Методика поверки «АНАЛИЗАТОРЫ РЕНТГЕНОФЛУОРЕСЦЕНТНЫЕ ЭНЕРГОДИСПЕРСИОННЫЕ NEXQC» (МП 63-223-2012)
ФЕДЕРАЛЬНОЕ ГОСУДАРСТВЕННОЕ УНИТАРНОЕ ПРЕДПРИЯТИЕ «УРАЛЬСКИЙ НАУЧНО-ИССЛЕДОВАТЕЛЬСКИЙ ИНСТИТУТ МЕТРОЛОГИИ»
ФЕДЕРАЛЬНОГО АГЕНТСТВА ПО ТЕХНИЧЕСКОМУ РЕГУЛИРОВАНИЮ
И МЕТРОЛОГИИ (ФГУП «УНИИМ»)
АНАЛИЗАТОРЫ РЕНТГЕНОФЛУОРЕСЦЕНТНЫЕ ЭНЕРГО ДИСПЕРСИОННЫЕ NEX QC
МЕТОДИКА ПОВЕРКИ
МП 63-223-2012
(с изменением № 1)
Екатеринбург2017
Предисловие-
1 РАЗРАБОТАНА
ФГУП “Уральский научно-исследовательский институт метрологии”
(ФГУП “УНИИМ”)
-
2 ИСПОЛНИТЕЛИ
Терентьев Г.И., Ким Н.А. (ФГУП «УНИИМ»)
-
3 ПОДГОТОВЛЕНА К УТВЕРЖДЕНИЮ
Лабораторией физических и химических методов метрологической аттестации стандартных образцов ФГУП «УНИИМ»
-
4 УТВЕРЖДЕНА
ФГУП “УНИИМ” «__»________2017 г.
Изменение № 1 утверждено ФГУП «УНИИМ»__________________2017 г.
-
5 ЗАРЕГИСТРИРОВАНА
ФГУП «УНИИМ» 2012 г.
-
6 ВВЕДЕНА ВПЕРВЫЕ 2012 г.
Приложение А (рекомендуемое). Форма протокола поверки
Государственная система обеспечения единства измерений АНАЛИЗАТОРЫ РЕНТГЕНОФЛУОРЕСЦЕНТНЫЕ ЭНЕРГОДИСПЕРСИОННЫЕ NEX QC Методика поверки
Дата введения 2017-
1 Область примененияНастоящая методика поверки распространяется на анализаторы рентгенофлуоресцентные энергодисперсионные NEX QC (далее по тексту - анализаторы NEX QC), предназначенные для измерения массовых долей элементов от Na до U в жидких (нефть и нефтепродукты и др.), порошкообразных и твердых (металлы, сплавы, порошки, цементы, глина, минералы, шламы и др.) пробах веществ и материалов в диапазоне измерений от 10'4 до 100,0%.
Методика устанавливает методы и средства первичной и периодической поверок анализаторов NEX QC.
Интервал между поверками - два года.
2 Нормативные ссылкиВ настоящей методике использованы ссылки на следующие документы:
ГОСТ 8.315-97 ГСИ. Стандартные образцы состава и свойств веществ и материалов
ГОСТ 8.395-80 ГСИ. Нормальные условия измерений при поверке. Общие требования
ГОСТ 12.3.019-80 Испытания и измерения электрические. Общие требования безопасности
ГОСТ Р 8.563-2009 ГСИ. Методики (методы) измерений
ГОСТ Р 8.736-2011 ГСИ. Измерения прямые многократные. Методы обработки результатов измерений. Основные положения
ПР 50.2.012-94 ГСИ. Порядок аттестации поверителей средств измерений
ОСПОРБ-99/20Ю СП 2.6.1.2612-10 «Основные санитарные правила обеспечения радиационной безопасности. Санитарные правила и нормативы»
НРБ-99/2009 СанПиН 2.6.1.1015-01«Нормы радиационной безопасности».
Приказ Министерства промышленности и торговли Российской Федерации № 1815 от 02.07.2015 г. «Об утверждении Порядка проведения поверки средств измерений, требования к знаку поверки и содержанию свидетельства о поверке»
Приказ Минтруда России № 328 от 24.07.2013 г. «Об утверждении Правил по охране труда при эксплуатации электроустановок».
(Измененная редакция, Изм.№1).
3 Операции поверки-
3.1 При проведении поверки анализатора NEX QC выполняют операции, указанные в таблице 1.
-
3.2 При получении отрицательных результатов при проведении любой из операций, указанной в таблице 1, поверку прекращают и признают поверяемый анализатор NEX QC непригодным к применению.
Таблица 1- Операции поверки
|
Наименование операции |
Номер пункта НД по поверке |
Проведение операции при | |
|
первичной поверке |
периодической поверке | ||
|
Внешний осмотр |
8.1 |
Да |
Да |
|
Опробование |
8.4 |
Да |
Да |
|
Проверка среднего квадратического отклонения (СКО) случайной составляющей относительной погрешности измерений массовых долей элементов |
8.5 |
Да |
Да |
|
Проверка относительной погрешности измерений массовых долей элементов |
8.6 |
Да |
Да |
|
Подтверждение диапазона измерений массовых долей элементов |
8.7 |
Да |
Нет |
|
Проверка нестабильности показаний анализатора за 6 ч непрерывной работы |
8.8 |
Да |
Нет |
(Измененная редакция, Изм.№1).
-
3.3 Периодическую поверку анализаторов NEX QC, имеющих несколько поддиапазонов измерений, но используемых на меньшем числе поддиапазонов измерений, допускается проводить на меньшем числе поддиапазонов измерений на основании письменного заявления владельца средства измерений. Соответствующая запись должна быть сделана в свидетельстве о поверке.
(Пункт введен дополнительно, Изм.№1).
4 Средства поверки-
4.1 При проведении поверки анализаторов NEX QC применяют:
-
4.1.1 Стандартные образцы (СО) состава сталей легированных (комплект ЛГ32г-ЛГЗбг) - ГСО 4506-92П-4510-92П, абсолютная погрешность аттестации (0,0005 - 0,1) % при Р=0,95.
-
4.1.2 СО состава латуни оловянно-свинцовой (комплект Ml 71) -
-
ГСО 6319-92-6323-92, абсолютная погрешность аттестации (0,005 - 0,7) % при Р=0,95.
-
4.1.3 СО состава ферротитана (ФЗОв) - ГСО 8023-94, абсолютная погрешность аттестации (0,0005 - 0,1) % при Р=0,95.
-
4.1.4 СО состава меди (комплект VSM03) - ГСО 10488-2014, абсолютная погрешность аттестации (0,000011 - 0,00009) % при Р=0,95.
-
4.1.5 СО состава натрия хлористого - ГСО 4391-88, абсолютная погрешность аттестации 0,024 % при Р=0,95.
-
4.1.6 СО состава железа высокой чистоты (Fe СО УНИИМ) - ГСО 10816-2016, абсолютная погрешность аттестации 0,030 % при Р=0,95.
-
4.1.7 СО массовой доли серы в минеральном масле - ГСО 8611-2004 (комплект SMO10 (НЕ), относительная погрешность аттестации 2,0 % при Р=0,95 и ГСО 8610-2004 (комплект SMO10), относительная погрешность аттестации 3,0 % при Р=0,95.
-
4.1.8 Секундомер механический СОСпр-2б-2 с диапазонами измерений от 0 до 60 с с ценой деления шкалы 0,2 с и от 0 до 60 мин с ценой деления шкалы 1 мин, 2 класс точности.
-
4.1.9 Термогигрометр электронный Center 313, диапазон измерений относительной влажности воздуха (10 - 100) %, диапазон измерений температуры от минус 20 °C до плюс 60 °C, пределы допускаемой основной абсолютной погрешности (при температуре (23 ± 5) °C): канал измерения температуры 0,7 °C, канал измерения относительной влажности 2,5 %.
-
4.1.10 Барометр-анероид метеорологический БАММ-1, диапазон измерений от 80 до 106 кПа, пределы допускаемой абсолютной погрешности ±0,2 кПа.
Примечание - Допускается применение других ГСО состава, утвержденных в соответствии с требованиями ГОСТ 8.315, соответствующих области применения анализатора NEX QC, предназначенных для градуировки, поверки и контроля точности измерений рентгенофлуоресцентных анализаторов (спектрометров), и средств измерений с метрологическими характеристиками не хуже указанных.
(Измененная редакция, Изм.№1).
-
4.2 Для проведения поверки анализаторов NEX QC могут быть использованы стандартизованные или аттестованные в соответствии с ГОСТ Р 8.563 методики измерений (МВИ), отвечающие области применения анализаторов NEX QC, например:
ГОСТ Р 50442-92 Нефть и нефтепродукты. Рентгенофлуоресцентный метод определения серы;
ГОСТ 28033-89 Сталь. Метод рентгенофлюоресцентного анализа;
ГОСТ 30609-98 Латуни литейные. Метод рентгенофлуоресцентного анализа;
ГОСТ 30608-98 Бронзы оловянные. Метод рентгенофлуоресцентного анализа;
ГОСТ Р 51947-2002 Нефть и нефтепродукты. Определение серы методом энергодисперсионной рентгенофлуоресцентной спектрометрии.
Приписанные характеристики погрешности измерений массовых долей элементов используемых МВИ не должны превышать характеристик погрешности измерений массовых долей элементов, указанных в описании типа и технической документации на анализаторы NEX QC.
Примечание - При отсутствии стандартизованных или аттестованных в соответствии с ГОСТ Р 8.563 методик измерений проверку относительной погрешности измерений массовых долей элементов проводят согласно 8.6.
5 Требования безопасностиПри проведении поверки анализаторов NEX QC соблюдают требования безопасности электрических испытаний и измерений, изложенные в документах: ГОСТ 12.3.019, Приказ Минтруда России № 328 от 24.07.2013 г. «Об утверждении Правил по охране труда при эксплуатации электроустановок», а также требования ОСПОРБ-99/20Ю СП 2.6.1.2612-10 «Основные санитарные правила обеспечения радиационной безопасности. Санитарные правила и нормативы» и НРБ-99/2009 СанПиН 2.6.1.1015-01 «Нормы радиационной безопасности».
(Измененная редакция, Изм.№1).
6 Требования к квалификации поверителейК поверке анализаторов NEX QC допускаются лица, прошедшие аттестацию в порядке, установленном правилами ПР 50.2.012, а также изучившие «Руководство по эксплуатации» поверяемого средства измерений, правила техники безопасности по работе с ним и настоящую методику поверки.
Поверитель должен иметь допуск к работе на электроустановках напряжением до 1000 В.
7 Условия поверки и подготовка к ней7.1 При проведении поверки анализаторов NEX QC соблюдают нормальные условия измерений по ГОСТ 8.395:
|
20±5; от 84 до 106,7; от 30 до 80; 110/240 (±10%); 60/50±1. |
7.2 Проверяют наличие «Руководства по эксплуатации» анализаторов NEX QC и готовят поверяемое средство измерений к работе согласно его требованиям.
-
8 Проведение поверки
При внешнем осмотре поверяемого анализатора NEX QC устанавливают:
-
- соответствие комплектности (без запасных частей) и внешнего вида требованиям «Руководства по эксплуатации»;
-
- отсутствие повреждений и дефектов, влияющих на работоспособность анализатора;
-
- наличие маркировки и четких надписей на органах управления;
-
- исправность органов управления и настройки анализатора.
При обнаружении какого-либо несоответствия поверку не проводят.
-
8.2 (Исключен, Изм.№1).
-
8.3 (Исключен, Изм.№1).
-
8.4.1 Включают анализатор NEX QC согласно «Руководству по эксплуатации». Проверяют, что все режимы работы, а также параметры, соответствующие заданному режиму, высвечиваются на дисплее встроенного компьютера анализатора NEX QC. Выбор необходимого режима измерений, а также выполнение команд, производят в соответствии с «Руководством по эксплуатации».
-
8.4.2 Проводят проверку идентификационных данных программного обеспечения (ПО) анализатора NEX QC.
Идентификационное наименование и номер версии ПО идентифицируются при включении анализатора NEX QC путем вывода на экран. Идентификационное наименование и номер версии ПО анализатора NEX QC должны соответствовать приведенным в таблице 2.
Таблица 2 - Идентификационные данные ПО анализатора NEX QC
|
Идентификационное наименование ПО |
nexqc.exe |
|
Номер версии (идентификационный номер) ПО |
не ниже 2.724 |
(Измененная редакция, Изм.№1).
8.5 Проверка среднего квадратического отклонения (СКО) случайной составляющей относительной погрешности измерений массовых долей элементов-
8.5.1 Проверку относительной погрешности измерений массовых долей элементов и ее составляющих выполняют, используя ГСО состава, перечисленные в разделе «Средства поверки» и соответствующие области применения анализатора NEX QC. Проверку характеристик погрешности измерений массовых долей элементов проводят по 3-5 элементам из аттестованных в ГСО состава, с содержанием исследуемых элементов в начале, середине и конце диапазона измерений анализатора NEX QC.
В СО состава сталей легированных - ГСО 4506-92П - 4510-92П, рекомендуемые для измерений элементы: Si, W, Си, Сг, Ni, Мп (рекомендуемые СО с индексами: ЛГ32г, ЛГЗЗг, ЛГЗбг).
В СО состава латуни - ГСО 6319-92 - 6323-92, рекомендуемые для измерений элементы: Си, Pb, Al, Zn, Мп (рекомендуемые СО с индексами: 1711, 1715).
В СО состава ферротитана - ГСО 8023-94, рекомендуемые для измерений элементы: Ti, Fe, Си, Mo, Si.
В СО состава меди (комплект VSM03) - ГСО 10488-2014, рекомендуемые для измерений элементы: Al, Ni, Сг, Mg, Pb (рекомендуемый СО № VSV03-4).
В СО состава железа высокой чистоты (Fe СО УНИИМ) - ГСО 10816-2016, измеряемый элемент - Fe.
В СО состава натрия хлористого - ГСО 4391-81, измеряемый элемент - Na.
В СО массовой доли серы в минеральном масле - ГСО 8611-2004 (рекомендуемые СО с индексами: SMO10(HL)-0,5; SMO10(HL)-l; SMO10(HL)-5) и ГСО 8610-2004 (рекомендуемые СО с индексами: SMO 10-0,0025; SMO 10-0,01; SMO 10-0,1), измеряемый элемент - S.
(Измененная редакция, Изм.№1).
-
8.5.2 При проверке характеристик погрешности измерений массовых долей элементов используют методики измерений согласно 4.2 (при их наличии).
-
8.5.3 Включают анализатор NEX QC, устанавливают режимы работы анализатора согласно эксплуатационной документации.
Для оценки характеристик погрешности измерений массовых долей элементов в соответствии с «Руководством по эксплуатации» выполняют на анализаторе NEX QC десятикратные измерения (п = 10) массовой доли исследуемого элемента в j-ом ГСО состава. Время измерений массовой доли для каждого элемента в ГСО состава устанавливает программа анализатора NEX QC. Для легких элементов от натрия до алюминия программа устанавливает время измерения 200 с, для других элементов время измерения 100 с.
По результатам п измерений массовых долей элементов в образце рассчитывают среднее квадратичное отклонение (СКО) случайной составляющей абсолютной погрешности измерений массовой доли 1-го элемента в j-ом образце состава по формуле

где где % - i-oe измеренное значение массовой доли 1-го элемента в j-ом образце;
(2)
X- среднее арифметическое значение массовой доли 1-го элемента в j-ом образце.
-
8.5.4 За оценку случайной составляющей относительной погрешности измерений массовой доли 1-го элемента в j-ом ГСО состава принимают относительное СКО случайной составляющей погрешности - , определяемое по формуле


(3)
Рассчитанные по формуле (3) значения не должны превышать предела
допускаемого значения СКО случайной составляющей относительной погрешности измерений массовых долей элементов, нормированного в Руководстве по эксплуатации на анализаторы NEX QC для конкретного поддиапазона измерений и указанного в таблице 3, либо, в случае использования стандартизованной или аттестованной методики измерений, должны быть меньше или равны приписанных значений показателя точности (СКО повторяемости) используемой методики измерений, выраженного в относительной форме.
Т а б л и ц а 3
|
Наименование характеристики |
Значение характеристики |
|
Предел допускаемого СКО случайной составляющей относительной погрешности измерений массовых долей элементов, %, в поддиапазоне измерений: - от 0,0001 до 0,100 % вкл. |
15,0 |
|
- свыше 0,1 до 1,0 % вкл. |
10,0 |
|
- св. 1,0 до 10,0 % вкл. |
1,0 |
|
- св. 10,0 до 30,0 % вкл. |
0,5 |
|
- св. 30,0 до 100,0 % вкл. |
0,2 |
(Измененная редакция, Изм.№1).
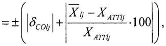
8.6 Проверка относительной погрешности измерений массовых долей элементов-
8.6.1 Для проверки относительной погрешности измерений массовых долей элементов на анализаторе NEX QC проводят оценку систематической составляющей относительной погрешности измерений, используя данные, полученные по 8.5.3.

(4)
где 8C0lJ - относительная погрешность аттестованного значения массовой доли элемента 1 в j-м ГСО, %;
XArrij - аттестованное значение массовой доли элемента 1 в j-м ГСО
-
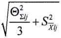
8.6.2 Относительную погрешность измерений массовых долей элементов рассчитывают по формуле
= (5)
где Ку - коэффициент, зависящий от соотношения случайной и систематической составляющих погрешности;
Суммарное среднее квадратическое отклонение SVj оценки измеряемой величины вычисляют по формуле

(6)
Коэффициент Kj определяют по формуле
(7)
где t - коэффициент Стьюдента, который при доверительной вероятности Р - 0,95 в зависимости от числа измерений п находят по таблице, приведенной в ГОСТ Р 8.736.
-
8.6.3 Для признания анализатора NEX QC выдержавшим поверку по 8.6, полученные оценки относительной погрешности измерений массовых долей элементов 5,j не должны превышать, значений, нормированных в Руководстве по эксплуатации на анализаторы NEX QC для конкретного поддиапазона измерений и указанных в таблице 4.
Примечание - При наличии стандартизованной или аттестованной в соответствии с требованиями ГОСТ Р 8.563 методики измерений, сравнивают полученные значения относительного СКО случайной составляющей погрешности - g , относительной систематической составляющей погрешности - g , и относительной погрешности измерений массовой доли 1-го элемента - 5ij, с показателями точности, указанными в стандартизованной или аттестованной методике измерений для конкретного 1-го элемента в конкретном поддиапазоне измерений. Для признания анализатора NEX QC выдержавшим поверку значения , §С1. и должны быть меньше или равны приписанных значений показателей точности методики измерений, выраженных в относительной форме.
Таблица 4
|
Наименование характеристики |
Значение характеристики |
|
Пределы допускаемой относительной погрешности измерений массовых долей элементов, %, в поддиапазоне измерений: - от 0,0001 до 0,100 % вкл. |
±30,0 |
|
- свыше 0,1 до 1,0 % вкл. |
±20,0 |
|
- св. 1,0 до 10,0 % вкл. |
± 10,0 |
|
- св. 10,0 до 30,0 % вкл. |
±4,0 |
|
- св. 30,0 до 100,0 % вкл. |
±1,5 |
(Измененная редакция, Изм.№1).
8.7 Подтверждение диапазона измерений массовых долей элементовПодтверждение диапазона измерений массовых долей элементов проводят при первичной поверке в ходе проведения поверки по 8.5 и 8.6 настоящей методики, используя ГСО состава с аттестованными значениями массовых долей элементов, совпадающими или перекрывающими диапазон измеряемых массовых долей, указанный в технической или эксплуатационной документации на анализаторы NEX QC. Устанавливают факт измерения массовых долей элементов в начале, середине и конце заявленного диапазона измерений в пределах нормированных значений погрешности измерений по 8.6.
8.8 Проверка нестабильности показаний анализатора за 6 ч непрерывной работы-
8.8.1 Нестабильность показаний анализатора NEX QC за 6 часов непрерывной работы проверяют с помощью одного ГСО состава по 4.1 раздела «Средства поверки» с массовыми долями определяемых элементов от 1 % до 20 % не менее чем по двум элементам (рекомендуемые элементы Si, Мп, Ni, Pb), например: ГСО 4509-92П (ЛГЗбг), рекомендуемые элементы для исследований - Мп с массовой долей 1,95 %, Ni с массовой долей 12,17 %.
-
8.8.2 Определение нестабильности показаний анализатора NEX QC за 6 часов непрерывной работы выполняют в следующей последовательности:
-
- на j-ом стандартном образце выполняют п (п>5) последовательных измерений массовой доли 1-го элемента в образце Сп, (рекомендуемое время одного измерения - 60 с);
-
- по полученным значениям C,ij рассчитывают среднее арифметическое значение массовой доли 1-го элемента в j-ом ГСО в k-ой серии измерений
Cijk = --£clljk; (8)
n i=l-
- такие измерения повторяют каждый час в течение 6 часов (проводят к серий измерений), оставляя неизменными режим и условия работы анализатора;
-
- нестабильность показаний анализатора NEX QC (в процентах) за 6 часов непрерывной работы определяют по формуле
G,j = — JI (Cijk-С,/ /(к -1) • 100%, (9)
Cij V к=1 /
где
1 к Cij = — Ё С ij к к к=1
где к - число серий измерений в течение 6 часов.
-
8.8.3 Считают, что анализатор NEX QC выдержал поверку по 8.8, если полученные значения нестабильности показаний Gij, %, за 6 часов непрерывной работы не превышают 2,0 %.
-
9.1 Результаты поверки заносят в протокол поверки, форма которого приведена в рекомендуемом приложении А. Протокол поверки хранят до следующей поверки.
-
9.2 Положительные результаты поверки оформляют свидетельством о поверке в соответствии с Приказом Министерства промышленности и торговли Российской Федерации № 1815 от 02.07.2015 г.
-
9.3 В случае отрицательных результатов поверки анализатор признают непригодным к применению, свидетельство о предыдущей поверке аннулируют и выдают извещение о непригодности с указанием причин в соответствии с Приказом Министерства промышленности и торговли Российской Федерации № 1815 от 02.07.2015 г.
(Измененная редакция, Изм.№1).
Ведущий научный сотрудник ФГУП «УНИИМ»

Г.И. Терентьев
Ведущий инженер ФГУП «УНИИМ»
Н.А. Ким
ПРИЛОЖЕНИЕ А
(рекомендуемое)
Форма протокола поверки
ПРОТОКОЛ ПОВЕРКИ №___
от «_____»_______________20 _ г.
Наименование и тип СИ_______________________________________________________
Принадлежит_____________________________________________________________
Зав. №, дата выпуска_______________________________________________________________
Изготовитель_____________________________________________________________________
Средства поверки_______________________________________________________________
Наименование и шифр МВИ________________________________________________
Проверка проведена в соответствии с документом «ГСИ. Анализаторы рентгенофлуоресцентные энергодисперсионные NEX ОС. Методика поверки» МП 63-223-2012 с изменением № 1, утвержденным ФГУП «УНИИМ» в сентябре 2017 г.»
Условия поверки:
-
- температура окружающей среды, °C
-
- атмосферное давление, кПа
-
- относительная влажность воздуха, %
-
- напряжение питающей сети, В
-
- частота питающей сети, Гц
РЕЗУЛЬТАТЫ ПОВЕРКИ
А. 1 Внешний осмотр____________________________________________________________
А.2 Проверка электрической прочности изоляции
Проверка по 8.2 проведена с положительным (отрицательным) результатом.
А.З Проверка электрического сопротивления изоляции
Проверка по 8.3 проведена с положительным (отрицательным) результатом.
А.4 Опробование____________________________________________________________
Идентификационное наименование и номер версии ПО анализатора NEX QC соответствуют (не соответствуют) заявленным в таблице 2.
Проверка по 8.4 настоящей методики проведена с положительным (отрицательным) результатом.
А. 5 Проверка среднего квадратического отклонения (СКО) случайной составляющей относительной погрешности измерений массовых долей элементов
А.6 Проверка относительной погрешности измерений массовых долей элементов
Результаты измерений массовых долей элементов в ГСО состава и результаты оценки характеристик погрешности измерений массовых долей элементов в соответствии с 8.5 и 8.6 методики поверки, приведены в таблице А. 1.
Таблица А.1
|
Номер (индекс) СО | |||
|
Элемент и аттестованное значение элемента в СО | |||
|
Результаты измерения массовой доли элемента в СО, % | |||
|
1 | |||
|
2 | |||
|
п=10 | |||
|
Среднее значение, , % | |||
|
СКО случайной составл. отн. погрешности, , % | |||
|
Нормированное значение СКО случайной составл. отн. погрешности, % | |||
|
Систематическая составл. отн. погрешности, ОИу, % | |||
|
Коэффициент кц | |||
|
Суммарное среднее квадратическое отклонение оценки измеряемой величины, SUj, % | |||
|
Отн. погрешность, 5ij, % | |||
|
Нормированное значение отн. погрешности, % | |||
Относительная погрешность измерений массовых долей определяемых элементов, СКО случайной составляющей относительной погрешности не превышают (превышают) нормированных значений.
Проверка по 8.5, 8.6 проведена с положительным (отрицательным) результатом.
А.7 Подтверждение диапазона измерений массовых долей элементов
Диапазон измерений массовых долей элементов на анализаторе NEX QC соответствует (не соответствует) заявленному.
Проверка по 8.7 проведена с положительным (отрицательным) результатом.
А.8 Проверка нестабильности показаний за 6 часов непрерывной работы
Результаты проверки нестабильности показаний за 6 часов непрерывной работы в соответствии с 8.8 методики поверки, приведены в таблице А.2.
Таблица А.2
|
Номер и индекс СО | |||||||
|
Элемент | |||||||
|
Время, час |
9:00 |
10:00 |
11:00 |
12:00 |
13:00 |
14:00 |
15:00 |
|
Массовая доля элемента, % | |||||||
|
№ измерения 1 | |||||||
|
2 | |||||||
|
3 | |||||||
|
4 | |||||||
|
5 | |||||||
|
Среднее значение | |||||||
|
Общее среднее | |||||||
|
Нестабильность показаний, % | |||||||
Нестабильность показаний анализатора NEX QC за 6 часов непрерывной работы не превышает (превышает) 2,0 %.
Проверка по 8.8 проведена с положительным (отрицательным) результатом.
Заключение:
Анализатор NEX QC годен (не годен) к применению.
Выдано свидетельство о поверке (извещение о непригодности) №________от______
Срок действия свидетельства до_________________.
Поверитель _____________ ___________
(подпись) (Ф. И. О.)
Организация, проводившая поверку___________________________________
Приложение А (Измененная редакция, Изм. №1)
11
