с анализатором отправляется оригинал рекламации, в остальных случаях - заявка на проведение ремонта.
-
4.2 Подготовка анализатора
Для этого следует:
-
- выключить анализатор;
-
- перекрыть подачу анализируемой среды к анализатору;
-
- отсоединить источник питания ИП-1002 от:
а) сети переменного тока;
б) анализатора;
-
- отсоединить от разъема блока преобразовательного внешние регистрирующие и сигнализирующие устройства;
-
- слить анализируемую среду из гидравлической системы анализатора;
-
- слить растворы реактивов из емкостей, для этого:
а) отвернуть на один оборот каждый стакан емкостей В и С;
б) отсоединить трубки TD0425 для подачи реактивов от емкостей В и С к смесительному устройству предварительно отвернув накидные гайки входных штуцеров дозаторов В и С;
в) отвернуть стаканы от корпусов емкостей В и С;
-
- промыть стаканы водой очищенной для химического анализа по ОСТ 34-70-953.2-88;
-
- завернуть стаканы на корпус емкости;
ВНИМАНИЕ: Разрешается сливать растворы реактивов только в специально подготовленную посуду с крышками. НЕ ДОПУСКАЕТСЯ сливать растворы в общую канализационную сеть!
-
- отсоединить гидравлические соединения обеспечивающие вход и выход анализируемой среды к анализатору;
-
- отсоединить заземляющие проводники от клемм заземления « »
анализатора.
-
4.3 Упаковка анализатора
Для этого следует:
-
- уложить составные части анализатора фанерный ящик с деревянным каркасом;
-
- уложить в отдельный герметичный полиэтиленовый пакет (рекомендуется использовать пакет с замком типа «Молния»):
а) руководство по эксплуатации ВР52.00.000РЭ;
б) паспорт ВР52.00.000ПС;
в) оригинал сопроводительного письма (акт рекламации).
Примечание - Пример сопроводительного письма расположен на сайте www.vzornn.ru в разделе «Наши услуги» - «Сервисное сопровождение» - «Рекомендации и контакты для отправки в ремонт приборов МАРК».
-
- свободное пространство в фанерном ящике заполнить амортизационным материалом;
-
- закрыть фанерный ящик крышкой;
-
- нанести маркировку по ГОСТ 14192-96 и манипуляционные знаки «Хрупкое. Осторожно», «Беречь от влаги», «Верх», «Пределы температуры».
-
5 ТРАНСПОРТИРОВАНИЕ
Транспортирование анализаторов производится в упаковке предприятия-изготовителя в закрытом железнодорожном или автомобильном транспорте в условиях хранения 5 по ГОСТ 15150-69 при температурах от минус 20 до плюс 50 °C по правилам и нормам, действующим в каждом виде транспорта.
-
6 ХРАНЕНИЕ
-
6,1 Условия хранения до ввода в эксплуатацию
Хранение анализаторов производится в упаковке предприятия-изготовителя в условиях хранения 1 по ГОСТ 15150-69.
В помещениях для хранения не должно быть пыли, паров кислот и щелочи, агрессивных газов и других вредных примесей, вызывающих коррозию.
Место хранения должно быть чистым, прохладным, сухим, вентилируемым и защищенным от атмосферных осадков.
-
6.2 Условия хранения после эксплуатации
ВНИМАНИЕ: Перед кратковременным либо длительным перерывом в работе анализатора растворы реагентов из емкостей В или С и буфера следует СЛИТЬ И ПРОМЫТЬ ГИДРАВЛИЧЕСКУЮ СИСТЕМУ АНАЛИЗАТОРА ВОДОЙ очищенной для химического анализа по ОСТ 34-70-953.2-88!
6.2.1 Подготовка к хранению на срок до 12 месяцев (кратковременный перерыв в работе)
Для этого следует:
-
- выключить анализатор;
-
- перекрыть подачу анализируемой среды к анализатору;
-
- слить растворы из емкостей и промыть гидравлическую систему анализатора водой очищенной для химического анализа по ОСТ 34-70-953.2-88;
-
- слить оставшуюся жидкость из гидравлической системы анализатора.
-
6.2.2 Подготовка к хранению на срок более 12 месяцев (длительный перерыв в работе)
Для этого следует:
-
- подготовить и упаковать анализатор в соответствии с пп. 4.2-4.3;
-
- организовать хранение в соответствии с п. 6.1.
Примечание - Хранение анализатора производится без средств временной противокоррозионной защиты (ВЗ-0 по ГОСТ 9.014-78).
-
6.3 Ввод в эксплуатацию после хранения
6.3.1 Ввод в эксплуатации после хранения в течение 12 месяцев
Для этого следует осуществить подготовку к измерениям в соответствии с п. 2.3.4.
-
6.3.2 Ввод в эксплуатацию после хранения более 12 месяцев
Распаковать анализатор и подготовить к работе в соответствии с разделом. 2.
ПРИЛОЖЕНИЕ А
(обязательное)
УТВЕРЖДАЮ

Анализатор pH
МАРК-9010
Методика поверки
СОГЛАСОВАНО
Директор QOO «ВЗОР»

Е.В. Киселев
ООО « ВЗОР»
А.К. Родионов
г. Нижний Новгород 2017 г.

А. 1 Область применения
Настоящая методика распространяется на анализатор pH МАРК-9010 (далее анализатор), предназначенный для измерений pH и удельной электрической проводимости (УЭП), pH и УЭП, приведенных к 25 °C (УЭП25 и рН25), сверхчистых водных сред с УЭП менее 1,0 мкСм/см, включая воду с УЭП25, приближающейся к значению теоретически чистой воды 0,055 мкСм/см, и щелочных водных сред с УЭП до 30 мкСм/см, содержащих аммиак и (или) амины, а также для измерений температуры водных сред и устанавливает методы и средства его первичной и периодической поверки.
Интервал между поверками - 2 года.
А.2 Нормативные ссылки
Настоящая методика разработана на основании документов:
ГОСТ Р 8.722-2010 ГСИ. Анализаторы жидкости кондуктометрические. Методика поверки.
Р 50.2.036-2004 ГСИ. pH-метры и иономеры. Методика поверки.
А.З Метрологические характеристики анализатора, проверяемые при поверке
А.3.1 Пределы допускаемой основной абсолютной погрешности анализатора при измерении УЭП при температуре анализируемой среды (25,0 ± 0,2) °C, окружающего воздуха (20 ± 5) °C должны быть, мкСм/см.....................................................................± (0,003 + 0,02%),
где % - измеренное значение УЭП.
А.З.2 Пределы допускаемой относительной погрешности определения электролитической постоянной Са датчика проводимости канала А должны быть, %.......................................................................................± 1.
А.3.3 Пределы допускаемой дополнительной абсолютной погрешности анализатора при измерении УЭП, обусловленной изменением температуры анализируемой среды на ± 15 °C от рабочего значения 25 °C (погрешность термокомпенсации) должны быть, мкСм/см..........................................± 0,02%.
А.3.4 Пределы допускаемой основной абсолютной погрешности блока преобразовательного при измерении pH при температуре анализируемой среды (25,0 ± 0,2) °C, окружающего воздуха (20 ± 5) °C должны быть, pH:
-
- на поддиапазонах pH от 5,60 до 7,00 и св. 7,30 до 10,00.............± 0,05;
-
- на поддиапазоне pH от 7,00 до 7,30 включ.............................±0,15.
А.3.5 Пределы допускаемой дополнительной абсолютной погрешности блока преобразовательного при измерении рН25, обусловленной изменением температуры анализируемой среды на ± 15 °C от рабочего значения 25 °C (погрешность температурной компенсации) должны быть, pH:
-
- на поддиапазоне рН25 от 5,60 до 7,00 и св. 7,30 до 10,00............±0,01;
-
- на поддиапазоне рН25 от 7,00 до 7,30 включ...........................±0,15.
А.3.6 Пределы допускаемой основной приведенной погрешности преобразования измеренного значения УЭП в выходной ток анализатора при температуре окружающего воздуха (20 ± 5) °C, должны быть, % от диапазона токового выхода (0-5, 4-20, 0-20 мА)......................................................± 0,5.
А.3.7 Пределы допускаемой основной приведенной погрешности преобразования измеренного значения pH в выходной ток анализатора при температуре окружающего воздуха (20 ± 5) °C, должны быть, % от диапазона токового выхода (0-5, 4-20, 0-20 мА)............................................................±0,5.
А.3.8 Пределы допускаемой основной абсолютной погрешности анализатора при измерении температуры анализируемой среды при температуре окружающего воздуха (20 ± 5) °C должны быть, °C.....................................±0,3.
А.4 Операции поверки
При проведении поверки должны выполняться операции, указанные в таблице А.4.1.
Таблица А.4.1
Наименование операции |
Номера пп. методики поверки |
Необходимость проведения операции при | |
первичной поверке |
периодической поверке | ||
1 Внешний осмотр |
А.10.1 |
± |
± |
2 Опробование |
А. 10.2 |
+ |
+ |
3 Определение основной абсолютной погрешности анализатора при измерении УЭП |
А.10.3 |
+ |
± |
Продолжение таблицы А.4.1
Наименование операции |
Номера пп. методики поверки |
Необходимость проведения операции при | |
первичной поверке |
периодической поверке | ||
4 Определение относительной погрешности определения электролитической постоянной СА датчика проводимости канала А |
АЛОЭ |
+ |
+ |
5 Определение основной приведенной погрешности преобразования измеренного значения УЭП в выходной ток анализатора |
А.Ю.З |
+ |
+ |
6 Определение основной абсолютной погрешности блока преобразовательного при измерении pH |
А.10.4 |
+ |
+ |
7 Определение основной приведенной погрешности преобразования измеренного значения pH в выходной ток анализатора |
А.10.4 |
+ |
+ |
8 Определение дополнительной абсолютной погрешности анализатора при измерении УЭП, обусловленной изменением температуры анализируемой среды |
АЛОЗ |
+ |
+ |
9 Определение дополнительной абсолютной погрешности блока преобразовательного при измерении рНг5, обусловленной изменением температуры анализируемой среды |
АЛО.б |
+ |
+ |
10 Определение основной абсолютной погрешности анализатора при измерении температуры анализируемой среды |
АЛОЗ |
+ |
+ |
Примечания
-
1 Знак «+» означает, что операцию проводят.
-
2 При получении отрицательного результата после любой из операций по-верка прекращается, анализатор бракуется.
А.5 Средства поверки
Для проведения поверки должны быть применены средства, указанные в таблице А.5.1.
Таблица А. 5.1
Номер пункта методики поверки |
Перечень основных и вспомогательных средств поверки |
Кол-во |
А.8 |
Гигрометр психрометрический типа ВИТ-1 Диапазон измерения относительной влажности воздуха от 20 до 90 %. Абсолютная погрешность измерения ± 7 %. |
1 |
А.8 |
Барометр-анероид БАММ-1 Диапазон измеряемого давления от 80 до 106 кПа. Предел допускаемой основной абсолютной погрешности ± 0,2 кПа. |
1 |
А.8, А.Ю.З, А.10.4 |
Мультиметр цифровой АРРА-305 Используемый предел измерения переменного напряжения 400 В; основная абсолютная погрешность измерения, В: ± (0,007Х + 0,05), где X - измеренное, значение переменного напряжения, В. Используемый предел измерения силы постоянного тока 40 мА; основная абсолютная погрешность измерения, мА: ± (0,002Х + 0,004), где X - измеренное значение силы постоянного тока, мА. |
1 |
А.8 |
Вольтметр универсальный В7-53/1 Основная погрешность определения электрического сопротивления, %: Г (Rk Y ± 0,15 + 0,006 --1 L 1 я* ) где Rk - предел измерения сопротивления; Rx - измеренное значение сопротивления. |
1 |
А. 10.2 А.Ю.З |
Секундомер механический СОСпр-2б-2-010 |
1 |
Продолжение таблицы А. 5.1
Номер пункта методики поверки |
Перечень основных и вспомогательных средств поверки |
Кол-во |
А.10.7 |
Термостат жидкостный ТЖ-ТС-01/26 Диапазон регулирования температуры от 10 до 100 °C. Погрешность поддержания температуры не более ± 0,1 °C. |
1 |
А.10.3, А.10.7 |
Термометр лабораторный электронный ЛТ-300 Диапазон измерения от минус 50 до плюс 300 °C, погрешность измерения ± 0,05 °C |
1 |
А.10.3, А.10.4, А.10.6 |
Магазин сопротивлений Р4831 Диапазон от 0,002 до 100000 Ом, класс точности 0,02/2-10’6. |
1 |
А.10.3 |
Рабочий эталон второго разряда - кондуктометр лабораторный КЛ-С-1А, класс точности 0,25 |
1 |
А.10.3 |
Насос А-07012 Cole-Parmer. Производительность 2,52 л/мин |
1 |
А.10.3 |
Стакан Н-1-5000 ТС ГОСТ 23932-90 |
1 |
А.10.3, А.10.7 |
Вода дистиллированная ГОСТ 6709-72 |
— |
А.10.3 А.10.4 А.10.5 А.10.6 |
Резисторы ОЖ0.467.093ТУ: С2-29В-0,125-240 кОм ± 0,25 % С2-29В-0,125-24 кОм ± 0,25 % |
1 1 |
Примечания
-
1 Допускается применение других средств измерений, не приведенных в перечне, но обеспечивающих определение метрологических характеристик с необходимой точностью.
-
2 Для измерений температуры допускается применение других средств измерений с погрешностью измерений не хуже ± 0,1 °C.
Средства измерений должны быть поверены и иметь действующие свидетельства о поверке или знаки поверки.
Испытательное оборудование должно иметь отметки, подтверждающие его годность в соответствии с требованиями их технической документации.
А.6 Требования к квалификации поверителя
К проведению поверки анализаторов допускаются лица, имеющие высшее или среднетехническое образование, опыт работы в области аналитической химии, ежегодно проходящие проверку знаний по технике безопасности, владеющие техникой потенциометрических измерений, изучившие настоящую методику поверки и аттестованные в качестве поверителя.
А.7 Требования безопасности
А.7.1 При проведении поверки соблюдают требования техники безопасности:
-
- при работе с химическими реактивами - по ГОСТ 12.1.007-76 и ГОСТ 12.4.021-75;
-
- при работе с электроустановками - по ГОСТ Р 12.1.019-2009 и ГОСТ 12.2.007.0-75.
А.7.2 Помещение, в котором осуществляется поверка, должно соответствовать требованиям пожарной безопасности по ГОСТ 12.1.004-91 и иметь средства пожаротушения по ГОСТ 12.4.009-83.
А.7.3 Исполнители должны быть проинструктированы о мерах безопасности, которые должны соблюдаться при работе с анализаторами, в соответствии с инструкциями, прилагаемыми к приборам. Обучение работающих лиц правилам безопасности труда должно проводиться по ГОСТ 12.0.004-2015.
А. 8 Условия проведения поверки
А.8.1 Поверка должна проводиться в следующих условиях:
-
- температура окружающего воздуха, °C................................(20 ±5);
-
- относительная влажность воздуха, %..............................от 30 до 80;
-
- атмосферное давление, кПа..................................от 84,0 до 106,7;
- питание - от сети переменного тока частотой (50,0 ± 0,5) Гц и напряжением (220 ± 4,4).
А.8.2 Вибрация, тряска, удары, влияющие на работу анализатора, не допускаются.
А.9 Подготовка к поверке
А.9.1 Перед проведением поверки анализатор подготавливают к работе в соответствии с пп. 2.3.1, 2.3.2.
А.9.2 Вводят значение электролитической постоянной датчика проводимости ДП-А, указанное в п. 2.5 паспорта ВР52.00.000ПС (в дальнейшем паспорт), при несоответствии в подменю «С ПОСТОЯННЫЕ ДАТЧИКОВ» меню «НАСТРОЙКА».
А.9.3 Все операции поверки анализатора производят в меню «ПОВЕРКА». При переходе в данное меню автоматически устанавливаются значения верхнего и нижнего пределов диапазонов измерений УЭП и pH по токовому выходу равными:
-
- ае MIN - 0,00 мкСм/см;
-
- ае МАХ - 30,00 мкСм/см;
-
- pH MIN - 5,60;
-
- pH МАХ-10,00.
Примечание - При выходе из меню «ПОВЕРКА» пределы диапазонов измерений УЭП и pH по токовому выходу принимают ранее установленные значения.
А.9.4 Средства измерений и испытательное оборудование подготавливают к работе в соответствии с их эксплуатационной документацией.
А. 10 Проведение поверки
А. 10.1 Внешний осмотр
На поверку предъявляют паспорт и руководство по эксплуатации.
При проведении внешнего осмотра проверяют:
- целостность корпуса, соединительных трубок, соединительных кабелей, отсутствие механических повреждений, препятствующих нормальному функционированию анализатора;
-
- чистоту и целостность соединителей и гнезд;
-
- состояние лакокрасочных покрытий, правильность и четкость маркировки.
Анализатор, имеющий дефекты, затрудняющие эксплуатацию, к дальнейшей поверке не допускают.
А. 10.2 Опробование
А. 10.2.1 Проверка функционирования анализатора
При проведении проверки функционирования анализатора собирают установку в соответствии с рисунком А. 10.1.
-
- заливают в сосуд вместимостью 5 дм3 дистиллированную воду;
-
- помещают в сосуд термометр лабораторный электронный ЛТ-300;
-
- включают анализатор и в течение 30 с переходят в меню «ПОВЕРКА»;
-
- устанавливают с помощью насоса проток дистиллированной воды через блок датчиков анализатора, на время не менее 20 мин;
-
- переходят в подменю « Й ОПРОБОВАНИЕ»;
-
- нажимают клавишу «ВЫПОЛНИТЬ».
Анализатор автоматических осуществит диагностику своих систем.
Результат проверки считают удовлетворительным, если на экране индикатора появится надпись «ВЫПОЛНЕНО УСПЕШНО».
А. 10.2.2 Проверка соответствия программного обеспечения (ПО)
Переходят в подменю «(D ВЕРСИЯ ПО И КОНТРОЛЬНАЯ СУММА» проверяют соответствие ПО тому, которое было зафиксировано при испытаниях в целях утверждения типа.
Результаты проверки считают удовлетворительными, если идентификационные наименования ПО, номера версий ПО и цифровые идентификаторы ПО (контрольные суммы исполняемого кода) соответствуют таблице А. 10.1.

Примечание - Электрические и гидравлические соединения, соответствующие рабочему состоянию анализатора и неизменяемые при проведении проверки на данном и последующих рисунках, не показаны.
Рисунок А. 10.1
Таблица А. 10.1
Идентификационные данные (признаки) |
Значение |
Идентификационное наименование ПО: | |
- для платы индикации |
9010IND.STM32.01.00 |
- для платы усилителя |
9010INT.STM32.01.00 |
Номер версии (идентификационный номер) ПО, не ниже: | |
- для платы индикации |
01.00 |
- для платы усилителя |
01.00 |
Цифровой идентификатор ПО: | |
- для платы индикации |
0xA0720BDC |
- для платы усилителя |
0x86950606 |
А. 1.1 Определение основной абсолютной погрешности анализатора при измерении УЭП. Определение основной приведенной погрешности преобразования измеренного значения УЭП в выходной ток анализатора.
Определение основной абсолютной погрешности анализатора при измерении УЭП проводится поэлементным методом в соответствии с п. 7.4 ГОСТ 8.722-2010.
А. 1.1.1 Определение относительной погрешности определения электролитической постоянной Са датчика проводимости канала А
А. 1.1.1.1 Подготовка к измерениям
Собирают установку в соответствии с рисунком А. 10.2.
Для этого:
-
- заливают в сосуд вместимостью 5 дм3 дистиллированную воду;
-
- помещают в сосуд термометр лабораторный электронный ЛТ-300;
-
- устанавливают с помощью насоса проток дистиллированной воды через электролитическую ячейку эталонного кондуктометра и через блок датчиков анализатора в соответствии с рисунком А. 10.2;
- размещают анализатор, электролитическую ячейку эталонного кондуктометра и сосуд с дистиллированной водой в одинаковых температурных условиях при температуре (20 ± 5) °C;
-
- включают эталонный кондуктометр и устанавливают соответствующий диапазон;
-
- отключают термокомпенсацию эталонного кондуктометра, если она была включена ранее.
А. 10.3.1.2 Проведение измерений
Переходят в подменю «ЗЭ УДЕЛЬНАЯ ЭЛЕКТРИЧЕСКАЯ ПРОВОДИМОСТЬ» и выбирают постоянную датчика ДП-А Q, см'1, (ПАСПОРТНОЕ ЗНАЧЕНИЕ), которая соответствует значению, указанному в паспорте.
Через 15 мин фиксируют установившиеся показания УЭП раствора Хэтал, мкСм/см, по эталонному кондуктометру и по анализатору %А («ЗЭ»)? мкСм/см.
Заменяют датчик проводимости ДП-А канала А магазином сопротивлений.
Для этого отсоединяют розетку PC 1 ОТВ (XS) от блока датчиков и подключают ее к вилке РСГ10ТВ (ХР) имитатора блока датчиков в соответствии с рисунком А. 10.3.

К клеммам X и G имитатора блока датчиков подсоединяют магазин сопротивлений.
Примечание - Длина кабелей от магазина сопротивлений до имитатора блока датчиков должна быть не более 0,5 м.
Подбирая сопротивления, устанавливают показания блока преобразовательного, соответствующие зафиксированным показаниям анализатора в канале А/а(«ЭЭ»), мкСм/см. Фиксируют подобранное сопротивление R-Mt, кОм.
Измерения проводят три раза, каждый раз снимая показания анализатора и эталонного кондуктометра и фиксируя подобранное сопротивление.
А.10.3.1.3 Обработка результатов
Рассчитывают электролитическую постоянную датчика СиА, см'1, для каждого из трех измерений по формуле:
/^и _ Хэтал ‘^им ( л 1\
Са - 103 (А1)
Рассчитывают среднее значение электролитической постоянной датчика СиАср , см'1, по результатам трех измерений.
Рассчитывают относительную погрешность электролитической постоян ной датчика проводимости 8А, %, по формуле
s = САср_ 100 %
А сА
(А.2)
где СА - значение электролитической постоянной датчика проводимости, приведенное в паспорте, см'1.
Результаты проверки считают удовлетворительными, если
- 1 < дА< 1.
А. 10.3.2 Определение относительной погрешности блока преобразовательного при измерении УЭП. Определение основной приведенной погрешности преобразования измеренного значения УЭП в выходной ток анализатора.
А. 10.3.2.1 Подготовка к измерениям
Используют установку в соответствии с рисунком А. 10.4.

Датчик температуры
Блок датчиков
Блок преобразовательный

Розетка РС19ТВ
(вид со стороны пайки контактов)
УЭП | |
5(+) |
■%-).....- |

Мультиметр АРРА-305

Магазин сопротивления Р4831 /'О О (имитация УЭП в канале А)
Ra
XS
О' |
ХР | |
' 8 11ТГ | ||
k О X |
в в в
□ □ □
□ □ □
□ □ □
оо!

X G ДПС
Имитатор блока датчиков
Рисунок А. 10.4
Вместо датчика проводимости ДП-А подключают магазин сопротивления либо резистор, через имитатор блока датчиков.
Подключают к разъему «ТОКОВЫЙ ВЫХОД, СИГНАЛИЗАЦИЯ, RS-485» блока преобразовательного мультиметр АРРА-305 в режиме измерений тока.
В подменю «ае УДЕЛЬНАЯ ЭЛЕКТРИЧЕСКАЯ ПРОВОДИМОСТЬ» устанавливают:
-
- значение температуры 25 °C;
-
- постоянную датчика проводимости ДП-А равной 0,2400 см'1.
Значения сопротивления RA, устанавливаемые магазином сопротивления либо резистором, имитирующими УЭП в канале А, и расчетные значения УЭП указаны в таблице А. 10.2.
Таблица А. 10.2
Участок диапазона измерений, % |
Значение сопротивления Ra, кОм |
Расчетное значение Хтабл, МкСм/CM |
0-20 |
240,00 |
1,000 |
45-55 |
16,00 |
15,00 |
80-100 |
8,00 |
30,00 |
Расчетное значение при измерении УЭП Хтабл, мкСм/см, определяется
формулой: |
0.24 103 /АЗА Хтабл D (А.З) |
где 0,24 - значение электролитической постоянной датчика проводимости канала А, введенное в память анализатора, см'1;
RA - значение сопротивления, имитирующем УЭП в канале А, кОм.
А. 10.3.2.2 Проведение измерений
В трех точках диапазона для значений сопротивления RA, кОм, устанавливаемых в соответствии с таблицей А. 10.2 фиксируют:
-
- показания анализатора по УЭП /, мкСм/см;
-
- выходные токи анализатора , 1^ и /^°, мА, на диапазонах выходного тока 4-20, 0-5 и 0-20 мА соответственно.
А. 10.3.2.3 Обработка результатов
Рассчитывают относительную погрешность блока преобразовательного
<5, %, при измерении УЭП для всех зафиксированных показаний по формуле 5Хп = Х_~_ХтабЛ_.! 00 о/о (А.4)
X
Рассчитывают для всех значений , /^5 и у(Н20, мд, приведенную погрешность преобразования измеренного значения УЭП в выходной ток анализатора %, по формулам:
- для выходного тока в диапазоне от 4 до 20 мА
4+ 16-Z-
L----------^иап _/ . J 00 о/о
(А.5)
(А.6)
(А.7)
16
-
- для выходного тока в диапазоне от 0 до 5 мА
т _ с , X ~ Хнач 1 вых J '
£ =----------. Хдиап--100 о/о ,
-
- для выходного тока в диапазоне от 0 до 20 мА
т _ ? Г). X Xнач
1 вых '
Х =----------Хдиап--100%,
20
где / - измеренное значение УЭП, мкСм/см;
%нач - минимум запрограммированного диапазона измерений УЭП по токовому выходу равный 0 мкСм/см;
Хдиап ~ запрограммированный диапазон измерений УЭП по токовому выходу равный 30 мкСм/см и определяемый как разность между значениями максимума и минимума запрограммированного диапазона измерений УЭП, мкСм/см по токовому выходу.
Результаты операции проверки считают удовлетворительными, если для всех измерений выполняется условие
-0,5 <£<0,5.
А. 10.3.3 Расчет основной абсолютной погрешности анализатора при измерении УЭП
Рассчитывают максимальное значение суммарной относительной погрешности анализатора при измерении УЭП по индикатору ^тах’ 0//°’ п0 Ф°Р" муле:
^тах=±( SS1
БП max
(А.8)
где ^БПтах ~ максимальное из всех определенных выше значений относительной погрешности блока преобразовательного при измерении УЭП по индикатору, %;
SA - значение относительной погрешности электролитической постоянной датчика проводимости, %.
Рассчитывают значение основной абсолютной погрешности анализатора при измерении УЭП Д/осн, мСм/см, для точки с максимальной суммарной относительной погрешностью по формуле:
^ХосЯ=-^-Х-, (А.9)
где / - измеренное значение УЭП в точке с максимальной суммарной относительной погрешностью, мСм/см.
Результаты операции проверки считают удовлетворительными, если выполняется условие
- (0,003 + 0,02/) < Д/осн <0,003 + 0,02/.
А. 10.4 Определение основной абсолютной погрешности блока преобразовательного при измерении значения pH. Определение основной приведенной погрешности преобразования измеренного значения pH в выходной ток анализатора
А. 10.4.1 Подготовка к измерениям
Собирают установку в соответствии с рисунком А. 10.5.

Резистор



Магазин сопротивления Р4831 (имитация УЭП в канале В) Rb (Р-Внорм.)

Резистор С2-29В-0,125-240 кОм ± 0,25 %
(имитация УЭП в канале A) RA
XS С2-29В-0,125-24 кОм ± 0,25 %
/ (имитация УЭП в канале С)
/ Rc (Rchopm.)

ы а ы
X G
ДПС

Имитатор блока датчиков
Рисунок А. 10.5
Подключают к разъему «ТОКОВЫЙ ВЫХОД, СИГНАЛИЗАЦИЯ, RS-485» блока преобразовательного мультиметр АРРА-305 в режиме измерений тока.
Блок датчиков заменяют имитатором блока датчиков, к клеммам X и G которого подсоединяют:
-
- резистор с номинальным значением 240 кОм вместо датчика проводимости ДП-А;
-
- магазин сопротивления вместо датчика проводимости ДП-В;
-
- резистор с номинальным значением 24 кОм вместо датчика проводимости ДП-С.
Значения сопротивлений, устанавливаемые в каналах А, В и С для имитации заданных значений рНтабл, указаны в таблице А. 10.3.
Таблица А. 10.3
Поддиапазон измерений pH |
Значение рНтабл |
Значение сопротивления, кОм | ||||
Ra |
Rb |
Rc |
RbhoPm. |
Rchopm. | ||
от 5,60 до 7,00 |
6,00 |
240,00 |
32,39 |
24,00 |
24,00 |
24,00 |
от 7,00 до 7,30 включ. |
7,15 |
240,00 |
24,00 |
24,00 |
24,00 |
24,00 |
св. 7,30 до 10,00 |
8,40 |
240,00 |
24,00 |
36,87 |
24,00 |
24,00 |
Переходят в подменю «pH ВОДОРОДНЫЙ ПОКАЗАТЕЛЬ» и устанавливают значение температуры 25 °C.
А. 10.4.2 Проведение измерений
Устанавливают значениерНтабл 6,00. Для этого:
а) проводят нормирование:
-
- устанавливают в соответствии с таблицей А. 10.3 значения сопротивлений в каналах А, В, С:
Ra = 240,00 кОм; RBHopM. = 24,00 кОм; RcHopM. = 24,00 кОм;
-
- нажимают клавишу «НОРМИРОВАНИЕ»;
б) устанавливают в канале В значение сопротивления RB = 32,39 кОм и нажимают клавишу «ИЗМЕРЕНИЕ»;
в) фиксируют:
-
- показания анализатора по pH.
-
- выходные токи блока преобразовательного 7^°, ^еых и 4ых°’ МА, на диапазонах выходного тока 4-20, 0-5 и 0-20 мА соответственно.
Измерения значения рНтабл 8,40 производят аналогичным образом, но после нормирования в канале С изменяют значения сопротивления Rc в соответствии с таблицей А. 10.3. Для этого к клеммам X и G имитатора блока датчиков подсоединяют:
-
- магазин сопротивления вместо датчика проводимости ДП-С;
-
- резистор с номинальным значением 24 кОм вместо датчика проводимости ДП-В.
Измерение значения рНтс1ал 7,15 производят аналогичным образом, но после нормирования значения сопротивлений RB и Rc не изменяют.
Примечание - Допускается проводить определение погрешности заданного значения pH для одного из поддиапазонов таблицы А. 10.3 с учетом преимущественного диапазона измерений при эксплуатации анализатора.
А. 10.4.3 Обработка результатов
Рассчитывают абсолютную погрешность блока преобразовательного А^, pH, при измерении pH для всех зафиксированных показаний по формуле
^БП = PH~ PH табл, (А-10)
где pH- измеренное значение.
Результат проверки основной абсолютной погрешности блока преобразовательного при измерении заданного значения pH считают удовлетворительными, если
-
- на поддиапазонах pH от 5,60 до 7,00 и св. 7,30 до 10,00
- 0,01 <Д^< 0,01;
-
- на поддиапазоне pH от 7,00 до 7,30 включ.
-0,15< Д^<0,15.
Рассчитывают для всех значений и 1^", мА, приведенную
погрешность преобразования измеренного значения pH в выходной ток анализатора £ %, по формулам:
- для выходного тока в диапазоне от 4 до 20 мА
\Paduan у
16
-
- для выходного тока в диапазоне от 0 до 5 мА
J — 5 • ~ Р^нач
1 вЫХ J ’ тт
£ =----------РП_диап--100%;
(А.12)
(А.13)
5
-
- для выходного тока в диапазоне от 0 до 20 мА
Т _ О Л ~~ Р^нт
1 вых ' тт
£ =----------РПдиап--100%,
20
где рНнач - минимум запрограммированного диапазона измерений pH по токовому выходу равный 5,60 pH;
рНдиап - запрограммированный интервал диапазона измерений pH по токовому выходу равный 4,40 pH и определяемый как разность между значениями максимума и минимума запрограммированного диапазона измерений pH по токовому выходу.
Результаты операции поверки считают удовлетворительными, если для всех измерений выполняется условие
-0,5 <£<0,5.
А. 10.5 Определение дополнительной абсолютной погрешности анализатора при измерении УЭП, обусловленной изменением температуры анализируемой среды (погрешность термокомпенсации)
А. 10.5.1 Подготовка к измерениям
Используют установку в соответствии с рисунком А. 10.4.
Мультиметр АРРА-305 не подключают.
Переходят в подменю «ЭЭ УДЕЛЬНАЯ ЭЛЕКТРИЧЕСКАЯ ПРОВОДИМОСТЬ» и устанавливают постоянную датчика ДП-А равной 0,2400 см'1.
А.10.5.2 Проведение измерений
Устанавливают значение сопротивления RA равное 16 кОм.
Фиксируют для всех значений температур 10, 25 и 40 °C, последовательно изменяемых клавишей «ТЕМПЕРАТУРА», показания анализатора по УЭП X, мкСм/см, и УЭП25 /2s(0, мкСм/см.
А. 10.5.3 Обработка результатов
Рассчитывают значение УЭП х^расч^), мкСм/см, для значений X, мкСм/см, и температур 10, 25, 40 °C по формуле

(А. 14)
где Хчист.воды^) - УЭП «чистой» воды, мкСм/см, равная:
Хчист.воды (10) 0,0228 мкСм/см,
Хчист.в0ды (25) = 0,0550 мкСм/см,
Хчист.воды (40) 0,1147 мкСм/см,
А = 0,020 °C'1 - коэффициент линейной термокомпенсации; t - температура, анализируемой среды, °C (10, 25, 40).
Рассчитывают дополнительную абсолютную погрешность анализатора при измерении УЭП, &Хдоп, мкСм/см, при изменении температуры анализируемой среды для значений /(0 для всех температурных точек по формуле
+0,007fe(<)
(А. 15)
где 0,007/25(0 “ максимальная погрешность при измерении УЭП, обусловленная погрешностью определения температуры, мкСм/см.
Результаты операции поверки, считают удовлетворительными, если для всех точек выполняется условие:
- 0,02/25(0 < < 0,02 Ы0-
А. 10.6 Определение дополнительной абсолютной погрешности блока преобразовательного при измерении значения рН25, обусловленной изменением температуры анализируемой среды (погрешность температурной компенсации).
При проведении проверки определяют погрешность приведения измеренного значения рН25 при температурах 10, 25 и 40 °C к 25 °C.
А. 10.6.1 Подготовка к измерениям
Используют установку в соответствии с рисунком А. 10.5.
Мультиметр АРРА-305 не подключают.
Переходят в подменю «pH ВОДОРОДНЫЙ ПОКАЗАТЕЛЬ» и устанавливают значение температуры 25 °C.
Значения сопротивлений, устанавливаемые в каналах А, В и С указаны в таблице А. 10.4.
Таблица А. 10.4
Поддиапазон измерений pH |
Температура, °C |
Значение pH2 5 табл |
Значение сопротивления, кОм | ||||
Ra |
Rb |
Rc |
Rbhopm. |
Rchopm. | |||
от 5,60 до 7,00 |
10 |
6,00 |
240,00 |
31,05 |
24,00 |
24,00 |
24,00 |
25 |
240,00 |
32,39 |
24,00 |
24,00 |
24,00 | ||
40 |
240,00 |
32,43 |
24,00 |
24,00 |
24,00 | ||
от 7,00 до 7,30 включ. |
10 |
7,15 |
240,00 |
24,00 |
24,00 |
24,00 |
24,00 |
25 |
240,00 |
24,00 |
24,00 |
24,00 |
24,00 | ||
40 |
240,00 |
24,00 |
24,00 |
24,00 |
24,00 | ||
св. 7,30 до 10,00 |
10 |
8,40 |
240,00 |
24,00 |
32,02 |
24,00 |
24,00 |
25 |
240,00 |
24,00 |
36,87 |
24,00 |
24,00 | ||
40 |
240,00 |
24,00 |
40,54 |
24,00 |
24,00 |
А. 10.6.2 Проведение измерений
Устанавливают значениерН25табл 6,00:
а) проводят нормирование:
-
- устанавливают в соответствии с таблицей А. 10.4 значения сопротивлений в каналах А, В, С:
Ra = 240,00 кОм; RBHOpM. = 24,00 кОм; RcHoPm. = 24,00 кОм;
-
- нажимают клавишу «НОРМИРОВАНИЕ»;
б) устанавливают в канале В значение сопротивления RB = 32,39 кОм и нажимают клавишу «ИЗМЕРЕНИЕ»;
в) фиксируют показания анализатора рН25изм(1), pH.
В подменю «pH ВОДОРОДНЫЙ ПОКАЗАТЕЛЬ» последовательно устанавливают значение температуры 10, 40 °C и проводят аналогичные измерения изменяя значение сопротивления RB в соответствии с таблицей А. 10.4 для температур 10 и 40 °C.
Измерение значения рН25табл 8,40 производят аналогичным образом, но после нормирования в канале С изменяют значения сопротивления Rc в соответствии с таблицей А. 10.4 для температур 10, 25 и 40 °C. Для этого к клеммам X и G имитатора блока датчиков подсоединяют:
-
- магазин сопротивления вместо датчика проводимости ДП-С;
-
- резистор с номинальным значением 24 кОм вместо датчика проводимости ДП-В.
Измерение значения рН25табл 7,15 производят аналогичным образом, но после нормирования значения сопротивлений RB и Rc не изменяют.
Примечание - Допускается проводить определение погрешности измерений значения /г^табл Для одного из поддиапазонов таблицы А. 10.4 с учетом преимущественного диапазона измерений при эксплуатации анализатора и температуре, соответствующей верхнему пределу диапазона температурной компенсации (40 °C).
А. 10.6.3 Обработка результатов
Рассчитывают для каждой точки дополнительную абсолютную погрешность блока преобразовательного при измерении pH по формуле:
^Р^25доп ~ рН25изм(^) ~ рН25табл- (А. 16)
Результаты операции поверки считают удовлетворительными, если выполняется условие:
-
- на поддиапазонах pH от 5,60 до 7,00 и св. 7,30 до 10,00
- 0,01 < АрЯдо„<0,01;
-
- на поддиапазоне pH от 7,00 до 7,30 включ.
-0,15 < А^Ядо„<0,15.
А. 10.7 Определение основной абсолютной погрешности анализатора при измерении температуры анализируемой среды
А. 10.7.1 Подготовка к измерениям

Заливают в термостат жидкостный (в дальнейшем термостат) дистиллированную воду.
Сливают анализируемую воду из гидравлической системы анализатора.
Извлекают датчик температуры из блока датчиков и погружают полностью в термостат. В термостат также устанавливают термометр лабораторный электронный ЛТ-300.
В меню «ПОВЕРКА» переходят в подменю «t ТЕМПЕРАТУРА».
А. 10.7.2 Проведение измерений
Производят измерение температуры в дистиллированной воде:
-
- комнатной температуры (в диапазоне от плюс 15 до плюс 25 °C);
-
- с добавлением льда (с температурой от 0 до плюс 5 °C);
-
- с температурой от плюс 45 до плюс 50 °C.
После установления теплового равновесия для каждого значения температуры фиксируют:
-
- показания анализатора по температуре - td, °C;
-
- показания термометра ЛТ-300 t3, °C.
А.10.7.3 Обработка результатов измерения
Рассчитывают погрешность измерений температуры Af, °C, по формуле
\t = t3-td. (А. 17)
Результат операции поверки считают удовлетворительным, если выполняется условие
-0,3 < Аг <0,3.
А. 11 Оформление результатов поверки
А. 11.1 Результаты поверки оформляют в виде протокола произвольной формы.
А. 11.2 Положительные результаты поверки удостоверяют свидетельством о поверке и (или) записью в паспорте на анализатор и знаком поверки в соответствии с Приказом Минпромторга России от 02 июля 2015 г. № 1815. Знак поверки наносится на свидетельство о поверке и (или) паспорт, и на блок преобразовательный.
А. 11.3 Если по результатам поверки анализатор признают непригодным к применению, свидетельство о поверке аннулируют и выписывают извещение о непригодности к применению в соответствии с Приказом Минпромторга России от 02 июля 2015 г. № 1815.
ПРИЛОЖЕНИЕ Б
(справочное)
МЕТОДИКА ПРИГОТОВЛЕНИЯ РАСТВОРОВ
ВНИМАНИЕ: Для приготовления растворов реактивов использовать реактивы квалификацией не ниже следующей:
-
- кислота соляная, ГОСТ 3118-77, х.ч.;
-
- кислота муравьиная, ГОСТ 5848-78, ч.;
-
- кислота хлорная, ТУ 6-09-2878-84, х.ч. 60 %;
-
- кислота уксусная, ГОСТ 61-75, х.ч.;
-
- лития гидроксид 1-водный, ТУ 6-09-3763-85, ч.;
-
- калий гидроокись, ГОСТ 24363-80, х.ч.
ВНИМАНИЕ: ИСКЛЮЧИТЬ ПОПАДАНИЕ реактивов на руки, лицо, одежду, а также на окрашенные поверхности узлов анализатора во избежание их повреждения!
Приготовить растворы реактивов с требуемым значением УЭП в соответствии с таблицей Б. 1.
Таблица Б.1 - Таблица зависимости УЭП растворов реактивов от режима измерений анализатора
Анализируемая среда |
Диапазон УЭП анализируемой среды, мкСм/см |
УЭП раствора реактива, мкСм/см (массовая концентрация реактива, г/дм3) | ||
Емкость В |
Емкость С | |||
кислота соляная (муравьиная либо хлорная) |
лития гидроксид 1-водный |
кислота уксусная | ||
«ЧИСТАЯ ВОДА» |
От 0,05 до 0,10 |
— |
600 ± 50 (ОД) |
70 ±5 (0,1) |
От 0,10 до 0,50 включ. |
— |
2100±100 (0,4) |
180 ±20 (0,7) | |
Св. 0,5 до 1,0 |
— |
9000 ±300 (2) |
310 ± 20 (2) | |
«АМИНЫ» «АММИАК» |
от 1 до 3 |
23000±1000 (5) |
— |
500 ± 30 (6) |
от 3 до 6 |
90000 ± 5000 (20) |
— |
850 ±50 (18) | |
от 6 до 30 |
220000±10000 (80) |
— |
1450±100 (80) |
Знак «-» означает, что указанный раствор реактива не применяется.
УЭП растворов реактивов следует контролировать в процессе приготовления (например, кондуктометром МАРК-603 с датчиком проводимости ДП-15).
Растворы реактивов готовить в вытяжном шкафу, соблюдая правила работы с химическими реактивами. Растворы готовить с использованием воды очищенной для химического анализа по ОСТ 34-70-953.2-88 (обессоленной воды).
С целью оптимизации расходов реактивов, необходимо:
-
1 Зафиксировать значения длительности дозирования для каналов В и С в меню «ДИАГНОСТИКА РАБОТЫ ПРИБОРА» 3 раза в течении 3 ч;
-
2 Если значения во всех 3 измерениях для какого либо из каналов превышают 100 мс, при приготовлении реактивов увеличить концентрацию, указанную в таблице Б.1 на 10 % для соответствующего канала;
-
3 Перед следующей заменой реактивов снова зафиксировать значения в соответствии с п. 1. Если длительность дозирования более 100 мс, концентрацию рассчитанную в п. 2 также увеличить на 10 %;
-
4 Увеличивать концентрацию до достижения оптимального расхода реактивов с длительностью дозирования до 100 мс.
(справочное)
ИНСТРУКЦИЯ ПО МОНТАЖУ ОБЖИМНЫХ ФИТИНГОВ
(в соответствии с рекомендациями изготовителя фитингов)
Подсоединение к обжимным фитингам допускается только для трубопроводов, выполненных гладкими трубками.
В.1 При сборке трубок с фитингами Hy-Lok необходимо выполнить нижеследующие рекомендации:
-
- вставить подготовленную трубу в фитинг Hy-Lok так, чтобы конец трубы основательно сел на плечо корпуса.
-
- затянуть гайку от руки. Не следует пытаться продавить трубу через уплотнительное кольцо, если она свободно не проходит сквозь него. Она может иметь овальность или заусенцы, или внутри фитинга могут находиться посторонние предметы;
-
- пометить гайку для обозначения начальной точки;
-
- затянуть гайку гаечным ключом на 1!4 оборота, удерживая фитинг от проворачивания.
В.2 Трубные фитинги допускают многократную разборку и повторную сборку. Для этого нужно:
-
- вставить предварительно обжатую трубу в корпус фитинга;
-
- затянуть гайку от руки;
-
- затянуть гайку гаечным ключом до первоначального положения, удерживая фитинг от проворачивания;
-
- слегка подтянуть соединение гаечным ключом.
(справочное)
СХЕМА СОЕДИНЕНИЙ ИМИТАТРОВ К
ИМИТАТОРУ БЛОКА ДАТЧИКОВ
Подсоединение имитаторов датчиков проводимости (резисторов и магазинов сопротивления) к контактам имитатора блока датчиков - в соответствии с рисунком Г. 1.

Рисунок Г.1 - Схема соединений имитаторов к имитатору блока датчиков
Схема электрических соединений имитатора блока датчиков в соответствии с рисунком Г.2.
Вилка РСГ10TB
Цепь |
Конт. |
ХА |
1 |
GA |
2 |
GNDA |
3 |
ХВ |
4 |
GB |
5 |
GNDB |
6 |
ХС |
7 |
GC |
8 |
GNDC |
9 |
NC |
10 |
Вилка РСГ 1 ОТВ
(вид со стороны пайки контактов)

Панель контактная
Конт. |
Маркировка | |
1 |
X |
«ДП А» |
2 |
G | |
3 |
GND | |
4 |
X |
«ДП А» |
5 |
G | |
6 |
GND |
Панель контактная
Конт. |
Маркировка | |
1 | ||
2 | ||
3 | ||
4 |
X |
«ДП С» |
5 |
G | |
6 |
GND |
Рисунок Г.2 - Схема электрических соединений имитатор блока датчиков
128