Методика поверки «ГИДРОФОНЫ RESON TC 4034-3» (НРСТ.406231.001 МП)
УТВЕРЖДАЮ
Первый заместитель генерального директора - заместитель по научной работе ФГУП «ВНИИФТРИ»
А.Н. Щипунов
2017 г.
ИНСТРУКЦИЯ
ГИДРОФОНЫ RESON ТС 4034-3
Методика поверки
НРСТ.406231.001 МП
2017 г.
ВведениеНастоящая методика поверки распространяется на гидрофоны Reson ТС 4034-3, зав. №№ 4216135, 4216106 (далее - гидрофоны), изготовленные фирмой «Teledyne Reson А/S», Дания, и устанавливает порядок проведения их первичной и периодической поверок.
Интервал между поверками - один год.
1 Операции поверки-
1.1 При проведении первичной и периодической поверок гидрофона должны быть выполнены операции, указанные в таблице 1.
Таблица 1
|
Наименование операции |
Номер пункта методики поверки |
Проведение операции при | |
|
первичной поверке |
периодической поверке | ||
|
Внешний осмотр |
7.1 |
да |
да |
|
Определение уровня чувствительности по напряжению на опорной частоте 250 Гц |
7.2 |
да |
да |
|
Определение неравномерности частотной характеристики чувствительности в рабочем диапазоне частот относительно опорной частоты |
7.3 |
да |
да |
|
Определение неравномерности диаграммы направленности в горизонтальной плоскости на частоте 100 кГц |
7.4 |
да |
нет |
|
Определение неравномерности диаграммы направленности в вертикальной плоскости на частоте 300 кГц |
7.5 |
да |
нет |
|
Определение уровня чувствительности по напряжению на излучение на частоте 100 кГц |
7.6 |
да |
нет |
|
Определение долговременной нестабильности уровня чувствительности |
7.7 |
нет |
да |
|
Определение электрической ёмкости |
7.8 |
да |
да |
|
Определение относительной погрешности градуировки гидрофонов при доверительной вероятности 0,95 |
7.9 |
да |
нет |
-
2.1 При проведении поверки применяют средства измерений и оборудование, приведённые в таблице 2.
-
2.2 Допускается применение других средств поверки, обеспечивающих определение метрологических характеристик устройства с требуемой точностью.
-
2.3 Все средства поверки должны быть исправны и иметь действующие свидетельства о поверке.
Таблица 2
|
Номер пункта методики поверки |
Наименование и тип (условное обозначение) основного или вспомогательного средства поверки; метрологические и основные технические характеристики средства поверки |
|
7.2 - 7.7 |
Рабочий эталон единицы звукового давления в водной среде 2 разряда по ГОСТ Р 8.727-2010: диапазон частот от 1 Гц до 470 кГц, доверительные границы относительной погрешности ±1,0 дБ при доверительной вероятности 0,95 |
|
7.8 |
Измеритель LCR-816: диапазон измерений ёмкости от 10‘12 до 10‘3 Ф, пределы допускаемой относительной погрешности измерений ±0,1 % |
-
3.1 К проведению поверки допускаются лица, квалифицированные в качестве поверителей в области гидроакустических измерений.
-
4.1 При выполнении операций поверки должны быть соблюдены требования техники безопасности, регламентированные ГОСТ 12.1.030-2010 «Система стандартов безопасности труда. Электробезопасность. Защитное заземление, зануление», требования действующих норм пожарной безопасности.
-
4.2 При проведении поверки должны быть выполнены все требования безопасности, указанные в эксплуатационной документации (далее - ЭД) на гидрофон и средства поверки.
-
5.1 При проведении поверки должны быть соблюдены следующие условия:
-
- температура окружающего воздуха (20 ± 5) °C;
-
- относительная влажность окружающего воздуха не более 80 %;
-
- атмосферное давление от 84 до 106 кПа (от 630 до 795 мм рт. ст.).
-
5.2 Поверку гидрофонов на эталоне по п.п. 12-1.1 проводить в пресной воде.
-
6.1 Перед проведением поверки поверитель должен:
-
- изучить руководство по эксплуатации поверяемого гидрофона (Гидрофон ТС 4034-3. Руководство по эксплуатации. НРСТ.406231.001 РЭ);
-
- проверить исправность соединительных кабелей;
-
- подготовить средства поверки и вспомогательное оборудование к работе в соответствии с их ЭД;
-
- в случае периодической поверки убедиться в наличии свидетельства о предыдущей поверке гидрофона.
-
6.2 Перед поверкой гидрофон должен находиться в воде в течение не менее 12 ч.
-
6.3 Непосредственно перед поверкой гидрофон должен быть обезжирен мыльным раствором.
-
6.4 При поверке ориентировать гидрофон опорным направлением на излучатель. За опорное направление принять выгравированный на корпусе заводской номер гидрофона.
-
6.5 Используемые средства поверки должны быть заземлены.
-
6.6 Поверяемый гидрофон и используемые средства поверки необходимо выдержать во включённом состоянии не менее 20 мин перед проведением поверки.
-
7.1 Внешний осмотр
-
7.1.1 При внешнем осмотре необходимо установить:
-
-
- отсутствие механических повреждений;
-
- чистоту гнёзд и штекеров разъёмных соединений;
-
- удовлетворительное состояние соединительного кабеля.
-
7.1.2 Результаты поверки считать положительными, если гидрофон удовлетворяет требованиям п. 7.1.1.
-
7.2 Определение уровня чувствительности по напряжению на опорной частоте 250 Гц
-
7.2.1 Определение уровня чувствительности гидрофона на опорной частоте проводить на рабочем эталоне единицы звукового давления в водной среде 2 разряда (далее - эталон).
-
7.2.2 Измерение чувствительности гидрофона по напряжению на опорной частоте 250 Гц проводить в соответствии с руководством по эксплуатации эталона, при этом число наблюдений п должно быть не менее 4.
-
7.2.3 Вычислить значение чувствительности Мср в [мкВ/Па] как среднее арифметическое значение по формуле (1):
-
Мф = ;Н.1м„ (1)
-
7.2.4 Вычислить уровень чувствительности на опорной частоте в [дБ] относительно 1 B/мкПа по формуле (2):
Ином = 20 ■ ;а(мср ■ Ю-12). (2)
-
7.2.5 Результаты поверки считать положительными, если уровень чувствительности по напряжению на опорной частоте 250 Гц составляет -(221±3) дБ относительно 1 В/мкПа.
-
7.3 Определение неравномерности частотной характеристики чувствительности в рабочем диапазоне частот относительно опорной частоты
-
7.3.1 Определение неравномерности частотной характеристики чувствительности относительно опорной частоты в рабочем диапазоне частот от 1 Гц до 470 кГц проводить на эталоне.
-
7.3.2 Измерение чувствительности гидрофона проводить на частотах третьоктавного ряда его рабочего диапазона в соответствии с руководством по эксплуатации эталона, при этом число наблюдений на каждой частоте п должно быть не менее 4. Допускается в соответствии с п. 18
-
Приказа Минпромторга России от 02.07.2015 г. № 1815 при периодической поверке выполнять измерение чувствительности не на всех третьоктавных частотах рабочего диапазона гидрофона. При этом частоты измерений должны совпадать с частотным рядом предыдущей поверки.
-
7.3.3 На каждой частоте fk вычислить среднее арифметическое значение чувствительности М(А)ср в [мкВ/Па] по формуле (3):
М(4)ф = ;Ц‘.1М(Л1)(- (3)
-
7.3.4 Для каждой частоты fk вычислить относительное среднее квадратическое отклонение
(СКО) оценки результата измерений чувствительности по формуле (4):
^о(А) -
Р=1(м(А)г-м(л)ср)2
I n-(n-l)
100 %
M(/fc)cp
(4)
-
7.3.5 На каждой частоте fk вычислить уровень чувствительности в [дБ] относительно 1 B/мкПа по формуле (5):
М(П = 20 ■ /г(М(А)ер • Ю-12). (5)
-
7.3.6 Определить отклонение максимального уровня чувствительности от номинального уровня чувствительности (неравномерность частотной характеристики для максимального уровня чувствительности) по формуле (6):
01 = М(/)тпох “Миом, (6)
где AfH0M - уровень чувствительности на опорной частоте в [дБ] относительно 1 B/мкПа, определённый в п. 7.2; - максимальный уровень чувствительности в [дБ] относительно
1 B/мкПа, определённый в п. 7.3.5.
-
7.3.7 Определить отклонение 02 минимального уровня чувствительности от уровня чувствительности на опорной частоте (неравномерность частотной характеристики для минимального уровня чувствительности) по формуле (7):
е2 = «(/)»„ - Мн«и. (7)
где М - минимальный уровень чувствительности в [дБ] относительно 1 B/мкПа, определённый в п. 7.3.5.
-
7.3.8 Результаты поверки считать положительными, если в рабочем диапазоне частот:
-
- в диапазоне частот от 1 Гц до 250 кГц: 0г < 2 дБ, 02 > -4 дБ;
-
- в диапазоне частот от 1 Гц до 470 кГц: 0г < 5 дБ, 02 > —12 дБ;
-
- СКО результата измерений чувствительности на каждой частоте не превышает 2,0 %.
-
7.4 Определение неравномерности диаграммы направленности в горизонтальной плоскости на частоте 100 кГц
-
7.4.1 Определение неравномерности диаграммы направленности гидрофона проводить на эталоне.
-
7.4.2 Выполнить измерение диаграммы направленности в горизонтальной плоскости на частоте 100 кГц в рабочем угловом секторе ± 180° относительного опорного направления в соответствии с руководством по эксплуатации эталона.
-
7.4.3 Результаты поверки считать положительными, если значение неравномерности диаграммы направленности в горизонтальной плоскости в рабочем угловом секторе ±180° относительно опорного направления на частоте 100 кГц находится в пределах ±2,0 дБ.
-
-
7.5 Определение неравномерности диаграммы направленности в вертикальной плоскости на частоте 300 кГц
-
7.5.1 Определение неравномерности диаграммы направленности гидрофона проводить на эталоне.
-
7.5.2 Сориентировать гидрофон опорным направлением, совпадающим с осью симметрии гидрофона на излучатель.
-
7.5.3 Выполнить измерение диаграммы направленности в вертикальной плоскости на частоте 300 кГц в рабочем угловом секторе ±135° относительно опорного направления в соответствии с руководством по эксплуатации эталона.
-
7.5.4 Результаты поверки считать положительными, если значение неравномерности диаграммы направленности в вертикальной плоскости в рабочем угловом секторе ±135° относительно опорного направления на частоте 300 кГц находится в пределах ±3,0 дБ.
-
-
7.6 Определение уровня чувствительности на излучение по напряжению на частоте 100 кГц
-
7.6.1 Определение уровня чувствительности гидрофона на излучение проводить на эталоне.
-
7.6.2 Выполнить измерение чувствительности на излучение S(/) на частоте 100 кГц в соответствии с руководством по эксплуатации эталона, подключив гидрофон как обратимый преобразователь, при этом число наблюдений п должно быть не менее 4.
-
7.6.3 Вычислить среднее арифметическое значение чувствительности S(/)cp в [мкПа/B] по формуле (8):
-
S(Oq>=jE?.15OTl- (8)
-
7.6.4 Вычислить уровень чувствительности на излучение по напряжению в [дБ] относительно 1 мкПа/B по формуле (9):
S = 20 • /й(5(/)ер)- (9)
-
7.6.5 Результаты испытаний считать положительными, если значение уровня чувствительности гидрофона на излучение на 1 м находится в пределах (119 ± 3) дБ относительно 1 мкПа/В.
-
7.7 Определение долговременной нестабильности уровня чувствительности
-
7.7.1 Нестабильность уровня чувствительности гидрофона за период между поверками определять после очередной периодической поверки.
-
7.7.2 Нестабильность уровня чувствительности 0 т (А) в [дБ] определять на каждой частоте fk, заданной в п. 7.3, по формуле (10):
-
0т(А) = |ЛШ)-Мт(А)1, (Ю)
где М0(А) и MT(fk) - уровни чувствительности на частоте fk, полученные при предыдущей и при текущей поверках, соответственно.
-
7.7.3 Результаты поверки считать положительными, если долговременная нестабильность уровня чувствительности гидрофона на каждой частоте за период между поверками не превышает 1,0 дБ.
-
7.8 Определение электрической ёмкости
-
7.8.1 Определение электрической ёмкости выполнять на вилке типа BNC кабеля гидрофона с помощью измерителя иммитанса.
-
7.8.2 Результаты испытаний считать положительными, если значение электрической ёмкости гидрофона с кабелем 20 м не менее 3,5 нФ.
-
-
7.9 Определение относительной погрешности градуировки гидрофонов при доверительной вероятности 0,95
-
7.9.1 Определение относительной погрешности при доверительной вероятности 0,95 выполнять при первичной поверке гидрофона в соответствии с ГОСТ Р 8.727-2010 «ГСИ. Государственная поверочная схема для средств измерений звукового давления в водной среде в диапазоне частот от Г10’3 до Г106 Гц».
-
7.9.2 Относительную погрешность градуировки гидрофонов вычислить по формуле (11):

-
(Н)
где - суммарное среднее квадратическое отклонение оценки результата измерения чувствительности, К - коэффициент, зависящий от соотношения случайной составляющей погрешности и неисключённой систематической погрешности (НСП).
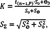
Значения и К вычислить по формулам (12) и (13), соответственно:

(12) (13)
где - квантиль распределения Стьюдента при (п — 1) степени свободы и доверительной
вероятности; So - относительное среднее квадратическое отклонение оценки результата измерений, определённое по формуле (4); 0Э - доверительная относительная погрешность эталона, применяемого при первичной поверке; п - число независимых измерений.
Среднее квадратическое отклонение НСП Se вычислить по формуле (14):

(14)
где к - коэффициент, определяемый принятой доверительной вероятностью.
-
7.9.3 Результаты испытаний считать положительными, если полученные значения относительной погрешности градуировки гидрофонов при доверительной вероятности 0,95 находятся в доверительных границах ±1,5 дБ.
-
8.1 Результаты измерений при поверке гидрофона оформить в виде протоколов произвольной формы.
-
8.2 При положительных результатах поверки выдается свидетельство о поверке по установленной форме.
-
8.3 При отрицательных результатах поверки гидрофон к применению не допускается, предыдущее свидетельство о поверке аннулируется, оформляется извещение о непригодности с указанием причин забракования.
Старший научный сотрудник лаборатории № 31
А.Н. Матвеев
ФГУП «ВНИИФТРИ»
10
